Next Article in Journal
A Typological Analysis Method for Rural Dwellings: Architectural Features, Historical Transformations, and Landscape Integration: The Case of “Capo Due Rami”, Italy
Next Article in Special Issue
Mapping Soil Organic Carbon in Degraded Ecosystems Through Upscaled Multispectral Unmanned Aerial Vehicle–Satellite Imagery
Previous Article in Journal
Securing Land Tenure Through Participatory Upgrading Processes: Women’s Experiences in Freedom Square, Gobabis, Namibia
Previous Article in Special Issue
Natural and Organic Input-Based Integrated Nutrient-Management Practices Enhance the Productivity and Soil Quality Index of Rice–Mustard–Green Gram Cropping System
 
 
Font Type:
Arial Georgia Verdana
Font Size:
Aa Aa Aa
Line Spacing:
Column Width:
Background:
Article

Phytotoxicity and Metals Mobility Assessment in Mining Wastes Amended with Various Biochars

1
Laboratory of Physiology, Ecology and Environment (P2E), UR 1207/USC INRAE 1328, Faculty of Science & Technology, University of Orleans, Rue de Chartres, 45067 Orleans Cedex 2, France
2
Laboratory for the Improvement of Agricultural Production, Biotechnology and Environment (LAPABE), Faculty of Sciences, Mohammed First University, B.P. 717, Oujda 60000, Morocco
3
Laboratory of Environmental and Applied Botany, Department of Biotechnology and Life Science, University of Insubria, via Monte Generoso, 71, 21100 Varese, Italy
*
Author to whom correspondence should be addressed.
Land 2025, 14(2), 372; https://doi.org/10.3390/land14020372
Submission received: 14 January 2025 / Revised: 5 February 2025 / Accepted: 8 February 2025 / Published: 11 February 2025
(This article belongs to the Special Issue Ecosystem Disturbances and Soil Properties (Second Edition))

Abstract

Mining activities often contaminate soils with heavy metals, generating environmental and health risks. This study investigates the ecotoxicity of muddy (Mw) and sandy (Sw) mining wastes on Phaseolus vulgaris and assesses the impact of five locally sourced biochar amendments on plant growth and soil pore water (SPW) properties. Most biochars improved water retention, except for argan nut shells (An) biochar, highlighting the importance of feedstock type. Sw supported better plant growth than Mw regardless of biochar addition, due to textural differences. Palm fronds (Pf) biochar significantly enhanced surface leaf area in Sw. SPW analysis revealed that biochar affected pH and electrical conductivity (EC) differently across soil types. Mw consistently increased pH, while Sw’s pH was biochar-dependent. A significant 5.1-fold EC increase was recorded in Sw amended with Pf. All biochars reduced Pb availability in Mw at planting, while Cu availability decreased in Sw at harvest. In Mw, Pb, Zn, and Cu, uptake and accumulation were unaffected by biochar, while a slight reduction was observed in Sw roots. A germination test with Lepidium sativum confirmed these findings, particularly the inhibition observed with An. This dual approach highlights the toxicity of mining soils and biochars’ potential as amendments for soil remediation programs.

1. Introduction

All around the world, mining activities represent an important sector of global industrial and economic development, but they often have significant social and environmental repercussions [1]. The presence of potentially toxic elements such as heavy metals in the various compartments of environmental systems (soil, water, and air) causes various negative impacts that threaten human health, as they are non-biodegradable and persistent [2]. The long-term effects of heavy metals on soil include alterations in the geochemical quality balance and microbial communities [3], leading to a reduction in soil quality and fertility over time. Thus, this harmful effect of heavy metals pollution requires innovative approaches for remediation and mitigation of such contaminants. Many techniques have been used to remediate soils from heavy metals such as physical and chemical methods, which present some technical and economic challenges [4]. Alongside these techniques, biological methods are environmentally and economically friendly approaches that have gained increasing interest in the field of remediation of the environment components (air, water, and soil) from metal contamination [5]. Among these, bioremediation techniques using microorganisms [6,7] and phytoremediation approaches employing plants [8] have emerged as promising strategies. In particular, the use of plants to stabilize soil contaminants has gained traction as a sustainable solution to mitigate mining-induced environmental challenges [8,9].
The practice of phytomanagement also implies using plants, but in a manner that ensures a long-term mitigation of pollutants on contaminated sites, while promoting the production of useful plant biomass and ecosystem services aimed at reducing environmental risks [10]. Implementing a successful phytomanagement strategy in mining areas requires two key steps. First, the selection of promising plant species that are capable of immobilizing heavy metals in the rhizosphere to achieve phytostabilization [11], or hyperaccumulating them in plant shoots through the phytoextraction process, allowing metals to be recycled and potentially generating a financial profit [12]. In addition, prioritizing local or native flora in such methods is crucial, as these species are already adapted to the specific environmental conditions of the area [13]. Second, given that contaminated soils are typically nutrient-deficient [14], introducing amendments is strongly recommended to promote plant growth and achieve the desired vegetative coverage [15]. The combination of these types of plants with amendments is referred to as assisted or aided phytostabilization [16]. One example of such an amendment is biochar, a carbon-rich material produced from solid biomass through a thermal process called pyrolysis [17]. Many recent studies have recognized biochar’s suitability as an amendment, making it an effective tool in phytostabilization [18,19,20,21] and plant growth optimization. Biochar incorporation into mining soils alters the soil’s physicochemical properties in several beneficial ways. For instance, it reduces the bioavailability of heavy metals by modifying soil characteristics [22], which in turn reduces their uptake by plant tissues. In this context, the successful implementation of phytomanagement strategies also depends on a comprehensive understanding of plant responses to metals toxicity, underscoring the importance of phytotoxicity assays through the plant’s growth and germination tests [23,24]. These assays elucidate the mechanisms of heavy metals uptake, translocation, and accumulation within plant organs, aiding in the selection of suitable hyperaccumulators or tolerant species for phytomanagement purposes [25,26,27]. For instance, recent studies have demonstrated the potential of plants such as jute (Corchorus capsularis) and flax (Linum usitatissimum) as phytoremediation candidates for heavy metals, highlighting their ability to accumulate and tolerate high levels of metallic contaminants, as well as their economic viability in contaminated environments [28,29]. On the other hand, short-term bioassays using plants can provide valuable insights into the bioavailability of heavy metals in soil, which is essential for risk assessment related to heavy metal contamination [30].
This study examines the potential of five locally sourced biochars to mitigate metal contamination in two soil types from the Touissit mining area in Morocco. This area is characterized by high concentrations of Pb, Zn, and Cu, highlighting the need for effective remediation strategies. To evaluate the effects of the various biochars, two test plants, Phaseolus vulgaris and Lepidium sativum, were selected due to their sensitivity to heavy metals and biochar toxicity, respectively, and their common use in ecotoxicity tests. This study assesses how biochar impacts plant growth, morphological traits, germination processes, and the bioaccumulation of Pb, Zn, and Cu in plant organs, as well as its influence on metal availability in soil. The goal is to identify which type of biochar is most effective in reducing metal toxicity and improving soil health. Additionally, utilizing two contrasting plant species provides valuable understanding into the mechanisms by which biochar influences metal availability and plant responses. Ultimately, this research aims to advance phytostabilization strategies as part of sustainable phytomanagement efforts.

2. Materials and Methods

2.1. Origin of Soils

The investigated soils were collected between 0 and 30 cm of depth from a site dedicated to reprocessing mine tailings (34°26′14″ N 1°48′58″ W), situated within the Touissit-Bou Beker mining district, located in the Oriental region of Morocco. Originating from previous lead mining activity that concluded in 2002, these tailings were initially deposited in the surroundings of Touissit city and are highly contaminated by Pb, Zn, and Cu [31,32]. The primary focus of the retreatment process is the extraction of residual lead from these tailings. As a result, two types of waste have been produced, which are identified based on their respective textures: muddy waste (Mw) and sandy waste (Sw). Mw represents the initial stream of rejected waste, produced during the screening process that eliminates clay-rich fractions and rocks. In contrast, Sw is the final waste stream, resulting from concentrate separation, and consists of a light fraction, which is released as the last residue.

2.2. Biochar Production

Five biochar types provided by BioChar Maroc, (Agadir, Morocco), previously characterized for their physicochemical parameters and sorption capacities, were used as amendments in this study [33]. The studied biochars were obtained under the same conditions from a slow pyrolysis process of various biomass types, namely, palm fronds (Pf), citrus wood (Cw), eucalyptus chips (Ec), eucalyptus wood (Ew), and argan nut shells (An). These biomasses were pyrolyzed at 500 °C for 3 h using a controlled furnace to produce the corresponding biochar types. Subsequently, the biochars were ground and sieved (La Carbonerie, Crissey, France) to obtain a uniform particle size between 0.2 and 0.5 mm.

2.3. Phytotoxicity Tests with Phaseolus vulgaris

2.3.1. Soil and Biochar Mixtures

The newly generated wastes from retreatment process, referred to as muddy waste (Mw) and sandy waste (Sw), were mixed separately with 2% of the five types of biochar, a dose chosen based on both experimental feasibility and field applicability. Higher application rates could excessively alter soil structure, while 2% aligns with recommended field rates, typically ranging between 1% and 4%, and has been shown to improve soil properties, microbial diversity, and plant growth [34,35,36]. For each treatment, 980 g of soil were mixed with 20 g of each biochar and distributed in five pots. These mixtures were then moistened for 15 days to ensure their stability. The experimental setup, including treatment details, is provided in Table 1. The water retention capacity of the different mixtures was assessed through mass difference by weighing the dry and saturated mixtures according to Equation (1):
WHC (% mass) = (Wm − Dm)/(Dm × 100)
where Wm is the mass of the saturated mixture and Dm is the mass of the dried mixture [37].

2.3.2. Growth Conditions

The entire experimental set-up lasted 27 days, including the 15 days devoted to the stabilization of soil mixtures. Day (0) corresponds to the plantation day of Phaseolus vulgaris seeds. The P. vulgaris plants were grown in a controlled growth chamber under a photoperiod of 16 h of light and 8 h of darkness, with a temperature of 22 ± 2 °C. The growth time course of P. vulgaris, either planted in Mw or in Sw amended or not with the differently sourced biochars, was measured on Day (5), Day (8), Day (10), and Day (12) of growth; where Day (12) correspond to the harvesting day.

2.3.3. Leaf Pigments and Nitrogen Balance Index Determination

To obtain information on plants stress, leaf pigments, i.e., chlorophyll (Chl), anthocyanin (Anth), flavonols (Flav) as well as the nitrogen balance index (NBI) of P. vulgaris growing in Sw amended or not with 2% of the differently sourced biochars were measured on Day (12). These pigments and the NBI index were measured using a portable leaf clip sensor (Dualex® SCIENTIFIC, Force-A, Montpellier, France).
Regarding the weak plant growth observed in Mw conditions, the abovementioned parameters were measured only in plants grown on unamended or amended Sw, where leaves were fully developed and expanded (Figure S1).

