Using Multi-Scenario Analyses to Determine the Driving Factors of Land Use in Inland River Basins in Arid Northwest China
Abstract
1. Introduction
2. Materials and Methods
2.1. Study Area
2.2. Data Collection and Processing
2.3. Land-Use Dynamics
2.4. Comprehensive Index
2.5. Land-Use Shift Matrix
2.6. Spatial Analysis
2.7. Simulation Parameter Setting
2.8. Model Validation
2.9. Multi-Scenario Setting
2.10. Overall Framework
- (i)
- Using a range of land-use change indicators and historical land-use data, the quantitative changes and spatial distribution of six land-use types in the TRB were determined for the 1980–2020 period.
- (ii)
- The transition matrix method was used to analyze the dynamics of land-use change for six land types in the TRB for the 1980–2020 period.
- (iii)
- The standard deviation ellipse method was used to analyze the spatial centroid shift in different land-use types in the TRB for the 1980–2020 period.
- (iv)
- The conversion of one type of land use into another was predicted for the TRB for the 2020–2060 period using multi-scenario conditions (NIS/FSS/EDS/WPS/EPS/BES) in the PLUS model. Also, the processes of land-use change in the TRB was analyzed for the 2020–2060 period using the methods detailed in Equations (1)–(3).
- (v)
- Based on the land-use change situation in the TRB for the 2020–2060 period, the impact of driving factors on land-use conversion was analyzed.
- (vi)
- Based on the above steps, a multi-scenario model based on a nexus of humans, ecology, and types of land use was used to construct a sustainable land development strategy to guide sustainable land management in the study area and beyond.
3. Results
3.1. Land-Use Change and Spatial Distribution
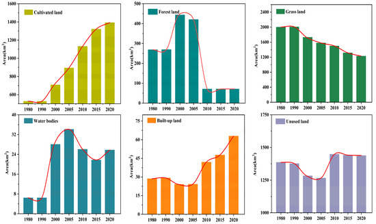
3.2. Land-Use Dynamics in the 1980–2020 Period
3.3. A Spatial Centroid Shift in the 1980–2020 Period
3.4. PLUS Model Drivers and Simulation Accuracy
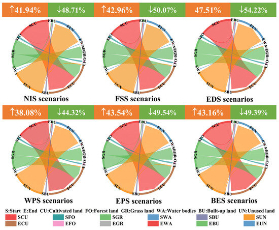
3.5. The 2020–2060 Multi-Scenario Simulation
3.6. Space-Time Fabric of Land Use
4. Discussion
4.1. Historical Land-Use Dynamics
4.2. Future Land-Use Dynamics
4.3. Land Use Sustainability Strategy
4.4. Potential Limitations
5. Conclusions
- (1)
- In the 1980–2020 period, there were significant changes in the areas of cultivated land, grassland, forest land, and built-up land. In this period, the cultivated land area increased, while the areas of forest and grassland shrunk. Obvious shifts in the six land-use types were evident in the 1990–2010 period. The spatial distribution, area of change, and types of land use indicated that land use in the basin was influenced by human activity and climate change, but policy direction had the most impact on land use in the TRB study area.
- (2)
- An accuracy analysis of the validation simulation showed that the OA of the PLUS model was above 90%, the Kappa was above 85%, and the FOM was above 0.18, all indicating a highly accurate simulation. Under the predicted multi-scenario land use, the areas of cultivated and construction lands increased. Grassland, forest land, and unused land declined from one year to the other, while there was little change in water bodies. This indicated that protecting cultivated land and ensuring food security will be the main focus of regional development in the study area up to 2060. The FSS had the highest increase in cultivated land and the most noticeable decline in grassland. And the BES struck the most balance between ecological conservation and economic development. The six scenarios predicted the development pathways for the TRB, with the TRB deserving the most attention because of its degrees of ecological protection, agricultural productivity, socio-economic growth and sustainable development, and harmonious balance of the economy, ecology, and land.
- (3)
- A multi-scenario strategy for sustainable development with humans in a harmonious balance with ecology and land use was established in this study. The aim was to determine the most viable land-use option to guide policies and sustainable development well into 2060. This was achieved through the simulation of six land-use scenarios and the recommendation of the most plausible one along with policy tools to actualize it.
