Nutrient Transformations in LED Tubular Photobioreactors Used for a UASB Effluent System Followed by a Percolator Biological Filter
Abstract
1. Introduction
2. Materials and Methods
2.1. Natural Consortium of Microorganisms and Preparation and Cultivation of the Inoculum
2.2. Photobioreactor Construction and Effluent Collection
2.3. Experiment Design and Photobioreactor Operating Conditions
2.4. Microalgae Genera Identification
2.5. Analytical Procedures
2.6. Chlorophyll a, Biomass Production, and Cell Growth
3. Results and Discussion
3.1. Effluent Characterization
3.2. Inoculum Characterization
3.3. Nitrogen and Phosphorus
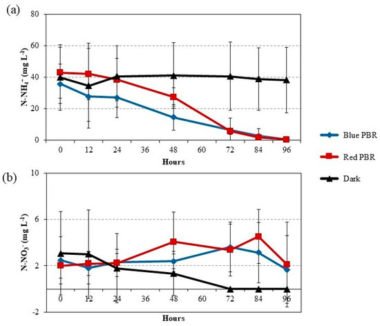
3.3.1. Nitrogen Transformations in the Photobioreactors Evaluated
3.3.2. Phosphorus Transformations in the Photobioreactors Evaluated
3.4. Production and Specific Growth Rate of the Biomass
4. Conclusions
Author Contributions
Funding
Data Availability Statement
Acknowledgments
Conflicts of Interest
Abbreviations
| LED | Light-emitting diode |
| UASB | Up-flow anaerobic sludge blanket system |
| BPF | Biological percolator filter |
| PBR | Photobioreactor |
| WWTP | Wastewater treatment plant |
| UFOP | Federal University of Ouro Preto |
| PAR | Photosynthetically active radiation |
| NTK | Kjeldahl nitrogen |
| Norg | Organic nitrogen |
| Ps | Soluble phosphorus |
| Pt | Total phosphorus |
References
- de Lemos Chernicharo, C.A.; Ribeiro, T.B.; Garcia, G.B.; Lermontov, A.; Platzer, C.J.; Possetti, G.R.C.; Rosseto, M.A.L.L.R. Panorama Do Tratamento de Esgoto Sanitário Nas Regiões Sul, Sudeste e Centro-Oeste Do Brasil: Tecnologias Mais Empregadas. Rev. DAE 2018, 66, 5–19. [Google Scholar] [CrossRef]
- Metcalf, L.; Eddy, H.P. Tratamento de Efluentes e Recuperação de Recursos, 5th ed.; AMGH: Porto Alegre, Brazil, 2016. [Google Scholar]
- de Assis Martins Ponce, F.; Félix, J.P.L.; de Oliveira, A.G.; Araújo, R.L.S. Study of Wastewater Treatment Plants in Operation with UASB Reactors in the Municipality of Juazeiro Do Norte-Ceará. J. Environ. Sci. Eng. B 2018, 2, 215. [Google Scholar] [CrossRef]
- Savic, R.; Stajic, M.; Blagojević, B.; Bezdan, A.; Vranesevic, M.; Jokanović, V.N.; Baumgertel, A.; Kovačić, M.B.; Horvatinec, J.; Ondrasek, G. Nitrogen and Phosphorus Concentrations and Their Ratios as Indicators of Water Quality and Eutrophication of the Hydro-System Danube–Tisza–Danube. Agriculture 2022, 12, 935. [Google Scholar] [CrossRef]
- Siatou, A.; Manali, A.; Gikas, P. Energy Consumption and Internal Distribution in Activated Sludge Wastewater Treatment Plants of Greece. Water 2020, 12, 1204. [Google Scholar] [CrossRef]
- Cai, T.; Park, S.Y.; Li, Y. Nutrient Recovery from Wastewater Streams by Microalgae: Status and Prospects. Renew. Sustain. Energy Rev. 2013, 19, 360–369. [Google Scholar] [CrossRef]