2.3.4. Surface Leaf Area (SLA)

After harvesting, leaves from each Sw treatment were collected separately, weighed, and their surface was measured. Leaf surface area was measured by scanning the leaves onto blank paper, cutting out the scanned images, and weighing them. The surface area was calculated based on the known surface area of the paper. The surface leaf area was expressed as the ratio between the surface area in square meters and the leaf dry mass in kilograms [38], following Equation (2):
SLA (m2·kg−1) = (Leaf surface area)/(Leaf dry mass)

2.3.5. Metal Accumulation

On the harvesting day, P. vulgaris plants were meticulously collected, with leaves, stems, and roots separated. Roots were washed five times using ultrapure water to remove any residual soil particles. All plant parts were dried in an oven at 60 °C for 1 day. Then, the dry mass was weighed, and each plant part was ground separately to obtain a homogeneous powder for leaves, stems, and roots. Subsequently, 200 mg of each powder were acidified with 3 mL of HCl 37% and 6 mL of HNO3 65% [39].
The digestion process of plant samples was carried out using a microwave system (Multiwave 3000; Anton Paar GmbH, Ostfildern, Germany), gradually heating to 180 °C over 30 min, followed by a 15 min cooling period. The digested samples of leaves, stems, and roots were brought to a final volume of 25 mL with ultrapure water (18 MΩ cm−1) and analyzed using inductively coupled plasma atomic emission spectroscopy (ICP-AES) (ULTIMA 2, HORIBA, Lab-compare, San Francisco, CA, USA).

2.3.6. Soil Pore Water

Soil pore water (SPW) was collected twice, on Day (0) and Day (12), corresponding to the planting and harvesting days, respectively. The SPW collection was conducted using a soil moisture sampler (Rhizon®, Model MOM, Rhizosphere Research Products, Wageningen, The Netherlands), which was placed in each pot at a depth ranging from 0 to 7 cm, corresponding to the porous section of the sampler. This section consists of a polyethersulfon (PES) membrane with a diameter of 2.5 mm and a pore size of 0.15 µm, ensuring effective extraction of SPW while preventing soil particle intrusion.
The pots were water-saturated before sampling, and the SPW was collected under vacuum using a double luer-lock connected to a syringe. On each sampling day D(0) and D(12), 10 mL of SPW were collected and subjected to pH and electrical conductivity (EC) measurements using a multiparameter device (Seven Excellence, Mettler-Toledo AG, Greifensee, Switzerland) after calibration according to AFNOR norm NF T01-013. Finally, 5 mL of each SPW sample was acidified with 83 µL of HNO3 65% for metal analysis using ICP-AES [40].

2.4. Phytotoxicity Tests on the Germination of Lepidium sativum Seeds

This study assessed the use of Lepidium sativum as a standardized bioassay for short-term acute toxicity [41], adapted from the norm AFNOR X 31-201. The assay aimed to determine the inhibitory effect of the five biochar types on L. sativum germination and growth. L. sativum seeds were carefully selected based on their color and vigor, while any seeds presenting abnormal morphology or damage were discarded. For the biochar treatments, 1 g of each biochar type (Pf, Cw, Ec, Ew, and An) was added to the Petri dishes (diameter 8 cm). Ten seeds were then placed on these biochars and watered with 2 mL of ultrapure water (18 MΩ cm−1). Fontainebleau sand (FS) (<2 mm) was used at the same quantity as biochar and served as a control for comparisons. After 72 h in darkness at 22 °C ± 2, the germination rate of seeds for each treatment was recorded and calculated using Equation (3):
Germination rate (%) = [(Number of germinated seeds)/(Total tested seeds)] × 100
Additionally, the lengths of the stems and roots of each germinated seed were measured using a ruler. The seed vigor index (SVI) was calculated for comparison purposes, following Equation (4):
SVI = length of seedling (mm) × germination rate (%)

2.5. Data Analysis

Data calculations in this study were conducted using Excel (Microsoft Office 365, 2016). Statistical analyses were carried out using R Studio software version 3.6.3. The normality of the data was assessed using the Shapiro–Wilk test, and supplemented by either Bartlett’s or Fligner–Killeen tests to determine the homoscedasticity of variances. Parametric tests, such as ANOVA, were utilized to assess significant differences (p < 0.05) between means for normally distributed data, while non-parametric tests, such as the Kruskal–Wallis test, were employed for non-normal data. Additionally, post hoc tests, such as Tukey HSD or pairwise Wilcoxon tests, were applied to the data.

3. Results and Discussion

3.1. Impact of Unamended and Biochar-Amended Mw and Sw on Phaseolus vulgaris Phytotoxicity

3.1.1. Water Holding Capacity of Tested Soils

The results presented in Figure 1 demonstrate significant variations in WHC among Mw and Sw, both with and without biochar amendments. When biochar was added to Mw soil, Pf, Cw, Ec, and Ew biochars showed improvements in WHC compared to untreated Mw (Figure 1A), except for Mw amended with argan nut shells (Mw.An). Notably, Mw amended with Pf biochar showed the most substantial increase in WHC (23.63%), in respect to the control (Mw). Similarly, the amended Sw soil exhibited improved WHC, except in the Sw.An mixture (Figure 1B).
The authors highlighted the complex interaction of biochar with soil, emphasizing the importance of considering variations stemming from the biochar production method and its feedstock, as well as the biological characteristics of the soil [42]. In the current study, all biochar types were produced under the same pyrolysis condition [33], indicating that the structural properties of biochar are the primary factor driving the improvement in WHC in both wastes. The physicochemical characterization of these biochars revealed that Pf biochar outperforms others in terms of the extent of porosity and specific surface area [33], which enhances water retention. Accordingly, several authors have drawn similar conclusions [33,42]. A meta-analysis showed that biochar application increases the available water for plants by 14% to 45%, depending on soil texture from fine to coarse [43]. In contrast, WHC could decrease in presence of biochar depending on other factors such as its inner hydrophobicity, which is controlled by its surface cation exchange capacity [44,45]. Similarly, a study showed that the efficacy of biochar may diminish under certain conditions, specifically if it has a low pore volume or if the soil texture is predominantly fine [46]. This statement sheds light on the varying behavior of biochar when applied to different soil textures. Regarding our findings, the addition of biochar to Mw increased the WHC by 1.72% (Ec), 1.73% (Ew), 2.24% (Cw), and 2.81% (Pf) (Figure 1A). Conversely, when added to Sw, the WHC increased by 2.08% (Ec), 2.14% (Cw), 2.4% (Ew), and 2.53% (Pf) (Figure 1B). Indeed, despite the significant increase stated with the different biochar types (except An), the order of increase was not consistent. Notably, Pf showed significant differences when applied to both wastes. Such results clearly indicate the influence of soil texture and biochar parameters on its effectiveness in retaining water.

3.1.2. Plant Growth

  • Stems height and dry mass
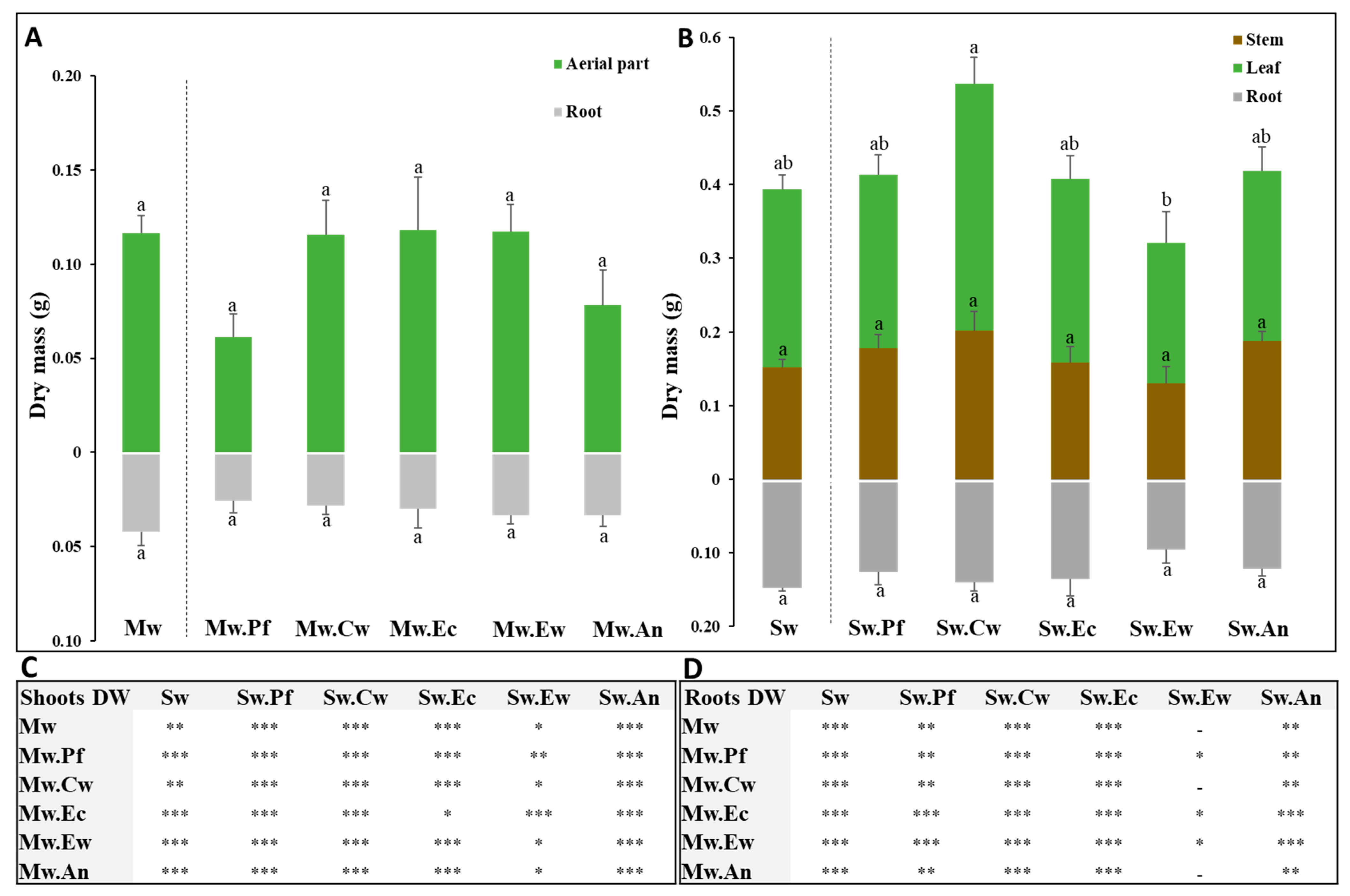
During the 12 days of Phaseolus vulgaris growth, four measurements of stem heights were carried out in D(5), D(8), D(10), and at the harvesting day D(12) (Figure 2). Interestingly, P. vulgaris growth was more important in Sw amended or not with biochar than all modalities of Mw. Hence, numerous plants did not succeed to grow in amended and unamended Mw.
Firstly, this loss has been attributed to the sticky form of Mw, which stems from its clayey texture. Indeed, clay-rich soils exhibit unique colloidal properties that significantly influence soil structure to obtain more compactness [47] and thus limiting root development. Considering biochar addition, it is suggested that soil colloids may interact and influence biochar colloids resulting in an increase in biochar stability and water and nutrient retention [48]. Secondly, the failure and weak plants growth in Mw could be caused by the presence of metallic pollutants. In line with these findings, a study illustrated through a pot-based assay that elevating levels of Pb, Cd, and Ni up to 400 mg.kg−1 negatively influenced Phaseolus vulgaris growth and decreased its nitrogen fixation capabilities [49]. Regarding our findings, at the last day of measurement, D(12), P. vulgaris grown on Mw paradoxically presented the greater stem’s heights (Figure 2A). Additionally, the plants grown on Mw did not show any significant difference from those growing in biochar-amended Mw (Figure 3A). These results suggest that biochars did not show any significant effect on promoting plant growth when added to Mw. This lack of effect, or even inhibition, may be attributed to certain physicochemical properties of biochars, which are influenced by their feedstocks type and pyrolysis process [50]. Moreover, a study highlighted that the application of fresh biochar to alkaline soils can lead to a short-term depletion effect on nutrient availability, characterized by reduced phosphorus solubility and increased precipitation [51], ultimately resulting in lower plant growth.
In case of Sw, the growth of P. vulgaris was more important in respect to Mw and was statistically significant in shoots (Figure 3C) and roots (Figure 3D). Additionally, the addition of An biochar exhibited the highest stems height, reaching 10.24 cm (Figure 2), which was significantly higher than the stems of plants grown on Sw and Sw.Ew. However, plants’ dry masses showed no statistical differences, with the exception of Sw.Cw and Sw.Ew. Indeed, plants grown on Sw.Cw showed marked growth, but the only significant difference was observed when compared to the dry mass of Sw.Ew leaves. Overall, P. vulgaris growth on biochar-amended and unamended Sw was greater than the growth observed on Mw treatments. In a meta-analysis that explored the combined influence of biochar properties and soil texture on plant growth, the authors found that biochar application tends to result in a more pronounced enhancement in plant productivity in sandy soils compared to clay-textured soils, where the positive effects are somewhat less prominent [52]. In line with these findings, our results showed that Sw provided a more adequate environment for plant growth compared to Mw. Therefore, it could be hypothesized that Sw alone or amended with biochar may promote significant plant growth due to its sandy texture, potentially offering better drainage and aeration properties that are conducive to root development and nutrient uptake. Conversely, Mw may possess characteristics such as poor drainage, compaction, and increased metallic trace elements (MTEs) contamination, which could inhibit plant growth.
  • Leaf specific area and pigments
SLA, NBI, and epidermal leaf pigments (chlorophyll, flavonoid, and anthocyanin) measurements were carried out only on P. vulgaris leaves growing on Sw, since the leaves of plants growing on Mw were not well developed or even absent. Plants grown on Sw soil presented a total surface leaf area of 26.30 m2·kg−1 (Table 2). Interestingly, biochar addition showed low SLA with respect to control, except Pf, which resulted in a significantly higher SLA that was equal to 32.25 m2·kg−1. Additionally, the chlorophyll content has been utilized as an indicator of metal-induced stress affecting plant growth, as it is readily influenced by both biotic and abiotic factors [53,54]. In this study, the chlorophyll concentration in the leaves of P. vulgaris grown in Sw was slightly higher at 30.78 μg·cm2, compared to those in the biochar-amended Sw, with the lowest content observed in Sw.Ec (25.44 μg·cm2). However, no significant differences were detected.
The flavonoid content in the leaves of Sw plants was quantified as 1.01 a.u. and remained unaffected by biochar amendments. However, while not statistically significant, flavonoid levels in the leaves showed a slight reduction when Sw was amended with various biochars, with the most pronounced decrease observed in Sw.Pf (0.64 a.u.). This trend aligns with a study where they reported a similar slight reduction in flavonoid levels in Salix viminalis L. leaves after biochar was added to mining soil contaminated with Pb and As [55].
Anthocyanin was undetectable for Sw, Sw.Pf, Sw.Ew, and Sw.An with two low values registered for Sw.Cw and Sw.Ec. Anthocyanin measurement helps to understand plants response to abiotic stress including heavy metals stress [56]. Thus, the absence or very low values suggest that metal contamination of Sw did not affect P. vulgaris at least during the first 12 days of planting.
The NBI has been used in this study to more accurately evaluate the N status of P. vulgaris plants [57,58]. Remarkably, the NBI with Sw.Pf treatment presented the highest value of 48.48 a.u., which was significantly higher than the NBI measured on Sw.Cw and Sw.Ec (Table 2). This increase is certainly related to the higher SLA observed with this treatment (32.25 m2·kg−1). Relatively, a study showed that low SLA and nitrogen content were related and led to a low photosynthetic rate [59] and therefore resulting in a low plant growth. On the other hand, Sw.Cw (28.96 a.u.) and Sw.Ec (29.58 a.u.) presented lower but insignificant NBI values compared to Sw alone (31.36 a.u.). However, the application of biochar can still cause short-term nutrient deficiencies in the soil, potentially affecting plant growth. Indeed, authors observed that the addition of 2% biochar to a coarse-textured soil decreased the soil’s inorganic nitrogen, especially in the first month of application [60]. This underlines the importance of considering the short- and long-term effects of biochar on soil characteristics to prevent potential negative impacts on plant growth.

