Abstract
The Halda River and Haor basins are considered unique breeding habitats for carps in Bangladesh. The purpose of the study was to evaluate the natural spawning environment of carp species, with an emphasis on the hydrological conditions of the Halda River, the Surma River, and Tanguar Haor. This study, which covers the years 2021 and 2022, considered two spawning seasons. The results revealed that temperature, total dissolved solids (TDS), salinity, turbidity, conductivity, and pH were significantly different in the Halda River to the Surma River and Tanguar Haor. However, sudden rainfall and upstream runoff in 2021 were deemed as major factors causing an increment in TDS and electrical conductivity. The water pollution index was excellent in the Surma River and Tanguar Haor, and good in the Halda River. The study reported moderately reduced IMC fry production in 2021 because of inconsistent turbidity, high conductivity, and increased salinity which interrupted the ideal spawning habitat. However, in 2022, the spawning environment was favorable in the Halda River, while the Surma River and Tanguar Haor were considered to be comparatively favorable in both years. Differences were also found in the climatic and meteorological conditions, which revealed uneven rainfall, higher temperatures, decreasing water discharge, and low water levels. The meteorological data also revealed that the overall rainfall showed a decreasing trend for all sites in the last 20 years causing an interrupted water discharge. It was discovered that the amount of carp spawn obtained in the Halda River was greater than that obtained in the Surma River and Tanguar Haor. In terms of hydrological conditions and spawning performance, the Surma River and Tanguar Haor were reported to have significant differences, which may be due to their geographical location.
1. Introduction
Carps are the primary dominant species for aquaculture in Bangladesh as they have high market demand, superior growth characteristics, simpler husbandry procedures, and a more suitable farming environment compared to other fish species, which contribute to meeting nutrient needs and increasing revenue. Indian major carps are four fish species found in Bangladesh’s waters: Catla (Labeo catla), Rui (Labeo rohita), Mrigel (Cirrhinus mrigala), and Kalibaush (Labeo calbasu) [1,2]. The major specialty of the Halda River is serving as a natural source of fertilized Indian major carp eggs [3,4]. For a long time, this area has provided the nation with organically generated carp fry [5,6]. In contrast, the Surma River supports a wide variety of fish species that are essential to the livelihood of the local fishing communities and other populations in this region [7,8]. In the Sylhet Sadar section of the Surma River alone, 51 fish species from 16 taxonomic families have been discovered [8,9]. Haor basins are both commercially and ecologically significant hotspots for capture fisheries [10,11]. The aquatic environment is characterized by a complex interplay of physical and biological processes, and changes do not take place in a vacuum. In contrast, an ecosystem frequently changes over time as animals adapt to their environment [12,13]. River contamination has recently become a global crisis [14,15]. The contamination is caused by a variety of anthropogenic activities, including pollution and the haphazard construction of dams, rubber dams, and sluice gates that cause stress to fish and hinder migration [7,16]. Over time, this degradation of water quality makes it unsuitable for fish, which ultimately reduces fish output. Water contamination from various industries, household garbage, and agrochemicals are major issues in Bangladesh [17,18]. All living things have tolerance levels for water quality within which they can function at their best [19]. Therefore, fish require good water quality to survive and grow [20]. Water quality management is thus a crucial step that must be addressed to meet the current demand for food supply from capture fishery [21]. Any alterations to these physicochemical parameters may have an impact on the fish’s growth, maturation, and development [22,23]. The criteria governing water quality have a direct impact on the success of fish spawning, growth, recruitment, and survival. When carp species find appropriate conditions, such as heavy rainfall, runoff from hilly water, thunderstorms, strong velocities, and high currents in river water, they begin to lay eggs [24,25]. Due to a variety of natural factors, mostly climatic and meteorological conditions, spawning habitats are expected to disappear or become extinct soon [7,26]. Several studies have shown that climate change has indirect effects on the productivity, structure, and composition of aquatic ecosystems, which fish rely on for food and shelter, as well as direct effects on the physiology, behavior, growth, reproduction, mortality, and distribution of organisms [27,28,29]. The hydrological conditions of the water body have a great influence on the spawning of the fish species. Researchers found that hydrological conditions influence salmonid spawning in four distinct phases: pre-spawning, nest construction, spawning, egg burial, and embryo survival [30]. It was observed that very few studies were conducted on the effects of hydrological conditions on the natural spawning of the carp species. General water quality was assessed by different researchers, but direct involvement with the natural spawning under physicochemical conditions and climatic interferences was not evaluated. The novelty of the present research was to evaluate the correlation between the carp spawning and hydrological conditions of the Sylhet Haor basin and Halda River. This aim of this research was to identify the potential environmental variations in the different spawning grounds of Indian major carps, and to analyze their effect on spawning performance, i.e., eggs and fry production. This research was also intended to explore the effect of climate change on fry and eggs production of IMCs at the studied sites.
