Spatial Distribution, Influencing Factors and Sustainable Development of Fishery Cultural Resources in the Yangtze River Basin
Abstract
1. Introduction
1.1. Agricultural Heritage and Fishery Cultural Resources
1.2. Agricultural Heritage and Rural Revitalization in the Context of Sustainable Development
2. Materials and Methods
2.1. Study Area
2.2. Research Subjects and Data Sources
2.3. Research Methods
2.3.1. Evaluation of Significant YRFCR
2.3.2. Descriptive Spatial Analysis
2.3.3. Kernel Density Analysis
2.3.4. Correlation Analysis
3. Results
3.1. Categories of YRFCR
3.2. Spatial Distribution of YRFCR
3.2.1. Measurement of Spatial Clustering Areas
3.2.2. Kernel Density Distribution
3.2.3. Distribution of Significant YRFCR
3.3. Factors Influencing the Distribution and Sustainable Development of YRFCR
3.3.1. Natural and Geographical Factors
3.3.2. Economic and Social Factors
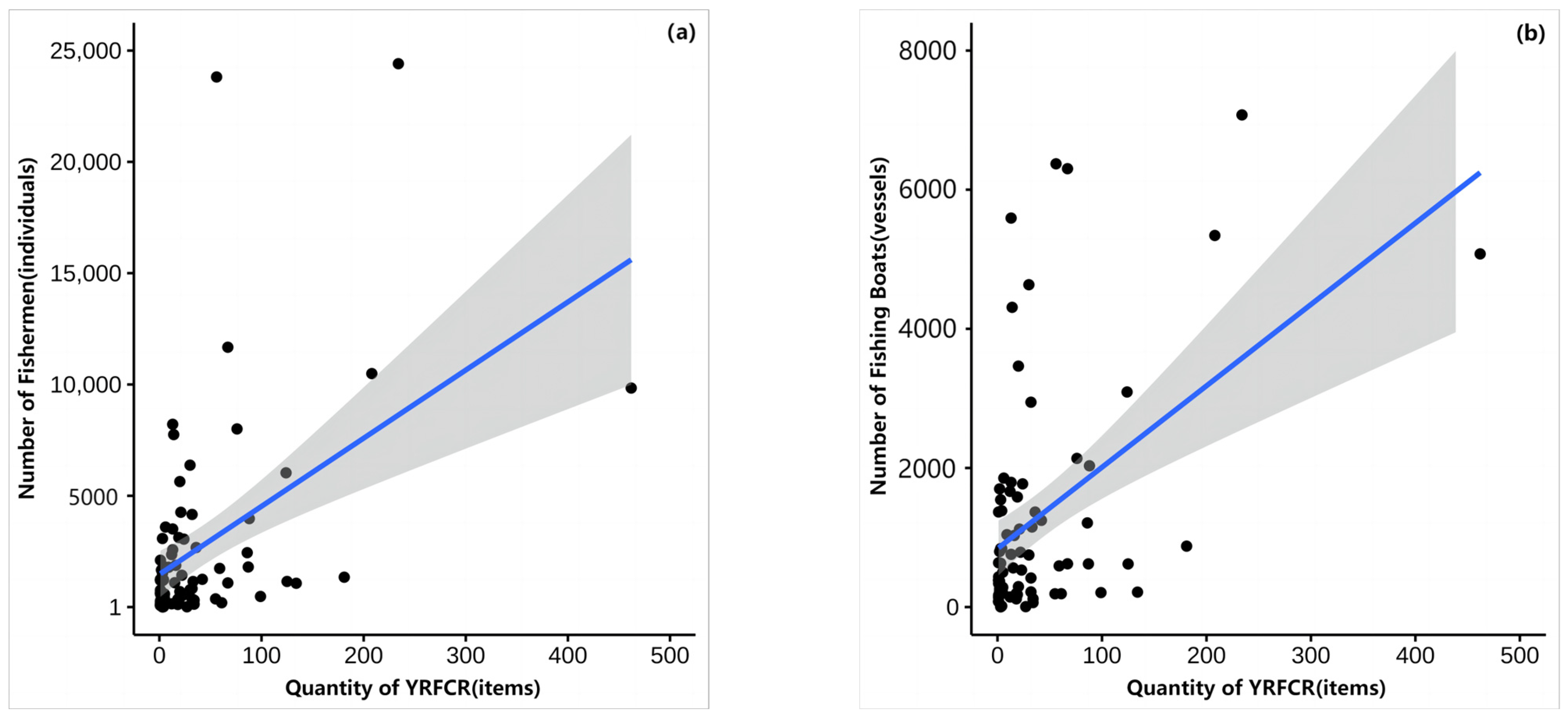
3.3.3. Social and Cultural Factors
4. Discussion
4.1. Characteristics and Evolution of YRFCR
4.2. The Role of Fishery Cultural Heritage Preservation in Rural Revitalization and Governance
4.3. Strategies for the Preservation and Sustainable Development of YRFCR
5. Conclusions and Implications
5.1. Main Findings
5.2. Governance and Policy Implications
Author Contributions
Funding
Data Availability Statement
Conflicts of Interest
References
- Koohafkan, P.; Cruz, M.J.D. Conservation and adaptive management of globally important agricultural heritage systems (GIAHS). J. Resour. Ecol. 2011, 2, 22–28. [Google Scholar]
- Barrena, J.; Nahuelhual, L.; Baez, A. Valuing cultural ecosystem services: Agricultural heritage in Chiloe island, southren Chile. Ecosyst. Serv. 2014, 7, 66–75. [Google Scholar] [CrossRef]
- Barrienttos, F.; Martin, J.; De, L.C.; Tondelli, S.; Gomez, J.; Casanova, E.Z. Computational methods and rural cultural & natural heritage: A review. J. Cult. Herit. 2021, 49, 250–259. [Google Scholar]