3.1.3. Soil Pore Water (SPW) Physico-Chemical Properties

  • SPW pH and Electrical Conductivity (EC)
The pH and EC of soil pore water were investigated on two sampling days, D(0) and D(12), in both biochar-amended and unamended Mw and Sw. On D(0), the pH in the Mw and Sw was alkaline, with Mw recording a pH of 7.48 (Figure 4A), which was significantly lower compared to Sw at 8.05 (Figure 4C). By D(12), which corresponds to the harvesting day of P. vulgaris, the pH decreased to 7.28 in Mw and 7.47 in Sw. At the day of planting (D(0)), Mw amended with the various biochars resulted in a significant increase in pH compared to Mw alone. In contrast, the addition of Cw, Ew, and An biochars to Sw did not significantly alter pH in respect to Sw alone. In particular, Sw amended with Pf and Ec biochars reached a pH value of 7.88, which represents a significant decrease from the pH of unamended Sw.
At D(12), biochar-amended Mw sustained the increase in pH within the period of planting. A similar trend of pH increase was observed with Sw amended with biochar, except for Sw.Pf, where the SPW pH significantly decreased to 7.27 compared to Sw (7.47). Notably, the addition of Cw to either Mw or Sw resulted in the highest increase in pH at D(12), with values reaching up to 7.78, for both treatments. The pH of the tested biochars ranged between 8.16 and 8.84, corresponding to An and Pf, respectively [33]. These pH values are notably higher than the pH values of both Mw and Sw. Thus, the alkaline nature of these biochars contributed to the observed increase in SPW’s pH across most treatments, potentially through a liming effect [60,61]. This occurrence is linked to the dissolution of readily soluble salts present in biochars’ ash content, including carbonates of K, Na, Mg, as well as metal oxides and hydroxides [62], followed by the involvement of less soluble carbonates like CaCO3 [63]. Additionally, the process of pyrolysis results in the volatilization of acidic functional groups [64], thereby increasing the presence of O containing functional groups in the biochar surface (such as COO and O) that are capable of neutralizing H+ ions from the SPW [60]. Moreover, biochar capacity to enhance pH is more likely to result in metal precipitation [65]. Indeed, the application of biochar on alkaline soil may further raise its pH, resulting in a negative impact on soil nutrient availability for plants [66].
During the 12 days of growing, the pH of SPW for Mw treatments combined with different biochars remained relatively stable between the two sampling days, D(0) and D(12). However, there was a notable decrease in pH at D(12) compared to D(0) for all treatments corresponding to Sw amended with the different biochar types. Particularly, Sw.Pf exhibited a significant decrease of 0.61 unit in SPW pH. This trend suggests a potential acidification of the rhizospheric soil probably due to root exudation activity, countering the liming effect of biochar [67]. Overall, the observed decline in pH supports the hypothesis that acidic root exudates may induce changes in soil chemistry and properties by releasing metabolites such as organic and amino acids [68]. Additionally, the lack of root system development in Mw-containing soils is certainly the reason why no pH fluctuation was observed between D(0) and D(12) in such treatments.
On the other hand, the EC at D(0) exhibited a notable disparity, being significantly greater in Mw at 6965.72 μS·cm−1 (Figure 4B) compared to Sw at 680.16 μS·cm−1 (Figure 4D). These changes could be attributed to Mw’s clay-rich texture. Indeed, clay-rich soils, with their fine particles, have a greater surface area that can hold more water and nutrients [69,70], which enhance the soil’s ability to conduct electricity, thereby contributing to higher EC levels.
During the planting day, differences emerged within the biochar-amended Mw treatments. Indeed, Mw.An soil showed the highest value at 8259 μS·cm−1, which was significantly higher than Mw.Cw (6319.50 μS·cm−1), Mw.Ec (5416.12 μS·cm−1), and Mw.Ew (5500.08 μS·cm−1). However, it did not differ significantly from Mw. On the same day, biochar addition to Sw led to a slight increase in EC compared to Sw, with Sw.Pf showing the most significant elevation up to 3520.84 μS·cm−1, precisely 5.2-fold higher than Sw. The observed increase in EC following biochar addition could be attributed to several factors, including (1) biochar ash content (Pf (21%)) [33,71]; (2) biochar’s EC itself [72], as demonstrated by Pf (10,745.77 μS.cm−1) and An (1170.13 μS.cm−1) in our previous work [33]; (3) the dissolution of soluble salts and nutrient leaching [73]; as well as (4) MTEs ions presence in SPW [74]. Accordingly, the authors observed a positive correlation between the increase in the SPW’s EC measured in mixtures of a polycontaminated soil amended with 5% of three different biochars [75]. This increase was attributed to biochars ash content and their inner EC values.
On Day (12), EC was significantly higher only in the case of Sw amended with Pf (2232.58 μS·cm−1). Overall, monitoring the evolution of EC in Mw, whether amended or not with different biochar types, revealed a moderate decrease from D(0) to D(12). Similarly, for Sw amended with the five biochars, there was a slight decrease in EC, except for An. The observed reduction in EC over time suggests that chemical interactions occurred between roots and substrates during the 12 days of planting, leading to decreased EC in most conditions.
  • SPW Pb, Zn, and Cu Concentration
On the planting day, concentrations of Pb in the SPW of Mw exhibited the highest value at 0.49 mg·L−1. Whereas, Zn and Cu exhibited a less important concentration corresponding to 0.24 mg·L−1 (Figure 5B) and 0.07 mg.L−1 (Figure 5C), respectively. For Pb and Cu, their SPW concentration decreased after 12 days, declining to 0.39 mg·L−1 for Pb (Figure 5A), and 0.03 mg·L−1 for Cu (Figure 5C). This slight decrease could be explained by various mechanisms: (1) the plants’ uptake of metals [76]; (2) chemical reactions that may occur between metals and the dissolved organic compounds in soil [77,78], leading to (3) metal complexation with the soil matrix and/or precipitation [79,80]. The use of biochar as a soil amendment is proposed to promote the metal immobilization process in soil. This process is aided by its multiple physicochemical characteristics, including its large microporosity and specific surface area, cation exchange capacity, as well as its surface functional groups, which interact directly or indirectly in mitigating metals [15,81,82]. Regarding our results, the addition of the different biochar types to Mw significantly decreased Pb levels at D(0), with Mw.Pf (0.14 mg·L−1) and Mw.Ew (0.17 mg·L−1) treatments presenting the sharpest decrease. In terms of Zn SPW, Pf was the only biochar that significantly decreased Zn concentration to 0.10 mg·L−1. Accordingly, a study reported a reduction in Pb and Zn levels in SPW following biochar application in combination with willow and ryegrass within the context of an assisted phytoremediation of a polycontaminated mining soil [83]. However, an outstanding difference emerges in the behavior of biochar in respect to the influence of plants. While in their study they found that biochar was the main acting agent on metal availability, our results highlight a more pronounced effect of the employed plant species. Indeed, at D(12), the ability of biochar to reduce metal concentrations appeared diminished, with some values aligning with or exceeding those found in unamended Mw. This suggests that the impact of biochar may be moderated or even reduced by specific plants, indicating that the effects on rhizospheric soil and metal mobility may vary significantly between different plant species.
On the other hand, both Pb and Zn in SPW were undetectable at D(0) either in amended or unamended Sw (Figure 5D,E), while Cu (Figure 5F) was found at a low concentration of 0.057 mg·L−1 in Sw alone. By D(12), Pb and Zn became detectable in Sw, showing increases to 0.23 mg·L−1 and 0.29 mg·L−1, respectively. Additionally, Cu concentration in Sw was approximately 3.5-fold higher at D(12) compared to D(0). Moreover, this increase over time was also observed with biochar-amended Sw. Indeed, Pf showed the highest value for Pb (0.24 mg·L−1) and Zn (0.52 mg·L−1), which were even higher compared to unamended Sw, although not statistically significant. However, at D(12), Sw.Cw presented the most significant decrease in both Pb (0.15 mg·L−1) and Zn (0.06 mg·L−1) in respect to Sw. In terms of Cu, only Pf (0.04 mg·L−1) and An (0.034 mg·L−1) biochars exhibited a significant decrease compared to Sw at D(0). However, despite the notable increase in Cu observed in unamended Sw after 12 days of planting, all biochars significantly reduced Cu levels. Notably, Ew demonstrated the most important decrease, reducing Cu by a remarkable 23-fold, followed by Ec (9.3-fold), Cw (5.7-fold), An (3.9-fold), and Pf (2.7-fold). These disparities in metals availability following biochar application could be attributed to several factors including (1) biochar characteristics derived from its feedstock type, (2) soil type, (3) plant roots effect, (4) the interaction of soil–plant–biochar, as well as (5) the competition that may occur between the three metals regarding their sorption by biochar and uptake by plants [84,85,86,87,88,89].

