Evaluating Policy Shifts on Perceived Greenspace Quality: Applying Regression Discontinuity During the COVID-19 Reopening Period
Abstract
1. Introduction
2. Data and Methods
2.1. Study Area and COVID-19 Adjustment Policy
2.2. Survey and Regression Discontinuity Design
2.3. Key Variables and Covariates
2.4. Estimation Procedures
3. Results
3.1. Sample Characteristics
3.2. Regression Discontinuity Estimation for Perceived Overall Quality
3.3. Regression Discontinuity Estimation for Changes in Satisfaction Toward Parks and Community Greenspace Characteristics
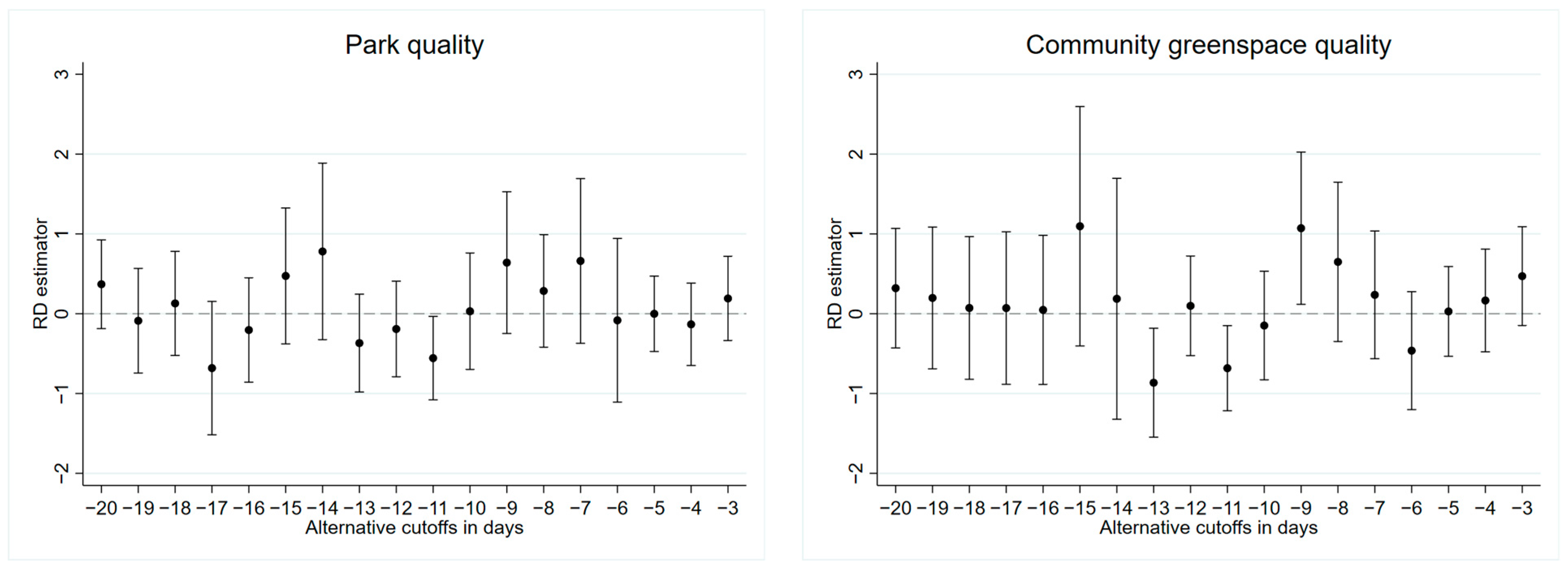
3.4. Robustness Checks
4. Discussions
4.1. Effects of COVID-19 Policy Change on Residents’ Perceived Greenspace Quality
4.2. Residents’ Perceptions About Different Characteristics of Greenspaces
4.3. Planning Implementations
4.4. Strength and Limitations
5. Conclusions
Author Contributions
Funding
Data Availability Statement
Acknowledgments
Conflicts of Interest
References
- Mustafa, A.; Kennedy, C.; Lopez, B.; McPhearson, T. Perceived and geographic access to urban green spaces in New York City during COVID-19. Cities 2023, 143, 104572. [Google Scholar] [CrossRef]
- Yang, J.; Wang, Y.; Xiu, C.; Xiao, X.; Xia, J.; Jin, C. Optimizing local climate zones to mitigate urban heat island effect in human settlements. J. Clean. Prod. 2020, 275, 123767. [Google Scholar] [CrossRef]
- Sandström, U.G.; Angelstam, P.; Mikusiński, G. Ecological diversity of birds in relation to the structure of urban green space. Landsc. Urban Plan. 2006, 77, 39–53. [Google Scholar] [CrossRef]
- Gupta, K.; Kumar, P.; Pathan, S.K.; Sharma, K.P. Urban Neighborhood Green Index—A measure of green spaces in urban areas. Landsc. Urban Plan. 2012, 105, 325–335. [Google Scholar] [CrossRef]
- Mygind, L.; Kjeldsted, E.; Hartmeyer, R.; Mygind, E.; Stevenson, M.P.; Quintana, D.S.; Bentsen, P. Effects of Public Green Space on Acute Psychophysiological Stress Response: A Systematic Review and Meta-Analysis of the Experimental and Quasi-Experimental Evidence. Environ. Behav. 2019, 53, 184–226. [Google Scholar] [CrossRef]
- Bertram, C.; Rehdanz, K. The role of urban green space for human well-being. Ecol. Econ. 2015, 120, 139–152. [Google Scholar] [CrossRef]
- Knobel, P.; Maneja, R.; Bartoll, X.; Alonso, L.; Bauwelinck, M.; Valentin, A.; Zijlema, W.; Borrell, C.; Nieuwenhuijsen, M.; Dadvand, P. Quality of urban green spaces influences residents’ use of these spaces, physical activity, and overweight/obesity. Environ. Pollut. 2021, 271, 116393. [Google Scholar] [CrossRef]
- Taylor, L.; Hochuli, D.F. Defining greenspace: Multiple uses across multiple disciplines. Landsc. Urban Plan. 2017, 158, 25–38. [Google Scholar] [CrossRef]
- Hunter, A.J.; Luck, G.W. Defining and measuring the social-ecological quality of urban greenspace: A semi-systematic review. Urban Ecosyst. 2015, 18, 1139–1163. [Google Scholar] [CrossRef]
- Zhang, Y.; Van den Berg, A.E.; Van Dijk, T.; Weitkamp, G. Quality over Quantity: Contribution of Urban Green Space to Neighborhood Satisfaction. Int. J. Environ. Res. Public Health 2017, 14, 535. [Google Scholar] [CrossRef]
- Venter, Z.S.; Barton, D.N.; Gundersen, V.; Figari, H.; Nowell, M. Urban nature in a time of crisis: Recreational use of green space increases during the COVID-19 outbreak in Oslo, Norway. Environ. Res. Lett. 2020, 15, 104075. [Google Scholar] [CrossRef]