- Lachmann, S.C.; Mettler-Altmann, T.; Wacker, A.; Spijkerman, E. Nitrate or Ammonium: Influences of Nitrogen Source on the Physiology of a Green Alga. Ecol. Evol. 2019, 9, 1070–1082. [Google Scholar] [CrossRef]
- Bossa, R.; Di Colandrea, M.; Salbitani, G.; Carfagna, S. Phosphorous Utilization in Microalgae: Physiological Aspects and Applied Implications. Plants 2024, 13, 2127. [Google Scholar] [CrossRef]
- Díaz, V.; Maza-Márquez, P.; Antiñolo, L.; Poyatos, J.M.; Martín-Pascual, J.; del Mar Muñío, M. Effect of Urban Wastewater Ratio in the Influent of a Membrane Photobioreactor for Microalgae Cultivation and Nutrient Removal. J. Environ. Chem. Eng. 2024, 12, 112527. [Google Scholar] [CrossRef]
- Morillas-España, A.; Lafarga, T.; Acién-Fernández, F.G.; Gómez-Serrano, C.; González-López, C.V. Annual Production of Microalgae in Wastewater Using Pilot-Scale Thin-Layer Cascade Photobioreactors. J. Appl. Phycol. 2021, 33, 3861–3871. [Google Scholar] [CrossRef]
- Mahari, W.A.W.; Razali, W.A.W.; Waiho, K.; Wong, K.Y.; Foo, S.S.; Kamaruzzan, A.S.; Derek, C.J.C.; Ma, N.L.; Chang, J.-S.; Dong, C.-D.; et al. Light-Emitting Diodes (LEDs) for Culturing Microalgae and Cyanobacteria. Chem. Eng. J. 2024, 485, 149619. [Google Scholar] [CrossRef]
- Pattison, P.M.; Tsao, J.Y.; Brainard, G.C.; Bugbee, B. LEDs for Photons, Physiology and Food. Nature 2018, 563, 493–500. [Google Scholar] [CrossRef]
- Schulze, P.S.C.; Barreira, L.A.; Pereira, H.G.C.; Perales, J.A.; Varela, J.C.S. Light Emitting Diodes (LEDs) Applied to Microalgal Production. Trends Biotechnol. 2014, 32, 422–430. [Google Scholar] [CrossRef] [PubMed]
- Instituto Nacional de Ciência e Tecnologia (INCT). ETEs Sustentáveis. Available online: https://etes-sustentaveis.org/ (accessed on 7 September 2019).
- Organisation for Economic Co-Operation and Development (OECD). OECD Guideline for the Testing of Chemical-Simulation Test-Aerobic Sewage Treatment: 303 A: Activated Sludge Units-303 B: Biofilms; OECD: Paris, France, 2001. [Google Scholar]
- Chen, C.; Yeh, K.; Su, H.; Lo, Y.; Chen, W.; Chang, J. Strategies to Enhance Cell Growth and Achieve High-level Oil Production of a Chlorella vulgaris Isolate. Biotechnol. Prog. 2010, 26, 679–686. [Google Scholar] [CrossRef]
- Ratledge, C.; Cohen, Z. Microbial and Algal Oils: Do They Have a Future for Biodiesel or as Commodity Oils? Lipid Technol. 2008, 20, 155–160. [Google Scholar] [CrossRef]
- Yao, L.; Shi, J.; Miao, X. Mixed Wastewater Coupled with CO2 for Microalgae Culturing and Nutrient Removal. PLoS ONE 2015, 10, e0139117. [Google Scholar] [CrossRef] [PubMed]
- Mehrabadi, A.; Farid, M.M.; Craggs, R. Effect of CO2 Addition on Biomass Energy Yield in Wastewater Treatment High Rate Algal Mesocosms. Algal Res. 2017, 22, 93–103. [Google Scholar] [CrossRef]
