Abstract
The study of the hydrophysical properties of rocks is indispensable for the development of hydraulic engineering, especially for blasting operations in water. Reasonable matching between explosives and rocks increases the utilization of explosive energy and improves the blasting performances. Based on the energy law in the rock blasting process, the matching relationship between explosives and rock is studied by combining experimental and theoretical methods for the hydrophysical properties of the rock itself. Firstly, the theoretical solutions for crushing-zone energy, fragmentation energy and fragment-throwing energy are derived. Subsequently, concrete blocks are prepared with four types of cement–sand ratios, and four types of emulsion explosives are used to carry out single-hole blasting tests in which a high-speed camera is used to capture the trajectory of the blasting fragments that are later collected. Finally, the crushing energy, fracturing energy and fragment-throwing energy are calculated according to the test results and the basic parameters of the used explosives and concrete models. The results show that the size and distribution pattern of blasting blocks are significantly affected by the hydrophysical properties of concrete and explosive properties; the higher the energy consumption in the rupture zone, the smaller the size of the fragments and the more uniform the distribution. Moreover, the median utilization efficiency of explosive energy on rock breaking is 26.4%, the energy consumption in the crushing zone is approximately 8.4%, that in the rupture zone is approximately 10.9%, and that in the throwing energy of fragments accounts for approximately 7.1%. It is also found that the traditional wave impedance matching theory fails to obtain the best explosive energy utilization. On the contrary, the concrete specimen had the best fracturing effect and the highest energy utilization of 30.77% when the impedance ratio of concrete to explosives is 1.479.
1. Introduction
Hydraulic resources are one of the important resources in nature that have a significant impact on human survival activities and engineering operations [,,,]. The correct understanding and reasonable deployment of hydraulic resources are crucial for engineering operations [,,,]. With the development of the social economy, the environment facing the engineering operation is gradually becoming more complex and diversified, and the cognitive requirements for the hydrophysical properties of the working surface are getting higher and higher. Especially for blasting operations, the working environment is sensitive to the effect of relevant environmental characteristicss. Therefore, along with the frequent occurrence of underwater blasting and cave blasting, the matching of explosives and rock has become one of the hot research topics in the field of blasting engineering. A reasonable matching relationship can effectively enhance the energy utilization of explosives, thus improving the blasting effect and reducing the blasting cost. However, the complexity and variability of the rock body, especially in the natural environment, according to the location of the geographic environment and its own water properties reveal the different hydrophysical properties of the rock environment, with different water permeability, softness and water supply. Traditional matching theories, such as wave impedance matching and whole process matching, have relatively limited applications in such complex and variable engineering practices [,]. When the rock body is excavated by drilling and blasting methods, part of the energy generated by the explosive blast is used to form the crushing zone, fracture zone and throwing of fragments and causes vibration of plasmas in the elastic zone, and the other part is dissipated in the form of noise, flying rocks and so on. In this process, the water content of the rock has a significant effect. Therefore, it is of great significance to explore the construction of the matching relationship between explosives and rocks from the energy point of view.
Scholars have carried out a series of research studies on the matching problem between explosives and rocks using theoretical, experimental and numerical simulation methods [,,]. Zhang et al. [,] investigated the matching relationship between explosives and rocks using the theory of the equivalent wave resistance method. He proposed that the energy transfer effect could be improved by embedding different impedance media between explosives and rocks. Based on the impedance matching theory, Yang et al. [] selected high explosive velocity, high-density and high-power explosives for rock breaking in hard rock tunnel drilling and blasting methods. The research results show that the explosive unit consumption and blasting cost are reduced by more than 20%. German scholar Ajay Kumar Jha [], utilizing the size of the rock impedance to choose a reasonable type of explosive for open-pit limestone mining, achieved better blasting results and productivity. No matter what kind of matching theory is used to match the explosives for different characteristics of the rock body, its ultimate purpose and orientation are to improve the utilization of explosive energy in rock fragmentation. On this understanding, scholars analyzed the relationship between explosives and shock wave impedance matching of rock by reacting to the explosive energy utilization rate through the rock breaking volume. Sanchidrian et al. [] calculated the percentage of energy used by explosives to produce fragmentation, throw and cause mass vibration by collecting bursting pile, fragment throwing initial velocity and mass vibration data from step blasting excavation tests. The results showed that the fragmentation energy, vibration energy and throwing kinetic energy accounted for 2–6%, 1–3% and 3–21% of the total energy, respectively. In addition, the development of artificial intelligence technology provides more possibilities for explosives and rock matching research. Zhao Mingsheng and Ye Haiwang et al. constructed an explosives and rock matching model based on a neural network algorithm, and the prediction model was successfully applied in blasting engineering [,].