- (4)
- The following conclusions can be made based on the results: (i) Food security was the main focus of development in the TRB study area and the subregion. Thus, it was necessary to strengthen protection and management and improve the yield of cultivated land in the study area. (ii) While developing the agricultural economy, attention on ecological protection was also needed. This was because of the fragile arid ecology of the TRB, which needed the preservation of forest and grassland resources. (iii) There was a need to implement multi-scenario land management strategies to balance the various development efforts in a coordinated way in the TRB study area and beyond.
Supplementary Materials
Author Contributions
Funding
Data Availability Statement
Conflicts of Interest
References
- van der Esch, S.; Sewell, A.; Bakkenes, M.; Berkhout, E.; Doelman, J.C.; Stehfest, E.; Langhans, C.; Bouwman, A.; Berkhout, E.; Fleskens, L.; et al. The Global Potential for Land Restoration: Scenarios for the Global Land Outlook 2; PBL Netherlands Environmental Assessment Agency: The Hague, The Netherlands, 2022; Available online: https://www.unccd.int/resources/reports/global-potential-land-restoration (accessed on 1 January 2024).
- Song, X.P.; Hansen, M.C.; Stehman, S.V.; Potapov, P.V.; Tyukavina, A.; Vermote, E.F.; Townshend, J.R. Global land change from 1982 to 2016. Nature 2018, 560, 639–643. [Google Scholar] [CrossRef] [PubMed]
- Intergovernmental Panel on Climate Change (IPCC). Climate Change and Land: An IPCC Special Report on Climate Change, Desertification, Land Degradation, Sustainable Land Management, Food Security, and Greenhouse Gas Fluxes in Terrestrial Ecosystems. 2019. 874p. Available online: https://www.ipcc.ch/srccl/ (accessed on 10 April 2024).
- Luo, K.; Zhang, X. Increasing urban flood risk in China over recent 40 years induced by LUCC. Landsc. Urban Plan. 2022, 219, 104317. [Google Scholar] [CrossRef]
- Boakes, E.H.; Dalin, C.; Etard, A.; Newbold, T. Impacts of the global food system on terrestrial biodiversity from land use and climate change. Nat. Commun. 2024, 15, 5750. [Google Scholar] [CrossRef] [PubMed]
- Chi, W.; Zhao, Y.; Kuang, W.; He, H. Impacts of anthropogenic land use/cover changes on soil wind erosion in China. Sci. Total Environ. 2019, 668, 204–215. [Google Scholar] [CrossRef]
- Huffaker, R.; Campo-Bescós, M.Á.; Luquin, E.; Sarasibar, J.C.; Muñoz-Carpena, R. Hydrological records can be used to reconstruct the resilience of watersheds to climatic extremes. Commun. Earth Environ. 2024, 5, 19. [Google Scholar] [CrossRef]
- Findell, K.L.; Berg, A.; Gentine, P.; Krasting, J.P.; Lintner, B.R.; Malyshev, S.; Santanello, J.J.A.; Shevliakova, E. The impact of anthropogenic land use and land cover change on regional climate extremes. Nat. Commun. 2017, 8, 989. [Google Scholar] [CrossRef]
- King, A.C.; Bauska, T.K.; Brook, E.J.; Kalk, M.; Nehrbass-Ahles, C.; Wolff, E.W.; Strawson, I.; Rhodes, R.H.; Osman, M.B. Reconciling ice core CO2 and land-use change following New World-Old World contact. Nat. Commun. 2024, 15, 1735. [Google Scholar] [CrossRef]
- Winkler, K.; Fuchs, R.; Rounsevell, M.; Herold, M. Global land use changes are four times greater than previously estimated. Nat. Commun. 2021, 12, 2501. [Google Scholar] [CrossRef]
- Li, C.; Fu, B.; Wang, S.; Stringer, L.C.; Wang, Y.; Li, Z.; Liu, Y.; Zhou, W. Drivers and impacts of changes in China’s drylands. Nat. Rev. Earth Environ. 2021, 2, 858–873. [Google Scholar] [CrossRef]
