Urgent Biophilia: Green Space Visits in Wellington, New Zealand, during the COVID-19 Lockdowns
Abstract
:1. Introduction
1.1. Urgent Biophilia and Human Wellbeing
1.2. Green Space and Human Wellbeing
1.3. COVID-19 Pandemic and Human Wellbeing
2. Materials and Methods
2.1. COVID-19 Lockdowns in Wellington, New Zealand
2.2. Wellington Pedestrian and Cyclist Counter Data
- The daily aggregate of counts are calculated.
- The daily mean count on weekends and weekdays is calculated for each month.
- A correction factor for each month’s weekends/weekdays is calculated by comparing the monthly means with a reference month (March 2019). The month is arbitrarily chosen.
- Each day’s aggregate count is adjusted by the correction factor.
2.3. Tanera Park Survey
3. Results
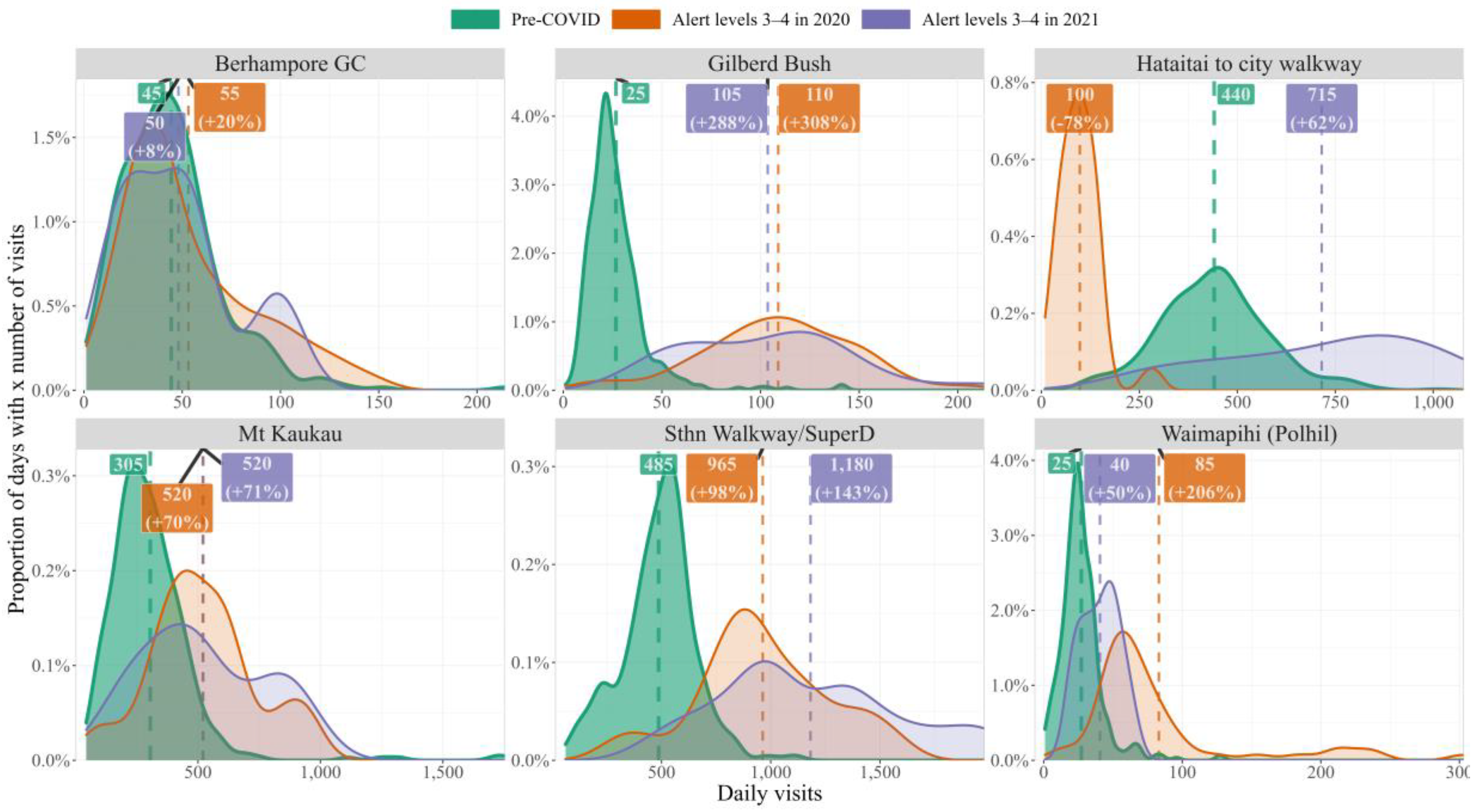
3.1. Wellington Pedestrian and Cyclist Counter Analysis
3.2. Tanera Park Survey Analysis
4. Discussion
5. Conclusions
Author Contributions
Funding
Institutional Review Board Statement
Informed Consent Statement
Data Availability Statement
Acknowledgments
Conflicts of Interest
References
- Wilson, E.O.; Kellert, S.R. The Biophilia Hypothesis; Island Press: Washington, DC, USA, 1993. [Google Scholar]
- Browning, W.; Ryan, C.; Clancy, J. 14 Patterns of Biophilic Design; Terrapin Bright Green LLC: New York, NY, USA, 2014. [Google Scholar]
- Joye, Y.; de Block, A. Nature and I are two: A critical examination of the biophilia hypothesis. Env. Values 2011, 20, 189–215. [Google Scholar] [CrossRef]
- Roberts, A.B.L.; Kerr, G.; Lambert, S.; McWilliam, W.; Moore, K.; Quinn, J.; Simmons, D.; Thrush, S.; Townsend, M.; Blaschke, P.; et al. The Nature of Wellbeing: How Nature’s Ecosystem Services Contribute to the Wellbeing of New Zealand and New Zealanders; Department of Conservation: Wellington, New Zealand, 2015.
- Summers, J.K.; Smith, L.M.; Case, J.L.; Linthurst, R.A. A Review of the Elements of Human Well-Being with an Emphasis on the Contribution of Ecosystem Services. Ambio 2012, 41, 327–340. [Google Scholar] [CrossRef] [Green Version]
- Kellert, S.R.; Heerwagen, J.; Mador, M. Biophilic Design: The Theory, Science and Practice of Bringing Buildings to Life; John Wiley & Sons: Hoboken, NJ, USA, 2008; ISBN 9780470163344. [Google Scholar]
- Haase, D. Reflections on urban landscapes, ecosystems services and nature-based solutions in cities. Plan. Theory Pract. 2016, 17, 295–300. [Google Scholar] [CrossRef] [Green Version]