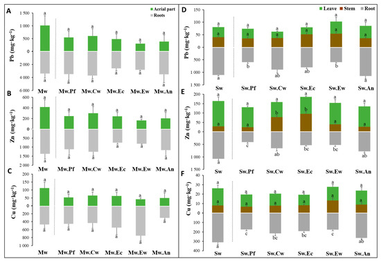
3.1.4. Metals Accumulation by P. vulgaris Tissues

Since an overall weak growth and barely distinguishable aerial parts were observed in plants exposed to both unamended and amended Mw, metal accumulation was assessed in these two parts without distinguishing between leaves and stems (Figure 6). In unamended Mw, Pb accumulation in aerial parts and roots (Figure 6A) was 2.5 times higher than Zn (Figure 6B). Moreover, Pb accumulation was 10-fold higher in shoots and 7-fold higher in roots compared to Cu (Figure 6C). This could be attributed to the availability of these metals in soil pore water, which governs their accumulation in plants. Indeed, differences in metal bioavailability may be related to soil characteristics, such as pH, or to the intrinsic properties of the metals, including solubility and speciation [90]. Additionally, this pattern could also be attributed to plant factors, as Phaseolus vulgaris is a non-metalophyte species with a strong ability to accumulate MTEs [91], making it an interesting bioindicator of MTE-associated phytotoxicity. On the other hand, biochar-amended Mw treatments resulted in a reduction in metal accumulation in the aerial parts, with levels about half of those observed in unamended Mw, although the differences were not statistically significant. Similarly, no significant differences were noted in root accumulation.
Regarding Sw, plants showed a greater accumulation of Zn (Figure 6E) compared to Pb (Figure 6D) and Cu (Figure 6F), with Zn being mostly accumulated in leaves, registering a value of 136.17 mg·kg−1. The absorption of Zn by roots and its differential accumulation in various plant organs are regulated by transporter proteins and chelating ligands, which are influenced by several factors, including plant species, phenological stage, and Zn availability in the soil [92]. However, Pb and Zn accumulation in roots was quite similar, with values of 1107.20 mg·kg−1 and 1077.68 mg·kg−1, respectively. This similarity could be linked to their comparable bioavailability behavior in SPW of Sw. When biochar was applied, it significantly reduced Pb accumulation in Sw.Pf (591.62 mg·kg−1) and Sw.Ew (597.67 mg·kg−1) treatments, compared to unamended Sw plants. Similarly, Zn content in roots was significantly reduced in Sw.Ew (522.39 mg·kg−1), Sw.Ec (532.41 mg·kg−1), and Sw.Pf (407.52 mg·kg−1) treatments. In the case of Cu, all biochars significantly decreased its accumulation in roots, except for An biochar. Despite these reductions, none of the amended treatments showed significant differences from unamended Sw, and in some cases, such as Zn content in Sw.Cw and Sw.Ec stems, biochar presence even led to higher metal accumulation.
These results suggest that Phaseolus vulgaris’ ability to accumulate metals outpaced biochar’s capacity to retain them. This could be attributed to two main factors: (1) the alkalinity of the soil, which diminishes biochar’s liming effect, and (2) the specific characteristics and application rates of biochar. Indeed, varying biochar application rates can yield different outcomes. For instance, Ibrahim et al. (2022) found that a lower application rate (2%) of Casuarina biochar led to the highest dry mass for root and shoot growth in summer squash, followed by mango and Salix biochars [93]. However, a higher application rate (4%) of Casuarina biochar was more effective at reducing the availability and bioaccumulation of Cd, Co, Cr, Cu, Ni, Pb, and Zn in both roots and shoots. In our study, Pf biochar showed the lowest metal accumulation in roots when applied to Sw (Figure 6D–F). This differential reduction across biochar types highlights the importance of the intrinsic properties of biochar in influencing metal availability [94]. Indeed, the characterization of the five studied biochars revealed that Pf biochar, with its high porosity (91%) and ash content (23.87%), outperformed the others [33]. However, the effect of ash content on metal availability depends on the type of biochar. Zhou et al. (2016) reported that the impact of ash content on Cu2⁺ sorption is influenced by the chemical composition of the biochar, with biochars rich in anions (e.g., P O 4 3 , C O 4 3 ) being more effective at removing Cu2⁺ from aqueous solutions [95]. Overall, our results highlight the relationship between plant characteristics, soil conditions, and biochar properties in controlling metal accumulation.

3.2. Germination and Growth of Lepidium sativum on Various Biochar Types

The standard germination tests and seedling length measurement in biochars (Figure 7), have been used to assess the effect of biochars on the germination and plant growth of Lepidium sativum seeds. The germination tests among different biochar types revealed that Pf and Ew biochars had a germination rate of 100%, which outperformed the control (FS) at 90%. Moreover, An biochar showed similar rate as the control, while Cw and Ec showed lower rates of 80% and 70%, respectively. However, these variations remain not clear and may be influenced by factors other than the biochar itself, such as the inherent germination abilities of the seeds. Notably, some treatments resulted in seeds with hard coats, indicating potential impermeability or mechanical resistance that could obstruct the diffusion of water and oxygen, leading to physical dormancy [96]. Given the presence of such factors, it is premature to draw definitive conclusions about the efficacy of the biochars solely based on germination rates.
Following the three days of incubation, L. sativum root and shoot length measurements revealed significant differences in terms of biochar types effect. Ec and Cw biochars demonstrated the most favorable growth conditions in terms of roots and shoots, respectively. Interestingly, An biochar showed the most significant decrease in terms of roots and shoots growth, although having the same germination rate as FS. These results have been elucidated by calculating the seed vigor index. Indeed, the SVI indicated favorable indices in all biochar types in respect to FS (236), ranging between 282 and 353, except for An biochar, which exhibited a notably lower index of 88. These findings suggested an inhibitory effect from An biochar, at least on the development of the roots and aerial parts of L. sativum. Whereas, the other biochar types demonstrated efficiency in promoting plant growth. It is worth noting that biochars produced from certain feedstocks may also have adverse effects on plant growth or result in unwanted residual materials assimilated by plants [97]. This statement highlights the need of conducting short bio-assays directly on biochar to prevent its possible adverse effects on plants.

4. Conclusions

The assessment of the phytotoxicity of sandy waste and muddy waste on Phaseolus vulgaris highlighted significant variations in the measured parameters. The different biochar types behaved distinctively depending on the soil type. Generally, biochar additions improved the water holding capacity independently of soil type, which was related to their porous structure and hydrophilic characteristics. However, the effect of biochar on plant growth varied, with no significant improvement observed in Mw. In fact, Phaseolus vulgaris exhibited better growth in Sw compared to Mw, which can be attributed to the sandy texture of Sw. This texture offered superior drainage and aeration properties and allowed an optimal rooting of plants. Additionally, biochars addition caused fluctuations in soil pore water pH and EC, which probably affected the bioavailability of Pb, Zn, and Cu within the 12-day planting period. MTEs availability depended on several other factors, including metal type, soil, and plant characteristics, which influenced their solubility in the rhizospheric soil. In terms of the plant MTEs uptake, there was no effect of biochar observed in Mw-containing treatments. In the case of Sw, the sole noted decrease occurred in the roots, primarily in the presence of Pf biochar, while An biochar registered the highest accumulation in roots compared to other biochars. Furthermore, results from the germination test using Lepidium sativum indicated that An biochar slowed the development of roots and shoots, despite showing a similar germination rate to the control. Overall, the accumulation of these MTEs appeared independent of biochar addition and was more closely related to soil characteristics and the plant’s ability to uptake metals. Nevertheless, the impact of biochar on metal availability and its role in decreasing root accumulation in Sw cannot be dismissed. It is suggested that these biochars could be more effective in sandy soils than in clayey ones, as they promoted plant growth. Therefore, they may hold potential for reducing Pb, Zn, and Cu if applied to acidic sandy soils or in combination with other plant species. These biochars could be a promising option for use in aided-phytostabilization strategies aimed at mitigating and stabilizing metallic pollution through the use of plants and soil amendments.
Future research needs to focus on optimizing biochar application techniques for specific soil types and environmental conditions. Improving production methods and assessing the long-term effects of biochar on soil and plant health will be essential to ensure its potential for environmental remediation.

Supplementary Materials

The following supporting information can be downloaded at: https://www.mdpi.com/article/10.3390/land14020372/s1; Table S1: Significant differences in pH and EC between amended and unamended Mw and Sw at D(0) and D(12) are indicated by * for p < 0.05, ** for p < 0.01, and *** for p < 0.001. Table S2: Significant differences in soil pore water Pb, Zn and Cu between amended and unamended Mw and Sw at D(0) and D(12) are indicated by * for p < 0.05, ** for p < 0.01, and *** for p < 0.001. Figure S1. Experimental plants from each treatment: (A) Sandy Waste (Sw) alone or with biochar, and (B) Muddy Waste (Mw) alone or with biochar.

Author Contributions

Conceptualization, Y.C. and D.M.; methodology, Y.C. and S.B.; software, Y.C. and M.S.-V.; validation, Y.C., S.C., H.H., A.C., M.O. and M.S.-V.; formal analysis, Y.C. and M.S.-V.; investigation, Y.C.; resources, D.M. and S.B.; data curation, Y.C.; writing—original draft preparation, Y.C.; writing—review and editing, D.M., S.B. and M.S.-V.; supervision, D.M., S.C. and S.B. All authors have read and agreed to the published version of the manuscript.

Funding

This research received no external funding.

Data Availability Statement

The raw data supporting the conclusions of this article will be made available by the authors on request.

Conflicts of Interest

The authors declare no conflicts of interest.

