Study on Spatial Differentiation Characteristics and Driving Mechanism of Sustainable Utilization of Cultivated Land in Tarim River Basin
Abstract
1. Introduction
2. Analysis of the Connotation and Operational Mechanism of the Sustainable Utilization of Cultivated Land
- Climate change exacerbates the uncertainty of the cultivated land system. If the rate of change exceeds the operational speed of the internal circulation mechanisms of the cultivated land system, fluctuations may occur, potentially resulting in soil erosion and crop drought. Conversely, when the rate of change stabilizes or effectively supplements the elements necessary for the circulation of the cultivated land system (such as water, light, and heat resources), it promotes the healthy and efficient functioning of the system.
- Cultivated land utilization and management involve conscious and purposeful transformations of the cultivated land system, exerting a bidirectional influence on its development and coordination. Reasonable methods of land utilization and management can steer the cultivated land system toward positive outcomes (e.g., increased crop yields), whereas excessive or unreasonable practices may disrupt the system’s coordination, leading to soil degradation and water resource depletion.
- Soil serves as the foundational material of the cultivated land system, and its quality directly impacts the production, livelihood, and ecological functions of the system. The soil quality system acts as a crucial link among various environmental system elements and is highly sensitive to external factors. Mitigating the adverse impacts of other environmental variables and enhancing soil quality are beneficial for optimizing the functions of the cultivated land system.
- The multidirectional water circulation within the cultivated land system is its “lifeblood” and a key factor supporting the sustainable utilization of cultivated land in arid areas. The availability or scarcity of water resources significantly influences the cultivated land system’s capacity to function harmoniously and efficiently.
3. Research Methods and Data
3.1. Study Area
3.2. Research Methods
3.2.1. Evaluation Index System of Sustainable Utilization of Cultivated Land Utilization
3.2.2. Multi-Factor Comprehensive Evaluation Model
3.2.3. Verification and Accuracy Evaluation of Spatial Interpolation Method
3.2.4. Determination of Spatial Interpolation Group and Verification Group
3.2.5. Zoning of Sustainable Utilization of Cultivated Land
3.2.6. Method for Analyzing Driving Mechanism of Sustainable Utilization of Cultivated Land
- (1)
- The direct and indirect effects of the cultivated land environmental system on the sustainable utilization of cultivated land are analyzed using a structural equation model [42].
- (2)
- The GWR model accounts for local effects influencing the sustainable utilization of cultivated land and exhibits greater accuracy than other models [37]. Consequently, this study utilized the GWR model to analyze the interactions between the cultivated land environmental system and the sustainable utilization of cultivated land across various spatial regions of the Tarim River Basin. The equation is as follows:
- (3)
- Pearson correlation coefficient analysis is widely used to investigate the relationships between variables [38]. This method evaluates both positive and negative correlations between the sub-indices of the environmental system and the index of sustainable cultivated land utilization across various classification levels. It clarifies the driving mechanisms underlying changes in sustainable cultivated land utilization. The equation is as follows:where r is the Pearson correlation coefficient, r∈[−1, 1]; xi is the i-th evaluation index of sustainable cultivated land utilization; yi is the index of sustainable cultivated land utilization in the i-th region; and n represents the number of variables.