- Chen, S.; Sleipness, O.; Christensen, K.; Yang, B.; Park, K.; Knowles, R.; Yang, Z.; Wang, H. Exploring associations between social interaction and urban park attributes: Design guideline for both overall and separate park quality enhancement. Cities 2024, 145, 104714. [Google Scholar] [CrossRef]
- Putra, I.G.N.E.; Astell-Burt, T.; Feng, X. Perceived green space quality, child biomarkers and health-related outcomes: A longitudinal study. Environ. Pollut. 2022, 303, 119075. [Google Scholar] [CrossRef]
- Shackleton, C.M.; Njwaxu, A. Does the absence of community involvement underpin the demise of urban neighbourhood parks in the Eastern Cape, South Africa? Landsc. Urban Plan. 2021, 207, 104006. [Google Scholar] [CrossRef]
- van Dillen, S.M.; de Vries, S.; Groenewegen, P.P.; Spreeuwenberg, P. Greenspace in urban neighbourhoods and residents’ health: Adding quality to quantity. J. Epidemiol. Community Health 2012, 66, e8. [Google Scholar] [CrossRef] [PubMed]
- Nguyen, P.Y.; Astell-Burt, T.; Rahimi-Ardabili, H.; Feng, X. Green Space Quality and Health: A Systematic Review. Int. J. Environ. Res. Public Health 2021, 18, 11028. [Google Scholar] [CrossRef]
- Kajosaari, A.; Hasanzadeh, K.; Fagerholm, N.; Nummi, P.; Kuusisto-Hjort, P.; Kyttä, M. Predicting context-sensitive urban green space quality to support urban green infrastructure planning. Landsc. Urban Plan. 2024, 242, 104952. [Google Scholar] [CrossRef]
- Axelsson, Ö.; Nilsson, M.E.; Hellström, B.; Lundén, P. A field experiment on the impact of sounds from a jet-and-basin fountain on soundscape quality in an urban park. Landsc. Urban Plan. 2014, 123, 49–60. [Google Scholar] [CrossRef]
- Xiong, Y.; Xu, M.; Zhao, Y. Resident Preferences for Urban Green Spaces in Response to Pandemic Public Health Emergency: A Case Study of Shanghai. Sustainability 2024, 16, 3738. [Google Scholar] [CrossRef]
- Lau, K.K.-L.; Yung, C.C.-Y.; Tan, Z. Usage and perception of urban green space of older adults in the high-density city of Hong Kong. Urban For. Urban Green. 2021, 64, 127251. [Google Scholar] [CrossRef]
- Gwedla, N.; Shackleton, C.M. Perceptions and preferences for urban trees across multiple socio-economic contexts in the Eastern Cape, South Africa. Landsc. Urban Plan. 2019, 189, 225–234. [Google Scholar] [CrossRef]
- Akpinar, A. How is quality of urban green spaces associated with physical activity and health? Urban For. Urban Green. 2016, 16, 76–83. [Google Scholar] [CrossRef]
- Berdejo-Espinola, V.; Suarez-Castro, A.F.; Amano, T.; Fielding, K.S.; Oh, R.R.Y.; Fuller, R.A. Urban green space use during a time of stress: A case study during the COVID-19 pandemic in Brisbane, Australia. People Nat. 2021, 3, 597–609. [Google Scholar] [CrossRef]
- Burnett, H.; Olsen, J.R.; Mitchell, R.J.L. Green space visits and barriers to visiting during the COVID-19 pandemic: A three-wave nationally representative cross-sectional study of UK adults. Land 2022, 11, 503. [Google Scholar] [CrossRef]
- Ugolini, F.; Massetti, L.; Pearlmutter, D.; Sanesi, G. Usage of urban green space and related feelings of deprivation during the COVID-19 lockdown: Lessons learned from an Italian case study. Land Use Policy 2021, 105, 105437. [Google Scholar] [CrossRef]