Abbreviations

AbbreviationFull form
An Argan nut
AnthAnthocyanin
Chl Chlorophyll
Cw Citrus wood
D Day
Dm Dry mass
EC Electrical conductivity
Ec Eucalyptus chips
Ew Eucalyptus wood
Flav Flavonols
ICP-AES Inductively coupled plasma atomic emission spectroscopy
MTE Metallic trace element
Mw Muddy waste
NBI Nitrogen balance index
Pf Palm fronds
SE Standard error
SLA Surface leaf area
SPW Soil pore water
SVI Seed vigor index
Sw Sandy waste
WHC Water holding capacity
WmWet mass

References

  1. Agboola, O.; Babatunde, D.E.; Isaac Fayomi, O.S.; Sadiku, E.R.; Popoola, P.; Moropeng, L.; Yahaya, A.; Mamudu, O.A. A Review on the Impact of Mining Operation: Monitoring, Assessment and Management. Results Eng. 2020, 8, 100181. [Google Scholar] [CrossRef]
  2. Ahmad, W.; Alharthy, R.D.; Zubair, M.; Ahmed, M.; Hameed, A.; Rafique, S. Toxic and Heavy Metals Contamination Assessment in Soil and Water to Evaluate Human Health Risk. Sci. Rep. 2021, 11, 17006. [Google Scholar] [CrossRef]
  3. Tang, J.; Zhang, L.; Zhang, J.; Ren, L.; Zhou, Y.; Zheng, Y.; Luo, L.; Yang, Y.; Huang, H.; Chen, A. Physicochemical Features, Metal Availability and Enzyme Activity in Heavy Metal-Polluted Soil Remediated by Biochar and Compost. Sci. Total Environ. 2020, 701, 134751. [Google Scholar] [CrossRef]
  4. Dhaliwal, S.S.; Singh, J.; Taneja, P.K.; Mandal, A. Remediation Techniques for Removal of Heavy Metals from the Soil Contaminated through Different Sources: A Review. Environ. Sci. Pollut. Res. Int. 2020, 27, 1319–1333. [Google Scholar] [CrossRef]
  5. Tekere, M. Biological Strategies for Heavy Metal Remediation. In Methods for Bioremediation of Water and Wastewater Pollution; Inamuddin Ahamed, M.I., Lichtfouse, E., Asiri, A.M., Eds.; Springer International Publishing: Cham, Switzerland, 2020; pp. 393–413. ISBN 978-3-030-48985-4. [Google Scholar]
  6. Dixit, R.; Wasiullah; Malaviya, D.; Pandiyan, K.; Singh, U.B.; Sahu, A.; Shukla, R.; Singh, B.P.; Rai, J.P.; Sharma, P.K.; et al. Bioremediation of Heavy Metals from Soil and Aquatic Environment: An Overview of Principles and Criteria of Fundamental Processes. Sustainability 2015, 7, 2189–2212. [Google Scholar] [CrossRef]
  7. Singh, A.; Pal, D.B.; Mohammad, A.; Alhazmi, A.; Haque, S.; Yoon, T.; Srivastava, N.; Gupta, V.K. Biological Remediation Technologies for Dyes and Heavy Metals in Wastewater Treatment: New Insight. Bioresour. Technol. 2022, 343, 126154. [Google Scholar] [CrossRef]
  8. Wang, L.; Rinklebe, J.; Tack, F.M.G.; Hou, D. A Review of Green Remediation Strategies for Heavy Metal Contaminated Soil. Soil Use Manag. 2021, 37, 936–963. [Google Scholar] [CrossRef]
  9. Worlanyo, A.S.; Jiangfeng, L. Evaluating the Environmental and Economic Impact of Mining for Post-Mined Land Restoration and Land-Use: A Review. J. Environ. Manag. 2021, 279, 111623. [Google Scholar] [CrossRef] [PubMed]
  10. Garbisu, C.; Alkorta, I.; Kidd, P.; Epelde, L.; Mench, M. Keep and Promote Biodiversity at Polluted Sites under Phytomanagement. Environ. Sci. Pollut. Res. 2020, 27, 44820–44834. [Google Scholar] [CrossRef] [PubMed]
  11. Bakshe, P.; Jugade, R. Phytostabilization and Rhizofiltration of Toxic Heavy Metals by Heavy Metal Accumulator Plants for Sustainable Management of Contaminated Industrial Sites: A Comprehensive Review. J. Hazard. Mater. Adv. 2023, 10, 100293. [Google Scholar] [CrossRef]
  12. Corzo Remigio, A.; Chaney, R.L.; Baker, A.J.M.; Edraki, M.; Erskine, P.D.; Echevarria, G.; van der Ent, A. Phytoextraction of High Value Elements and Contaminants from Mining and Mineral Wastes: Opportunities and Limitations. Plant Soil 2020, 449, 11–37. [Google Scholar] [CrossRef]
  13. Zine, H.; Midhat, L.; Hakkou, R.; El Adnani, M.; Ouhammou, A. Guidelines for a Phytomanagement Plan by the Phytostabilization of Mining Wastes. Sci. Afr. 2020, 10, e00654. [Google Scholar] [CrossRef]
  14. Yuan, Y.; Ren, Y.; Gao, G.; Zhao, Z.; Niu, S. Intra- and Interspecific Interactions among Pioneer Trees Affect Forest-Biomass Carbon Accumulation in a Nutrient-Deficient Reclaimed Coal Mine Spoil. Forests 2020, 11, 819. [Google Scholar] [CrossRef]
  15. Palansooriya, K.N.; Shaheen, S.M.; Chen, S.S.; Tsang, D.C.W.; Hashimoto, Y.; Hou, D.; Bolan, N.S.; Rinklebe, J.; Ok, Y.S. Soil Amendments for Immobilization of Potentially Toxic Elements in Contaminated Soils: A Critical Review. Environ. Int. 2020, 134, 105046. [Google Scholar] [CrossRef]
  16. Lacalle, R.G.; Bernal, M.P.; Álvarez-Robles, M.J.; Clemente, R. Phytostabilization of Soils Contaminated with As, Cd, Cu, Pb and Zn: Physicochemical, Toxicological and Biological Evaluations. Soil Environ. Health 2023, 1, 100014. [Google Scholar] [CrossRef]
  17. Danesh, P.; Niaparast, P.; Ghorbannezhad, P.; Ali, I. Biochar Production: Recent Developments, Applications, and Challenges. Fuel 2023, 337, 126889. [Google Scholar] [CrossRef]
  18. Radziemska, M.; Gusiatin, M.Z.; Cydzik-Kwiatkowska, A.; Blazejczyk, A.; Holatko, J.; Brtnicky, M. Does Biochar in Combination with Compost Effectively Promote Phytostabilization of Heavy Metals in Soil under Different Temperature Regimes? Sci. Total Environ. 2023, 882, 163634. [Google Scholar] [CrossRef] [PubMed]
  19. Radziemska, M.; Gusiatin, Z.M.; Mazur, Z.; Hammerschmiedt, T.; Bęś, A.; Kintl, A.; Galiova, M.V.; Holatko, J.; Blazejczyk, A.; Kumar, V.; et al. Biochar-Assisted Phytostabilization for Potentially Toxic Element Immobilization. Sustainability 2022, 14, 445. [Google Scholar] [CrossRef]
  20. Ai, Y.; Wang, Y.; Song, L.; Hong, W.; Zhang, Z.; Li, X.; Zhou, S.; Zhou, J. Effects of Biochar on the Physiology and Heavy Metal Enrichment of Vetiveria zizanioides in Contaminated Soil in Mining Areas. J. Hazard. Mater. 2023, 448, 130965. [Google Scholar] [CrossRef]
  21. Qiu, J.; De Souza, M.F.; Wang, X.; Ok, Y.S.; Meers, E. Influence of Biochar Addition and Plant Management (Cutting and Time) on Ryegrass Growth and Migration of As and Pb during Phytostabilization. Sci. Total Environ. 2024, 913, 169771. [Google Scholar] [CrossRef] [PubMed]
  22. Yuan, C.; Gao, B.; Peng, Y.; Gao, X.; Fan, B.; Chen, Q. A Meta-Analysis of Heavy Metal Bioavailability Response to Biochar Aging: Importance of Soil and Biochar Properties. Sci. Total Environ. 2021, 756, 144058. [Google Scholar] [CrossRef] [PubMed]
  23. Zhao, X.; Joo, J.C.; Kim, J.Y. Evaluation of Heavy Metal Phytotoxicity to Helianthus annuus L. Using Seedling Vigor Index-Soil Model. Chemosphere 2021, 275, 130026. [Google Scholar] [CrossRef]
  24. Zhang, L.; Liu, Z.; Song, Y.; Sui, J.; Hua, X. Advances in the Involvement of Metals and Metalloids in Plant Defense Response to External Stress. Plants 2024, 13, 313. [Google Scholar] [CrossRef] [PubMed]
  25. Angulo-Bejarano, P.I.; Puente-Rivera, J.; Cruz-Ortega, R. Metal and Metalloid Toxicity in Plants: An Overview on Molecular Aspects. Plants 2021, 10, 635. [Google Scholar] [CrossRef] [PubMed]
  26. Chen, M.; Zhang, X.; Jiang, P.; Liu, J.; You, S.; Lv, Y. Advances in Heavy Metals Detoxification, Tolerance, Accumulation Mechanisms, and Properties Enhancement of Leersia hexandra Swartz. J. Plant Interact. 2022, 17, 766–778. [Google Scholar] [CrossRef]
  27. Khan, I.U.; Qi, S.-S.; Gul, F.; Manan, S.; Rono, J.K.; Naz, M.; Shi, X.-N.; Zhang, H.; Dai, Z.-C.; Du, D.-L. A Green Approach Used for Heavy Metals ‘Phytoremediation’ Via Invasive Plant Species to Mitigate Environmental Pollution: A Review. Plants 2023, 12, 725. [Google Scholar] [CrossRef] [PubMed]
  28. Saleem, M.H.; Ali, S.; Rehman, M.; Hasanuzzaman, M.; Rizwan, M.; Irshad, S.; Shafiq, F.; Iqbal, M.; Alharbi, B.M.; Alnusaire, T.S.; et al. Jute: A Potential Candidate for Phytoremediation of Metals—A Review. Plants 2020, 9, 258. [Google Scholar] [CrossRef]
  29. Saleem, M.H.; Ali, S.; Hussain, S.; Kamran, M.; Chattha, M.S.; Ahmad, S.; Aqeel, M.; Rizwan, M.; Aljarba, N.H.; Alkahtani, S.; et al. Flax (Linum usitatissimum L.): A Potential Candidate for Phytoremediation? Biological and Economical Points of View. Plants 2020, 9, 496. [Google Scholar] [CrossRef] [PubMed]
  30. Chapman, E.E.V.; Dave, G.; Murimboh, J.D. A Review of Metal (Pb and Zn) Sensitive and pH Tolerant Bioassay Organisms for Risk Screening of Metal-Contaminated Acidic Soils. Environ. Pollut. 2013, 179, 326–342. [Google Scholar] [CrossRef]
  31. Smouni, A.; Ater, M.; Auguy, F.; Laplaze, L.; El Mzibri, M.; Berhada, F.; Filali-Maltouf, A.; Doumas, P. Évaluation de La Contamination Par Les Éléments-Traces Métalliques Dans Une Zone Minière Du Maroc Oriental. Cah. Agric. 2010, 19, 273–279. [Google Scholar] [CrossRef]
  32. Hasnaoui, S.E.; Fahr, M.; Keller, C.; Levard, C.; Angeletti, B.; Chaurand, P.; Triqui, Z.E.A.; Guedira, A.; Rhazi, L.; Colin, F.; et al. Screening of Native Plants Growing on a Pb/Zn Mining Area in Eastern Morocco: Perspectives for Phytoremediation. Plants 2020, 9, 1458. [Google Scholar] [CrossRef] [PubMed]
  33. Chafik, Y.; Hassan, S.H.; Lebrun, M.; Sena-Velez, M.; Cagnon, B.; Carpin, S.; Boukroute, A.; Bourgerie, S.; Morabito, D. Biochar Characteristics and Pb2+/Zn2+ Sorption Capacities: The Role of Feedstock Variation. Int. J. Environ. Sci. Technol. 2024, 21, 9829–9842. [Google Scholar] [CrossRef]
  34. Koné, S.; Galiegue, X. Potential Development of Biochar in Africa as an Adaptation Strategy to Climate Change Impact on Agriculture. Environ. Manag. 2023, 72, 1189–1203. [Google Scholar] [CrossRef]
  35. Li, C.; Ahmed, W.; Li, D.; Yu, L.; Xu, L.; Xu, T.; Zhao, Z. Biochar Suppresses Bacterial Wilt Disease of Flue-Cured Tobacco by Improving Soil Health and Functional Diversity of Rhizosphere Microorganisms. Appl. Soil Ecol. 2022, 171, 104314. [Google Scholar] [CrossRef]
  36. Yang, Y.; Ahmed, W.; Ye, C.; Yang, L.; Wu, L.; Dai, Z.; Khan, K.A.; Hu, X.; Zhu, X.; Zhao, Z. Exploring the Effect of Different Application Rates of Biochar on the Accumulation of Nutrients and Growth of Flue-Cured Tobacco (Nicotiana Tabacum). Front. Plant Sci. 2024, 15, 1225031. [Google Scholar] [CrossRef] [PubMed]
  37. Nelson, J.T.; Adjuik, T.A.; Moore, E.B.; VanLoocke, A.D.; Ramirez Reyes, A.; McDaniel, M.D. A Simple, Affordable, Do-It-Yourself Method for Measuring Soil Maximum Water Holding Capacity. Commun. Soil Sci. Plant Anal. 2024, 55, 1190–1204. [Google Scholar] [CrossRef]
  38. Yang, Z.; Zhang, X.; Qu, Y.; Gao, F.; Li, Y. Response of Common Garden Plant Leaf Traits to Air Pollution in Urban Parks of Suzhou City (China). Forests 2023, 14, 2253. [Google Scholar] [CrossRef]
  39. Sylvain, B.; Mikael, M.-H.; Florie, M.; Emmanuel, J.; Marilyne, S.; Sylvain, B.; Domenico, M. Phytostabilization of As, Sb and Pb by Two Willow Species (S. viminalis and S. purpurea) on Former Mine Technosols. CATENA 2016, 136, 44–52. [Google Scholar] [CrossRef]
  40. Hassan, S.H.; Chafik, Y.; Sena-Velez, M.; Lebrun, M.; Scippa, G.S.; Bourgerie, S.; Trupiano, D.; Morabito, D. Importance of Application Rates of Compost and Biochar on Soil Metal(Loid) Immobilization and Plant Growth. Plants 2023, 12, 2077. [Google Scholar] [CrossRef] [PubMed]
  41. Janecka, B.; Fijalkowski, K. Using Lepidium as a Test of Phytotoxicity from Lead/Zinc Spoils and Soil Conditioners. In Soil Chemical Pollution, Risk Assessment, Remediation and Security; Springer: Dordrecht, The Netherlands, 2008; pp. 177–182. ISBN 978-1-4020-8257-3. [Google Scholar]
  42. Khan, S.; Irshad, S.; Mehmood, K.; Hasnain, Z.; Nawaz, M.; Rais, A.; Gul, S.; Wahid, M.A.; Hashem, A.; Abd_Allah, E.F.; et al. Biochar Production and Characteristics, Its Impacts on Soil Health, Crop Production, and Yield Enhancement: A Review. Plants 2024, 13, 166. [Google Scholar] [CrossRef]
  43. Razzaghi, F.; Obour, P.B.; Arthur, E. Does Biochar Improve Soil Water Retention? A Systematic Review and Meta-Analysis. Geoderma 2020, 361, 114055. [Google Scholar] [CrossRef]