3.3. Data Sources and Preprocessing
4. Results and Analysis
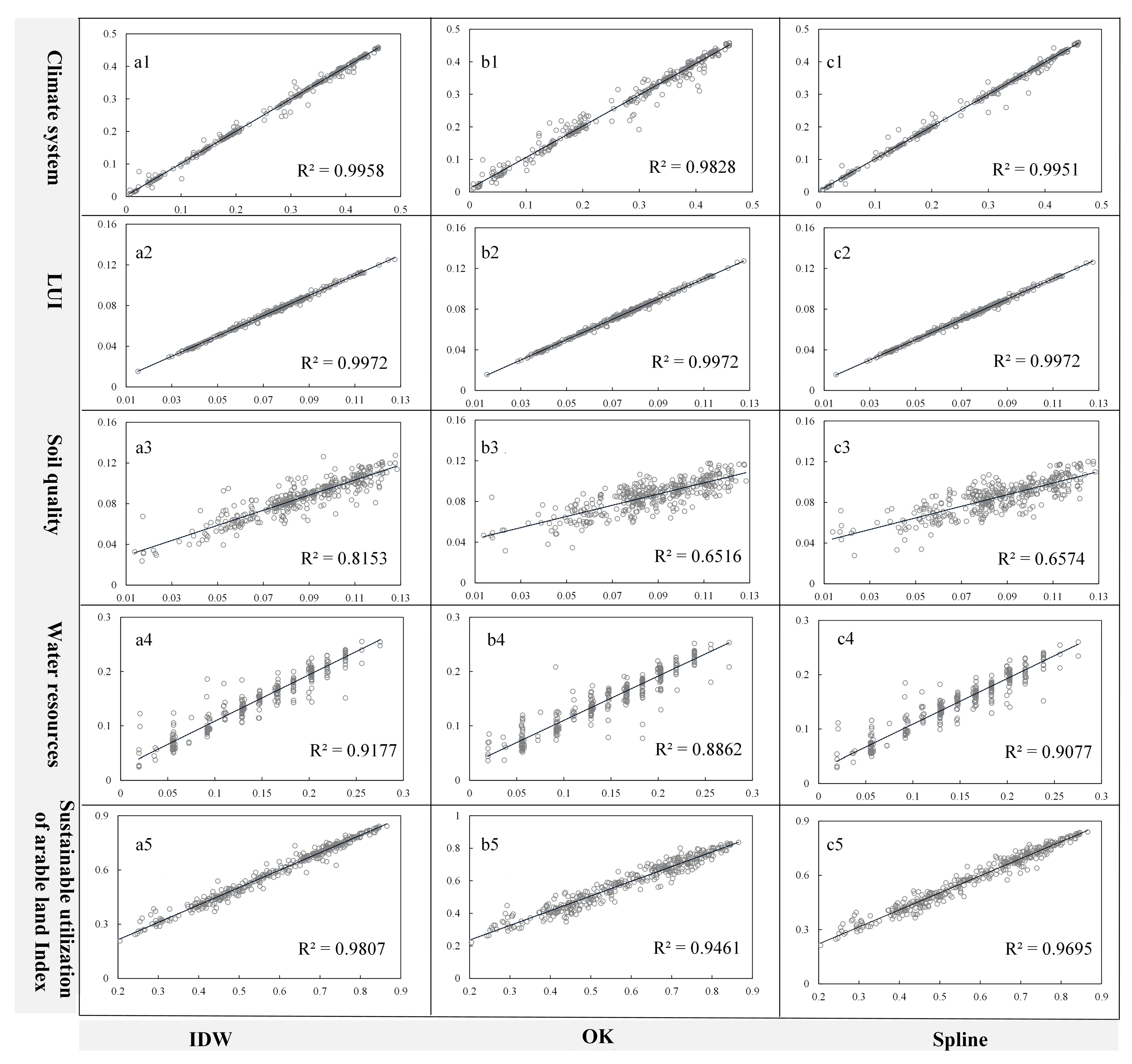
4.1. Accuracy Evaluation and Selection of Spatial Interpolation Methods
4.2. Spatial Pattern Characteristics of Cultivated Land Environmental System Index
4.3. Spatial Pattern Characteristics and Zoning of Sustainable Utilization of Cultivated Land
4.4. Driving Factors of Sustainable Utilization of Cultivated Land
4.4.1. Driving Factors of Sustainable Utilization of Cultivated Land in the Whole Region
4.4.2. Driving Factors of Sustainable Utilization of Cultivated Land in Different Regions
5. Discussion
5.1. Sustainable Utilization Level of Cultivated Land and Changes in Cultivated Land Environmental System
5.2. Evaluation of Sustainable Utilization of Cultivated Land
5.3. Evaluation Accuracy
5.4. Control Measures to Improve the Sustainable Utilization Level of Cultivated Land
- (1)
- Appropriate Integration: Continue the construction of high-standard cultivated land and establish a windbreak system that integrates shrub and tree forests to mitigate wind erosion and evaporation. Consolidate fragmented plots to enable large-scale operations and enhance agricultural production efficiency. Conduct soil testing and implement targeted fertilization to improve the fertility of over-exploited cultivated land, as well as to rehabilitate saline–alkali and desertified areas. Promote the recycling of plastic film to prevent environmental pollution. Further advance the development of efficient, water-saving irrigation practices, upgrade irrigation and drainage infrastructure, and strictly regulate groundwater extraction. Establish a scientific management system and mechanisms for water resource utilization in river basins that harmonize production, livelihoods, and ecological sustainability.
