Definition of Rainfall Thresholds for Landslides Using Unbalanced Datasets: Two Case Studies in Shaanxi Province, China
Abstract
1. Introduction
2. Materials and Methods
2.1. Study Area
2.2. Datasets
2.3. Methods
2.3.1. Reconstruction of Rainfall Events
2.3.2. Definition of Rainfall Thresholds
- Efficiency index (Equation (2));
- True positive rate (also referred to as hit rate, probability of detection rate, and sensitivity (Equation (3)));
- False positive rate (also referred to as probability of false detection (Equation (4)));
- Positive predictive value (also referred to as precision (Equation (5)));
3. Results
3.1. Reconstraction of Rainfall Events
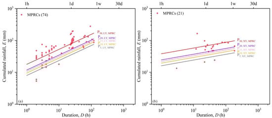
3.2. Definition of Rainfall Thresholds
3.3. Performance Evaluation
4. Discussion
5. Conclusions
Author Contributions
Funding
Data Availability Statement
Acknowledgments
Conflicts of Interest
References
- Intrieri, E.; Gigli, G.; Mugnai, F.; Fanti, R.; Casagli, N. Design and Implementation of a Landslide Early Warning System. Eng. Geol. 2012, 147, 124–136. [Google Scholar] [CrossRef]
- Calvello, M. Early Warning Strategies to Cope with Landslide Risk. Riv. Ital. Geotec. 2017, 2, 63–91. [Google Scholar] [CrossRef]
- Piciullo, L.; Calvello, M.; Cepeda, J.M. Territorial Early Warning Systems for Rainfall-Induced Landslides. Earth-Sci. Rev. 2018, 179, 228–247. [Google Scholar] [CrossRef]
- Pecoraro, G.; Calvello, M.; Piciullo, L. Monitoring Strategies for Local Landslide Early Warning Systems. Landslides 2019, 16, 213–231. [Google Scholar] [CrossRef]
- Piciullo, L.; Gariano, S.L.; Melillo, M.; Brunetti, M.T.; Peruccacci, S.; Guzzetti, F.; Calvello, M. Definition and Performance of a Threshold-Based Regional Early Warning Model for Rainfall-Induced Landslides. Landslides 2017, 14, 995–1008. [Google Scholar] [CrossRef]
- Guzzetti, F.; Gariano, S.L.; Peruccacci, S.; Brunetti, M.T.; Marchesini, I.; Rossi, M.; Melillo, M. Geographical Landslide Early Warning Systems. Earth-Sci. Rev. 2020, 200, 102973. [Google Scholar] [CrossRef]
- Caine, N. The Rainfall Intensity-Duration Control of Shallow Landslides and Debris Flows. Geogr. Ann. Ser. A 1980, 62, 23–27. [Google Scholar] [CrossRef]
- Aleotti, P. A Warning System for Rainfall-Induced Shallow Failures. Eng. Geol. 2004, 73, 247–265. [Google Scholar] [CrossRef]
- Guzzetti, F.; Peruccacci, S.; Rossi, M.; Stark, C.P. Rainfall Thresholds for the Initiation of Landslides in Central and Southern Europe. Meteorol. Atmos. Phys. 2007, 98, 239–267. [Google Scholar] [CrossRef]
- Guzzetti, F.; Peruccacci, S.; Rossi, M.; Stark, C.P. The Rainfall Intensity-Duration Control of Shallow Landslides and Debris Flows: An Update. Landslides 2008, 5, 3–17. [Google Scholar] [CrossRef]
- Segoni, S.; Piciullo, L.; Gariano, S.L. A Review of the Recent Literature on Rainfall Thresholds for Landslide Occurrence. Landslides 2018, 15, 1483–1501. [Google Scholar] [CrossRef]
- Gariano, S.L.; Guzzetti, F. Landslides in a Changing Climate. Earth-Sci. Rev. 2016, 162, 227–252. [Google Scholar] [CrossRef]