- Zari, M.P. Understanding and designing nature experiences in cities: A framework for biophilic urbanism. Cities Health 2019, 1–12. [Google Scholar] [CrossRef]
- Biophilic Cities. Our Vision: Connecting Cities and Nature. 2022. Available online: https://www.biophiliccities.org/our-vision (accessed on 1 May 2022).
- Russell, R.; Guerry, A.D.; Balvanera, P.; Gould, R.K.; Basurto, X.; Chan, K.M.A.; Klain, S.; Levine, J.; Tam, J. Humans and Nature: How Knowing and Experiencing Nature Affect Well-Being. Annu. Rev. Environ. Resour. 2013, 38, 473–502. [Google Scholar] [CrossRef]
- Tidball, K.G. Urgent Biophilia: Human-Nature Interactions and Biological Attractions in Disaster Resilience. Ecol. Soc. 2012, 17, 113–131. [Google Scholar] [CrossRef]
- Kondo, M.C.; Oyekanmi, K.O.; Gibson, A.; South, E.C.; Bocarro, J.; Hipp, J.A. Nature Prescriptions for Health: A Review of Evidence and Research Opportunities. Int. J. Environ. Res. Public Health 2020, 17, 4213. [Google Scholar] [CrossRef]
- Tidball, K.G.; Krasny, M.E. Greening in the Red Zone: Disaster, Resilience and Community Greening, 1st ed.; Springer: Amsterdam, The Netherlands, 2014; ISBN 90-481-9947-6. [Google Scholar]
- Millennium Ecosystem Assessment. Ecosystems and Human Well-Being: Synthesis; Island Press: Washington, DC, USA, 2005. [Google Scholar]
- Wendelboe-Nelson, C.; Kelly, S.; Kennedy, M.; Cherrie, J.W. A Scoping Review Mapping Research on Green Space and As-sociated Mental Health Benefits. Int. J. Environ. Res. Public Health 2019, 16, 2081. [Google Scholar] [CrossRef] [Green Version]
- Kilpatrick, A.M.; Salkeld, D.J.; Titcomb, G.; Hahn, M.B. Conservation of biodiversity as a strategy for improving human health and well-being. Philos. Trans. R. Soc. B Biol. Sci. 2017, 372, 20160131. [Google Scholar] [CrossRef] [Green Version]
- de Vries, S.; van Dillen, S.; Groenewegen, P.; Spreeuwenberg, P. Streetscape greenery and health: Stress, social cohesion and physical activity as mediators. Soc. Sci. Med. 2013, 94, 26–33. [Google Scholar] [CrossRef] [Green Version]
- van den Berg, M.; Wendel-Vos, W.; van Poppel, M.; Kemper, H.; van Mechelen, W.; Maas, J. Health benefits of green spaces in the living environment: A systematic review of epidemiological studies. Urban Urban Green. 2015, 14, 806–816. [Google Scholar] [CrossRef]