  44. Batista, E.M.C.C.; Shultz, J.; Matos, T.T.S.; Fornari, M.R.; Ferreira, T.M.; Szpoganicz, B.; de Freitas, R.A.; Mangrich, A.S. Effect of Surface and Porosity of Biochar on Water Holding Capacity Aiming Indirectly at Preservation of the Amazon Biome. Sci. Rep. 2018, 8, 10677. [Google Scholar] [CrossRef] [PubMed]
  45. Acharya, B.S.; Dodla, S.; Wang, J.J.; Pavuluri, K.; Darapuneni, M.; Dattamudi, S.; Maharjan, B.; Kharel, G. Biochar Impacts on Soil Water Dynamics: Knowns, Unknowns, and Research Directions. Biochar 2024, 6, 34. [Google Scholar] [CrossRef]
  46. Wang, D.; Li, C.; Parikh, S.J.; Scow, K.M. Impact of Biochar on Water Retention of Two Agricultural Soils—A Multi-Scale Analysis. Geoderma 2019, 340, 185–191. [Google Scholar] [CrossRef]
  47. Alemayehu, B.; Teshome, H.; Alemayehu, B.; Teshome, H. Soil Colloids, Types and Their Properties: A Review. Open J. Bioinform. Biostat. 2021, 5, 008–013. [Google Scholar] [CrossRef]
  48. Gui, X.; Song, B.; Chen, M.; Xu, X.; Ren, Z.; Li, X.; Cao, X. Soil Colloids Affect the Aggregation and Stability of Biochar Colloids. Sci. Total Environ. 2021, 771, 145414. [Google Scholar] [CrossRef]
  49. Hammami, H.; Parsa, M.; Bayat, H.; Aminifard, M.H. The Behavior of Heavy Metals in Relation to Their Influence on the Common Bean (Phaseolus vulgaris) Symbiosis. Environ. Exp. Bot. 2022, 193, 104670. [Google Scholar] [CrossRef]
  50. Tomczyk, A.; Sokołowska, Z.; Boguta, P. Biochar Physicochemical Properties: Pyrolysis Temperature and Feedstock Kind Effects. Rev. Environ. Sci. Biotechnol. 2020, 19, 191–215. [Google Scholar] [CrossRef]
  51. Marks, E.A.N.; Alcañiz, J.M.; Domene, X. Unintended Effects of Biochars on Short-Term Plant Growth in a Calcareous Soil. Plant Soil 2014, 385, 87–105. [Google Scholar] [CrossRef]
  52. Dai, Y.; Zheng, H.; Jiang, Z.; Xing, B. Combined Effects of Biochar Properties and Soil Conditions on Plant Growth: A Meta-Analysis. Sci. Total Environ. 2020, 713, 136635. [Google Scholar] [CrossRef]
  53. Talebzadeh, F.; Valeo, C. Evaluating the Effects of Environmental Stress on Leaf Chlorophyll Content as an Index for Tree Health. IOP Conf. Ser. Earth Environ. Sci. 2022, 1006, 012007. [Google Scholar] [CrossRef]
  54. Hu, Z.; Zhao, C.; Li, Q.; Feng, Y.; Zhang, X.; Lu, Y.; Ying, R.; Yin, A.; Ji, W. Heavy Metals Can Affect Plant Morphology and Limit Plant Growth and Photosynthesis Processes. Agronomy 2023, 13, 2601. [Google Scholar] [CrossRef]
  55. Lebrun, M.; Miard, F.; Nandillon, R.; Scippa, G.S.; Bourgerie, S.; Morabito, D. Biochar Effect Associated with Compost and Iron to Promote Pb and As Soil Stabilization and Salix viminalis L. Growth. Chemosphere 2019, 222, 810–822. [Google Scholar] [CrossRef] [PubMed]
  56. Yan, W.; Li, J.; Lin, X.; Wang, L.; Yang, X.; Xia, X.; Zhang, Y.; Yang, S.; Li, H.; Deng, X.; et al. Changes in Plant Anthocyanin Levels in Response to Abiotic Stresses: A Meta-Analysis. Plant Biotechnol. Rep. 2022, 16, 497–508. [Google Scholar] [CrossRef]
  57. Dong, R.; Miao, Y.; Wang, X.; Chen, Z.; Yuan, F.; Zhang, W.; Li, H. Estimating Plant Nitrogen Concentration of Maize Using a Leaf Fluorescence Sensor across Growth Stages. Remote Sens. 2020, 12, 1139. [Google Scholar] [CrossRef]
  58. Kaniszewski, S.; Kowalski, A.; Dysko, J.; Agati, G. Application of a Combined Transmittance/Fluorescence Leaf Clip Sensor for the Nondestructive Determination of Nitrogen Status in White Cabbage Plants. Sensors 2021, 21, 482. [Google Scholar] [CrossRef] [PubMed]
  59. Dubey, P.; Raghubanshi, A.S.; Dwivedi, A.K. Relationship among Specific Leaf Area, Leaf Nitrogen, Leaf Phosphorus and Photosynthetic Rate in Herbaceous Species of Tropical Dry Deciduous in Vindhyan Highlands. Ann. Plant Sci. 2017, 6, 1531. [Google Scholar] [CrossRef][Green Version]
  60. Vilakazi, S.P.; Muchaonyerwa, P.; Buthelezi-Dube, N.N. Characteristics and Liming Potential of Biochar Types from Potato Waste and Pine-Bark. PLoS ONE 2023, 18, e0282011. [Google Scholar] [CrossRef]
  61. Gezahegn, S.; Sain, M.; Thomas, S.C. Variation in Feedstock Wood Chemistry Strongly Influences Biochar Liming Potential. Soil Syst. 2019, 3, 26. [Google Scholar] [CrossRef]
  62. Singh, B.; Camps-Arbestain, M.; Lehmann, J. Biochar: A Guide to Analytical Methods; Csiro Publishing: Clayton, Australia, 2017; ISBN 978-1-4863-0510-0. [Google Scholar]
  63. Butnan, S.; Deenik, J.L.; Toomsan, B.; Antal, M.J.; Vityakon, P. Biochar Characteristics and Application Rates Affecting Corn Growth and Properties of Soils Contrasting in Texture and Mineralogy. Geoderma 2015, 237–238, 105–116. [Google Scholar] [CrossRef]
  64. Zhao, S.-X.; Ta, N.; Wang, X.-D. Effect of Temperature on the Structural and Physicochemical Properties of Biochar with Apple Tree Branches as Feedstock Material. Energies 2017, 10, 1293. [Google Scholar] [CrossRef]
  65. Ahmad, M.; Lee, S.S.; Lee, S.E.; Al-Wabel, M.I.; Tsang, D.C.W.; Ok, Y.S. Biochar-Induced Changes in Soil Properties Affected Immobilization/Mobilization of Metals/Metalloids in Contaminated Soils. J. Soils Sediments 2017, 17, 717–730. [Google Scholar] [CrossRef]
  66. Salem, T.M.; Refaie, K.M.; Sherif, A.E.-H.E.-G.A.E.-L.; Eid, M.A.M. Biochar Application in Alkaline Soil and Its Effect on Soil and Plant. Acta Agric. Slov. 2019, 114, 85–96. [Google Scholar] [CrossRef]
  67. Houben, D.; Sonnet, P. Impact of Biochar and Root-Induced Changes on Metal Dynamics in the Rhizosphere of Agrostis capillaris and Lupinus albus. Chemosphere 2015, 139, 644–651. [Google Scholar] [CrossRef]
  68. Tawaraya, K.; Horie, R.; Saito, S.; Wagatsuma, T.; Saito, K.; Oikawa, A. Metabolite Profiling of Root Exudates of Common Bean under Phosphorus Deficiency. Metabolites 2014, 4, 599–611. [Google Scholar] [CrossRef]
  69. Rodríguez-Pérez, J.R.; Plant, R.E.; Lambert, J.-J.; Smart, D.R. Using Apparent Soil Electrical Conductivity (ECa) to Characterize Vineyard Soils of High Clay Content. Precis. Agric. 2011, 12, 775–794. [Google Scholar] [CrossRef]
  70. Hossain, M.S.; Rahman, G.K.M.M.; Solaiman, A.R.M.; Alam, M.S.; Rahman, M.M.; Mia, M.A.B. Estimating Electrical Conductivity for Soil Salinity Monitoring Using Various Soil-Water Ratios Depending on Soil Texture. Commun. Soil Sci. Plant Anal. 2020, 51, 635–644. [Google Scholar] [CrossRef]
  71. Smider, B.; Singh, B. Agronomic Performance of a High Ash Biochar in Two Contrasting Soils. Agric. Ecosyst. Environ. 2014, 191, 99–107. [Google Scholar] [CrossRef]
  72. Khadem, A.; Raiesi, F.; Besharati, H.; Khalaj, M.A. The Effects of Biochar on Soil Nutrients Status, Microbial Activity and Carbon Sequestration Potential in Two Calcareous Soils. Biochar 2021, 3, 105–116. [Google Scholar] [CrossRef]
  73. Sun, Z.; Hu, Y.; Shi, L.; Li, G.; Pang, Z.; Liu, S.; Chen, Y.; Jia, B. Effects of Biochar on Soil Chemical Properties: A Global Meta-Analysis of Agricultural Soil. Plant Soil Environ. 2022, 68, 272–289. [Google Scholar] [CrossRef]
  74. Simiele, M.; Lebrun, M.; Miard, F.; Trupiano, D.; Poupart, P.; Forestier, O.; Scippa, G.S.; Bourgerie, S.; Morabito, D. Assisted Phytoremediation of a Former Mine Soil Using Biochar and Iron Sulphate: Effects on As Soil Immobilization and Accumulation in Three Salicaceae Species. Sci. Total Environ. 2020, 710, 136203. [Google Scholar] [CrossRef] [PubMed]
  75. Xu, X.; Wu, Y.; Wu, X.; Sun, Y.; Huang, Z.; Li, H.; Wu, Z.; Zhang, X.; Qin, X.; Zhang, Y.; et al. Effect of Physicochemical Properties of Biochar from Different Feedstock on Remediation of Heavy Metal Contaminated Soil in Mining Area. Surf. Interfaces 2022, 32, 102058. [Google Scholar] [CrossRef]
  76. Teodoro, M.; Trakal, L.; Gallagher, B.N.; Šimek, P.; Soudek, P.; Pohořelý, M.; Beesley, L.; Jačka, L.; Kovář, M.; Seyedsadr, S.; et al. Application of Co-Composted Biochar Significantly Improved Plant-Growth Relevant Physical/Chemical Properties of a Metal Contaminated Soil. Chemosphere 2020, 242, 125255. [Google Scholar] [CrossRef]
  77. Borggaard, O.K.; Holm, P.E.; Strobel, B.W. Potential of Dissolved Organic Matter (DOM) to Extract As, Cd, Co, Cr, Cu, Ni, Pb and Zn from Polluted Soils: A Review. Geoderma 2019, 343, 235–246. [Google Scholar] [CrossRef]
  78. Wang, G.; Hu, Z.; Li, S.; Wang, Y.; Sun, X.; Zhang, X.; Li, M. Sulfur Controlled Cadmium Dissolution in Pore Water of Cadmium-Contaminated Soil as Affected by DOC under Waterlogging. Chemosphere 2020, 240, 124846. [Google Scholar] [CrossRef]
  79. Caporale, A.G.; Violante, A. Chemical Processes Affecting the Mobility of Heavy Metals and Metalloids in Soil Environments. Curr. Pollut. Rep. 2016, 2, 15–27. [Google Scholar] [CrossRef]
  80. Rodrigues, S.; Bland, G.D.; Gao, X.; Rodrigues, S.M.; Lowry, G.V. Investigation of Pore Water and Soil Extraction Tests for Characterizing the Fate of Poorly Soluble Metal-Oxide Nanoparticles. Chemosphere 2021, 267, 128885. [Google Scholar] [CrossRef]
  81. Ippolito, J.A.; Cui, L.; Kammann, C.; Wrage-Mönnig, N.; Estavillo, J.M.; Fuertes-Mendizabal, T.; Cayuela, M.L.; Sigua, G.; Novak, J.; Spokas, K.; et al. Feedstock Choice, Pyrolysis Temperature and Type Influence Biochar Characteristics: A Comprehensive Meta-Data Analysis Review. Biochar 2020, 2, 421–438. [Google Scholar] [CrossRef]
  82. Albert, H.A.; Li, X.; Jeyakumar, P.; Wei, L.; Huang, L.; Huang, Q.; Kamran, M.; Shaheen, S.M.; Hou, D.; Rinklebe, J.; et al. Influence of Biochar and Soil Properties on Soil and Plant Tissue Concentrations of Cd and Pb: A Meta-Analysis. Sci. Total Environ. 2021, 755, 142582. [Google Scholar] [CrossRef]
  83. Norini, M.-P.; Thouin, H.; Miard, F.; Battaglia-Brunet, F.; Gautret, P.; Guégan, R.; Le Forestier, L.; Morabito, D.; Bourgerie, S.; Motelica-Heino, M. Mobility of Pb, Zn, Ba, As and Cd toward Soil Pore Water and Plants (Willow and Ryegrass) from a Mine Soil Amended with Biochar. J. Environ. Manag. 2019, 232, 117–130. [Google Scholar] [CrossRef]
  84. Puga, A.P.; Abreu, C.A.; Melo, L.C.A.; Beesley, L. Biochar Application to a Contaminated Soil Reduces the Availability and Plant Uptake of Zinc, Lead and Cadmium. J. Environ. Manag. 2015, 159, 86–93. [Google Scholar] [CrossRef]
  85. Park, J.-H.; Cho, J.-S.; Ok, Y.S.; Kim, S.-H.; Heo, J.-S.; Delaune, R.D.; Seo, D.-C. Comparison of Single and Competitive Metal Adsorption by Pepper Stem Biochar. Arch. Agron. Soil Sci. 2016, 62, 617–632. [Google Scholar] [CrossRef]
  86. Lahori, A.H.; Zhang, Z.; Guo, Z.; Li, R.; Mahar, A.; Awasthi, M.K.; Wang, P.; Shen, F.; Kumbhar, F.; Sial, T.A.; et al. Beneficial Effects of Tobacco Biochar Combined with Mineral Additives on (Im)Mobilization and (Bio)Availability of Pb, Cd, Cu and Zn from Pb/Zn Smelter Contaminated Soils. Ecotoxicol. Environ. Saf. 2017, 145, 528–538. [Google Scholar] [CrossRef]
  87. Medyńska-Juraszek, A.; Rivier, P.-A.; Rasse, D.; Joner, E.J. Biochar Affects Heavy Metal Uptake in Plants through Interactions in the Rhizosphere. Appl. Sci. 2020, 10, 5105. [Google Scholar] [CrossRef]
  88. Taraqqi-A-Kamal, A.; Atkinson, C.J.; Khan, A.; Zhang, K.; Sun, P.; Akther, S.; Zhang, Y. Biochar Remediation of Soil: Linking Biochar Production with Function in Heavy Metal Contaminated Soils. Plant Soil Environ. 2021, 67, 183–201. [Google Scholar] [CrossRef]
  89. Murtaza, G.; Ahmed, Z.; Eldin, S.M.; Ali, B.; Bawazeer, S.; Usman, M.; Iqbal, R.; Neupane, D.; Ullah, A.; Khan, A.; et al. Biochar-Soil-Plant Interactions: A Cross Talk for Sustainable Agriculture under Changing Climate. Front. Environ. Sci. 2023, 11, 1059449. [Google Scholar] [CrossRef]
  90. Hernandez-Soriano, M.C.; Jimenez-Lopez, J.C. Effects of Soil Water Content and Organic Matter Addition on the Speciation and Bioavailability of Heavy Metals. Sci. Total Environ. 2012, 423, 55–61. [Google Scholar] [CrossRef]
  91. Silva-Gigante, M.; Hinojosa-Reyes, L.; Rosas-Castor, J.M.; Quero-Jiménez, P.C.; Pino-Sandoval, D.A.; Guzmán-Mar, J.L. Heavy Metals and Metalloids Accumulation in Common Beans (Phaseolus vulgaris L.): A Review. Chemosphere 2023, 335, 139010. [Google Scholar] [CrossRef]