- Zhang, S.; Jiang, Q.; Xu, X.; Tao, G.; Zhang, Z.; Gao, X.; He, C. Influence of Soil Mechanical and Hydraulic Parameters on the Definition of Rainfall Intensity and Duration Thresholds Based on Transient Rainfall Infiltration and Grid-Based Regional Slope-Stability Model (TRIGRS). Front. Earth Sci. 2022, 10, 971655. [Google Scholar] [CrossRef]
- Gariano, S.L.; Brunetti, M.T.; Iovine, G.; Melillo, M.; Peruccacci, S.; Terranova, O.; Vennari, C.; Guzzetti, F. Calibration and Validation of Rainfall Thresholds for Shallow Landslide Forecasting in Sicily, Southern Italy. Geomorphology 2015, 228, 653–665. [Google Scholar] [CrossRef]
- Nikolopoulos, E.I.; Borga, M.; Creutin, J.D.; Marra, F. Estimation of Debris Flow Triggering Rainfall: Influence of Rain Gauge Density and Interpolation Methods. Geomorphology 2015, 243, 40–50. [Google Scholar] [CrossRef]
- Rossi, M.; Luciani, S.; Valigi, D.; Kirschbaum, D.; Brunetti, M.T.; Peruccacci, S.; Guzzetti, F. Statistical Approaches for the Definition of Landslide Rainfall Thresholds and Their Uncertainty Using Rain Gauge and Satellite Data. Geomorphology 2017, 285, 16–27. [Google Scholar] [CrossRef]
- Peres, D.J.; Cancelliere, A.; Greco, R.; Bogaard, T.A. Influence of Uncertain Identification of Triggering Rainfall on the Assessment of Landslide Early Warning Thresholds. Nat. Hazards Earth Syst. Sci. 2018, 18, 633–646. [Google Scholar] [CrossRef]
- Gariano, S.L.; Melillo, M.; Peruccacci, S.; Brunetti, M.T. How Much Does the Rainfall Temporal Resolution Affect Rainfall Thresholds for Landslide Triggering? Nat. Hazards 2020, 100, 655–670. [Google Scholar] [CrossRef]
- Xu, Q. Understanding the Landslide Monitoring and Early Warn-Ing: Consideration to Practical Issues. J. Eng. Geol. 2020, 28, 360–374. (In Chinese) [Google Scholar] [CrossRef]
- Jiang, W.; Chen, G.; Meng, X.; Jin, J.; Zhao, Y.; Lin, L.; Li, Y. Probabilistic Rainfall Threshold of Landslides in Data-Scarce Mountainous Areas: A Case Study of the Bailong River Basin, China. Catena 2022, 213, 106190. [Google Scholar] [CrossRef]
- Pan, H.-L.; Jiang, Y.-J.; Wang, J.; Ou, G.-Q. Rainfall Threshold Calculation for Debris Flow Early Warning in Areas with Scarcity of Data. Nat. Hazards Earth Syst. Sci. 2018, 18, 1395–1409. [Google Scholar] [CrossRef]
- Peres, D.J.; Cancelliere, A. Comparing Methods for Determining Landslide Early Warning Thresholds: Potential Use of Non-Triggering Rainfall for Locations with Scarce Landslide Data Availability. Landslides 2021, 18, 3135–3147. [Google Scholar] [CrossRef]
- Brunetti, M.T.; Peruccacci, S.; Rossi, M.; Luciani, S.; Valigi, D.; Guzzetti, F. Rainfall Thresholds for the Possible Occurrence of Landslides in Italy. Nat. Hazards Earth Syst. Sci. 2010, 47, 633–635. [Google Scholar] [CrossRef]
- Peruccacci, S.; Brunetti, M.T.; Luciani, S.; Vennari, C.; Guzzetti, F. Lithological and Seasonal Control on Rainfall Thresholds for the Possible Initiation of Landslides in Central Italy. Geomorphology 2012, 139, 79–90. [Google Scholar] [CrossRef]