- Chen, J.; Guo, Z.; Xu, S.; Law, R.; Liao, C.; He, W.; Zhang, M. A bibliometric analysis of research on intangible cultural heritage tourism using citespace: The perspective of China. Land 2022, 11, 2298. [Google Scholar] [CrossRef]
- Zhang, Y.; Chen, J. Review of freshwater fishery culture in China. Stud. Nat. Cult. Herit. 2019, 4, 79–85. [Google Scholar]
- Tong, C.F.; Liu, Y. The Vicissitudes of Fish Cultural and Its Implication of the Cultural Values. J. Taishan Univ. 2014, 36, 35–40. [Google Scholar]
- Wang, Y.; Ding, J.D. Research on Chinese Marine Fishing Culture and Xiangshan Practice; China Ocean Press: Beijing, China, 2018; pp. 23–25. [Google Scholar]
- Dyrset, G.; Margaryan, L.; Stensland, S. Local knowledge, social identity and conflicts around traditional marine salmon fisheries—A case from Mid-Norway. Fish. Manag. Ecol. 2022, 29, 131–142. [Google Scholar] [CrossRef]
- Fangel, K.; Andersen, O.; Aas, Ø. Salmon Fishing with Fixed Nets along the Norwegian Coast in 2007. Fisher Characteristics, Fishing Behavior and Attitudes towards Harvest Regulations; NINA Report 406; Norsk Institutt for Naturforskning (NINA): Trondheim, Norway, 2008; p. 56. Available online: http://hdl.handle.net/11250/2561598 (accessed on 20 June 2024).
- Liu, Y.; Olaf Olaussen, J.; Skonhoft, A. Wild and farmed salmon in Norway—A review. Mar. Policy 2011, 35, 413–418. [Google Scholar] [CrossRef]
- Fiske, P.; Baardsen, S.; Stensland, S.; Hvidsten, N.A.; Aas, Ø. Final Report and Evaluation of the Lease Agreement Regarding Salmon Netting in the Trondheim Fjord; (Corrected Version of NINA Report 546), NINA Report 854; Norsk Institutt for Naturforskning (NINA): Trondheim, Norway, 2012; p. 70. Available online: http://hdl.handle.net/11250/2467753 (accessed on 21 June 2024).