- Huang, K.; Xia, J.; Wang, Y.; Ahlström, A.; Chen, J.; Cook, R.B.; Cui, E.; Fang, Y.; Fisher, J.B.; Huntzinger, D.N.; et al. Enhanced peak growth of global vegetation and its key mechanisms. Nat. Ecol. Evol. 2018, 2, 1897–1905. [Google Scholar] [CrossRef]
- Li, L.; Wang, L.; Qi, Z. The spatiotemporal variation of farmland uses transition and its critical influential factors in coordinated urban-rural regions: A case of Chongqing in western China. Sustain. Cities Soc. 2021, 70, 102921. [Google Scholar] [CrossRef]
- Zhu, G.; Qiu, D.; Zhang, Z.; Sang, L.; Liu, Y.; Wang, L.; Zhao, K.; Ma, H.; Xu, Y.; Wan, Q. Land-use changes lead to a decrease in carbon storage in arid region, China. Ecol. Indic. 2021, 127, 107770. [Google Scholar] [CrossRef]
- Chen, Y.; Zhang, X.; Fang, G.; Li, Z.; Wang, F.; Qin, J.; Sun, F. Potential risks and challenges of climate change in the arid region of northwestern China. Reg. Sustain. 2020, 1, 20–30. [Google Scholar] [CrossRef]
- Xue, J.; Gui, D.; Zhao, Y.; Lei, J.; Feng, X.; Zeng, F.; Zhou, J.; Mao, D. Quantification of environmental flow requirements to support ecosystem services of oasis areas: A case study in Tarim Basin, Northwest China. Water 2015, 7, 5657–5675. [Google Scholar] [CrossRef]
- Liu, X.; Tang, Q.; Zhao, Y.; Wang, P. Persistent water scarcity due to high irrigation demand in arid China: A case study in the north slope of the Tianshan Mountains. Earth’s Future 2024, 12, e2024EF005070. [Google Scholar] [CrossRef]
- Azadi, Y.; Yaghoubi, J.; Gholizadeh, H.; Gholamrezai, S.; Rahimi-Feyzabad, F. Social barriers to water scarcity adaptation: A grounded theory exploration in arid and semi-arid regions. Agr. Water. Manag. 2025, 309, 109338. [Google Scholar] [CrossRef]
- Liu, C.; Chen, Y.; Huang, W.; Fang, G.; Li, Z.; Zhu, C.; Liu, Y. Climate warming positively affects hydrological connectivity of typical inland river in arid Central Asia. Npj. Clim. Atmos. Sci. 2024, 7, 250. [Google Scholar] [CrossRef]
- Zhang, Z.; Hu, H.; Tian, F.; Yao, X.; Sivapalan, M. Groundwater dynamics under water-saving irrigation and implications for sustainable water management in an oasis: Tarim River basin of western China. Hydrol. Earth Syst. Sci. 2014, 18, 3951–3967. [Google Scholar] [CrossRef]
- Jiang, H.; Xu, X.; Wang, L.; Zhang, T. Integrating ecosystem service values and economic benefits for sustainable land use management in semi-arid regions in northern China. Sustainability 2021, 13, 10431. [Google Scholar] [CrossRef]
- Hou, Y.; Chen, Y.; Ding, J.; Li, Z.; Li, Y.; Sun, F. Ecological Impacts of land use change in the Arid Tarim river Basin of China. Remote Sens. 2022, 14, 1894. [Google Scholar] [CrossRef]
- Domingo, D.; Palka, G.; Hersperger, A.M. Effect of zoning plans on urban land use change: A multi-scenario simulation for supporting sustainable urban growth. Sustain. Cities Soc. 2021, 69, 102833. [Google Scholar] [CrossRef]
- Fan, X.; Cheng, Y.; Li, Y. Multi-Scenario Land Use Simulation and Land Use Conflict Assessment Based on the CLUMondo Model: A Case Study of Liyang, China. Land 2023, 12, 917. [Google Scholar] [CrossRef]
- Zhao, Y.; Wang, M.; Lan, T.; Xu, Z.; Wu, J.; Liu, Q.; Peng, J. Distinguishing the effects of land use policies on ecosystem services and their trade-offs based on multi-scenario simulations. Appl. Geogr. 2023, 151, 102864. [Google Scholar] [CrossRef]
- Qiao, X.; Li, Z.; Lin, J.; Wang, H.; Zheng, S.; Yang, S. Assessing current and future soil erosion under changing land use based on InVEST and FLUS models in the Yihe River Basin, North China. Int. Soil Water Conserv. Res. 2024, 12, 298–312. [Google Scholar] [CrossRef]