- (2)
- Appropriate Rest: Scientifically determine the optimal scale of oasis cultivated land and revert areas in the transitional zone between desert oases and cultivated land, particularly near the main river channels, to forest, grassland, and water. Reserve cultivated land that displays poor soil quality, limited potential for improvement, a detrimental natural environment, significant depletion of soil fertility, and severe imbalances in water resource supply. Implement scientific strategies to reallocate or reduce cultivated land that excessively relies on groundwater irrigation and exhibits low agricultural economic returns and ecological efficiency.
- (3)
- Suitable Planting: Enhance the suitability of agricultural practices by developing specialized agriculture that aligns with the natural environmental context, emphasizing the cultivation of drought-resistant and salt–alkali-tolerant crops. Implement scientific applications of chemical fertilizers, increase the use of organic fertilizers, and reduce excessive reliance on chemical inputs. Regulate total agricultural water consumption, improve the efficiency of water resource utilization, and allocate land based on water availability while promoting agricultural development in accordance with water quantity.
6. Conclusions
- (1)
- The sustainable utilization level of cultivated land in the Tarim River Basin is above the mid-level, with an average index of 0.581 (the theoretical maximum is 1). This level exhibits significant spatial heterogeneity and shows “U-shaped” variation from upstream to downstream. The Kashgar River–Yarkant River Basin has the highest utilization level, followed by the Hotan River Basin and the Kaidu–Peacock River Basin, while the mainstream area in the Tarim River Basin has the lowest. Based on the sustainable utilization levels of cultivated land, the entire basin is classified into five grades, ranging from I to V.
- (2)
- The influence of the cultivated land environmental system on the sustainable utilization of cultivated land follows a mechanism of interaction and infiltration characterized by response differences and spatial differentiation. Cultivated land utilization and management exert the most significant impact on the sustainable utilization level of cultivated land, followed by soil quality and water resource systems, while the climate system has the least influence. The degree of influence of each system exhibits inverted “U”, inverted “N”, “U”, and “W” patterns, respectively, from the upper reaches to the lower reaches of the Tarim River Basin.
- (3)
- As the integrated mechanisms of the regional cultivated land environmental system and its sub-indices become increasingly complex, the sensitivity and vulnerability of the cultivated land system increase, potentially leading to a decline in sustainable utilization levels.
- (4)
- The operation of the cultivated land environmental system faces practical challenges at various levels of sustainable utilization, and the dominant mechanisms influencing this sustainability vary in both mode and degree. In response, this study proposes regulatory measures for the sustainable utilization of cultivated land based on models of “appropriate consolidation”, “appropriate rest”, and “appropriate planting”.
Supplementary Materials
Author Contributions
Funding
Data Availability Statement
Conflicts of Interest
References
- Liu, T.; Chen, M. The Status-quo and improvement path for the implementation of cultivated land protection policy in China. Chin. Land Sci. 2020, 34, 32–37+47. (In Chinese) [Google Scholar]