- Poortinga, W.; Bird, N.; Hallingberg, B.; Phillips, R.; Williams, D. The role of perceived public and private green space in subjective health and wellbeing during and after the first peak of the COVID-19 outbreak. Landsc. Urban Plan. 2021, 211, 104092. [Google Scholar] [CrossRef] [PubMed]
- Yang, Y.; Lu, Y.; Yang, L.; Gou, Z.; Liu, Y. Urban greenery cushions the decrease in leisure-time physical activity during the COVID-19 pandemic: A natural experimental study. Urban For. Urban Green. 2021, 62, 127136. [Google Scholar] [CrossRef]
- Addas, A.; Maghrabi, A. How did the COVID-19 pandemic impact urban green spaces? A multi-scale assessment of Jeddah megacity (Saudi Arabia). Urban For. Urban Green. 2022, 69, 127493. [Google Scholar] [CrossRef]
- Astell-Burt, T.; Feng, X. Time for ‘Green’ during COVID-19? Inequities in Green and Blue Space Access, Visitation and Felt Benefits. Int. J. Environ. Res. Public Health 2021, 18, 2757. [Google Scholar] [CrossRef]
- Stessens, P.; Canters, F.; Huysmans, M.; Khan, A.Z. Urban green space qualities: An integrated approach towards GIS-based assessment reflecting user perception. Land Use Policy 2020, 91, 104319. [Google Scholar] [CrossRef]
- Wu, L.; Zhou, Y.; Nie, X.; Kim, S.K.; Shao, Y.; Guan, C. “Unfenced” parks and residents’ visit patterns: A regression discontinuity design in Shanghai. Urban For. Urban Green. 2024, 100, 128459. [Google Scholar] [CrossRef]
- Karageorghis, C.I.; Bird, J.M.; Hutchinson, J.C.; Hamer, M.; Delevoye-Turrell, Y.N.; Guérin, S.M.R.; Mullin, E.M.; Mellano, K.T.; Parsons-Smith, R.L.; Terry, V.R.; et al. Physical activity and mental well-being under COVID-19 lockdown: A cross-sectional multination study. BMC Public Health 2021, 21, 988. [Google Scholar] [CrossRef] [PubMed]
- Li, A.; Mansour, A.; Bentley, R. Green and blue spaces, COVID-19 lockdowns, and mental health: An Australian population-based longitudinal analysis. Health Place 2023, 83, 103103. [Google Scholar] [CrossRef] [PubMed]
- Maas, J.; Verheij, R.A.; Groenewegen, P.P.; De Vries, S.; Spreeuwenberg, P. Green space, urbanity, and health: How strong is the relation? J. Epidemiol. Community Health 2006, 60, 587–592. [Google Scholar] [CrossRef] [PubMed]
- Nutsford, D.; Pearson, A.L.; Kingham, S. An ecological study investigating the association between access to urban green space and mental health. Public Health 2013, 127, 1005–1011. [Google Scholar] [CrossRef]
- Lu, Y.; Zhao, J.; Wu, X.; Lo, S.M. Escaping to nature during a pandemic: A natural experiment in Asian cities during the COVID-19 pandemic with big social media data. Sci. Total Environ. 2021, 777, 146092. [Google Scholar] [CrossRef]
- Zhang, W.; Li, J. A quasi-experimental analysis on the causal effects of COVID-19 on urban park visits: The role of park features and the surrounding built environment. Urban For. Urban Green. 2023, 82, 127898. [Google Scholar] [CrossRef]
- Dong, Y.; Lewbel, A. Identifying the effect of changing the policy threshold in regression discontinuity models. Rev. Econ. Stat. 2015, 97, 1081–1092. [Google Scholar] [CrossRef]
- Bor, J.; Moscoe, E.; Mutevedzi, P.; Newell, M.-L.; Bärnighausen, T. Regression discontinuity designs in epidemiology: Causal inference without randomized trials. Epidemiology 2014, 25, 729–737. [Google Scholar] [CrossRef]
- Shanghai Bureau of Statistics. Shanghai Statistical Yearbook; China Statistic Press: Beijing, China, 2023.