- Woertz, I.; Feffer, A.; Lundquist, T.; Nelson, Y. Algae Grown on Dairy and Municipal Wastewater for Simultaneous Nutrient Removal and Lipid Production for Biofuel Feedstock. J. Environ. Eng. 2009, 135, 1115–1122. [Google Scholar] [CrossRef]
- Ferreira, A.; Ribeiro, B.; Marques, P.A.S.S.; Ferreira, A.F.; Dias, A.P.; Pinheiro, H.M.; Reis, A.; Gouveia, L. Scenedesmus Obliquus Mediated Brewery Wastewater Remediation and CO2 Biofixation for Green Energy Purposes. J. Clean. Prod. 2017, 165, 1316–1327. [Google Scholar] [CrossRef]
- Tan, X.; Chu, H.; Zhang, Y.; Yang, L.; Zhao, F.; Zhou, X. Chlorella Pyrenoidosa Cultivation Using Anaerobic Digested Starch Processing Wastewater in an Airlift Circulation Photobioreactor. Bioresour. Technol. 2014, 170, 538–548. [Google Scholar] [CrossRef]
- Krause, G.H.; Kirk, M.; Heber, U.; Osmond, C.B. O2-Dependent Inhibition of Photosynthetic Capacity in Intact Isolated Chloroplasts and Isolated Cells from Spinach Leaves Illuminated in the Absence of CO2. Planta 1978, 142, 229–233. [Google Scholar] [CrossRef]
- de Mattos Bicudo, C.S.M.; Meneses, M. Gêneros de Algas de Águas Continentais No Brasil: Chave Para Identificação e Descrição, 3rd ed.; Rima: São Carlos, Brazil, 2018. [Google Scholar]
- APHA. Standard Methods for the Examination of Water and Wastewater—SMEWW; 22°; American Public Health Association: Washington, DC, USA, 2012. [Google Scholar]
- Nush, E.A. Comparison of Different Methods for Chlorophyll and Phaepigment. Arch. Hydrobiol. 1981, 14, 14–36. [Google Scholar]
- Assemany, P.P.; Calijuri, M.L.; Do Couto, E.D.A.; Santiago, A.F.; Dos Reis, A.J.D. Biodiesel from Wastewater: Lipid Production in High Rate Algal Pond Receiving Disinfected Effluent. Water Sci. Technol. 2015, 71, 1229–1234. [Google Scholar] [CrossRef]
- Santiago, A.F.; Calijuri, M.L.; Assemany, P.P.; Calijuri, M.D.C.; Reis, A.J.D. Dos Algal Biomass Production and Wastewater Treatment in High Rate Algal Ponds Receiving Disinfected Effluent. Environ. Technol. 2013, 34, 1877–1885. [Google Scholar] [CrossRef] [PubMed]
- Rada-Ariza, A.M.; Fredy, D.; Lopez-Vazquez, C.M.; Van der Steen, N.P.; Lens, P.N.L. Ammonium Removal Mechanisms in a Microalgal-Bacterial Sequencing-Batch Photobioreactor at Different Solids Retention Times. Algal Res. 2019, 39, 101468. [Google Scholar] [CrossRef]
- Fiore, C.L.; Jarett, J.K.; Olson, N.D.; Lesser, M.P. Nitrogen Fixation and Nitrogen Transformations in Marine Symbioses. Trends Microbiol. 2010, 18, 455–463. [Google Scholar] [CrossRef]
- Li, Y.; Chen, Y.F.; Chen, P.; Min, M.; Zhou, W.; Martinez, B.; Zhu, J.; Ruan, R. Characterization of a Microalga Chlorella Sp. Well Adapted to Highly Concentrated Municipal Wastewater for Nutrient Removal and Biodiesel Production. Bioresour. Technol. 2011, 102, 5138–5144. [Google Scholar] [CrossRef] [PubMed]