In summary, wave impedance matching is the mainstream matching theory. However, with the continuous development of engineering technology, more and more practical projects need to carry out blasting operations under complex and diverse hydraulic and geological conditions, and the site conditions are difficult to support the frequent adjustment of explosive types. Therefore, the limitations of the traditional matching theory gradually appear in these complex backgrounds, and it is difficult to meet the needs of engineering practice for efficient, safe and environmentally friendly blasting. The purpose of this paper is to carry out a series of single-hole blasting concrete model tests from the perspective of energy theory combined with the hydrophysical properties of rocks. In the experiment, using different gray sand ratios formed by the style model, we calculate the energy consumed in the crushing zone, fissure zone, elastic vibration zone and rubble throwing. Thus, the effective utilization rate of explosive energy is obtained, and the mutual influence between different types of explosives, parameters and rock properties is explored in depth so as to construct a reliable matching relationship between explosives and rock for different hydrological environments.
2. Blast Energy Balance Theory
As per the first principle of thermodynamics, the energy released by an explosive blast is carried by the products of the explosion after the chemical reaction is complete. This energy is then converted into heat and work performed on the surrounding medium. It is commonly accepted that the heat and noise generated during the blasting process do not contribute to the dynamic response of the rock and are, therefore, considered useless. The energy involved in the destruction of the rock, on the other hand, is considered useful work. The useful work can be divided into four main parts: (1) The rock is crushed to form a zone with a radius approximately five times that of the hole due to the high burst pressure of explosives around the hole, which is much higher than the dynamic compression strength of the rock; (2) the rock outside the crushing zone is fractured by the dynamic tensile and shear effects, resulting in radial and circumferential fractures, ultimately leading to fragmentation of the rock surface; (3) the rock formation after fracture is influenced by the size and shape of the fragments, which are propelled away from the blast source with kinetic energy; (4) the shock wave created by the blast causes plastic wave propagation within the rock, which ultimately results in elastic wave propagation, manifested as seismic waves or ground surface vibrations. As shown in Figure 1.
Figure 1.
Diagram of the crushed and cracked zones induced by decoupled charge blasting [].
2.1. Energy in the Crushing Zone
Under the condition of a columnar uncoupled charge structure, the explosive will form a crushed zone with radius Rc around the periphery of the gun hole after the explosion, and the expression for the radius of the crushed zone is as follows:
Pd is the peak pressure of the borehole wall; rb, rc is divided into the radius of the borehole and charge radius; A = [(1 + λ)2 + (1 + λ2) – 2μ(1 – μ)(1 – λ)2]0.5, μ for the Poisson’s ratio of high-strain loading conditions, μ = 0.8μ0, λ = μ/(1 – μ); σcd is the medium of the dynamic compression strength; a is the crushed zone shock wave attenuation coefficient, a = 2 – μ/(1 – μ); ρ0 is the rock density; D is the explosive blast velocity; and n is the pressure increase coefficient, generally taken as n = 8~10.
In the crushing area of the rock medium under the action of the shock wave displacement, the diameter of the gun hole increases, and the explosion cavity expands. The shock wave crushes the rock body, and the intensity rapidly decays when it propagates to the boundary of the crushing zone and the entire shock compression process is completed. In this process, the rock complies with the mass conservation criterion, as shown below:
r is the radius of the shock wave, r1 is the radius of the blast cavity corresponding to r, and ρ is the rock density on the surface of the shock wave front.
The shock wave wavefront after the rock density change is negligible, so the air compression of the rock density is ρr instead of ρ at the hole wall, thus obtaining the expansion of the blast cavity law, as follows:
ρr = (a + bu)/[a + (b – 1)u]ρ0; and a, b is the rock test constant.