- Han, Y. The policy evolution, vision goal and realization path of China’s cultivated land protection and utilization. Manag. World 2022, 38, 121–131. (In Chinese) [Google Scholar]
- Li, G.; Qiu, D.; Wang, P. Advances in researches on mechanism construction of farmland protection in China. Prog. Phys. Geogr. 2011, 30, 282–289. (In Chinese) [Google Scholar]
- Kumar, S.; Craufurd, P.; Haileslassie, A.; Ramilan, T.; Rathore, A.; Whitbread, A. Farm Typology Analysis and Technology Assessment: An Application in an Arid Region of South Asia. Land Use Policy 2019, 88, 104149. [Google Scholar] [CrossRef]
- Kuang, W.; Liu, J.; Tian, H.; Shi, H.; Dong, J.; Song, C.; Li, X.; Du, G.; Hou, Y.; Lu, D.; et al. Cropland redistribution to marginal lands undermines environmental sustainability. Natl. Sci. Rev. 2022, 9, nwab091. [Google Scholar] [CrossRef] [PubMed]
- Karen, C.; Seto, B.P. Urban land use: Central to building a sustainable future. One Earth 2019, 1, 168–170. [Google Scholar]
- Elizabeth, F.; Pienaar, E.C.; Rubino, M.; Saayman, P.M. Attaining sustainable use on private game ranching lands in South Africa. Land Use Policy 2017, 65, 176–185. [Google Scholar]
- Basso, B.; Antle, J. Digital agriculture to design sustainable agricultural systems. Nat. Sustain. 2020, 3, 254–256. [Google Scholar] [CrossRef]
- Lyu, X.; Sun, X.; Peng, W.; Niu, S. Spatial-temporal differentiation of sustainable intensification of cultivated land use in Shenyang City based on emergy analysis. Chin. Geogr. Sci. 2022, 36, 79–89. (In Chinese) [Google Scholar]
- Zhou, L.; Shi, Y.; Cao, X. Evaluation of Land Intensive Use in Shanghai Pilot Free Trade Zone. Land 2019, 8, 87. [Google Scholar] [CrossRef]
- Guo, Y.; Liu, Y.; Li, R.; Li, Y.; Wang, J. TIC-driven sustainable land use mode in the Loess Plateau: A case study of gully land consolidation project in Yan’an City, China. Land Use Policy 2024, 140, 107107. [Google Scholar] [CrossRef]
- Shi, Y.; Duan, W.; Fleskens, L.; Li, M.; Hao, J. Study on Evaluation of Regional Cultivated Land Quality Based on Resource-Asset-Capital Attributes and Its Spatial Mechanism. Appl. Geogr. 2020, 125, 102284. [Google Scholar] [CrossRef]
- Wen, G.; Liu, M.; Hu, X.; Zhao, J. Spatial correlation and spatial effect of cultivated land use ecological efficiency in the Dongting Lake Plain. Sci. Geol. Sin. 2022, 42, 1102–1112. (In Chinese) [Google Scholar]
- Wang, M.; Huang, X. Inhibit or Promote: Spatial Impacts of Multifunctional Farmland Use Transition on Grain Production from the Perspective of Major Function-Oriented Zoning. Habitat Int. 2024, 152, 103172. [Google Scholar] [CrossRef]
- Peng, H.; Zhang, X.; Ren, W.; He, J. Spatial Pattern and Driving Factors of Cropland Ecosystem Services in a Major Grain-Producing Region: A Production-Living-Ecology Perspective. Ecol. Indic. 2023, 155, 111024. [Google Scholar] [CrossRef]
- Zhong, X.; Li, H.; Guo, D. Study on the accounting path of economic value of cultivated land resource assets based on capacity theory: A case study of Jiangxi Province. Chin. Land Sci. 2022, 36, 88–96. (In Chinese) [Google Scholar]
- Alignier, A.; Carof, M.; Aviron, S. Assessing cropping system multifunctionality: An analysis of trade-offs and synergies in French cereal fields. Agric. Syst. 2024, 221, 104100. [Google Scholar] [CrossRef]
- Liu, M.; Zhang, A.; Wen, G. Regional differences and spatial convergence in the ecological efficiency of cultivated land use in the main grain producing areas in the Yangtze Region. J. Nat. Resour. 2022, 37, 477–493. (In Chinese) [Google Scholar] [CrossRef]
- Briz-Redón, Á. A Bayesian shared-effects modeling framework to quantify the modifiable areal unit problem. Spat. Stat. 2022, 51, 100689. [Google Scholar] [CrossRef]