- Su, Y.; Mennerich, A.; Urban, B. Municipal Wastewater Treatment and Biomass Accumulation with a Wastewater-Born and Settleable Algal-Bacterial Culture. Water Res. 2011, 45, 3351–3358. [Google Scholar] [CrossRef]
- Yan, H.; Chen, Z.; Hao Ngo, H.; Wang, Q.-P.; Hu, H.-Y. Nitrogen and Phosphorus Removal Performance of Sequential Batch Operation for Algal Cultivation through Suspended-Solid Phase Photobioreactor. Bioresour. Technol. 2024, 393, 130143. [Google Scholar] [CrossRef]
- de Assunção, F.A.L.; von Sperling, M. Influence of Temperature and PH on Nitrogen Removal in a Series of Maturation Ponds Treating Anaerobic Effluent. Water Sci. Technol. 2013, 67, 2241–2248. [Google Scholar] [CrossRef]
- Madigan, M.T.; Martinko, J.M.; Parker, J. Microbiologia de Brock, 10th ed.; Pratice Hall Inc.: São Paulo, Brazil, 2004. [Google Scholar]
- Rashid, N.; Ur Rehman, M.S.; Sadiq, M.; Mahmood, T.; Han, J.I. Current Status, Issues and Developments in Microalgae Derived Biodiesel Production. Renew. Sustain. Energy Rev. 2014, 40, 760–778. [Google Scholar] [CrossRef]
- Krustok, I.; Odlare, M.; Truu, J.; Nehrenheim, E. Inhibition of Nitrification in Municipal Wastewater-Treating Photobioreactors: Effect on Algal Growth and Nutrient Uptake. Bioresour. Technol. 2016, 202, 238–243. [Google Scholar] [CrossRef] [PubMed]
- González-Fernández, C.; Molinuevo-Salces, B.; García-González, M.C. Nitrogen Transformations under Different Conditions in Open Ponds by Means of Microalgae-Bacteria Consortium Treating Pig Slurry. Bioresour. Technol. 2011, 102, 960–966. [Google Scholar] [CrossRef] [PubMed]
- Wang, M.; Keeley, R.; Zalivina, N.; Halfhide, T.; Scott, K.; Zhang, Q.; van der Steen, P.; Ergas, S.J. Advances in Algal-Prokaryotic Wastewater Treatment: A Review of Nitrogen Transformations, Reactor Configurations and Molecular Tools. J. Environ. Manag. 2018, 217, 845–857. [Google Scholar] [CrossRef]
- Liu, J.; Yu, S.; Sangeetha, T.; Shi, C.; Ju, Y.; Yang, C.; Liu, B.; Tu, B.; Liu, C.; Wang, T. Nutrients Removal and Its Relation to the Functional Microbes in Algae-Assisted Sequencing Batch Air-Lift Bioreactor Treating Raw Piggery Wastewater; SSRN: Atlanta, GA, USA, 2023. [Google Scholar]
- Tortora, G.; Funke, B.R.; Case, C.L. Microbiologia, 10th ed.; Artmed: Porto Alegre, Brazil, 2012. [Google Scholar]
- Akram, F.; Aqeel, A.; Ahmed, Z.; Zafar, J.; ul Haq, I. Role of Polyphosphate Accumulating Organisms in Enhanced Biological Phosphorous Removal. In Microbial Consortium and Biotransformation for Pollution Decontamination; Elsevier: Amsterdam, The Netherlands, 2022; pp. 151–179. [Google Scholar]