When r = Rc, i.e., at the boundary of the crushing zone when the blast expansion process is all over, the final radius of the blast cavity is as follows:
The work performed in the process of the shock wave acting on the crushed zone to produce the burst cavity can be expressed as follows:
σr is the attenuation function of the peak pressure of the shock wave, σr = Pdr−a, and the joint Equation (6) solves the integral function to obtain the expression for the energy in the crushing zone as follows:
2.2. Rupture Zone Energy
The shock wave attenuation outside the crushing zone transforms into stress waves that propagate forward in the rock body. This occurs because the dynamic tensile strength of the rock medium is much smaller than its dynamic compression strength. As a result, the stress wave induces new radial cracks and promotes the expansion of cracks generated by the shock wave. It has been demonstrated that the speed of explosive gas propagation is lower than that of stress wave propagation. Therefore, cracks will form in the subsequent gas burst due to penetration, resulting in a large number of fragments.
Assuming that the energy consumption per unit of fracture surface is Gf, the total crushing energy Ef can be calculated according to the following formula:
Af is the surface area of the fragments produced by blasting. Gf, fracture specific energy, can be calculated in two ways: one is to calculate the Rittinger coefficient by experimental methods, and the other is based on the fracture toughness of the blasted material and elasticity of the theoretical derivation of the model. In single-hole blasting experiments, there are usually hundreds of cracks; so, the use of the inverse of the Rittinger coefficient to characterize the specific energy of fracture is more in line with the actual situation.
The surface area Af of the fragment can be estimated from the size distribution of the bursting pile. Assuming that the fragment is a sphere of diameter x,
where V is the volume of the fragments and f(x) is the density function of the fragment volume size distribution.
At the end of the blasting experiment, to collect fragments and block size, analysis can be obtained from the particle size distribution curve; according to the volume size, the fragments are grouped, and the introduction of the volume fraction Pk is as follows:
where and represent the size threshold for class k debris, and P(x) is the cumulative size distribution of the debris.
Bringing Equation (10) into Equation (9), the fragment surface area function can be expressed as follows:
C represents the number of fragment size categories, and P(x) is the cumulative size distribution of the fragments.
Introducing the logarithmic mean xk of the size limit of the fragments of class k, the transformed form of the fragment surface area function is as follows:
2.3. Kinetic Energy of a Fragment Throw
Figure 2 shows the blasting fragment by the stress wave and explosive gas coupling to the initial velocity v0 for oblique throwing motion, the kinetic energy consumed during the flight process with the initial velocity, the end of the velocity, throwing distance and the mass of the fragment. The kinetic energy ΔKE in the horizontal direction of the fragment is as follows:
Figure 2.
Diagram of the parabola trajectory of fragments.
v0 is the initial velocity of the fragment; v2 is the final velocity of the fragment; m is the mass of the fragment; g is the acceleration of gravity; and L is the horizontal throwing distance of the fragment.
The fragment overcomes gravity to rise in the vertical direction to a height of h, so the potential energy can be obtained from Equation (15):
The throws of broken pieces always work for
3. Single-Hole Blast Modelling Tests
3.1. Pilot Program
In order to study the matching relationship between explosives and rocks, the single-hole blasting model was prepared using cement mortar, and the preparation process is shown in Figure 3a. By changing the ash–sand ratio of the mortar, four kinds of concrete were prepared to simulate four kinds of rocks with different hydrophysical properties and mechanical properties, and the ash–sand and other components were set as shown in Table 1 below. In this way, the effect of the physical and mechanical properties of media with different hydrophysical properties on the crushing zone, fissure zone and throwing energy utilization is investigated.

Figure 3.
Preparation of blasting models. (a) Concrete mixing, (b) model casting, (c) scene of explosion, (d) prototype processing, (e) physical parameter testing, (f) mechanical test.
Table 1.
Components and properties of the concrete specimens.
For this test, a total of 16 cubic models were prepared, each with side lengths of 20 cm and 30 cm. As depicted in Figure 3b, PVC pipes were used to reserve shell holes with diameters of 12/15 mm and 20/30 cm and lengths. These holes were then filled with expanded ammonium nitrate explosives, which had a charge length of 12 cm and a diameter of 7 mm. The explosives were detonated using instantaneous electronic detonators, as shown in Figure 4. To prevent energy loss caused by the escape of explosive gases, the holes were plugged and compacted with clay at both ends. The plugging length was 4 cm for the 20 cm cube model and 9 cm for the 30 cm cube model. It is important to note that the diameter of the holes in the 30 cm cube model was 15 mm, and the charge diameter and length were the same as those in the 20 cm cube model.
Figure 4.
Schematic of blasting model and charge structure.