- Bundy, A.; Davis, A. Knowing in context: An exploration of the interface of marine harvesters’ local ecological knowledge with ecosystem approaches to management. Mar. Policy 2013, 38, 277–286. [Google Scholar] [CrossRef]
- Hind, E.J. A review of the past, the present and the future of fishers’ knowledge research: A challenge to established fisheries science. ICES J. Mar. Sci. 2015, 72, 341–358. [Google Scholar] [CrossRef]
- Draper, K. Networks of capital: Reframing knowledge in the Namibian hake fishery. Mar. Policy 2014, 60, 293–299. [Google Scholar] [CrossRef]
- Fikret, B. Rethinking community-based conservation. Conserv. Biol. 2004, 18, 621–630. [Google Scholar] [CrossRef]
- Inaotombi, S.; Mahanta, P.C. Pathways of socio-ecological resilience to climate change for fisheries through indigenous knowledge. Hum. Ecol. Risk Assess. Int. J. 2019, 8, 2032–2044. [Google Scholar] [CrossRef]
- Bennett, N.J.; Dearden, P. Why local people do not support conservation: Community perceptions of marine protected area livelihood impacts, governance and management in Thailand. Mar. Policy 2014, 44, 107–116. [Google Scholar] [CrossRef]
- Claesson, S. An ecosystem-based framework for governance and management of maritime cultural heritage in the USA. Mar. Policy 2009, 33, 698–706. [Google Scholar] [CrossRef]
- Brattland, C.; Mustonen, T. How traditional knowledge comes to matter in Atlantic salmon governance in Norway and Finland. Arctic 2018, 71, 375–392. [Google Scholar] [CrossRef]
- Li, D.S.; Zhu, X.M. Modern Transition of Traditional Fishery Culture—China Fishing Festival’s Inheritance and Development of the Traditional Fishery Culture. Mar. Econ. 2012, 2, 20–25. [Google Scholar]
- Liu, J.J.; Chen, J. Types and characteristics of freshwater fishery culture in China. Chin. Fish. Econ. 2020, 38, 1–8. [Google Scholar]
- Tang, L.S. Research report on conservation, inheritance and promotion of fishing culture in Beijing. China Fish. 2023, 574, 85–87. [Google Scholar]
- Liu, Y.D. Talk about the fishing culture of the Yangtze River. China Fish. 2022, 564, 100–102. [Google Scholar]
- Ning, B. The main effect of fishing culture on the development of fishery industry. Chin. Fish. Econ. 2005, 3, 21–22. [Google Scholar]
- Zhou, F.; Zheng, T.L.; Liu, W.; Ma, W.J.; Jiang, Q.J.; Yan, H.Y.; Ding, X.Y. Study on the role and countermeasures of Zhejiang fishery in promoting the common prosperity. China Fish. 2023, 571, 28–33. [Google Scholar]
- Zhang, J.; Chen, J. Exploration on the industrial culture of freshwater fishery in China. Chin. Fish. Econ. 2020, 38, 8–15. [Google Scholar]
- Wang, Y.D.; Yin, T.T.; Li, Y.X.; Jiang, Y.C. Research on innovative path of fishery culture promoting recreational fishery development under the background of Yangtze River protection. Fish. Inform. Strat. 2022, 37, 255–261. [Google Scholar]
- Zhang, J.Y.; Chen, J. History of freshwater fishery development and evolution of fishery culture in China. Chin. Fish. Econ. 2021, 39, 90–97. [Google Scholar]
- Yang, B.; Li, Q.; Zhu, Y.G. On the Hongze Lake fishery culture protection from the perspective of cultural ecology. J. Huaiyin Inst. Technol. 2013, 22, 47–51. [Google Scholar]
- Anthony, T.C. Towards sustainability: The fishery experience. Ecol. Econ. 1994, 11, 201–211. [Google Scholar] [CrossRef]
- Gustavsson, M. Examining the ‘cultural sustainability’ of two different ways of governing fishing practices. Mar. Policy 2018, 97, 262–269. [Google Scholar] [CrossRef]