- Hürlimann, M.; Guo, Z.; Puig-Polo, C.; Medina, V. Impacts of future climate and land cover changes on landslide susceptibility: Regional scale modelling in the Val d’Aran region (Pyrenees, Spain). Landslides 2022, 19, 99–118. [Google Scholar] [CrossRef]
- Guo, Z.; Ferrer, J.V.; Hürlimann, M.; Medina, V.; Puig-Polo, C.; Yin, K.; Huang, D. Shallow landslide susceptibility assessment under future climate and land cover changes: A case study from southwest China. Geosci. Front. 2023, 14, 101542. [Google Scholar] [CrossRef]
- Liang, X.; Guan, Q.; Clarke, K.C.; Liu, S.; Wang, B.; Yao, Y. Understanding the drivers of sustainable land expansion using a patch-generating land use simulation (PLUS) model: A case study in Wuhan, China. Comput. Environ. Urban Syst. 2021, 85, 101569. [Google Scholar] [CrossRef]
- Gao, L.; Tao, F.; Liu, R.; Wang, Z.; Leng, H.; Zhou, T. Multi-scenario simulation and ecological risk analysis of land use based on the PLUS model: A case study of Nanjing. Sustain. Cities Soc. 2022, 85, 104055. [Google Scholar] [CrossRef]
- Zhao, F.; Hu, Z.; Zhao, X. Multi-scenario prediction and path optimization of industrial carbon unlocking in China. J. Clean. Prod. 2023, 421, 138534. [Google Scholar] [CrossRef]
- Wang, X.C.; Wang, J.T.; Zhang, C.H. Deterministic full-scenario analysis for maximum credible earthquake hazards. Nat. Commun. 2023, 14, 6600. [Google Scholar] [CrossRef]
- Sætra, H.S. Science fiction, sustainability, and scenario use: Comprehensive scenarios for improved strategy development and innovation. Technovation 2024, 132, 102976. [Google Scholar] [CrossRef]
- Basu, T.; Das, A.; Das, K.; Pereira, P. Urban expansion induced loss of natural vegetation cover and ecosystem service values: A scenario-based study in the siliguri municipal corporation (Gateway of North-East India). Land Use Policy 2023, 132, 106838. [Google Scholar] [CrossRef]
- Tariq, A.; Sardans, J.; Zeng, F.; Graciano, C.; Hughes, A.C.; Farré-Armengol, G.; Peñuelas, J. Impact of aridity rise and arid lands expansion on carbon-storing capacity, biodiversity loss, and ecosystem services. Glob. Change Biol. 2024, 30, e17292. [Google Scholar] [CrossRef]
- Moghadam, B.K.; Jabarifar, M.; Bagheri, M.; Shahbazi, E. Effects of land use change on soil splash erosion in the semi-arid region of Iran. Geoderma 2015, 241, 210–220. [Google Scholar] [CrossRef]
- Scherzinger, F.; Schädler, M.; Reitz, T.; Yin, R.; Auge, H.; Merbach, I.; Roscher, C.; Harpole, W.S.; Blagodatskaya, E.; Siebert, J.; et al. Sustainable land management enhances ecological and economic multifunctionality under ambient and future climate. Nat. Commun. 2024, 15, 4930. [Google Scholar] [CrossRef] [PubMed]
- Liu, J.; Kuang, W.; Zhang, Z.; Xu, X.; Qin, Y.; Ning, J.; Zhou, W.; Zhang, S.; Li, R.; Yan, C.; et al. Spatiotemporal characteristics, patterns, and causes of land-use changes in China since the late 1980s. J. Geogr. Sci. 2014, 24, 195–210. [Google Scholar] [CrossRef]
- Zhuang, D.; Liu, J.; Liu, M. Research activities on land-use/cover change in the past ten years in China using space technology. Chin. Geogr. Sci. 1999, 9, 330–334. [Google Scholar] [CrossRef]
- Xiong, L.; Li, R. Assessing and decoupling ecosystem services evolution in karst areas: A multi-model approach to support land management decision-making. J. Environ. Manag. 2024, 350, 119632. [Google Scholar] [CrossRef]
- Liu, H.; Zheng, M.; Liu, J.; Zheng, X. Sustainable land use in the trans-provincial marginal areas in China. Resour. Conserv. Recycl. 2020, 157, 104783. [Google Scholar] [CrossRef]