- Xu, C.; Wang, X.; Hu, H.; Qin, H.; Wang, J.; Shi, J.; Hu, Y. A sequential re-opening of provinces for China’s zero-COVID policy. Nat. Med. 2023, 29, 2977–2978. [Google Scholar] [CrossRef]
- Anderson, R.M.; Heesterbeek, H.; Klinkenberg, D.; Hollingsworth, T.D. How will country-based mitigation measures influence the course of the COVID-19 epidemic? Lancet 2020, 395, 931–934. [Google Scholar] [CrossRef] [PubMed]
- Shanghai Municipal Peoples Government. As of Today, Proof of a Negative Nucleic Acid Test Is No Longer Required for Accessing Outdoor Venues Such as Parks and Scenic Areas via Public Transportation Within the City. Citizens Are Encouraged to Maintain Personal Protective Measures and Assume Primary Responsibility for Their Own Health; Shanghai Municipal Peoples Government: Shanghai, China, 2022.
- Abdulla, F.; Hossain, M.; Rahman, M. On the selection of samples in probability proportional to size sampling: Cumulative relative frequency method. Math. Theor. Model. 2014, 4, 102–107. [Google Scholar]
- Cornesse, C.; Bosnjak, M. Is there an association between survey characteristics and representativeness? A meta-analysis. Surv. Res. Methods 2018, 12, 1–13. [Google Scholar]
- Yu, S.; Alper, H.E.; Nguyen, A.M.; Brackbill, R.M.; Turner, L.; Walker, D.J.; Maslow, C.B.; Zweig, K.C. The effectiveness of a monetary incentive offer on survey response rates and response completeness in a longitudinal study. BMC Med. Res. Methodol. 2017, 17, 77. [Google Scholar] [CrossRef]
- Oppenheimer, D.M.; Meyvis, T.; Davidenko, N. Instructional manipulation checks: Detecting satisficing to increase statistical power. J. Exp. Soc. Psychol. 2009, 45, 867–872. [Google Scholar] [CrossRef]
- Liu, M.; Wronski, L. Trap questions in online surveys: Results from three web survey experiments. Int. J. Mark. Res. 2018, 60, 32–49. [Google Scholar] [CrossRef]
- Buchanan, E.M.; Scofield, J.E. Methods to detect low quality data and its implication for psychological research. Behav. Res. Methods 2018, 50, 2586–2596. [Google Scholar] [CrossRef] [PubMed]
- National Health Commission of the People’s Republic of China. Transcript of the Press Conference by the Joint Prevention and Control Mechanism of the State Council on 16 September 2021. 2021. Available online: http://www.nhc.gov.cn/xcs/yqfkdt/202109/f89d117481b24572a346c19fde76a396.shtml (accessed on 12 October 2024).
- Khanna, R.C.; Cicinelli, M.V.; Gilbert, S.S.; Honavar, S.G.; Murthy, G.V. COVID-19 pandemic: Lessons learned and future directions. Indian J. Ophthalmol. 2020, 68, 703–710. [Google Scholar] [CrossRef]
- Nie, X.; Huang, Z.; Wu, L. Community governance during the Shanghai COVID-19 lockdown I: The roles and actions of residents’ committees. Urban Geogr. 2024, 45, 1–21. [Google Scholar] [CrossRef]
- Liu, H.; Li, F.; Li, J.; Zhang, Y. The relationships between urban parks, residents’ physical activity, and mental health benefits: A case study from Beijing, China. J. Environ. Manag. 2017, 190, 223–230. [Google Scholar] [CrossRef]
- Zhang, W.; Yang, J.; Ma, L.; Huang, C. Factors affecting the use of urban green spaces for physical activities: Views of young urban residents in Beijing. Urban For. Urban Green. 2015, 14, 851–857. [Google Scholar] [CrossRef]
- Liu, H.; Li, F.; Xu, L.; Han, B. The impact of socio-demographic, environmental, and individual factors on urban park visitation in Beijing, China. J. Clean. Prod. 2017, 163, S181–S188. [Google Scholar] [CrossRef]
- Carrily, A.; Cazorz, A.; Gerardinox, M.P.; Litschig, S.; Pomeranzk, D. Subgroup Analysis in Regression Discontinuity Designs. 2019. Available online: https://www.semanticscholar.org/paper/Subgroup-Analysis-in-Regression-Discontinuity-%E2%88%97-Carril-Cazor/d8c69a0260a0af43d893cdb1747fba73fe1bffad#citing-papers (accessed on 12 October 2024).