- Suvi, I.; Alyne, D.C.; Päivi, H. Socio-cultural values as a dimension of fisheries governance: The cases of Baltic salmon and herring. Environ. Sci. Policy 2019, 94, 1–8. [Google Scholar]
- Sílvia, G.; Maynou, F. Economic, sociocultural and ecological dimensions of fishing capacity in NW Mediterranean fisheries. Ocean Coast. Manag. 2020, 197, 105323. [Google Scholar] [CrossRef]
- Lam, M.E. Reconciling Haida ethics with Pacific herring management. In Know Your Food: Food Ethics and Innovation; Dumitras, D.E., Jitea, I.M., Aerts, S., Eds.; Wageningen Academic Publishers: Wageningen, The Netherlands, 2015; pp. 169–175. [Google Scholar]
- Levin, P.S.; Francis, T.B.; Taylor, N.G. Thirty-two essential questions for understanding the social–ecological system of forage fish: The case of Pacific Herring. Ecosyst. Health Sustain. 2016, 2, 11879022. [Google Scholar] [CrossRef]
- González, R.C.L.; Piñeiro Antelo, M.d.l.Á. Fishing tourism as an opportunity for sustainable rural development—The case of Galicia, Spain. Land 2020, 9, 437. [Google Scholar] [CrossRef]
- Pita, P.; Josep, A.; Antelo, M.; Artetxe, I.; Villasante, S. Assessing knowledge gaps and management needs to cope with barriers for environmental, economic and social sustainability of marine recreational fisheries: The case of Spain. Front. Mar. Sci. 2020, 7, 1–14. [Google Scholar] [CrossRef]
- Holtgren, J.M.; Auer, N.A. Forging a new path for multi-cultural fishery management. J. Great Lakes Res. 2023, 49, S116–S127. [Google Scholar] [CrossRef]
- Sílvia, G.; Carreo, A.; Lloret, J. Cultural heritage and environmental ethical values in governance models: Conflicts between recreational fisheries and other maritime activities in Mediterranean marine protected areas. Mar. Policy 2021, 129, 104529. [Google Scholar] [CrossRef]
- Ye, C.; Yu, J.; Zhang, Q.Y.; Zhu, X.D. From governance to rural-urban co-governance: Research frontiers, trends and the Chinese paths. Prog. Geogr. 2021, 40, 15–27. [Google Scholar] [CrossRef]
- Ye, C.; Pan, J.W.; Liu, Z.M. The historical logics and geographical patterns of rural-urban governance in China. J. Geogr. Sci. 2022, 32, 1225–1240. [Google Scholar] [CrossRef]
- Liu, Z.M.; Ye, C. A logical framework of rural-urban governance from the perspective of social-ecological resilience. Prog. Geogr. 2021, 40, 95–103. [Google Scholar] [CrossRef]
- Peng, Y.; Peng, X.; Li, X.; Lu, M.; Yin, M. Effectiveness in Rural Governance: Influencing Factors and Driving Pathways—Based on 20 Typical Cases of Rural Governance in China. Land 2023, 12, 1452. [Google Scholar] [CrossRef]
- Hering, J.G.; Ingold, K.M. Water resources management: What should be integrated? Science 2012, 336, 1234–1235. [Google Scholar] [CrossRef]
- Tim, O. Cultural strategies of development: Implications for village governance in China. Pac. Rev. 2006, 19, 13–37. [Google Scholar]
- Qiu, Z.Z.; Hu, X.J.; Qian, H.; Liao, K.F.; Huang, X.B.; Liu, Y.; Wei, B.J. Spatiotemporal Distribution Characteristics and Influencing Factors of Traditional Villages in Fujian Province. Econ. Geogr. 2023, 43, 211–219. [Google Scholar]
- Yang, W.; Wang, C.Y.; Liu, J.M. Research on the development direction of agricultural heritage protection in Shanxi. J. Northwest A&F Univ. 2021, 21, 145–153. [Google Scholar]
- Guo, Y.P. Cultural landscape, historical heritage and rural reconstruction: Fieldwork study in Dazhai Village, Shanxi Province. J. North Minzu Univ. 2021, 159, 79–86. [Google Scholar]
- Attach importance to the Yangtze River fishing culture under the fishing ban. Fish. Guide Rich 2021, 568, 5–7.