- Nutsford, D.; Pearson, A.; Kingham, S. An ecological study investigating the association between access to urban green space and mental health. Public Health 2013, 127, 1005–1011. [Google Scholar] [CrossRef]
- McDonald, R.I.; Beatley, T.; Elmqvist, T. The green soul of the concrete jungle: The urban century, the urban psychological penalty, and the role of nature. Sustain. Earth 2018, 1, 3. [Google Scholar] [CrossRef]
- Dennis, M.; Cook, P.A.; James, P.; Wheater, C.P.; Lindley, S.J. Relationships between health outcomes in older populations and urban green infrastructure size, quality and proximity. BMC Public Health 2020, 20, 626. [Google Scholar] [CrossRef]
- Officer, T.N.; Imlach, F.; McKinlay, E.; Kennedy, J.; Pledger, M.; Russell, L.; Churchward, M.; Cumming, J.; McBride-Henry, K. COVID-19 Pandemic Lockdown and Wellbeing: Experiences from Aotearoa New Zealand in 2020. Int. J. Environ. Res. Public Health 2022, 19, 2269. [Google Scholar] [CrossRef]
- Samuelsson, K.; Barthel, S.; Colding, J.; Macassa, G.; Giusti, M. Urban nature as a source of resilience during social distancing amidst the coronavirus pandemic. OSFPreprints 2020. [Google Scholar] [CrossRef]
- Sibley, C.G.; Greaves, L.M.; Satherley, N.; Wilson, M.S.; Overall, N.C.; Lee, C.H.J.; Milojev, P.; Bulbulia, J.; Osborne, D.; Milfont, T.L.; et al. Effects of the COVID-19 Pandemic and Nationwide Lockdown on Trust, Attitudes Toward Government, and Well-Being. Am. Psychol. 2020, 75, 618–630. [Google Scholar] [CrossRef]
- Reid, C.E.; Rieves, E.S.; Carlson, K. Perceptions of green space usage, abundance, and quality of green space were associated with better mental health during the COVID-19 pandemic among residents of Denver. PLoS ONE 2022, 17, e0263779. [Google Scholar] [CrossRef]
- Pouso, S.; Borja, Á.; Fleming, L.E.; Gómez-Baggethun, E.; White, M.P.; Uyarra, M.C. Contact with blue-green spaces during the COVID-19 pandemic lockdown beneficial for mental health. Sci. Total Environ. 2021, 756, 143984. [Google Scholar] [CrossRef]
- Stats NZ. Estimated Population of NZ. Available online: https://www.stats.govt.nz/indicators/population-of-nz (accessed on 4 April 2022).
- National Crisis Management Centre. National Action Plan. 2020. Available online: https://covid19.govt.nz/assets/resources/legislation-and-key-documents/COVID-19-national-action-plan-2-issued-1-April.pdf (accessed on 29 April 2022).