- Feng, S.; Bilinski, A. Parallel Trends in an Unparalleled Pandemic: Difference-in-differences for infectious disease policy evaluation. medRxiv 2024. medRxiv: 2008.24305335. [Google Scholar]
- Li, M. Using the propensity score method to estimate causal effects: A review and practical guide. Organ. Res. Methods 2013, 16, 188–226. [Google Scholar] [CrossRef]
- Lee, D.S.; Lemieux, T. Regression Discontinuity Designs in Economics. J. Econ. Lit. 2010, 48, 281–355. [Google Scholar] [CrossRef]
- Van Hauwaert, S.M.; Huber, R.A. In-group solidarity or out-group hostility in response to terrorism in France? Evidence from a regression discontinuity design. Eur. J. Political Res. 2020, 59, 936–953. [Google Scholar] [CrossRef]
- Cattaneo, M.D.; Idrobo, N.; Titiunik, R. A Practical Introduction to Regression Discontinuity Designs: Foundations; Cambridge University Press: Cambridge, UK, 2020. [Google Scholar]
- Skovron, C.; Titiunik, R.o. A Practical Guide to Regression Discontinuity Designs in Political Science. 2015. Available online: http://qe4policy.ec.unipi.it/wp-content/uploads/2015/09/SkovronTitiunik-v5.pdf (accessed on 12 October 2024).
- Yao, X.; Yu, Z.; Ma, W.; Xiong, J.; Yang, G. Quantifying threshold effects of physiological health benefits in greenspace exposure. Landsc. Urban Plan. 2024, 241, 104917. [Google Scholar] [CrossRef]
- Chamaa, F.; Bahmad, H.F.; Darwish, B.; Kobeissi, J.M.; Hoballah, M.; Nassif, S.B.; Ghandour, Y.; Saliba, J.P.; Lawand, N.; Abou-Kheir, W. PTSD in the COVID-19 Era. Curr. Neuropharmacol. 2021, 19, 2164–2179. [Google Scholar] [CrossRef] [PubMed]
- Yang, Y.; Lu, Y.; Jiang, B. Population-weighted exposure to green spaces tied to lower COVID-19 mortality rates: A nationwide dose-response study in the USA. Sci. Total Environ. 2022, 851, 158333. [Google Scholar] [CrossRef]
- Ugolini, F.; Massetti, L.; Calaza-Martinez, P.; Carinanos, P.; Dobbs, C.; Ostoic, S.K.; Marin, A.M.; Pearlmutter, D.; Saaroni, H.; Sauliene, I.; et al. Effects of the COVID-19 pandemic on the use and perceptions of urban green space: An international exploratory study. Urban For. Urban Green. 2020, 56, 126888. [Google Scholar] [CrossRef]
- Jim, C.Y.; Chen, W.Y. Perception and attitude of residents toward urban green spaces in Guangzhou (China). Environ. Manag. 2006, 38, 338–349. [Google Scholar] [CrossRef] [PubMed]
- Lopez, B.; Kennedy, C.; Field, C.; McPhearson, T. Who benefits from urban green spaces during times of crisis? Perception and use of urban green spaces in New York City during the COVID-19 pandemic. Urban For. Urban Green. 2021, 65, 127354. [Google Scholar] [CrossRef] [PubMed]
- Zhou, M.; Huang, Y.; Li, G. Changes in the concentration of air pollutants before and after the COVID-19 blockade period and their correlation with vegetation coverage. Environ. Sci. Pollut. Res. Int. 2021, 28, 23405–23419. [Google Scholar] [CrossRef]
- Wu, Y.; Wei, Y.D.; Liu, M.; Garcia, I. Green infrastructure inequality in the context of COVID-19: Taking parks and trails as examples. Urban For. Urban Green. 2023, 86, 128027. [Google Scholar] [CrossRef] [PubMed]
- Park, S. A Preliminary Study on Connectivity and Perceived Values of Community Green Spaces. Sustainability 2017, 9, 692. [Google Scholar] [CrossRef]