- Wu, Y.; Wu, Y.; Li, C.; Gao, B.; Zheng, K.; Li, C. Multi-scale spatial differentiation and geographic detection response of ecosystem service value in Sichuan Yunnan ecological barrier based on the modifiable areal unit problem. Int. Soil Water Conserv. Res. 2023, 30, 333–342. (In Chinese) [Google Scholar]
- Chen, Y.; Wumaierjiang, W.; Aikeremu, A.; Cheng, Y. Monitoring and analysis of ecological benefits of water conveyance in the lower reaches of Tarim River in recent 20 years. J. Arid Land 2021, 44, 605–611. (In Chinese) [Google Scholar]
- Kanter, D.R.; Musumba, M.; Wood, S.L.R.; Palm, C.; Antle, J.; Balvanera, P.; Dale, V.H.; Havlik, P.; Kline, K.L.; Scholes, R.J.; et al. Evaluating Agricultural Trade-Offs in the Age of Sustainable Development. Agric. Syst. 2018, 163, 73–88. [Google Scholar] [CrossRef]
- Liu, Y.; Liu, Y.; Ou, C. Scientific Cognition and Detection Methods of Modern Human-Earth System. Chin. Sci. Bull. 2024, 69, 447–463. [Google Scholar] [CrossRef]
- Liu, L. The Discipline of Land Resources, 5th ed.; China Agricultural University Press: Beijing, China, 2010; pp. 188–206. (In Chinese) [Google Scholar]
- Chen, Y.; Hao, X.; Chen, Y.; Zhu, C. Study on water system connectivity and ecological protection countermeasures of Tarim River Basin in Xinjiang. Bull. Chin. Acad. Sci. 2019, 34, 1156–1164. (In Chinese) [Google Scholar]
- Liu, X.; Cai, Z.; Xu, Y.; Zheng, H.; Wang, K. Suitability evaluation of cultivated land reserved resources in arid areas based on regional water balance. Water Resour. Manag. 2022, 36, 1463–1479. [Google Scholar] [CrossRef]
- Leyrer, V.; Patulla, M.; Hartung, J.; Marhan, S.; Poll, C. Long-term manipulation of mean climatic conditions alters drought effects on C-and N-cycling in an arable soil. Glob. Chang. Biol. 2022, 28, 3974–3990. [Google Scholar] [CrossRef]
- Lu, J.; Carbone, G.J.; Gao, P. Mapping the Agricultural Drought Based on the Long-Term AVHRR NDVI and North American Regional Reanalysis (NARR) in the United States, 1981–2013. Appl. Geogr. 2019, 104, 10–20. [Google Scholar] [CrossRef]
- Ustaoglu, E.; Aydınoglu, A.C. Regional Variations of Land-Use Development and Land-Use/Cover Change Dynamics: A Case Study of Turkey. Remote Sens. 2019, 11, 885. [Google Scholar] [CrossRef]
- Chang, C.; Bao, A.; Li, J. Spatiotemporal Evolution of Cultivated Land in the Headwaters of the Tarim River. Arid Zone Res. 2016, 33, 239–245. (In Chinese) [Google Scholar]
- Fang, G.; Chen, Y.; Li, Z. Variation in agricultural water demand and its attributions in the arid Tarim River Basin. J. Agric. Sci. 2018, 156, 301–311. [Google Scholar] [CrossRef]
- Zhao, W.; Li, J.; Yang, R.; Li, Y. Yields and water-saving effects of crops as affected by variable rate irrigation management based on soil water spatial variation. Trans. Chin. Soc. Agric. Eng. 2017, 33, 1–7. (In Chinese) [Google Scholar]
- Bai, J.; Peng, J.; Bai, Z.; Wang, J.; Wu, J. Clarifying spatial-temporal variability of surface soil salinization in arid cotton fields. Chin. Soil Sci. 2021, 52, 527–534. (In Chinese) [Google Scholar]
- Ye, S.; Song, C.; Shen, S.; Gao, P.; Cheng, C.; Cheng, F.; Wan, C.; Zhu, D. Spatial pattern of arable land-use intensity in China. Land Use Policy 2020, 99, 104845. [Google Scholar] [CrossRef]
- Ren, L.; Vanden Nest, T.; Ruysschaert, G.; D’Hose, T.; Cornelis, W.M. Short-term effects of cover crops and tillage methods on soil physical properties and maize growth in a sandy loam soil. Soil Tillage Res. 2019, 192, 76–86. [Google Scholar] [CrossRef]
- Dong, L.; Li, G.; Yan, L.; Liu, Q.; Yan, Z.; Luo, Z. Reponses of spring wheat yield to temperature variations with different tillage measures in dryland. Agric. Res. 2015, 33, 56–61. (In Chinese) [Google Scholar]