- Global Data Lab. Our World in Data: COVID-19 Stringency Index. Available online: https://ourworldindata.org/explorers/coronavirus-data-explorer?uniformYAxis=0&hideControls=true&Interval=7-day+rolling+average&Relative+to+Population=true&Color+by+test+positivity=false&country=USA~ITA~CAN~DEU~GBR~FRA&Metric=Stringency+index (accessed on 18 April 2022).
- id (Informed Decisions) for Wellington City Council. Population and Household Forecasts 2013 to 2043. Available online: https://forecast.idnz.co.nz/wellington/home (accessed on 23 July 2021).
- Rastandeh, A.; Pedersen Zari, M.; Brown, D.K.; Vale, R. Analysis of landform and land cover: Potentials for urban biodiversity conservation against rising temperatures. Urban Policy Res. 2019, 37, 338–349. [Google Scholar] [CrossRef]
- Rastandeh, A.; Brown, D.K.; Pedersen Zari, M. Site selection of urban wildlife sanctuaries for safeguarding indigenous biodi-versity against increased predator pressures. Urban Urban Green 2018, 32, 21–31. [Google Scholar] [CrossRef]
- Blaschke, P.; Chapman, R.; Gyde, E.; Howden-Chapman, P.; Ombler, J.; Pedersen Zari, M.; Perry, M.; Randal, E. Green Space in Wellington’s Central City: Current Provision, and Design for Future Wellbeing; New Zealand Centre for Sustainable Cities: Wellington, New Zealand, 2019. [Google Scholar]
- World Health Organization (WHO). Urban Green Spaces and Health; WHO Regional Office for Europe: Copenhagen, Denmark, 2016. [Google Scholar]
- Beatley, T. Handbook of Biophilic City Planning and Design; Island Press: Washington, DC, USA, 2016; pp. 75–84. [Google Scholar]
- Eco-Counter. Products. Available online: https://www.eco-counter.com/products/ (accessed on 15 April 2022).
- Manaaki Whenua—Landcare Research. Land Cover Database Version 5.0, Mainland New Zealand. Available online: https://lris.scinfo.org.nz/layer/104400-lcdb-v50-land-cover-database-version-50-mainland-new-zealand/ (accessed on 30 March 2022.).
- Department of Conservation. Resilience through Nature: Qualitative Research Providing Insights into New Zealanders’ Outdoors Participation during Lockdown Levels, September 2021. Available online: https://www.doc.govt.nz/globalassets/documents/about-doc/role/visitor-research/resilience-through-nature.pdf (accessed on 20 April 2022).
- Every-Palmer, S.; Jenkins, M.; Gendall, P.; Hoek, J.; Beaglehole, B.; Bell, C.; Williman, J.; Rapsey, C.; Stanley, J. Psychological distress, anxiety, family violence, suicidality, and wellbeing in New Zealand during the COVID-19 lockdown: A cross-sectional study. PLoS ONE 2020, 15, e0241658. [Google Scholar] [CrossRef]
- Gasteiger, N.; Vedhara, K.; Massey, A.; Jia, R.; Ayling, K.; Chalder, T.; Coupland, C.; Broadbent, E. Depression, anxiety and stress during the COVID-19 pandemic: Results from a New Zealand cohort study on mental well-being. BMJ Open 2021, 11, e045325. [Google Scholar] [CrossRef]
- Faulkner, J.; O’Brien, W.J.; McGrane, B.; Wadsworth, D.; Batten, J.; Askew, C.D.; Badenhorst, C.; Byrd, E.; Coulter, M.; Draper, N.; et al. Physical activity, mental health and well-being of adults during initial COVID-19 containment strategies: A multi-country cross-sectional analysis. J. Sci. Med. Sport 2021, 24, 320–326. [Google Scholar] [CrossRef]
- Meiring, R.M.; Gusso, S.; McCullough, E.; Bradnam, L. The Effect of the COVID-19 Pandemic Movement Restrictions on Self-Reported Physical Activity and Health in New Zealand: A Cross-Sectional Survey. Int. J. Environ. Res. Public Health 2021, 18, 1719. [Google Scholar] [CrossRef]