- Zhang, Z.; Wang, M.; Xu, Z.; Ye, Y.; Chen, S.; Pan, Y.; Chen, J. The influence of Community Sports Parks on residents’ subjective well-being: A case study of Zhuhai City, China. Habitat Int. 2021, 117, 102439. [Google Scholar] [CrossRef]
- Zhong, Y.; Huang, J.; Zhang, W.; Li, S.; Gao, Y. Addressing psychosomatic issues after lifting the COVID-19 policy in China: A wake-up call. Asian J. Psychiatry 2023, 82, 103517. [Google Scholar] [CrossRef]
- Ba, Z.; Li, Y.; Ma, J.; Qin, Y.; Tian, J.; Meng, Y.; Yi, J.; Zhang, Y.; Chen, F. Reflections on the dynamic zero-COVID policy in China. Prev. Med. Rep. 2023, 36, 102466. [Google Scholar] [CrossRef]
- Cellucci, C.; Di Sivo, M. Post-pandemic Public Space. The Challenges for the Promotion of Well-Being and Public Health in the Post-covid City. In Advances in Human Factors in Architecture, Sustainable Urban Planning and Infrastructure, Proceedings of the AHFE 2021 Virtual Conference on Human Factors in Architecture, Sustainable Urban Planning and Infrastructure, USA, 25–29 July 2021; Springer Nature Switzerland AG: Cham, Switzerland, 2021; pp. 181–189. [Google Scholar]
- Zhang, J.; Tan, S.; Peng, C.; Xu, X.; Wang, M.; Lu, W.; Wu, Y.; Sai, B.; Cai, M.; Kummer, A.G.; et al. Heterogeneous changes in mobility in response to the SARS-CoV-2 Omicron BA.2 outbreak in Shanghai. Proc. Natl. Acad. Sci. USA 2023, 120, e2306710120. [Google Scholar] [CrossRef]
- Severin, M.I.; Vandegehuchte, M.B.; Hooyberg, A.; Buysse, A.; Raes, F.; Everaert, G. Influence of the Belgian Coast on Well-Being During the COVID-19 Pandemic. Psychol. Belg. 2021, 61, 284–295. [Google Scholar] [CrossRef]
- White, M.P.; Elliott, L.R.; Grellier, J.; Economou, T.; Bell, S.; Bratman, G.N.; Cirach, M.; Gascon, M.; Lima, M.L.; Lohmus, M.; et al. Associations between green/blue spaces and mental health across 18 countries. Sci. Rep. 2021, 11, 8903. [Google Scholar] [CrossRef] [PubMed]






| Variables | Descriptions | Percentage/% |
|---|---|---|
| Age | 18–29 years old | 38.47 |
| 30–49 years old | 39.86 | |
| 50 years old and above | 21.66 | |
| Gender | Male | 50.78 |
| Female | 49.22 | |
| Highest level of education | Primary school and below | 0.17 |
| Junior high school | 15.42 | |
| High school | 36.57 | |
| Junior college | 14.21 | |
| Undergraduate | 27.56 | |
| Master’s degree and above | 6.07 | |
| Marital status | Single | 46.45 |
| Cohabiting | 5.20 | |
| Married, living together | 41.42 | |
| Married, living separately | 2.95 | |
| Divorced | 2.77 | |
| Widowed | 1.21 | |
| Employment status | Engaged in non-agricultural work | 50.61 |
| Farming | 1.73 | |
| Unemployed or job-seeking | 9.36 | |
| Retired (not in job) | 10.40 | |
| Lost labor capacity | 0.17 | |
| Student | 11.27 | |
| Housekeeping | 4.85 | |
| Others | 11.61 | |
| Household income | Less than USD 4455.80 (3 ten thousand yuan) | 10.92 |
| USD 4455.80–7426.32 (3–4.99 ten thousand yuan) | 9.88 | |
| USD 7426.33–14,852.65 (5–9.99 ten thousand yuan) | 17.85 | |
| USD 14,852.66–29,705.31 (10–19.99 ten thousand yuan) | 28.77 | |
| USD 29,705.32–74,263.30 (20–49.99 ten thousand yuan) | 26.34 | |
| USD 74,263.31–148,526.61 (50–99.99 ten thousand yuan) | 5.55 | |
| USD 148,526.62 (100 ten thousand yuan) and above | 0.69 |
| Variables | Descriptions | Percentage/% |
|---|---|---|
| Perceived overall park quality | Very poor | 0.52 |
| Poor | 0.69 | |
| Medium | 31.20 | |