- Pan, L.; Li, R.; Zhang, Y.; Li, Q.; Gao, J.; Yuan, J. Effects of straw mulching on soil ecological stoichiometric characteristics and yield of sloping cropland in southwestern karst area. Acta Ecol. Sin. 2022, 42, 4428–4438. (In Chinese) [Google Scholar]
- Qian, F.; Zhang, X.; Zhang, J.; Sun, F. Trinity protection and evaluation of farmland ecosystem in the Central Plain of Liaoning, Northeast China. J. Eco-Friendly Agric. 2022, 30, 126–137. (In Chinese) [Google Scholar]
- Qian, F.; Jiao, S.; Yu, Y.; Wang, X.; Shao, T. Cultivated Land Quality Assessment and Obstacle Factors Diagnosis in Changtu County, Northeast China. Land Degrad. Dev. 2024, 35, 5065–5077. [Google Scholar] [CrossRef]
- Cui, Y.; Yang, S.; Zhang, P.; Yu, D. Study on the Classification Method of Construction Land in the Context of Urban-Rural Integration. Chin. Land Sci. 2021, 35, 35–43. (In Chinese) [Google Scholar]
- He, L.; Min, Q.; Zhang, D. Evaluation models for multifunctionality of agriculture and their applications: A case study on Qingtian County in Zhejiang Province, China. Resour. Sci. 2010, 32, 1057–1064. (In Chinese) [Google Scholar]
- Nuyts, S.; Duarte de Paula Costa, M.; Macreadie, P.I.; Trevathan-Tackett, S.M. A Decision Support Tool to Help Identify Blue Carbon Sites for Restoration. J. Environ. Manag. 2024, 367, 122006. [Google Scholar] [CrossRef] [PubMed]
- Chen, Y.; Li, W.; Chen, Y.; Zhao, R.; Wan, J. Ecological response and ecological regeneration of transfusing stream water along the dried-up watercourse in the lower reaches of the Tarim River Xinjiang. Arid Zone Res. 2006, 23, 521–530. (In Chinese) [Google Scholar]
- Duan, Z.; Zubaidai, M.; Xia, J.; Liu, R. Water consumption characteristics and evolution in aksu oasis under climate variations and land-use changes. J. Basic Sci. Eng. 2018, 26, 1203–1216. (In Chinese) [Google Scholar]
- Kuerban, A.; Shabiti, M.; Zhao, J.; Yisake, A. The characteristics of climate change and its influence on the agricultural production in Aksu river basin. Acta Sci. Nat. Univ. Sunyatseni 2021, 60, 102–109. (In Chinese) [Google Scholar]
- Chakraborty, S.; Das, S. k−Means Clustering with a New Divergence-Based Distance Metric: Convergence and Performance Analysis. Pattern Recognit. Lett. 2017, 100, 67–73. [Google Scholar] [CrossRef]
- Qi, X.; Feng, K.; Sun, L.; Zhao, D.; Huang, X.; Zhang, D.; Liu, Z.; Baiocchi, G. Rising agricultural water scarcity in China is driven by expansion of irrigated cropland in water scarce regions. One Earth 2022, 5, 1139–1152. [Google Scholar] [CrossRef]
- Sui, H.; Song, G.; Gao, J. Spatio-temporal differentiation of cultivated land ecological degradation in typical black soil regions of Northeast China: A case study of Fujin city. Nat. Resour. 2022, 37, 2277–2291. (In Chinese) [Google Scholar] [CrossRef]
- Liu, Z.; Jiao, L.; Lian, X. Effects of climate change and cultivated land use change on climatic potential productivity of cultivated land in China from 1995 to 2020. Chin. Land Sci. 2022, 36, 62–73. (In Chinese) [Google Scholar]
- Dong, X.; Pan, C.; Liu, Q.; Liu, W. Evaluation of Improvement Potential for Cultivated Land Utilization Quality Grade in Shenyang. Chin. Soil Sci. 2022, 53, 787–794. (In Chinese) [Google Scholar]
- Qian, F.; Chi, Y.; Lal, R. Spatiotemporal characteristics analysis of multifunctional cultivated land: A case study in Shenyang, Northeast China. Land Degrad. Dev. 2020, 31, 1812–1822. [Google Scholar] [CrossRef]
- Keesstra, S.; Bouma, J.; Jongejans, N. The Role of Soil in Sustainable Land Management: A Review. J. Soil Water Conserv. 2016, 71, 135A–143A. [Google Scholar]