- Berti, M.; Martina, M.L.V.; Franceschini, S.; Pignone, S.; Simoni, A.; Pizziolo, M. Probabilistic Rainfall Thresholds for Landslide Occurrence Using a Bayesian Approach. J. Geophys. Res. Earth Surf. 2012, 117, 1–20. [Google Scholar] [CrossRef]
- Staley, D.M.; Kean, J.W.; Cannon, S.H.; Schmidt, K.M.; Laber, J.L. Objective Definition of Rainfall Intensity-Duration Thresholds for the Initiation of Post-Fire Debris Flows in Southern California. Landslides 2013, 10, 547–562. [Google Scholar] [CrossRef]
- Peres, D.J.; Cancelliere, A. Derivation and Evaluation of Landslide-Triggering Thresholds by a Monte Carlo Approach. Hydrol. Earth Syst. Sci. 2014, 18, 4913–4931. [Google Scholar] [CrossRef]
- Postance, B.; Hillier, J.; Dijkstra, T.; Dixon, N. Comparing Threshold Definition Techniques for Rainfall-Induced Landslides: A National Assessment Using Radar Rainfall. Earth Surf. Process Landf. 2018, 43, 553–560. [Google Scholar] [CrossRef]
- Marino, P.; Peres, D.J.; Cancelliere, A.; Greco, R.; Bogaard, T.A. Soil Moisture Information Can Improve Shallow Landslide Forecasting Using the Hydrometeorological Threshold Approach. Landslides 2020, 17, 2041–2054. [Google Scholar] [CrossRef]
- Piciullo, L.; Tiranti, D.; Pecoraro, G.; Cepeda, J.M.; Calvello, M. Standards for the Performance Assessment of Territorial Landslide Early Warning Systems. Landslides 2020, 17, 2533–2546. [Google Scholar] [CrossRef]
- Zhang, K.; Wang, S.; Bao, H.; Zhao, X. Characteristics and Influencing Factors of Rainfall-Induced Landslide and Debris Flow Hazards in Shaanxi Province, China. Nat. Hazards Earth Syst. Sci. 2019, 19, 93–105. [Google Scholar] [CrossRef]
- Mattauer, M.; Matte, P.; Malavieille, J.; Tapponnier, P.; Maluski, H.; Qin, X.Z.; Lun, L.Y.; Qin, T.Y. Tectonics of the Qinling Belt: Build-up and Evolution of Eastern Asia. Nature 1985, 317, 496–500. [Google Scholar] [CrossRef]
- Xue, F.; Lerch, M.F.; Kröner, A.; Reischmann, T. Tectonic Evolution of the East Qinling Mountains, China, in the Palaeozoic: A Review and New Tectonic Model. Tectonophysics 1996, 253, 271–284. [Google Scholar] [CrossRef]
- Li, W.; Liu, C.; Hong, Y.; Zhang, X.; Wan, Z.; Saharia, M.; Sun, W.; Yao, D.; Chen, W.; Chen, S.; et al. A Public Cloud-Based China’s Landslide Inventory Database (CsLID): Development, Zone, and Spatiotemporal Analysis for Significant Historical Events, 1949–2011. J. Mt. Sci. 2016, 13, 1275–1285. [Google Scholar] [CrossRef]
- Qiu, H.; Cui, Y.; Hu, S.; Yang, D.; Pei, Y.; Yang, W. Temporal and Spatial Distributions of Landslides in the Qinba Mountains, Shaanxi Province, China. Geomat. Nat. Hazards Risk 2019, 10, 599–621. [Google Scholar] [CrossRef]
- Liu, J. Analysis of “2018.7” flooding in Lueyang station, Jialing River. Shaanxi Water Resour. 2019, 02, 74–76. (In Chinese) [Google Scholar] [CrossRef]
- Rescuers Rush to Help Rainstorm-Hit County. Available online: http://www.ecns.cn/hd/2018-07-16/detail-ifyvzyvz7264489.shtml (accessed on 16 July 2018).