- Chang, X.; Xing, Y.; Wang, J.; Yang, H.; Gong, W. Effects of land use and cover change (LUCC) on terrestrial carbon stocks in China between 2000 and 2018. Resour. Conserv. Recycl. 2022, 182, 106333. [Google Scholar] [CrossRef]
- Yu, B.; Zang, Y.; Wu, C.; Zhao, Z. Spatiotemporal dynamics of wetlands and their future multi-scenario simulation in the Yellow River Delta, China. J. Environ. Manag. 2024, 353, 120193. [Google Scholar] [CrossRef]
- Chen, A.; Yang, X.; Guo, J.; Zhang, M.; Xing, X.; Yang, D.; Xu, B.; Jiang, L. Dynamic of land use, landscape, and their impact on ecological quality in the northern sand-prevention belt of China. J. Environ. Manag. 2022, 317, 115351. [Google Scholar] [CrossRef]
- Shi, Q.; Gu, C.J.; Xiao, C. Multiple scenarios analysis on land use simulation by coupling socioeconomic and ecological sustainability in Shanghai, China. Sustain. Cities Soc. 2023, 95, 104578. [Google Scholar] [CrossRef]
- Congalton, R.G. A review of assessing the accuracy of classifications of remotely sensed data. Remote Sens. Environ. 1991, 37, 35–46. [Google Scholar] [CrossRef]
- Zhang, Y.; Li, Y.; Lv, J.; Wang, J.; Wu, Y. Scenario simulation of ecological risk based on land use/cover change-A case study of the Jinghe county, China. Ecol. Indic. 2021, 131, 108176. [Google Scholar] [CrossRef]
- Liu, X.; Liang, X.; Li, X.; Xu, X.; Ou, J.; Chen, Y.; Li, S.; Wang, S.; Pei, F. A future land use simulation model (FLUS) for simulating multiple land use scenarios by coupling human and natural effects. Landsc. Urban Plan. 2017, 168, 94–116. [Google Scholar] [CrossRef]
- Yang, H.; Zhong, X.; Deng, S.; Xu, H. Assessment of the impact of LUCC on NPP and its influencing factors in the Yangtze River basin, China. Catena 2021, 206, 105542. [Google Scholar] [CrossRef]
- Todmal, R.S. Intensity, frequency and coverage of hydro-meteorological droughts and agriculture in the semi-arid basins of Maharashtra (India). Clim. Change 2024, 177, 140. [Google Scholar] [CrossRef]
- Zhou, Y.; Li, Y.; Li, W.; Li, F.; Xin, Q. Ecological responses to climate change and human activities in the arid and semi-arid regions of Xinjiang in China. Remote Sens. 2022, 14, 3911. [Google Scholar] [CrossRef]
- Wei, H.; Xiong, L.; Tang, G.; Strobl, J.; Xue, K. Spatial-temporal variation of land use and land cover change in the glacial affected area of the Tianshan Mountains. Catena 2021, 202, 105256. [Google Scholar] [CrossRef]
- Liu, Z. Rural land sustainability development planning and use by considering land multifunction values: A case study of analysis and simulation. Land Use Policy 2025, 150, 107455. [Google Scholar] [CrossRef]
- Feng, Y.; He, S.; Li, G. Interaction between urbanization and the eco-environment in the Pan-Third Pole region. Sci. Total Environ. 2021, 789, 148011. [Google Scholar] [CrossRef]
- Chen, X.; Yu, L.; Du, Z.; Xu, Y.; Zhao, J.; Zhao, H.; Zhao, G.; Peng, D.; Gong, P. Distribution of ecological restoration projects associated with land use and land cover change in China and their ecological impacts. Sci. Total Environ. 2022, 825, 153938. [Google Scholar] [CrossRef]
- Zeng, T.; Li, Y.; Ma, L.; Kong, L.; Zhang, J.; Abuduwaili, J. Unveiling Latent interaction mechanisms influencing the spatial pattern of soil salinity in arid Oases: Insights from integrated modeling. Catena 2025, 250, 108769. [Google Scholar] [CrossRef]
- Long, H.; Qu, Y. Land use transitions and land management: A mutual feedback perspective. Land Use policy 2018, 74, 111–120. [Google Scholar] [CrossRef]