- Dorofeev, A.G.; Nikolaev, Y.A.; Mardanov, A.V.; Pimenov, N.V. Role of Phosphate-Accumulating Bacteria in Biological Phosphorus Removal from Wastewater. Appl. Biochem. Microbiol. 2020, 56, 1–14. [Google Scholar] [CrossRef]
- Powell, N.; Shilton, A.; Chisti, Y.; Pratt, S. Towards a Luxury Uptake Process via Microalgae-Defining the Polyphosphate Dynamics. Water Res. 2009, 43, 4207–4213. [Google Scholar] [CrossRef]
- Beuckels, A.; Smolders, E.; Muylaert, K. Nitrogen Availability Influences Phosphorus Removal in Microalgae-Based Wastewater Treatment. Water Res. 2015, 77, 98–106. [Google Scholar] [CrossRef]
- Kim, T.H.; Lee, Y.; Han, S.H.; Hwang, S.J. The Effects of Wavelength and Wavelength Mixing Ratios on Microalgae Growth and Nitrogen, Phosphorus Removal Using Scenedesmus Sp. for Wastewater Treatment. Bioresour. Technol. 2013, 130, 75–80. [Google Scholar] [CrossRef]
- Shilton, A.N.; Powell, N.; Guieysse, B. Plant Based Phosphorus Recovery from Wastewater via Algae and Macrophytes. Curr. Opin. Biotechnol. 2012, 23, 884–889. [Google Scholar] [CrossRef]
- Powell, N.; Shilton, A.N.; Pratt, S.; Chisti, Y. Factors Influencing Luxury Uptake of Phosphorus by Microalgae in Waste Stabilization Ponds. Environ. Sci. Technol. 2008, 42, 5958–5962. [Google Scholar] [CrossRef]
- Shu, C.H.; Tsai, C.C.; Liao, W.H.; Chen, K.Y.; Huang, H.C. Effects of Light Quality on the Accumulation of Oil in a Mixed Culture of Chlorella Sp. and Saccharomyces Cerevisiae. J. Chem. Technol. Biotechnol. 2012, 87, 601–607. [Google Scholar] [CrossRef]
- Veloso, V.; Reis, A.; Gouveia, L.; Fernandes, H.L.; Empis, J.A.; Novais, J.M. Lipid Production by Phaeodactylum tricornuturn. Bioresour. Technol. 1991, 38, 115–119. [Google Scholar] [CrossRef]
- Assemany, P.P.; Calijuri, M.L.; Santiago, A.D.F.; Do Couto, E.D.A.; Leite, M.D.O.; Bermudez Sierra, J.J. Effect of Solar Radiation on the Lipid Characterization of Biomass Cultivated in High-Rate Algal Ponds Using Domestic Sewage. Environ. Technol. 2014, 35, 2296–2305. [Google Scholar] [CrossRef] [PubMed]







| Photobioreactor Identification | Irradiated Light | CO2 Injection Frequency | |||
|---|---|---|---|---|---|
![]() | Photobioreactor Blue | PBR B1 | PBRB | Blue![]() | Twice a day |
| PBR B2 | |||||
| PBR B3 | |||||
| Photobioreactor Red | PBR R1 | PBRR | Red![]() | Twice a day | |
| PBR R2 | |||||
| PBR R3 | |||||
| Control | DARK 1 | DARK | Dark![]() | No injection | |
| DARK 2 | |||||
| DARK 3 | |||||
| Parameter | Minimum and Maximum | Mean ± SD | CV (%) | n |
|---|---|---|---|---|
| Namon (mg L−1) 1 | 20.9–81.1 | 53.4 ± 24.5 | 46 | 9 |
| NO3− (mg L−1) 2 | 0.8–8.5 | 3.8 ± 2.5 | 67 | 9 |
| NTK (mg L−1) 3 | 23.6–74.6 | 58.7 ± 16.6 | 28 | 27 |
| Ps (mg L−1) 4 | 2.2–11.6 | 8.7 ± 2.3 | 26 | 27 |
| Pt (mg L−1) 5 | 5.0–13.3 | 10.4 ± 2.5 | 24 | 26 |