- Melillo, M.; Brunetti, M.T.; Peruccacci, S.; Gariano, S.L.; Guzzetti, F. An Algorithm for the Objective Reconstruction of Rainfall Events Responsible for Landslides. Landslides 2015, 12, 311–320. [Google Scholar] [CrossRef]
- Melillo, M.; Brunetti, M.T.; Peruccacci, S.; Gariano, S.L.; Roccati, A.; Guzzetti, F. A Tool for the Automatic Calculation of Rainfall Thresholds for Landslide Occurrence. Environ. Model. Softw. 2018, 105, 230–243. [Google Scholar] [CrossRef]
- Thornthwaite, C.W. An Approach toward a Rational Classification of Climate. Geogr. Rev. 1948, 38, 55–94. [Google Scholar] [CrossRef]
- Fawcett, T. An Introduction to ROC Analysis. Pattern Recognit. Lett. 2006, 27, 861–874. [Google Scholar] [CrossRef]
- Vennari, C.; Gariano, S.L.; Antronico, L.; Brunetti, M.T.; Iovine, G.; Peruccacci, S.; Terranova, O.; Guzzetti, F. Rainfall Thresholds for Shallow Landslide Occurrence in Calabria, Southern Italy. Nat. Hazards Earth Syst. Sci. 2014, 14, 317–330. [Google Scholar] [CrossRef]









| Parameter Name | Parameter Value | Unit | |
|---|---|---|---|
| Warm Periods (CW) | Cold Periods (CC) | ||
| Gs | 0.1 | 0.1 | mm |
| ER | 0.2 | 0.2 | mm |
| Rb | 15 | 15 | km |
| P1 | 3 | 6 | h |
| P2 | 6 | 12 | h |
| P3 | 1 | 1 | mm |
| P4 | 48 | 96 | h |
| Actual Events | |||
|---|---|---|---|
| Landslides | No Landslides | ||
| Predicted events | Landslides: E ≥ f(D) | TP | FP |
| No landslides: E < f(D) | FN | TN | |
| Events | Number | Duration (h) | Cumulated Rainfall (mm) | ||
|---|---|---|---|---|---|
| Min | Max | Min | Max | ||
| LY | |||||
| RE | 2467 | 1 | 1075 | 1.1 | 690 |
| RE associated with landslides | 29 | 2 | 383 | 14.5 | 690 |
| MRC total/not considering repetitions | 465/233 | 2 | 230 | 5.1 | 306.8 |
| MPRC total/not considering repetitions | 171/74 | 2 | 120 | 5.3 | 277.9 |
| Non-triggering RE | 2438 | 1 | 1075 | 1.1 | 381.9 |
| XY | |||||
| RE | 3229 | 1 | 669 | 1.1 | 298 |
| RE associated with landslides | 19 | 13 | 669 | 21 | 298 |
| MRC | 45 | 3 | 337 | 7.9 | 163.9 |
| MPRC | 21 | 3 | 187 | 13.3 | 163.9 |
| Non-triggering RE | 3210 | 1 | 526 | 1.1 | 280 |
| Label | Threshold Equation | △α/α (%) | △γ/γ (%) |
|---|---|---|---|
| N5,LY | E = (10.44 ± 0.45) × D(0.57 ± 0.01) | 4% | 2% |
| N10,LY | E = (7.43 ± 0.31) × D(0.57 ± 0.01) | 4% | 2% |
| N15,LY | E = (5.91 ± 0.24) × D(0.57 ± 0.01) | 4% | 2% |
| N20,LY | E = (4.92 ± 0.20) × D(0.57 ± 0.01) | 4% | 2% |
| N50,LY | E = (2.24 ± 0.09) × D(0.57 ± 0.01) | 4% | 2% |
| N5,XY | E = (10.78 ± 0.40) × D(0.57 ± 0.01) | 4% | 2% |
| N10,XY | E = (7.91 ± 0.29) × D(0.57 ± 0.01) | 4% | 2% |
| N15,XY | E = (6.42 ± 0.22) × D(0.57 ± 0.01) | 3% | 2% |