- Zhang, X.; Wang, Z.; Liu, J. Sustainable Land Use and Management: A Systematic Review of the Literature. Land Use Policy 2017, 66, 134–146. [Google Scholar]
- Pimentel, D.; Pimentel, M. Sustainability of Meat-Based and Plant-Based Diets and the Environment. Nutr. Food Sci. 2018, 48, 173–189. [Google Scholar] [CrossRef]
- Chen, Z.; Gong, A.; Zhang, L.; Wang, J.; Xiang, B.; Ning, D. Construction of the quality regulation system for provincial scale slope farmland based on quality evaluation. Trans. Chin. Soc. Agric. Eng. 2021, 37, 136–145. (In Chinese) [Google Scholar]
- Lv, Y.; Xie, L.; Sun, H.; Gu, W. Criterion selection in assessment of soil heavy metal pollution in farmland on county scale. China Environ. Sci. 2019, 39, 4743–4751. (In Chinese) [Google Scholar]
- Zhu, Q.; Hu, W.; Zhao, Z. Dynamic analysis on spatial-temporal pattern of trade-offs and synergies of multifunctional cultivated land—Evidence from Hubei Province. Econ. Geogr. 2018, 38, 143–153. (In Chinese) [Google Scholar]
- DeFries, R.; Eshleman, K.N. Land-Use Change and Hydrological Processes: A Review of the Evidence. Hydrol. Process. 2017, 31, 2639–2650. [Google Scholar]
- Liu, J.; Yang, H. Sustainable Agricultural Land Use Patterns and Their Influence on Food Security. Environ. Sci. Policy 2019, 92, 97–108. [Google Scholar]
- Pretty, J.; Bharucha, Z.P. Sustainable Intensification in Agricultural Systems. Nat. Sustain. 2018, 1, 283–294. [Google Scholar] [CrossRef]
- Hossain, M.B.; Ahsan, M. Impact of Climate Change on Sustainable Land Management in Agricultural Practices: A Review. Sustainability 2020, 12, 101. [Google Scholar]
- Chen, Y.; Li, Y.; Li, Z.; Liu, Y.; Huang, W.; Liu, X.; Feng, M. Analysis of the impact of global climate change on dryland areas. Adv. Earth Sci. 2022, 37, 111–119. (In Chinese) [Google Scholar]
- Veldkamp, A.; Fresco, L.O. Land Use and Land Cover Change: Lessons Learned from Research and Policy Practices. Glob. Environ. Chang. 2019, 53, 1–3. [Google Scholar]
- Zhang, Y.; Li, H.; Zhang, Y. Effects of Agricultural Practices on Soil Health and Sustainability: A Review. Agric. Ecosyst. Environ. 2020, 290, 106780. [Google Scholar]
- Hellsten, S.; Dragosits, U.; Place, C.J.; Dore, A.J.; Tang, Y.S.; Sutton, M.A. Uncertainties and implications of applying aggregated data for spatial modelling of atmospheric ammonia emissions. Environ. Pollut. 2018, 240, 412–421. [Google Scholar] [CrossRef] [PubMed]
- Chen, J.; Zhang, Y.; Yu, Y. Effect of MAUP in spatial autocorrelation. Acta Geogr. Sin. 2011, 66, 1597–1606. (In Chinese) [Google Scholar]
- Zhao, C.; Zhou, Y.; Jiang, J.; Xiao, P.; Wu, H. Spatial characteristics of cultivated land quality accounting for ecological environmental condition: A case study in hilly area of northern Hubei province, China. Sci. Total Environ. 2021, 774, 145765. [Google Scholar] [CrossRef]
- Wang, S.; Wang, Y. Comparative research on typical spatial interpolation methods for cancer data in small regions. Geogr. Res. 2021, 40, 2102–2118. (In Chinese) [Google Scholar]











| System (Weight) | Dimension | Indicators | Index Weight | Indicator Property |
|---|---|---|---|---|
| Climate (0.460) | — | PDSI(x1) [28] | 0.717 | − |
| Rainfall capacity (x2) | 0.246 | + | ||
| ≥10 °C accumulated temperature (x3) | 0.037 | + | ||
| LUI (0.1324) | Input | Machinery input index (x4) | 0.059 | + |
| Fertilizer input index (x5) | 0.153 | ± | ||
| Irrigation index (x6) | 0.064 | + | ||
| Electricity consumption index (x7) | 0.155 | + | ||
| Labor input index (x8) | 0.114 | + | ||
| Outputs | Grain yield per unit area (x9) | 0.013 | + | |
| Average output value (x10) | 0.093 | + | ||