| Good | 48.01 | |
| Very good | 19.58 | |
| Perceived overall community greenspace quality | Very poor | 1.44 |
| Poor | 3.29 | |
| Medium | 38.68 | |
| Good | 41.98 | |
| Very good | 14.61 |
| Variables | Descriptions | Percentage/% |
|---|---|---|
| Satisfaction toward park quality-related features | ||
| Plant coverage | Dissatisfied | 9.01 |
| Neutral | 51.65 | |
| Satisfied | 39.34 | |
| Plant diversity | Dissatisfied | 11.44 |
| Neutral | 60.66 | |
| Satisfied | 27.90 | |
| Trees and/or lawns | Dissatisfied | 11.27 |
| Neutral | 52.86 | |
| Satisfied | 35.88 | |
| Plant care | Dissatisfied | 8.15 |
| Neutral | 62.39 | |
| Satisfied | 29.46 | |
| Have sport facilities | Dissatisfied | 9.71 |
| Neutral | 59.97 | |
| Satisfied | 30.33 | |
| Have seating areas | Dissatisfied | 8.49 |
| Neutral | 54.77 | |
| Satisfied | 36.74 | |
| Have trails | Dissatisfied | 6.93 |
| Neutral | 63.26 | |
| Satisfied | 29.81 | |
| Have large open spaces | Dissatisfied | 6.93 |
| Neutral | 78.51 | |
| Satisfied | 14.56 | |
| Have high-quality waterbody | Dissatisfied | 6.59 |
| Neutral | 75.56 | |
| Satisfied | 17.85 | |
| High esthetic value | Dissatisfied | 6.59 |
| Neutral | 70.36 | |
| Satisfied | 23.05 | |
| Satisfaction toward community greenspace quality-related features | ||
| Plant coverage | Dissatisfied | 14.38 |
| Neutral | 64.12 | |
| Satisfied | 21.49 | |
| Plant diversity | Dissatisfied | 16.64 |
| Neutral | 65.34 | |
| Satisfied | 18.02 | |
| Plant care | Dissatisfied | 13.17 |
| Neutral | 65.86 | |
| Satisfied | 20.97 | |
| Have sport facilities | Dissatisfied | 7.63 |
| Neutral | 68.11 | |
| Satisfied | 24.26 | |
| Have seating areas | Dissatisfied | 7.63 |
| Neutral | 64.82 | |
| Satisfied | 27.56 | |
| Have high-quality waterbody | Dissatisfied | 10.05 |
| Neutral | 79.90 | |
| Satisfied | 10.05 | |
| Have trails | Dissatisfied | 7.28 |
| Neutral | 76.43 | |
| Satisfied | 16.29 | |
| High esthetic value | Dissatisfied | 9.19 |
| Neutral | 78.16 | |
| Satisfied | 12.65 | |
| VARIABLES | Overall Quality | Plant Coverage | Plant Diversity | Trees and/or Lawns | Plant Care | Have Sport Facilities | Have Seating Areas | Have Trails | Have Large Open Spaces | Have High-Quality Waterbody | High Esthetic Value |
|---|---|---|---|---|---|---|---|---|---|---|---|
| Conventional | −0.028 | 0.284 ** | 0.689 *** | 1.102 *** | 0.575 ** | 0.396 ** | 0.582 *** | 0.354 * | 0.458 *** | 0.093 | 0.113 |
| (0.275) | (0.138) | (0.179) | (0.215) | (0.234) | (0.160) | (0.119) | (0.181) | (0.172) | (0.213) | (0.101) | |
| Bias-corrected | −0.087 | 0.275 ** | 0.795 *** | 1.190 *** | 0.740 *** | 0.481 *** | 0.664 *** | 0.461 ** | 0.516 *** | 0.123 | 0.224 ** |
| (0.275) | (0.138) | (0.179) | (0.215) | (0.234) | (0.160) | (0.119) | (0.181) | (0.172) | (0.213) | (0.101) | |
| Robust | −0.087 | 0.275 | 0.795 *** | 1.190 *** | 0.740 ** | 0.481 *** | 0.664 *** | 0.461 * | 0.516 ** | 0.123 | 0.224 |
| (0.378) | (0.185) | (0.215) | (0.232) | (0.294) | (0.178) | (0.202) | (0.252) | (0.246) | (0.319) | (0.153) | |
| Observations | 496 | 496 | 496 | 496 | 496 | 496 | 496 | 496 | 496 | 496 | 496 |
| Robust 95% CI | [−0.827; 0.653] | [−0.087; 0.637] | [0.373; 1.217] | [0.735; 1.644] | [0.164; 1.317] | [0.132; 0.830] | [0.268; 1.059] | [−0.032; 0.955] | [0.034; 0.998] | [−0.502; 0.747] | [−0.077; 0.524] |