| N20,XY | E = (5.43 ± 0.19) × D(0.57 ± 0.01) | 3% | 2% |
| N50,XY | E = (2.65 ± 0.08) × D(0.57 ± 0.01) | 3% | 2% |
| Label | Threshold Equation | △α/α (%) | △γ/γ (%) |
|---|---|---|---|
| P20,LY,MRC | E = (14.59 ± 1.93) × D(0.38 ± 0.03) | 13% | 8% |
| P15,LY,MRC | E = (13.61 ± 1.84) × D(0.38 ± 0.03) | 14% | 8% |
| P10,LY,MRC | E = (12.48 ± 1.74) × D(0.38 ± 0.03) | 14% | 8% |
| P5,LY,MRC | E = (10.97 ± 1.59) × D(0.38 ± 0.03) | 14% | 8% |
| P50,LY,MRC | E = (19.68 ± 2.35) × D(0.38 ± 0.03) | 12% | 8% |
| P20,XY,MRC | E = (10.98 ± 5.60) × D(0.34 ± 0.10) | 51% | 28% |
| P15,XY,MRC | E = (10.12 ± 5.19) × D(0.34 ± 0.10) | 51% | 28% |
| P10,XY,MRC | E = (8.98 ± 4.53) × D(0.34 ± 0.10) | 50% | 28% |
| P5,XY,MRC | E = (7.61 ± 3.81) × D(0.34 ± 0.10) | 50% | 28% |
| P50,XY,MRC | E = (16.13 ± 8.41) × D(0.34 ± 0.10) | 52% | 28% |
| P20,LY,MPRC | E = (11.80 ± 2.14) × D(0.47 ± 0.05) | 18% | 12% |
| P15,LY,MPRC | E = (10.73 ± 1.99) × D(0.47 ± 0.05) | 19% | 12% |
| P10,LY,MPRC | E = (9.51 ± 1.82) × D(0.47 ± 0.05) | 19% | 12% |
| P5,LY,MPRC | E = (7.96 ± 1.58) × D(0.47 ± 0.05) | 20% | 12% |
| P50,LY,MPRC | E = (17.84 ± 2.92) × D(0.47 ± 0.05) | 16% | 12% |
| P20,XY,MPRC | E = (24.43 ± 19.85) × D(0.18 ± 0.17) | 81% | 96% |
| P15,XY,MPRC | E = (22.04 ± 17.58) × D(0.18 ± 0.17) | 80% | 96% |
| P10,XY,MPRC | E = (19.36 ± 14.91) × D(0.18 ± 0.17) | 77% | 96% |
| P5,XY,MPRC | E = (15.99 ± 11.92) × D(0.18 ± 0.17) | 75% | 96% |
| P50,XY,MPRC | E = (38.10 ± 33.51) × D(0.18 ± 0.17) | 88% | 96% |
| Label | TP | FN | FP | TN |
|---|---|---|---|---|
| N5,LY | 54 | 20 | 16 | 543 |
| N10,LY | 65 | 9 | 37 | 522 |
| N15,LY | 70 | 4 | 60 | 499 |
| N20,LY | 71 | 3 | 92 | 467 |
| P20,LY,MRC | 62 | 12 | 41 | 518 |
| P15,LY,MRC | 65 | 9 | 44 | 515 |
| P10,LY,MRC | 67 | 7 | 54 | 505 |
| P5,LY,MRC | 68 | 6 | 64 | 495 |
| P20,LY,MPRC | 62 | 12 | 29 | 530 |
| P15,LY,MPRC | 63 | 11 | 34 | 525 |
| P10,LY,MPRC | 66 | 8 | 48 | 511 |
| P5,LY,MPRC | 70 | 4 | 61 | 498 |
| Label | TP | FN | FP | TN |
|---|---|---|---|---|
| N5,XY | 4 | 17 | 33 | 885 |
| N10,XY | 7 | 14 | 103 | 815 |
| N15,XY | 14 | 7 | 146 | 772 |
| N20,XY | 17 | 4 | 184 | 734 |
| P20,XY,MRC | 17 | 4 | 210 | 708 |
| P15,XY,MRC | 17 | 4 | 223 | 695 |
| P10,XY,MRC | 18 | 3 | 258 | 660 |
| P5,XY,MRC | 19 | 2 | 279 | 639 |
| P20,XY,MPRC | 15 | 6 | 171 | 747 |
| P15,XY,MPRC | 17 | 4 | 190 | 728 |
| P10,XY,MPRC | 17 | 4 | 214 | 704 |
| P5,XY,MPRC | 18 | 3 | 255 | 663 |
| Label | EI | TPR | FPR | PPV | δ |
|---|---|---|---|---|---|
| N5,LY | 0.94 | 0.73 | 0.03 | 0.77 | 0.271 |
| N10,LY | 0.93 | 0.88 | 0.07 | 0.64 | 0.134 |
| N15,LY | 0.90 | 0.95 | 0.11 | 0.54 | 0.121 |
| N20,LY | 0.85 | 0.96 | 0.16 | 0.44 | 0.165 |