To eliminate the impact of explosive unit consumption on the test results, we used the same charge density for both model sizes. Additionally, we varied the type of emulsifier and proportion of explosives to obtain four different characteristics of the emulsion explosives, emulsion explosives ratio and physical parameters. These are detailed in Table 2, which shows the matching relationship between explosives and rock. Sixteen single-hole blasting model experiments were conducted using four models of emulsion explosives with varying ash–sand ratios, as detailed in Table 3.
Table 2.
Components and properties of the used emulsion explosive.
Table 3.
Basic parameters of blasting models and experiment schedule.
3.2. Test Results and Analyses
Equations (9)–(12) demonstrate that fragment size and distribution are crucial parameters for solving crushing energy. Therefore, fragments were collected at the end of each blasting test, and the distribution of fragments for the 16 models is shown in Figure 5. The figure reveals that the fragment sizes of the R2-E4, R3-E1 and R1-E2 models are relatively small, with the fragment distribution of the blast pile of R2-E4 being uniform. The R4-E2 and R4-E4 models, however, only break into a few large pieces after an explosion and are accompanied by smaller pieces with a lower percentage of mass.

Figure 5.
Fragments induced by single-hole blasting.
In order to quantitatively analyze the size of the blasted blocks from the different models, a set of metal screens with apertures arranged in an equal ratio was used to sieve the relatively small-sized fragments, and calipers were used for the larger ones. It should be noted that each set/block of fragments was weighed on an electronic scale, thus obtaining the size and distribution of the fragments after blasting for the different models. The fragment size distribution was fitted using the Swebrec function modified by Ouchterlony [] with the following functional expression:
where xmax is the maximum size at P(xmax) = 100%, which can be obtained by directly measuring the size of the largest fragment; xmax is the median size at P(x50) = 50%; A is the grading coefficient, with a range of values from 0 to 1; and B and C are fitting parameters.
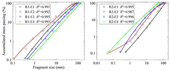
After the collection of the blast pile, the relatively small-sized fragments were sieved using a set of metal screens with apertures arranged in an equiproportional manner, and the larger sizes were measured using calipers. It is important to note that each set/block of debris was placed on an electronic scale for weighing, thus obtaining the particle size distribution of the debris after blasting for the different models, as shown in Figure 6.
Figure 6.
Curves of accumulated mass passing vs. fragment size.
Statistics on the block sizes corresponding to the different models at a percentage of 1%, 10% and 50% are shown in Table 4.
Table 4.
Results of post-blast fragmentation.
From Equations (13)–(16), it can be observed that, in order to solve the blast throwing energy, the mass, particle size, horizontal and vertical throwing distance and initial flight speed of the thrown fragments must be obtained. Traditional manual statistical methods cannot capture the flight speed and vertical throwing height of the debris; so, we used high-speed cameras during the blasting process to record the flight video of the debris, and then used Tracker video analysis software to identify the debris and track the trajectory of the debris so as to obtain the debris in the throwing process of the initial speed of the vertical and horizontal throwing distance parameters.
The explosive parameters in Table 2 are brought into Equation (17), and the total explosive energy E0 of each model can be obtained by combining the loading structure of the single-hole model, which is listed in Table 5. At the same time, the joint crushing zone and fissure zone energy solution function can be obtained in each model after blasting the crushing energy Ec, rupture energy Ef, throwing energy Et and its proportion of each part in the total energy of the explosion, as shown in Table 5.
Table 5.
Energy consumption of each component and efficiencies.
As can be observed in Table 5, the average value of the total energy generated by the explosives of the cube model with a side length of 20 cm is 60.2 KJ, the total energy of the explosion of the E4 explosives is 8.2 KJ more than that of the E1 explosives for the charge developed in this type of model, the average value of the total energy of the explosion of the explosives of the cube model with a side length of 30 cm is 203.75 KJ, and the total energy of the explosives of the E4 explosives generated by the E4 explosives is 27.5 KJ more than that of the E1 explosives under the specific charging conditions.
From Figure 7, can be learned from the different explosives in the same kind of concrete used to crush, rupture and broken pieces thrown in each part of the energy proportion of the change in the law. For R1-type hydrophysical properties of concrete (the lowest mechanical strength), the effective utilization rate of explosive energy η with the enhancement of explosive properties (density and wave velocity are increasing) show a trend of increasing and then decreasing. The change rule of energy utilization of each component is basically the same. It can be observed that R1-type concrete matched with E2-type explosives has the highest energy utilization rate of 29.36%, the rupture energy accounted for 12.57%, and the concrete and explosives wave impedance ratio was 1.243. For R2-type hydrophysical properties of the concrete, explosive energy utilization with the enhancement of explosive characteristics increases gradually; the maximum value of explosive effective utilization occurs in the case of matching with the E4-type explosives, at which point η = 30.77% and the ratio of wave impedance of concrete and explosives is 1.479. The energy utilization of crushed zone ηc = 7.2%, and the total energy utilization η = 27.79% when using E1 explosives for blasting and excavation of R2 concrete.