2. Materials and Methods
2.1. Study Area and Duration
The study was conducted in three of the most important water bodies for the natural spawning of indigenous fish species. The Halda River is the pure gene pool of the major carp in the Chittagong district [31]; the Surma River is the larger Haor basin of the Surma-Meghna River System; and the Tanguar Haor is a Ramsar site. The Surma River and Tanguar Haor in the Sylhet Haor basin were chosen for the study because it was known that natural spawning grounds for carp species were once available in the various rivers of greater Sylhet, including the Surma, Kushiara, and Monu Rivers. The most distinctive river, the Halda, was also chosen because it is known as the “pure gene pool” of Bangladesh [25]. The Halda River flows through Fatikchari, Bujpur, Hathazari, Raozan, and Chandgaon Upazila (sub-district) before discharging into the Karnafuli River from the Badnatali Hill ranges of Ramgarh Upazila. The Halda River, an extremely turbulent tributary of the 81 km (50 miles) long river, enters Purba Dhalai around 48 km (30 miles) downstream. Big boats can travel the river up to Nazir Hat for 29 km (18 miles), while small boats can travel the last 16 to 24 km (9.9 to 14.9 miles) to Narayanhat. The Halda is 30 feet (9.1 m) deep at its deepest point and averages 21 feet (6.4 m) in depth. The Surma River is part of the Surma-Meghna River System, which originates from the Barak River in northeast India and ends in the Kishoreganj District. Tanguar Haor, a special wetland environment of national significance in Bangladesh that covers Dharmapasha and Tahirpur Upazilas of the Sunamganj district, has gained attention on a global scale. The Surma River has a maximum depth of 550 feet (170 m) with an average depth of 282 feet (86 m) and the Tanguar Haor occupied an area of around 100 km2 (39 square miles), comprising 46 settlements that make up the Haor, of which 2802.36 ha2 are wetland. More than 40,000 people rely on it for their daily sustenance. It was designated an ecologically sensitive area by Bangladesh in 1999 due to the area’s dire state caused by the overuse of its natural resources. The current research locations were selected by collaborating with the local Upazila Fisheries Office, the fisher’s community, other stakeholders, and previous research studies based on spawn fisher aggregation and potentially active spawning grounds areas (Figure 1).
Figure 1.
Map showing sampling stations in the study area at the Halda River and Haor basins of Sylhet.
Every year, between April and June, between the full and new moons, the spawning season for the carp species occurs. Considering these circumstances, the research’s target months were March through August to monitor the hydrological aspects of each station’s spawning environment. To obtain accurate results, the study was conducted across two spawning periods (March through August) in 2021 and 2022. Each station has four transects available to collect water samples (Table 1).
Table 1.
Target list of the study duration and sampling area.
2.2. Water Quality Measurement
With 15-day intervals, each month, the vital physicochemical indicators of water quality, including dissolved oxygen (DO), pH value, temperature, turbidity, total dissolved solids (TDS), electrical conductivity, salinity, and ammonia, were measured. Water samples were taken in a plastic bottle that was filled to the top, and the cap was tightly closed to prevent any air from escaping, minimizing the possibility of chemical alterations. Water quality was assessed with the help of IDF Hatchery, Halda River Research Laboratory, and SAU Mini Hatchery. However, three measurements of the water quality were made during the spawning period in a single day. These physicochemical parameters were quantified using a 2100Q Hack multimeter, a pH probe from PHC 101, a DO probe from HACH HQ40d, an amber bottle, a beaker, a Secchi disk, and a multi-parameter with a CDC-401 probe. For many industrial and municipal applications, measuring and monitoring turbidity is essential. Hach’s 2100Q Portable Turbidimeter offers unmatched precision and usability. The 2100Q’s user-friendly interface makes it simple to take measurements and carry out calibration and verification. For objectives related to water quality, the environment, and treatment processes, the HACH HQ40d portable meters can connect with a wide variety of Intellical smart electrodes that address various parameters, sample types, and operational environments. To save errors and setup time, the Intellical probe automatically detects the testing parameter and stores the calibration history and procedure settings. The collected water sample was carried to the lab and analyzed using these multi-parameters, and ammonia was measured by HACH ammonia kit box.
2.3. Secondary Data Collection for Cross Check and Correlation
A brief scenario of the environmental data collection site is presented in Table 2. The secondary information on egg and fry production over the last 20 years was collected from the HRRL (Halda River Research Laboratory). The important environmental data information on temperature, rainfall, discharge, and the water level was collected from the Power Data Access Viewer of NASA and www.hydrology.bwdb.gov.bd (accessed on 21 June 2022) for the last 20 years. For further information, secondary data were collected from different journals, articles, books, newspapers, etc., to validate the metadata table more accurately.
Table 2.
The brief scenario of the environmental data collection sites.
2.4. Estimation of the WPI (Water Pollution Index)
The obtained data were utilized to calculate the water pollution level in river water and then compare it to the standard value of WPI (Table 3). The WPI is calculated as follows.
Table 3.
The score of the WPI to justify the water pollution level [32].
WPI =; where, Pli represents the total load of the pollution of the ith parameter to be determined from river water quality data collected once a month, while n denotes the number of research parameters that were studied.