- López, E.; Bocco, G.; Mendoza, M.; Duhau, E. Predicting land-cover and land-use change in the urban fringe: A case in Morelia city, Mexico. Landsc. Urban. Plann. 2001, 55, 271–285. [Google Scholar] [CrossRef]
- Liu, X.; Liu, Y.; Wang, Y.; Liu, Z. Evaluating potential impacts of land use changes on water supply-demand under multiple development scenarios in dryland region. J. Hydrol. 2022, 610, 127811. [Google Scholar] [CrossRef]
- Nie, W.; Xu, B.; Yang, F.; Shi, Y.; Liu, B.; Wu, R.; Lin, W.; Pei, H.; Bao, Z. Simulating future land use by coupling ecological security patterns and multiple scenarios. Sci. Total. Environ. 2023, 859, 160262. [Google Scholar] [CrossRef]
- Kulaixi, Z.; Chen, Y.; Li, Y.; Wang, C. Dynamic Evolution and Scenario Simulation of Ecosystem Services under the Impact of Land-Use Change in an Arid Inland River Basin in Xinjiang, China. Remote Sens. 2023, 15, 2476. [Google Scholar] [CrossRef]











| Characteristic Value | |
|---|---|
| Annual Average Precipitation | 177.7 mm |
| Annual Average Evaporation | 2912 mm |
| Annual Average Temperature | 8.6 °C |
| Annual Average Wind Speed | 1.25 m/s |
| Indicator | Land Category | 1980–1990 | 1990–2000 | 2000–2010 | 2010–2020 | 1980–2020 |
|---|---|---|---|---|---|---|
| SLUDD | Cultivated land | 0.00 | 3.43 | 5.98 | 2.31 | 16.43 |
| Forest land | 0.03 | 6.48 | −8.40 | −0.03 | −7.36 | |
| Grassland | 0.04 | −1.38 | −1.34 | −1.81 | −3.87 | |
| Water bodies | 0.00 | 33.52 | −0.71 | −0.12 | 29.97 | |
| Built-up land | 0.22 | −1.77 | 7.43 | 5.01 | 12.02 | |
| Unused land | −0.07 | −0.68 | 1.29 | −0.07 | 0.37 | |
| CLUDD | 0.02 | 0.89 | 1.44 | 0.67 | 2.30 | |
| Year | Degree of Land Use Index |
|---|---|
| 1980 | 1.81 |
| 1990 | 1.81 |
| 2000 | 1.88 |
| 2010 | 1.94 |
| 2020 | 2.02 |
| Simulation Time | OA | Kappa | FOM |
|---|---|---|---|
| 2020 | 0.90 | 0.85 | 0.25 |
| 2015 | 0.92 | 0.88 | 0.18 |
Disclaimer/Publisher’s Note: The statements, opinions and data contained in all publications are solely those of the individual author(s) and contributor(s) and not of MDPI and/or the editor(s). MDPI and/or the editor(s) disclaim responsibility for any injury to people or property resulting from any ideas, methods, instructions or products referred to in the content. |
© 2025 by the authors. Licensee MDPI, Basel, Switzerland. This article is an open access article distributed under the terms and conditions of the Creative Commons Attribution (CC BY) license (https://creativecommons.org/licenses/by/4.0/).
Share and Cite
You, Y.; Jiang, P.; Wang, Y.; Wang, W.; Chen, D.; Hu, X. Using Multi-Scenario Analyses to Determine the Driving Factors of Land Use in Inland River Basins in Arid Northwest China. Land 2025, 14, 787. https://doi.org/10.3390/land14040787
You Y, Jiang P, Wang Y, Wang W, Chen D, Hu X. Using Multi-Scenario Analyses to Determine the Driving Factors of Land Use in Inland River Basins in Arid Northwest China. Land. 2025; 14(4):787. https://doi.org/10.3390/land14040787
Chicago/Turabian StyleYou, Yang, Pingan Jiang, Yakun Wang, Wen’e Wang, Dianyu Chen, and Xiaotao Hu. 2025. "Using Multi-Scenario Analyses to Determine the Driving Factors of Land Use in Inland River Basins in Arid Northwest China" Land 14, no. 4: 787. https://doi.org/10.3390/land14040787
APA StyleYou, Y., Jiang, P., Wang, Y., Wang, W., Chen, D., & Hu, X. (2025). Using Multi-Scenario Analyses to Determine the Driving Factors of Land Use in Inland River Basins in Arid Northwest China. Land, 14(4), 787. https://doi.org/10.3390/land14040787