| Phylum | Microorganisms | Inoculum | PBRR | PBRB |
|---|---|---|---|---|
| Chlorophytas | Chlorella sp. | Present | Present | Present |
| Sphaerocystis spp. | Present | Present | Present | |
| Scenedesmus spp. | - | - | Present | |
| Bacillariophyta | Diatomáceas | - | - | Present |
| - | Rotíferos | Present | - | - |
| - | Protozoários | - | - | Present |
| Photobioreactor | Initial Nitrogen (mg L−1) | Final Nitrogen (mg L−1) | Assimilated Nitrogen | Nitrificated Nitrogen | Volatilized Nitrogen(a) | Nnt | ||||||||||
|---|---|---|---|---|---|---|---|---|---|---|---|---|---|---|---|---|
| Norg | N-NH4+ | N-NO3− | NTI | Norg | N-NH4+ | N-NO3− | NTI | (mg L−1) | % | (mg L−1) | % | (mg L−1) | % | (mg L−1) | % | |
| PBR B1 | 23.7 | 47.9 | 1.3 | 72.9 | 52.6 | 0.0 | 0.0 | 52.6 | 28.9 | 40% | −1.3 | −2 | 20.3 | 28 | 23.7 | 33 |
| PBR B2 | 20.8 | 22.8 | 1.3 | 44.9 | 31.9 | 1.3 | 5.0 | 38.3 | 11.1 | 25% | 3.7 | 8 | 6.7 | 15 | 27.2 | 60 |
| PBR B3 | 26.7 | 36.4 | 4.8 | 68.0 | 36.0 | 0.0 | 0.0 | 36.0 | 9.3 | 14% | −4.8 | −7 | 32.0 | 47 | 26.7 | 39 |
| PBR R1 | 17.2 | 57.0 | 0.9 | 75.1 | 64.3 | 0.9 | 0.0 | 65.1 | 47.0 | 63% | −0.9 | −1 | 10.0 | 13 | 18.1 | 24 |
| PBR R2 | 23.2 | 46.2 | 3.0 | 72.4 | 56.0 | 0.0 | 0.0 | 56.0 | 32.8 | 45% | −3.0 | −4 | 16.4 | 23 | 23.2 | 32 |
| PBR R3 | 38.5 | 25.0 | 2.1 | 65.6 | 66.9 | 0.1 | 6.4 | 73.3 | 28.4 | 43% | 4.2 | 6 | −7.7 | −12 | 44.9 | 68 |
| DARK 1 | 14.3 | 51.5 | 1.1 | 66.9 | 27.4 | 47.8 | 0.0 | 75.3 | 13.2 | 20% | −1.1 | −2 | −8.4 | −12 | 62.1 | 93 |
| DARK 2 | 17.4 | 15.7 | 0.8 | 34.0 | 18.3 | 14.2 | 0.0 | 32.5 | 0.9 | 3% | −0.8 | −2 | 1.5 | 4 | 31.6 | 93 |
| DARK 3 | 13.1 | 52.0 | 7.3 | 72.4 | 18.0 | 52.4 | 0.0 | 70.4 | 4.8 | 7% | −7.3 | −10 | 2.0 | 3 | 65.6 | 91 |
| PBR B1 | PBR B2 | PBR B3 | PBR R1 | PBR R2 | PBR R3 | |
|---|---|---|---|---|---|---|
| SSV (mg L−1) | 683 | 455 | 872 | 875 | 1051 | 889 |
| Organic phosphorus (mg L−1) | 6.62 | 7.00 | 14.92 | 11.65 | 15.62 | 18.10 |
| Biomass phosphorus (%) | 1.0 | 1.5 | 1.7 | 1.3 | 1.5 | 2.0 |
| Photobioreactor | Initial Phosphorus (mg L−1) | Final Phosphorus (mg L−1) | Assimilated Phosphorus | Mineralized Phosphorus (a) | Non-Transformed Phosphorus | |||||||||
|---|---|---|---|---|---|---|---|---|---|---|---|---|---|---|
| Particulate | Reactive Dissolved | Non-Reactive Dissolved | Total | Particulate | Reactive Dissolved | Non-Reactive Dissolved | Total | (mg L−1) | % | (mg L−1) | % | (mg L−1) | % | |
| PBR B1 | 2.6 | 6.3 | 4.6 | 13.5 | 6.6 | 0.0 | 0.1 | 6.8 | 4.1 | 30% | 6.8 | 50% | 2.7 | 20% |
| PBR B2 | 2.1 | 5.3 | 2.9 | 10.3 | 7.0 | 0.0 | 0.0 | 7.0 | 5.0 | 48% | 3.3 | 32% | 2.1 | 20% |
| PBR B3 | 4.0 | 5.9 | 4.4 | 14.3 | 14.9 | 0.0 | 0.7 | 15.6 | 10.9 | 76% | −1.3 | −9% | 4.7 | 33% |