- Huang, T.; Li, D.H.; Jiang, W.F.; Li, Q.; Lu, L. Spatial distribution and influencing factors of key villages of rural tourism in urban agglomeration in middle reaches of Yangtze River. Resour. Environ. Yangtze River 2023, 32, 2466–2477. [Google Scholar]
- Han, Z.W. Geographical distribution and affecting factors of the important agricultural heritage systems in China. Chin. J. Agric. Resour. Reg. Plan. 2017, 38, 97–104. [Google Scholar]
- Bu, Y.; Ning, B. Discuss on strengthening the protection and inheritance of fisheries culture of the Yangtze River. J. Shanghai Ocean. Univ. 2022, 31, 1325–1334. [Google Scholar]
- Wei, H.T. Current situation and thinking of fishing culture in Anhui Province. Scient. Fish Farm. 2023, 403, 79–80. [Google Scholar]
- Min, Q.W.; He, L.; Sun, Y.H.; Zhang, D.; Yuan, Z.; Xu, Y.T.; Bai, Y.Y. On the value, conservation and sustainable development of GIAHS pilot sites in China. Chin. J. Eco-Agric. 2012, 20, 668–673. [Google Scholar] [CrossRef]
- Macken, W.I. Operationalising Contemporary Rural Development: Socio-Cultural Determinants Arising from a Strong Local Fishing Culture. Work. Pap. 2012, 40, 199–211. [Google Scholar] [CrossRef]
- Dobrovodská, M.; Kanka, R.; David, S.; Kollár, J.; Špulerová, J.; Štefunková, D.; Gajdoš, P. Assessment of the biocultural value of traditional agricultural landscape on a plot-by-plot level. Biodivers. Conserv. 2019, 28, 2615–2645. [Google Scholar] [CrossRef]
- Rozzi, R. Biocultural homogenization: A wicked problem in the anthropocene. In From Biocultural Homogenization to Biocultural Conservation; Springer: Dordrecht, The Netherlands, 2018; pp. 1–17. [Google Scholar] [CrossRef]
- Parrotta, J.A.; Trosper, M. Traditional Forest-Related Knowledge; Springer: Dordrecht, The Netherlands, 2012; Available online: https://link.springer.com/book/10.1007/978-94-007-2144-9 (accessed on 22 June 2024).