  92. Gupta, N.; Ram, H.; Kumar, B. Mechanism of Zinc Absorption in Plants: Uptake, Transport, Translocation and Accumulation. Rev. Environ. Sci. Biotechnol. 2016, 15, 89–109. [Google Scholar] [CrossRef]
  93. Ibrahim, E.A.; El-Sherbini, M.A.A.; Selim, E.-M.M. Effects of Biochar on Soil Properties, Heavy Metal Availability and Uptake, and Growth of Summer Squash Grown in Metal-Contaminated Soil. Sci. Hortic. 2022, 301, 111097. [Google Scholar] [CrossRef]
  94. Shakya, A.; Agarwal, T. Potential of Biochar for the Remediation of Heavy Metal Contaminated Soil. In Biochar Applications in Agriculture and Environment Management; Singh, J.S., Singh, C., Eds.; Springer International Publishing: Cham, Switzerland, 2020; pp. 77–98. ISBN 978-3-030-40997-5. [Google Scholar]
  95. Zhou, D.; Ghosh, S.; Zhang, D.; Liang, N.; Dong, X.; Wu, M.; Pan, B. Role of Ash Content in Biochar for Copper Immobilization. Environ. Eng. Sci. 2016, 33, 962–969. [Google Scholar] [CrossRef]
  96. Venier, P.; Funes, G.; Carrizo García, C. Physical Dormancy and Histological Features of Seeds of Five Acacia Species (Fabaceae) from Xerophytic Forests in Central Argentina. Flora-Morphol. Distrib. Funct. Ecol. Plants 2012, 207, 39–46. [Google Scholar] [CrossRef]
  97. Bai, X.; Zhang, S.; Shao, J.; Chen, A.; Jiang, J.; Chen, A.; Luo, S. Exploring the Negative Effects of Biochars on the Germination, Growth, and Antioxidant System of Rice and Corn. J. Environ. Chem. Eng. 2022, 10, 107398. [Google Scholar] [CrossRef]
Figure 1. Water holding capacity of Mw (A) and Sw (B) amended or not with the different biochar types. Letters (a, b, c) refer to a significant difference between treatments at p < 0.05 (n = 5 ± SE). Significant difference between amended and unamended Mw and Sw is presented in (C) by * (p < 0.05), ** (p < 0.01) and *** (p < 0.001). Mw: unamended muddy waste; Sw: unamended sandy waste; Pf: palm fronds biochar, Cw: citrus wood biochar, Ec: eucalyptus chips biochar, Ew: eucalyptus wood biochar, and An: argan nut shells biochar.
Figure 1. Water holding capacity of Mw (A) and Sw (B) amended or not with the different biochar types. Letters (a, b, c) refer to a significant difference between treatments at p < 0.05 (n = 5 ± SE). Significant difference between amended and unamended Mw and Sw is presented in (C) by * (p < 0.05), ** (p < 0.01) and *** (p < 0.001). Mw: unamended muddy waste; Sw: unamended sandy waste; Pf: palm fronds biochar, Cw: citrus wood biochar, Ec: eucalyptus chips biochar, Ew: eucalyptus wood biochar, and An: argan nut shells biochar.
Land 14 00372 g001
Figure 2. Stems height curves of Phaseolus vulgaris grown on Mw (A) and Sw (B) amended or not with the different biochar types. Letters (a, b, c) refer to a significant difference between treatments at p < 0.05 (n = 5 ± SE). Significant difference between amended and unamended Mw and Sw at Day (12) is presented in (C) by * (p < 0.05), ** (p < 0.01) and *** (p < 0.001). Mw: unamended muddy waste; Sw: unamended sandy waste; Pf: palm fronds biochar, Cw: citrus wood biochar, Ec: eucalyptus chips biochar, Ew: eucalyptus wood biochar, and An: argan nut shells biochar.
Figure 2. Stems height curves of Phaseolus vulgaris grown on Mw (A) and Sw (B) amended or not with the different biochar types. Letters (a, b, c) refer to a significant difference between treatments at p < 0.05 (n = 5 ± SE). Significant difference between amended and unamended Mw and Sw at Day (12) is presented in (C) by * (p < 0.05), ** (p < 0.01) and *** (p < 0.001). Mw: unamended muddy waste; Sw: unamended sandy waste; Pf: palm fronds biochar, Cw: citrus wood biochar, Ec: eucalyptus chips biochar, Ew: eucalyptus wood biochar, and An: argan nut shells biochar.
Land 14 00372 g002
Figure 3. Dry masses of leaves, stems, and roots of Phaseolus vulgaris grown on Mw (A) and Sw (B) amended or not with the different biochar types. Letters (a, b refer to a significant difference between treatments at p < 0.05 (n = 5 ± SE). Significant differences between amended and unamended Mw and Sw at Day (12) are presented in (C,D) by * (p < 0.05), ** (p < 0.01) and *** (p < 0.001). Mw: unamended muddy waste; Sw: unamended sandy waste; Pf: palm fronds biochar, Cw: citrus wood biochar, Ec: eucalyptus chips biochar, Ew: eucalyptus wood biochar, and An: argan nut shells biochar.
Figure 3. Dry masses of leaves, stems, and roots of Phaseolus vulgaris grown on Mw (A) and Sw (B) amended or not with the different biochar types. Letters (a, b refer to a significant difference between treatments at p < 0.05 (n = 5 ± SE). Significant differences between amended and unamended Mw and Sw at Day (12) are presented in (C,D) by * (p < 0.05), ** (p < 0.01) and *** (p < 0.001). Mw: unamended muddy waste; Sw: unamended sandy waste; Pf: palm fronds biochar, Cw: citrus wood biochar, Ec: eucalyptus chips biochar, Ew: eucalyptus wood biochar, and An: argan nut shells biochar.
Land 14 00372 g003
Figure 4. Soil pore water pH of Mw (A) and Sw (C) and electrical conductivity (EC) of Mw (B) and Sw (D), unamended and amended with the different biochar types. Letters (a, b, c, d) refer to a significant difference between treatments at p < 0.05 (n = 5 ± SE). Significant difference between amended and unamended Mw and Sw are presented in Table S1 by * (p < 0.05), ** (p < 0.01) and *** (p < 0.001). Mw: unamended muddy waste; Sw: unamended sandy waste; Pf: palm fronds biochar, Cw: citrus wood biochar, Ec: eucalyptus chips biochar, Ew: eucalyptus wood biochar, and An: argan nut shells biochar.
Figure 4. Soil pore water pH of Mw (A) and Sw (C) and electrical conductivity (EC) of Mw (B) and Sw (D), unamended and amended with the different biochar types. Letters (a, b, c, d) refer to a significant difference between treatments at p < 0.05 (n = 5 ± SE). Significant difference between amended and unamended Mw and Sw are presented in Table S1 by * (p < 0.05), ** (p < 0.01) and *** (p < 0.001). Mw: unamended muddy waste; Sw: unamended sandy waste; Pf: palm fronds biochar, Cw: citrus wood biochar, Ec: eucalyptus chips biochar, Ew: eucalyptus wood biochar, and An: argan nut shells biochar.
Land 14 00372 g004
Figure 5. Soil pore water metals concentrations of Mw (AC) and Sw (DF), unamended and amended with the different biochar types, at two sampling days D(0) and D(12) − Pb in Mw (A) and Sw (D), Zn in Mw (B) and Sw (E), Cu in Mw (C) and Sw (F). Letters (a, b, c) refer to a significant difference between treatments at p < 0.05 (n = 5 ± SE). Significant difference between amended and unamended Mw and Sw at Day (12) are presented in Table S2 by * (p < 0.05), ** (p < 0.01) and *** (p < 0.001). Mw: unamended muddy waste; Sw: unamended sandy waste; Pf: palm fronds biochar, Cw: citrus wood biochar, Ec: eucalyptus chips biochar, Ew: eucalyptus wood biochar, and An: argan nut shells biochar. nd: refers to ‘not detected’.
Figure 5. Soil pore water metals concentrations of Mw (AC) and Sw (DF), unamended and amended with the different biochar types, at two sampling days D(0) and D(12) − Pb in Mw (A) and Sw (D), Zn in Mw (B) and Sw (E), Cu in Mw (C) and Sw (F). Letters (a, b, c) refer to a significant difference between treatments at p < 0.05 (n = 5 ± SE). Significant difference between amended and unamended Mw and Sw at Day (12) are presented in Table S2 by * (p < 0.05), ** (p < 0.01) and *** (p < 0.001). Mw: unamended muddy waste; Sw: unamended sandy waste; Pf: palm fronds biochar, Cw: citrus wood biochar, Ec: eucalyptus chips biochar, Ew: eucalyptus wood biochar, and An: argan nut shells biochar. nd: refers to ‘not detected’.
Land 14 00372 g005
Figure 6. Pb (A,D), Zn (B,E), and Cu (C,F) accumulation in the shoots and roots of Phaseolus vulgaris grown on Mw (AC), and in the leaves, stems, and roots grown on Sw (DF), amended or unamended with the different biochar types. Letters (a, b, c) refer to a significant difference between treatments at p < 0.05 (n = 5 ± SE). Mw: unamended muddy waste; Sw: unamended sandy waste; Pf: palm fronds biochar, Cw: citrus wood biochar, Ec: eucalyptus chips biochar, Ew: eucalyptus wood biochar, and An: argan nut shells biochar.
Figure 6. Pb (A,D), Zn (B,E), and Cu (C,F) accumulation in the shoots and roots of Phaseolus vulgaris grown on Mw (AC), and in the leaves, stems, and roots grown on Sw (DF), amended or unamended with the different biochar types. Letters (a, b, c) refer to a significant difference between treatments at p < 0.05 (n = 5 ± SE). Mw: unamended muddy waste; Sw: unamended sandy waste; Pf: palm fronds biochar, Cw: citrus wood biochar, Ec: eucalyptus chips biochar, Ew: eucalyptus wood biochar, and An: argan nut shells biochar.
Land 14 00372 g006
Figure 7. Germination, development, and seed vigor index combined diagram of Lepidium sativum growing in different biochars. Letters (a, b, c) refer to a significant difference between treatments at p < 0.05 (n = 3 ± SE). Mw: unamended muddy waste; Sw: unamended sandy waste; Pf: palm fronds biochar, Cw: citrus wood biochar, Ec: eucalyptus chips biochar, Ew: eucalyptus wood biochar, and An: argan nut shells biochar.
Figure 7. Germination, development, and seed vigor index combined diagram of Lepidium sativum growing in different biochars. Letters (a, b, c) refer to a significant difference between treatments at p < 0.05 (n = 3 ± SE). Mw: unamended muddy waste; Sw: unamended sandy waste; Pf: palm fronds biochar, Cw: citrus wood biochar, Ec: eucalyptus chips biochar, Ew: eucalyptus wood biochar, and An: argan nut shells biochar.
Land 14 00372 g007
Table 1. Composition and designation of soil–biochar treatments.
Table 1. Composition and designation of soil–biochar treatments.
SoilBiocharSoil MixturesBiochar Percentage
-Mw (control)0%
MwPfMw.Pf2%
CwMw.Cw2%
EcMw.Ec2%
EwMw.Ew2%
AnMw.An2%
-Sw (control)0%
SwPfSw.Pf2%
CwSw.Cw2%
EcSw.Ec2%
EwSw.Ew2%
AnSw.An2%
Table 2. Surface leaf area (SLA), nitrogen index balance (NBI), chlorophyll surface content, epidermal flavonoid, and anthocyanin indexes of Phaseolus vulgaris leaves grown on Sw amended or not with the different biochar types. Letters indicate significance between treatments for each parameter at p < 0.05 (n = 5 ± SE). Mw: unamended muddy waste; Sw: unamended sandy waste; Pf: palm fronds biochar, Cw: citrus wood biochar, Ec: eucalyptus chips biochar, Ew: eucalyptus wood biochar, and An: argan nut shells biochar.
Table 2. Surface leaf area (SLA), nitrogen index balance (NBI), chlorophyll surface content, epidermal flavonoid, and anthocyanin indexes of Phaseolus vulgaris leaves grown on Sw amended or not with the different biochar types. Letters indicate significance between treatments for each parameter at p < 0.05 (n = 5 ± SE). Mw: unamended muddy waste; Sw: unamended sandy waste; Pf: palm fronds biochar, Cw: citrus wood biochar, Ec: eucalyptus chips biochar, Ew: eucalyptus wood biochar, and An: argan nut shells biochar.
SLA
(mg·kg−1)
Nitrogen
Balance Index
Chlorophyll
(µg/cm2)
Flavonoid
(a.u.)
Anthocyanin
(a.u.)
Sw26.30 ± 0.89a31.36 ± 3.52ab30.78 ± 1.87a1.01 ± 0.06a
Sw.Pf32.25 ± 0.41b48.48 ± 4.60b29.28 ± 1.17a0.64 ± 0.07a
Sw.Cw24.10 ± 0.88a28.96 ± 3.97a26.22 ± 2.60a0.93 ± 0.04a0.004 ± 0.004a
Sw.Ec24.92 ± 1.32a29.58 ± 4.38a25.44 ± 1.64a0.91 ± 0.09a0.002 ± 0.002a
Sw.Ew24.05 ± 1.63a32.85 ± 3.04ab30.35 ± 1.59a0.94 ± 0.04a
Sw.An25.80 ± 0.37a34.98 ± 3.77ab28.28 ± 1.21a0.84 ± 0.07a
Disclaimer/Publisher’s Note: The statements, opinions and data contained in all publications are solely those of the individual author(s) and contributor(s) and not of MDPI and/or the editor(s). MDPI and/or the editor(s) disclaim responsibility for any injury to people or property resulting from any ideas, methods, instructions or products referred to in the content.