| PBR R1 | 2.5 | 8.1 | 2.4 | 13.0 | 11.7 | 0.0 | 0.1 | 11.8 | 9.2 | 71% | 1.2 | 9% | 2.6 | 20% |
| PBR R2 | 1.4 | 5.6 | 6.8 | 13.8 | 15.6 | 0.0 | 0.1 | 15.8 | 14.3 | 103% | −1.9 | −14% | 1.5 | 11% |
| PBR R3 | 1.9 | 5.5 | 4.7 | 12.1 | 18.1 | 0.0 | 1.4 | 19.5 | 16.2 | 133% | −7.4 | −61% | 3.3 | 27% |
| DARK 1 | 4.1 | 5.8 | 2.4 | 12.3 | 3.6 | 5.8 | 3.7 | 13.1 | −0.5 | −4% | −0.7 | −6% | 13.6 | 110% |
| DARK 2 | 1.7 | 2.2 | 2.4 | 6.3 | 5.4 | 0.6 | 1.8 | 7.9 | 3.7 | 58% | −1.5 | −24% | 4.2 | 66% |
| DARK 3 | 4.8 | 7.4 | 4.3 | 16.5 | 4.0 | 7.9 | 5.2 | 17.1 | −0.8 | −5% | −0.6 | −4% | 17.9 | 109% |
Disclaimer/Publisher’s Note: The statements, opinions and data contained in all publications are solely those of the individual author(s) and contributor(s) and not of MDPI and/or the editor(s). MDPI and/or the editor(s) disclaim responsibility for any injury to people or property resulting from any ideas, methods, instructions or products referred to in the content. |
© 2025 by the authors. Licensee MDPI, Basel, Switzerland. This article is an open access article distributed under the terms and conditions of the Creative Commons Attribution (CC BY) license (https://creativecommons.org/licenses/by/4.0/).
Share and Cite
Vassoler, F.; Rochinha, I.d.S.P.; Gomes, P.C.S.; Gontijo, F.C.; Santos, G.R.d.; Mendes, M.A.d.S.A.; Souza, T.D.; Castro, A.L.P.d.; Calijuri, M.L.; Santiago, A.d.F. Nutrient Transformations in LED Tubular Photobioreactors Used for a UASB Effluent System Followed by a Percolator Biological Filter. Water 2025, 17, 1306. https://doi.org/10.3390/w17091306
Vassoler F, Rochinha IdSP, Gomes PCS, Gontijo FC, Santos GRd, Mendes MAdSA, Souza TD, Castro ALPd, Calijuri ML, Santiago AdF. Nutrient Transformations in LED Tubular Photobioreactors Used for a UASB Effluent System Followed by a Percolator Biological Filter. Water. 2025; 17(9):1306. https://doi.org/10.3390/w17091306
Chicago/Turabian StyleVassoler, Fábio, Isabela da Silva Pedro Rochinha, Paula Cristine Silva Gomes, Francine Carvalho Gontijo, Grazielle Rocha dos Santos, Múcio André dos Santos Alves Mendes, Tamara Daiane Souza, Ana Letícia Pilz de Castro, Maria Lúcia Calijuri, and Aníbal da Fonseca Santiago. 2025. "Nutrient Transformations in LED Tubular Photobioreactors Used for a UASB Effluent System Followed by a Percolator Biological Filter" Water 17, no. 9: 1306. https://doi.org/10.3390/w17091306
APA StyleVassoler, F., Rochinha, I. d. S. P., Gomes, P. C. S., Gontijo, F. C., Santos, G. R. d., Mendes, M. A. d. S. A., Souza, T. D., Castro, A. L. P. d., Calijuri, M. L., & Santiago, A. d. F. (2025). Nutrient Transformations in LED Tubular Photobioreactors Used for a UASB Effluent System Followed by a Percolator Biological Filter. Water, 17(9), 1306. https://doi.org/10.3390/w17091306