Figure 7.
Distributions of blasting energy.
For R3 concrete with hydrophysical properties, the effective energy utilization of explosives for blasting excavation using E1 and E3 explosives was essentially the same, approximately 30%. The fracturing energy Ec in the R3-E1 matched explosion model accounts for 32.4% of the effectively utilized energy. At this time, the wave impedance ratio is 1.523. For R4 hydrophysical properties of concrete, the use of E3 explosives can achieve the maximum effective utilization of energy, 28.74%. At this time, the proportions of crushing energy, rupture energy and throwing energy are 9.56%, 11.22% and 7.96%, respectively, and the value of the wave impedance ratio is 1.784. The above conclusions show that both the explosives and the exploded medium have a very obvious effect on the utilization of explosive energy. In this research test, the highest explosive energy utilization of 30.77% was obtained when R2-type concrete and E4-type explosives were matched. In addition, the total energy consumed in the process of crack expansion to produce fragments was always greater than the energy consumed in the crushing zone. This is in general agreement with the findings of Sanchidrian et al. [].
4. Conclusions
- We assume that the energy consumed in the crushing zone, rupture zone and fragment throwing is the effective energy of the work performed on the rock by explosive blasting. Based on the mass conservation criterion in the crushing zone, the total rupture energy is defined by the product of the surface fracture energy and the fracture surface area. In consideration of the kinetic energy consumed in the process of throwing fragments and overcome the gravitational potential energy to do work, the theoretical derivation of the functional expression to solve the energy of each part.
- Different explosives and different hydrophysical conditions will lead to different size and distribution of fragments after detonation. The average values of x1, x10 and x50 produced by the single-hole blasting model are 2.81 mm, 10.49 mm and 45.39 mm, and the best blasting and crushing effect is obtained when the hydrophysical properties of concrete and E4 emulsion explosives are matched with R2 type, and the minimum size of the block is 0.041 mm and the maximum size is 62.1 mm, which provides a certain reference for the study of blasting explosives and rock-matching system of water conservancy projects. For the water conservancy project blasting explosives rock matching system research provides a certain reference.
Author Contributions
Conceptualization, Z.Z. (Zhou Zhiyong); Formal analysis, Z.Z. (Zhu Zhaozhen); Investigation, Z.Z. (Zhu Zhaozhen); Writing—original draft, Z.Z. (Zhu Zhaozhen); Writing—review & editing, Z.Z. (Zhu Zhaozhen). All authors have read and agreed to the published version of the manuscript.
Funding
This research received no external funding.
Data Availability Statement
Data available in a publicly accessible repository that does not issue DOIs.
Conflicts of Interest
The authors declare no conflict of interest.