Share and Cite

MDPI and ACS Style

Chafik, Y.; Sena-Velez, M.; Henaut, H.; Oujdi, M.; Ceriani, A.; Carpin, S.; Morabito, D.; Bourgerie, S. Phytotoxicity and Metals Mobility Assessment in Mining Wastes Amended with Various Biochars. Land 2025, 14, 372. https://doi.org/10.3390/land14020372

AMA Style

Chafik Y, Sena-Velez M, Henaut H, Oujdi M, Ceriani A, Carpin S, Morabito D, Bourgerie S. Phytotoxicity and Metals Mobility Assessment in Mining Wastes Amended with Various Biochars. Land. 2025; 14(2):372. https://doi.org/10.3390/land14020372

Chicago/Turabian Style

Chafik, Yassine, Marta Sena-Velez, Hugo Henaut, Mohammed Oujdi, Alex Ceriani, Sabine Carpin, Domenico Morabito, and Sylvain Bourgerie. 2025. "Phytotoxicity and Metals Mobility Assessment in Mining Wastes Amended with Various Biochars" Land 14, no. 2: 372. https://doi.org/10.3390/land14020372

APA Style

Chafik, Y., Sena-Velez, M., Henaut, H., Oujdi, M., Ceriani, A., Carpin, S., Morabito, D., & Bourgerie, S. (2025). Phytotoxicity and Metals Mobility Assessment in Mining Wastes Amended with Various Biochars. Land, 14(2), 372. https://doi.org/10.3390/land14020372

Note that from the first issue of 2016, this journal uses article numbers instead of page numbers. See further details here.

Article Metrics

Back to TopTop