- Venter, Z.S.; Barton, D.N.; Martinez-Izquierdo, L.; Langemeyer, J.; Baró, F.; McPhearson, T. Interactive spatial planning of urban green infrastructure—Retrofitting green roofs where ecosystem services are most needed in Oslo. Ecosyst. Serv. 2021, 50, 101314. [Google Scholar] [CrossRef]
- Marconi, P.L.; Perelman, P.E.; Salgado, V.G. Green in times of COVID-19: Urban green space relevance during the COVID-19 pandemic in Buenos Aires City. Urban Ecosyst. 2022, 25, 941–953. [Google Scholar] [CrossRef]
- Robinson, J.M.; Brindley, P.; Cameron, R.; MacCarthy, D.; Jorgensen, A. Nature’s Role in Supporting Health during the COVID-19 Pandemic: A Geospatial and Socioecological Study. Int. J. Environ. Res. Public Health 2021, 18, 2227. [Google Scholar] [CrossRef]
- Berdejo-Espinola, V.; Suárez-Castro, A.F.; Amano, T.; Fielding, K.S.; Oh, R.R.Y.; Fuller, R.A. Urban green space use during a time of stress: A case study during the COVID-19 pandemic in Brisbane, Australia. People Nat. 2021, 3, 597–609. [Google Scholar] [CrossRef]
- Ugolini, F.; Massetti, L.; Calaza-Martínez, P.; Cariñanos, P.; Dobbs, C.; Ostoić, S.K.; Marin, A.M.; Pearlmutter, D.; Saaroni, H.; Šaulienė, I.; et al. Effects of the COVID-19 pandemic on the use and perceptions of urban green space: An international exploratory study. Urban For. Urban Green. 2020, 56, 126888. [Google Scholar] [CrossRef]









| Counter | 2019 Visits | 2020 Visits (Change from 2019) | 2021 Visits (Change from 2019) |
|---|---|---|---|
| Berhampore GC | 18,172 | 21,484 (+18.2%) | 25,059 (+37.9%) |
| Gilberd Bush | 12,438 | 20,803 (+67.3%) | 16,849 (+35.5%) |
| Hataitai to City Walkway | 134,103 | 104,467 (−22.1%) | 111,419 (−16.9%) |
| Mount Kaukau | 156,067 | 160,990 (+3.2%) | 145,395 (−6.8%) |
| Southern Walkway/Super D | 161,711 | 182,479 (+12.8%) | 192,556 (+19.1%) |
| Waimapihi (Polhill) | 55,739 | 74,091 (+32.9%) | 63,129 (+13.3%) |
| Total | 538,230 | 564,314 (+4.8%) | 554,407 (+3.0%) |
Publisher’s Note: MDPI stays neutral with regard to jurisdictional claims in published maps and institutional affiliations. |
© 2022 by the authors. Licensee MDPI, Basel, Switzerland. This article is an open access article distributed under the terms and conditions of the Creative Commons Attribution (CC BY) license (https://creativecommons.org/licenses/by/4.0/).
Share and Cite
MacKinnon, M.; MacKinnon, R.; Pedersen Zari, M.; Glensor, K.; Park, T. Urgent Biophilia: Green Space Visits in Wellington, New Zealand, during the COVID-19 Lockdowns. Land 2022, 11, 793. https://doi.org/10.3390/land11060793
MacKinnon M, MacKinnon R, Pedersen Zari M, Glensor K, Park T. Urgent Biophilia: Green Space Visits in Wellington, New Zealand, during the COVID-19 Lockdowns. Land. 2022; 11(6):793. https://doi.org/10.3390/land11060793
Chicago/Turabian StyleMacKinnon, Maggie, Rebecca MacKinnon, Maibritt Pedersen Zari, Kain Glensor, and Tim Park. 2022. "Urgent Biophilia: Green Space Visits in Wellington, New Zealand, during the COVID-19 Lockdowns" Land 11, no. 6: 793. https://doi.org/10.3390/land11060793
APA StyleMacKinnon, M., MacKinnon, R., Pedersen Zari, M., Glensor, K., & Park, T. (2022). Urgent Biophilia: Green Space Visits in Wellington, New Zealand, during the COVID-19 Lockdowns. Land, 11(6), 793. https://doi.org/10.3390/land11060793