- Tengö, M.; Brondizio, E.S.; Elmqvist, T.; Malmer, P.; Spierenburg, M. Connecting diverse knowledge systems for enhanced ecosystem governance: The multiple evidence base approach. Ambio 2014, 43, 579–591. [Google Scholar] [CrossRef] [PubMed]
- Amir, A.F.; Abd Ghapar, A.; Jamal, S.A.; Ahmad, K.N. Sustainable tourism development: A study on community resilience for rural tourism in Malaysia. Procedia-Soc. Behav. Sci. 2015, 168, 116–122. [Google Scholar] [CrossRef]
- Hu, F.; Zhong, H.; Wu, C. Development of fisheries in China. Repro. Breed. 2021, 1, 64–79. [Google Scholar] [CrossRef]
- Hu, Q.; Zhang, T.; Jiao, Z.; Duan, Y.; Dewancher, B.; Gao, W. The impact of fishery industrial transformation on rural revitalization at village level: A case study of a Chinese fishing village. Ocean. Coast. Manag. 2022, 227, 106277. [Google Scholar] [CrossRef]
- Feng, J.W. Constructing a living inheritance mechanism to protect Chinese traditional fishing culture. Farmers Daily, 24 August 2023; p. 8. [Google Scholar]









| Evaluation Category | Evaluation Factor (Points) | Evaluation Criterion | Scoring Range |
|---|---|---|---|
| Value of Resource Elements (85) | Historical Value (30) | The item(s) exhibit exceptionally high historical value, with a long history and excellent appearance | 30–22 |
| The item(s) exhibit high historical value, with a relatively long history and good appearance | 21–13 | ||
| The item(s) exhibit average historical value, with a moderate history and average appearance | 12–6 | ||
| The item(s) exhibit low historical value, with a recent history and poor appearance | 5–1 | ||
| Cultural and Artistic Value (25) | The item(s) possess cultural significance of global importance and strong depth of connotation | 25–20 | |
| The item(s) possess historical significance of national importance and considerable depth of connotation | 19–13 | ||
| The item(s) possess historical significance of provincial importance with moderate depth of connotation | 12–6 | ||
| The item(s) have regional cultural significance with relatively low depth of connotation | 5–1 | ||
| Rarity and Uniqueness (15) | The item(s) include numerous rare species, or extremely unique landscapes, or such phenomena that are rare in other regions | 15–13 | |
| The item(s) include several rare species, or unique landscapes, or such phenomena that are seldom seen in other regions | 12–9 | ||
| The item(s) include a few rare species, or notable landscapes, or such phenomena that are rarely seen in other regions | 8–4 | ||
| The item(s) include individual rare species, or relatively notable landscapes, or such phenomena that are relatively common in other regions | 3–1 | ||
| Scientific Value (10) | The item(s) hold high academic significance, preservation value, or level of public awareness | 10–8 | |
| The item(s) hold considerable academic significance, preservation value, or level of public awareness | 7–5 | ||
| The item(s) hold moderate academic significance, preservation value, or level of public awareness | 4–3 | ||
| The item(s) hold low academic significance, preservation value, or level of public awareness | 2–1 | ||
| Stability (5) | The item(s) exhibit high resistance to impact, inclusiveness, minimal change, and high stability | 5–4 | |
| The item(s) exhibit considerable resistance to impact, inclusiveness, minimal change, and considerable stability | 3 | ||
| The item(s) exhibit moderate resistance to impact, inclusiveness, average change, and moderate stability | 2 | ||
| The item(s) exhibit low resistance to impact, inclusiveness, considerable change, and low stability | 1 | ||
| Resource Influence (15) | Reputation and Influence (15) | Known globally or recognized as a world-renowned brand | 15–13 |
| Known nationally or recognized as a national brand | 12–9 | ||
| Known provincially or recognized as a provincial brand | 8–4 | ||
| Known locally or recognized as a local brand | 3–1 |
| Types | Representative Items | |
|---|---|---|