References
- Gaagai, A.; Aouissi, H.A.; Bencedira, S.; Hinge, G.; Athamena, A.; Heddam, S.; Gad, M.; Elsherbiny, O.; Elsayed, S.; Eid, M.H.; et al. Application of Water Quality Indices, Machine Learning Approaches, and GIS to Identify Groundwater Quality for Irrigation Purposes: A Case Study of Sahara Aquifer, Doucen Plain, Algeria. Water 2023, 15, 289. [Google Scholar] [CrossRef]
- Gad, M.; Gaagai, A.; Eid, M.H.; Szűcs, P.; Hussein, H.; Elsherbiny, O.; Elsayed, S.; Khalifa, M.M.; Moghanm, F.S.; Moustapha, M.E.; et al. Groundwater Quality and Health Risk Assessment Using Indexing Approaches, Multivariate Statistical Analysis, Artificial Neural Networks, and GIS Techniques in El Kharga Oasis, Egypt. Water 2023, 15, 1216. [Google Scholar] [CrossRef]
- Gu, H.; Lai, X.; Tao, M.; Cao, W.; Yang, Z. The role of porosity in the dynamic disturbance resistance of water-saturated coal. Int. J. Rock Mech. Min. Sci. 2023, 166, 105388. [Google Scholar] [CrossRef]
- Gu, H.; Lai, X.; Tao, M.; Momeni, A.; Zhang, Q. Dynamic mechanical mechanism and optimization approach of roadway surrounding coal water infusion for dynamic disaster prevention. Measurement 2023, 223, 113639. [Google Scholar] [CrossRef]
- Guo, Z.T.; Wu, C.S. Matching of explosives with rock in the whole process. Min. Metall. Eng. 1993, 13, 11–15. [Google Scholar]
- Haider, S.; Masood, M.U.; Rashid, M.; Alshehri, F.; Pande, C.B.; Katipoğlu, O.M.; Costache, R. Simulation of the Potential Impacts of Projected Climate and Land Use Change on Runoff under CMIP6 Scenarios. Water 2023, 15, 3421. [Google Scholar] [CrossRef]
- Hong, Z.; Tao, M.; Cui, X.; Wu, C.; Zhao, M. Experimental and numerical studies of the blast-induced overbreak and underbreak in underground roadways. Undergr. Space 2023, 8, 61–79. [Google Scholar] [CrossRef]
- Hu, Y.; Lu, W.; Chen, M.; Yan, P.; Yang, J. Comparison of Blast-Induced Damage Between Presplit and Smooth Blasting of High Rock Slope. Rock Mech. Rock Eng. 2014, 47, 1307–1320. [Google Scholar] [CrossRef]
- Ilyushin, Y.V.; Asadulagi, M.A.M. Development of a Distributed Control System for the Hydrodynamic Processes of Aquifers, Taking into Account Stochastic Disturbing Factors. Water 2023, 15, 770. [Google Scholar] [CrossRef]
- Liu, M.X.; Zhang, Y.P.; Nie, X.J. Experimental study on the matching between explosive properties and rock. Eng. Blasting 2016, 22, 24–29. [Google Scholar]
- Mancosu, N.; Snyder, R.L.; Kyriakakis, G.; Spano, D. Water Scarcity and Future Challenges for Food Production. Water 2015, 7, 975–992. [Google Scholar] [CrossRef]
- Ouchterlony, F. The Swebrec((c)) function: Linking fragmentation by blasting and crushing. Min. Technol. 2005, 114, 29–44. [Google Scholar] [CrossRef]
- Pershin, I.M.; Papush, E.G.; Kukharova, T.V.; Utkin, V.A. Modeling of Distributed Control System for Network of Mineral Water Wells. Water 2023, 15, 228. [Google Scholar] [CrossRef]
- Zhang, Z.X. Kinetic energy and its applications in mining engineering. Int. J. Min. Sci. Technol. 2017, 27, 237–244. [Google Scholar] [CrossRef]
- Zhang, Z.-X.; Ouchterlony, F. Energy Requirement for Rock Breakage in Laboratory Experiments and Engineering Operations: A Review. Rock Mech. Rock Eng. 2022, 55, 629–667. [Google Scholar] [CrossRef]
- Yang, N.H.; Zhang, Z.Y. Drilling and blasting technology for rapid tunnel boring in hard rock tunnels. Eng. Blasting 2003, 9, 16–21. [Google Scholar]
- Jha, A.K. Impedance Matching Algorithm for Selection of Suitable Explosives for Any Rock Mass—A Case Study. J. Geol. Resour. Eng. 2020, 8, 11. [Google Scholar]
- Sanchidrián, J.A.; Segarra, P.; López, L.M. Energy components in rock blasting. Int. J. Rock Mech. Min. Sci. 2007, 44, 130–147. [Google Scholar] [CrossRef]
- Ye, H.W. Optimization system of explosives and rock matching based on fuzzy neural network. Blasting Equip. 2005, 11, 5–7. [Google Scholar]
- Zhao, M.S.; Xu, H.B. Research on the matching of explosives and rocks based on neural network. J. Liaoning Inst. Sci. Technol. 2009, 11, 1–3. [Google Scholar]
Disclaimer/Publisher’s Note: The statements, opinions and data contained in all publications are solely those of the individual author(s) and contributor(s) and not of MDPI and/or the editor(s). MDPI and/or the editor(s) disclaim responsibility for any injury to people or property resulting from any ideas, methods, instructions or products referred to in the content. |
© 2024 by the authors. Licensee MDPI, Basel, Switzerland. This article is an open access article distributed under the terms and conditions of the Creative Commons Attribution (CC BY) license (https://creativecommons.org/licenses/by/4.0/).