| P20,LY,MRC | 0.92 | 0.84 | 0.07 | 0.60 | 0.175 |
| P15,LY,MRC | 0.92 | 0.88 | 0.08 | 0.60 | 0.411 |
| P10,LY,MRC | 0.90 | 0.91 | 0.10 | 0.55 | 0.135 |
| P5,LY,MRC | 0.89 | 0.92 | 0.11 | 0.52 | 0.136 |
| P20,LY,MPRC | 0.94 | 0.84 | 0.05 | 0.68 | 0.168 |
| P15,LY,MPRC | 0.93 | 0.85 | 0.06 | 0.65 | 0.162 |
| P10,LY,MPRC | 0.91 | 0.89 | 0.09 | 0.58 | 0.142 |
| P5,LY,MPRC | 0.90 | 0.95 | 0.11 | 0.53 | 0.121 |
| Label | EI | TPR | FPR | PPV | δ |
|---|---|---|---|---|---|
| N5,XY | 0.95 | 0.19 | 0.04 | 0.11 | 0.811 |
| N10,XY | 0.88 | 0.33 | 0.11 | 0.06 | 0.679 |
| N15,XY | 0.84 | 0.71 | 0.16 | 0.09 | 0.331 |
| N20,XY | 0.80 | 0.81 | 0.20 | 0.08 | 0.276 |
| P20,XY,MRC | 0.77 | 0.81 | 0.23 | 0.07 | 0.298 |
| P15,XY,MRC | 0.76 | 0.81 | 0.24 | 0.07 | 0.306 |
| P10,XY,MRC | 0.72 | 0.86 | 0.28 | 0.07 | 0.313 |
| P5,XY,MRC | 0.70 | 0.90 | 0.30 | 0.06 | 0.316 |
| P20,XY,MPRC | 0.81 | 0.71 | 0.19 | 0.08 | 0.347 |
| P15,XY,MPRC | 0.79 | 0.81 | 0.21 | 0.08 | 0.283 |
| P10,XY,MPRC | 0.77 | 0.81 | 0.23 | 0.07 | 0.298 |
| P5,XY,MPRC | 0.73 | 0.86 | 0.28 | 0.07 | 0.313 |
Disclaimer/Publisher’s Note: The statements, opinions and data contained in all publications are solely those of the individual author(s) and contributor(s) and not of MDPI and/or the editor(s). MDPI and/or the editor(s) disclaim responsibility for any injury to people or property resulting from any ideas, methods, instructions or products referred to in the content. |
© 2023 by the authors. Licensee MDPI, Basel, Switzerland. This article is an open access article distributed under the terms and conditions of the Creative Commons Attribution (CC BY) license (https://creativecommons.org/licenses/by/4.0/).
Share and Cite
Zhang, S.; Pecoraro, G.; Jiang, Q.; Calvello, M. Definition of Rainfall Thresholds for Landslides Using Unbalanced Datasets: Two Case Studies in Shaanxi Province, China. Water 2023, 15, 1058. https://doi.org/10.3390/w15061058
Zhang S, Pecoraro G, Jiang Q, Calvello M. Definition of Rainfall Thresholds for Landslides Using Unbalanced Datasets: Two Case Studies in Shaanxi Province, China. Water. 2023; 15(6):1058. https://doi.org/10.3390/w15061058
Chicago/Turabian StyleZhang, Sen, Gaetano Pecoraro, Qigang Jiang, and Michele Calvello. 2023. "Definition of Rainfall Thresholds for Landslides Using Unbalanced Datasets: Two Case Studies in Shaanxi Province, China" Water 15, no. 6: 1058. https://doi.org/10.3390/w15061058
APA StyleZhang, S., Pecoraro, G., Jiang, Q., & Calvello, M. (2023). Definition of Rainfall Thresholds for Landslides Using Unbalanced Datasets: Two Case Studies in Shaanxi Province, China. Water, 15(6), 1058. https://doi.org/10.3390/w15061058