| Manifestation Form | Tangible Fishery Culture | Aquatic species, fishery boat, fishery gear, fishery village architecture, fishery engineering and landscapes, daily necessity |
| Intangible Fishery Culture | Production practices, lifestyle, customs, poetry (including fishery songs), dances (including lantern dances), fishery paintings, culinary flavors, and fishery regulations | |
| Cultural History | Traditional Fishery Culture | Fish fossils, archaeological sites, fishing prohibition steles, and traditional intangible cultural heritage categories of folklore |
| Modern Fishery Culture | Fishery production materials displayed and housed in museums, exhibition centers and cultural education bases, fishery-related crawfish food festivals, leisure fishing-related fishery culture, and derived fishery paintings and poetry | |
| Province (Municipality) | Fishery Boat | Fishery Gear | Fishery Engineering and Landscapes | Fishery History | Fishery Production and Living Styles | Fishery Customs | Poetry (Fishery Songs) | Fishery Dances (Lantern Dances) | Culinary Flavors | Total | Proportion (%) |
|---|---|---|---|---|---|---|---|---|---|---|---|
| Shanghai | - | - | - | - | - | - | 2 | 1 | 1 | 4 | 2.55 |
| Jiangsu | 4 | 2 | - | - | - | 1 | 7 | 6 | 7 | 27 | 17.20 |
| Anhui | - | - | 1 | - | - | - | 1 | 6 | 3 | 11 | 7.01 |
| Jiangxi | 1 | - | 1 | 1 | - | 7 | 2 | 10 | - | 22 | 14.01 |
| Hubei | 2 | - | - | - | 3 | - | 4 | 8 | 4 | 21 | 13.38 |
| Hunan | 2 | 1 | - | - | - | - | 4 | 7 | 2 | 16 | 10.19 |
| Chongqing | - | - | - | - | - | - | 5 | 1 | 8 | 14 | 8.92 |
| Sichuan | - | - | - | - | - | - | 12 | 1 | 2 | 15 | 9.55 |
| Guizhou | - | - | 1 | - | - | 1 | - | - | 4 | 6 | 3.82 |
| Yunnan | - | - | - | - | - | - | - | - | 1 | 1 | 0.64 |
| Zhejiang | 3 | - | 4 | - | 2 | 5 | - | 3 | - | 17 | 10.83 |
| Shanxi | - | - | - | - | - | - | - | 3 | - | 3 | 1.91 |
| Total | 12 | 3 | 7 | 1 | 5 | 14 | 37 | 46 | 32 | 157 | - |
| Proportion (%) | 7.64 | 1.91 | 4.46 | 0.64 | 3.18 | 8.92 | 23.57 | 29.30 | 20.38 | - | - |
| Geographic Region | Total Counties (Cities, Districts) Sites | (km) Mean Distance | rE (km) Theoretical Distance | Nearest Neighbor Index (R) | Z-Value | p-Value | Type of Spatial Distribution |
|---|---|---|---|---|---|---|---|
| Yangtze River Basin | 357 | 39.73 | 40.91 | 0.97 | −1.05 | 0.03 | Clustered |
| Upper Yangtze River | 116 | 42.98 | 40.08 | 1.07 | 1.49 | 0.10 | Uniform |
Disclaimer/Publisher’s Note: The statements, opinions and data contained in all publications are solely those of the individual author(s) and contributor(s) and not of MDPI and/or the editor(s). MDPI and/or the editor(s) disclaim responsibility for any injury to people or property resulting from any ideas, methods, instructions or products referred to in the content. |
© 2024 by the authors. Licensee MDPI, Basel, Switzerland. This article is an open access article distributed under the terms and conditions of the Creative Commons Attribution (CC BY) license (https://creativecommons.org/licenses/by/4.0/).
Share and Cite
Li, Q.; Sun, Y.; Liu, Z.; Ning, B.; Wu, Z. Spatial Distribution, Influencing Factors and Sustainable Development of Fishery Cultural Resources in the Yangtze River Basin. Land 2024, 13, 1205. https://doi.org/10.3390/land13081205
Li Q, Sun Y, Liu Z, Ning B, Wu Z. Spatial Distribution, Influencing Factors and Sustainable Development of Fishery Cultural Resources in the Yangtze River Basin. Land. 2024; 13(8):1205. https://doi.org/10.3390/land13081205
Chicago/Turabian StyleLi, Qin, Yunlong Sun, Zifei Liu, Bo Ning, and Zhilong Wu. 2024. "Spatial Distribution, Influencing Factors and Sustainable Development of Fishery Cultural Resources in the Yangtze River Basin" Land 13, no. 8: 1205. https://doi.org/10.3390/land13081205
APA StyleLi, Q., Sun, Y., Liu, Z., Ning, B., & Wu, Z. (2024). Spatial Distribution, Influencing Factors and Sustainable Development of Fishery Cultural Resources in the Yangtze River Basin. Land, 13(8), 1205. https://doi.org/10.3390/land13081205