| System | Multiple cropping index (x11) | 0.062 | + | |
| Yield gap index (x12) | 0.142 | + | ||
| Degree index of cultivated land utilization (x13) [29] | 0.143 | + | ||
| Soil quality (0.1326) | Site condition | Altitude (x14) | 0.0074 | ± |
| Landform pattern (x15) | 0.0065 | ± | ||
| Types of soil erosion (x16) | 0.245 | − | ||
| Physical and chemical properties of soil | Effective soil layer thickness (x17) | 0.016 | + | |
| Soil capacity (x18) | 0.025 | ± | ||
| Soil pH value (x19) | 0.011 | − | ||
| Soil nutrient | Total nitrogen (x20) | 0.020 | + | |
| Available phosphorus (x21) | 0.061 | + | ||
| Rapidly available potassium (x22) | 0.056 | + | ||
| Organic matter (x23) | 0.044 | + | ||
| Soil management | Quantity of straw returning to field (x24) | 0.089 | + | |
| Residue of agricultural film (x25) | 0.159 | ± | ||
| Protection forest system (x26) | 0.031 | + | ||
| Soil barrier factors | (x27) | 0.230 | − | |
| Water resources (0.275) | — | Irrigation guarantee rate (x28) | 0.043 | + |
| Irrigation method (x29) | 0.508 | + | ||
| Irrigation water source (x30) | 0.155 | + | ||
| Drainage conditions (x31) | 0.294 | + |
| Index | Accuracy Evaluation Index | IDW | OK | Spline |
|---|---|---|---|---|
| Climate system index | ME | 0.00024458 | 0.00052336 | 0.00008430 |
| RSME | 0.00861825 | 0.01747181 | 0.00925523 | |
| IP | 0.00007421 | 0.00030499 | 0.00008565 | |
| LUI | ME | 4.96896 × 10−5 | 0.00005506 | 0.00005890 |
| RSME | 0.00103869 | 0.00104161 | 0.00103317 | |
| IP | 1.07642 × 10−6 | 0.00000108 | 0.00000106 | |
| Soil quality | ME | −0.00077354 | 0.00109386 | 0.00086746 |
| RSME | 0.01001118 | 0.01383885 | 0.01362798 | |
| IP | 9.97952 × 10−5 | 0.00019032 | 0.00018497 | |
| Water resources | ME | −0.00077353 | −0.00021685 | −0.00047682 |
| RSME | 0.01742221 | 0.02044117 | 0.01845788 | |
| IP | 0.00030294 | 0.00041779 | 0.00034047 | |
| Sustainable utilization index of arable land | ME | 0.00030267 | 0.00156739 | 0.00110450 |
| RSME | 0.02206133 | 0.03719929 | 0.02781985 | |
| IP | 0.00048661 | 0.00138133 | 0.00077272 |
Disclaimer/Publisher’s Note: The statements, opinions and data contained in all publications are solely those of the individual author(s) and contributor(s) and not of MDPI and/or the editor(s). MDPI and/or the editor(s) disclaim responsibility for any injury to people or property resulting from any ideas, methods, instructions or products referred to in the content. |
© 2024 by the authors. Licensee MDPI, Basel, Switzerland. This article is an open access article distributed under the terms and conditions of the Creative Commons Attribution (CC BY) license (https://creativecommons.org/licenses/by/4.0/).
Share and Cite
Sheng, Y.; Liu, W.; Xu, H. Study on Spatial Differentiation Characteristics and Driving Mechanism of Sustainable Utilization of Cultivated Land in Tarim River Basin. Land 2024, 13, 2122. https://doi.org/10.3390/land13122122
Sheng Y, Liu W, Xu H. Study on Spatial Differentiation Characteristics and Driving Mechanism of Sustainable Utilization of Cultivated Land in Tarim River Basin. Land. 2024; 13(12):2122. https://doi.org/10.3390/land13122122
Chicago/Turabian StyleSheng, Yang, Weizhong Liu, and Hailiang Xu. 2024. "Study on Spatial Differentiation Characteristics and Driving Mechanism of Sustainable Utilization of Cultivated Land in Tarim River Basin" Land 13, no. 12: 2122. https://doi.org/10.3390/land13122122
APA StyleSheng, Y., Liu, W., & Xu, H. (2024). Study on Spatial Differentiation Characteristics and Driving Mechanism of Sustainable Utilization of Cultivated Land in Tarim River Basin. Land, 13(12), 2122. https://doi.org/10.3390/land13122122