| MSE-optimal Bandwidth | 5.704 | 9.024 | 6.031 | 2.978 | 3.673 | 4.221 | 4.091 | 3.592 | 3.838 | 4.359 | 3.279 |
| Eff. N(control) | 48 | 68 | 62 | 17 | 25 | 38 | 38 | 25 | 25 | 38 | 25 |
| Eff. N(treatment) | 107 | 158 | 125 | 39 | 61 | 77 | 77 | 61 | 61 | 77 | 61 |
| VARIABLES | Overall Quality | Plant Coverage | Plant Diversity | Plant Care | Have Sport Facilities | Have Seating Areas | Have High-Quality Waterbody | Have Trails | High Esthetic Value |
|---|---|---|---|---|---|---|---|---|---|
| Conventional | 0.401 ** | 0.080 | 0.541 *** | 0.163 | 0.119 | 0.416 *** | 0.280 ** | 0.383 *** | 0.486 *** |
| (0.161) | (0.197) | (0.119) | (0.132) | (0.083) | (0.094) | (0.142) | (0.119) | (0.092) | |
| Bias-corrected | 0.609 *** | 0.006 | 0.722 *** | 0.307 ** | 0.116 | 0.469 *** | 0.568 *** | 0.456 *** | 0.583 *** |
| (0.161) | (0.197) | (0.119) | (0.132) | (0.083) | (0.094) | (0.142) | (0.119) | (0.092) | |
| Robust | 0.609 *** | 0.006 | 0.722 *** | 0.307 ** | 0.116 | 0.469 *** | 0.568 *** | 0.456 *** | 0.583 *** |
| (0.200) | (0.216) | (0.124) | (0.129) | (0.115) | (0.134) | (0.203) | (0.174) | (0.122) | |
| Observations | 398 | 398 | 398 | 398 | 398 | 398 | 398 | 398 | 398 |
| Robust 95% CI | [0.218; 1.001] | [−0.417; 0.430] | [0.480; 0.965] | [0.053; 0.561] | [−0.109; 0.341] | [0.206; 0.731] | [0.170; 0.966] | [0.115; 0.797] | [0.343; 0.823] |
| MSE-optimal Bandwidth | 4.865 | 6.486 | 5.886 | 11.160 | 13.550 | 8.422 | 5.586 | 4.611 | 4.910 |
| Eff. N(control) | 27 | 46 | 36 | 65 | 79 | 52 | 36 | 27 | 27 |
| Eff. N(treatment) | 61 | 102 | 86 | 131 | 131 | 131 | 86 | 61 | 61 |
Disclaimer/Publisher’s Note: The statements, opinions and data contained in all publications are solely those of the individual author(s) and contributor(s) and not of MDPI and/or the editor(s). MDPI and/or the editor(s) disclaim responsibility for any injury to people or property resulting from any ideas, methods, instructions or products referred to in the content. |
© 2024 by the authors. Licensee MDPI, Basel, Switzerland. This article is an open access article distributed under the terms and conditions of the Creative Commons Attribution (CC BY) license (https://creativecommons.org/licenses/by/4.0/).
Share and Cite
Lin, C.; Jia, C.; Wang, B.; Kang, S.; Chen, H.; Li, D.; Wu, L. Evaluating Policy Shifts on Perceived Greenspace Quality: Applying Regression Discontinuity During the COVID-19 Reopening Period. Land 2024, 13, 1777. https://doi.org/10.3390/land13111777
Lin C, Jia C, Wang B, Kang S, Chen H, Li D, Wu L. Evaluating Policy Shifts on Perceived Greenspace Quality: Applying Regression Discontinuity During the COVID-19 Reopening Period. Land. 2024; 13(11):1777. https://doi.org/10.3390/land13111777
Chicago/Turabian StyleLin, Chensong, Chenjie Jia, Baisen Wang, Shuhao Kang, Hongyu Chen, Di Li, and Longfeng Wu. 2024. "Evaluating Policy Shifts on Perceived Greenspace Quality: Applying Regression Discontinuity During the COVID-19 Reopening Period" Land 13, no. 11: 1777. https://doi.org/10.3390/land13111777
APA StyleLin, C., Jia, C., Wang, B., Kang, S., Chen, H., Li, D., & Wu, L. (2024). Evaluating Policy Shifts on Perceived Greenspace Quality: Applying Regression Discontinuity During the COVID-19 Reopening Period. Land, 13(11), 1777. https://doi.org/10.3390/land13111777