2.5. Data Analysis
The collected data was suitably formatted, processed, and compiled before statistical analysis. Digital mapping by Google Earth Pro for satellite data collection was done using the data obtained from the field study, and then ArcGIS 10.8 and ArcMap 10.8 were used to generate the map and visualization of the study area. Microsoft Excel (2010), SPSS (22), and R-studio were used for statistical analysis and interpretation of raw data. For data presentation, a correlation matrix, ridgeline plots, and a box plot were properly created. Following analysis, data were pooled and displayed in a variety of charts and tabular formats.
3. Results
3.1. Spatial Variation in Water Quality Parameters
The one-way ANOVA statistical analysis showed that the temperature, TDS, salinity, turbidity, conductivity, and pH were significantly different in the Halda River to the Surma River and Tanguar Haor (Table 4). Only DO and ammonia showed no significant difference between the Halda River, Surma River, and Tanguar Haor.
Table 4.
Water quality parameters of different sampling stations during the study period.
3.2. Temporal Variation in Water Quality Parameters
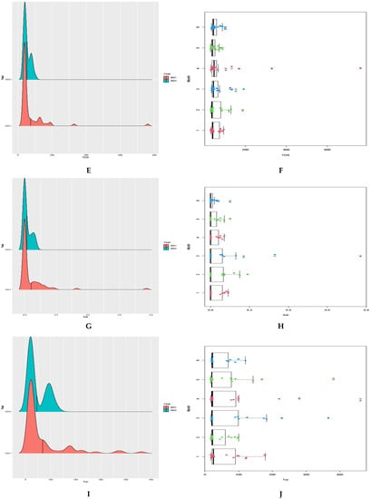
In the year 2021, the highest temperature was 32 °C and the lowest temperature was 28 °C.; while in the year 2022, the maximum temperature was 32 °C and the minimum temperature was 26 °C. It was observed that the highest temperature was in March (32–31 °C) and the lowest in June and July (28–26 °C) (Figure 2A,B). During the research period, the dissolved oxygen level reached a maximum of 7.71 mg/L and a minimum of 4 mg/L (indicating an increase in anaerobic conditions, i.e., oxygen consumption). In the year 2022, the maximum DO was 7.3 mg/L and the minimum DO was 4.8 mg/L. It was observed that the highest DO was in March and June (7.5 mg/L) and the lowest in April and July (4.5 mg/L) (Figure 2C,D). The obtained results revealed that the TDS was at a maximum of 761 mg/L and a minimum of 31 mg/L in the year 2021. Moreover, in the year 2022, the maximum TDS was 105 mg/L and the minimum TDS was 32 mg/L. It was observed that the highest TDS was in March and June (600 mg/L) and the lowest in May and August (80 mg/L) (Figure 2E,F). The maximum salinity was 0.77 mg/L and the minimum salinity was 0.0 mg/L in the year 2021. Meanwhile, in the year 2022, the maximum salinity was 0.07 mg/L and the minimum salinity was 0.0 mg/L. It was noted that the highest salinity was in May (0.77 mg/L) and the lowest in August (0.01 mg/L) (Figure 2G,H). However, all salinity values are very low. The maximum turbidity was 461 mg/L, and the minimum turbidity was 17 mg/L in the year 2021. In comparison, in the year 2022, the maximum turbidity was 125 mg/L and the minimum turbidity was 17 mg/L. It was observed that the highest turbidity was in May, June, and July, and the lowest was in August (Figure 2I,J). A comparison of the values of TDS and turbidity indicated that only part of the turbidity results from mineral components, as represented in the TDS. Thus, other parts must be of organic origin.



Figure 2.
Yearly and monthly water quality variation in the Halda River and Sylhet Haor basin (Surma River and Tanguar Haor) during the spawning period. Temperature = (A,B); DO = (C,D); TDS = (E,F); Salinity = (G,H); Turbidity = (I,J); Conductivity = (K,L); pH = (M,N) and Ammonia = (O,P). Where figure Left = Year, Right = Month (1, 2, 3, 4, 5, 6) = March, April, May, June, July, August.
The observation of the year 2021 found that the maximum conductivity was 737 µS/cm and the minimum conductivity was 78.9 µS/cm; the unexpected increment was associated with sudden rainfall and upstream runoff. In 2022, however, the maximum conductivity was 200 µS/cm, and the minimum conductivity was 80 µS/cm. It was observed that the highest conductivity was in June and the lowest was in August (Figure 2K,L). However, from our point of view, the cited values do not fit with the values in the table. The pH values did not vary to a large extent, and they represent neutral water conditions. The maximum pH was 7.5 in 2021, and the minimum pH was 6, while in the year 2022, the maximum pH was 7.54 and the minimum pH was 6.3. It was observed that the highest pH was in August and the lowest in March (Figure 2M,N). Regardless of the outcome, the ammonia concentration in the study area was optimal in 2021 and 2022. The maximum ammonia concentration in 2021 was 0.2 mg/L, and the minimum ammonia concentration was 0.16 mg/L.; likewise, in 2022, the maximum ammonia was 0.2 mg/L and the minimum ammonia was 0.16 mg/L, thus the values do not represent a variation. It was discovered that the ammonia was in the optimum range for the duration of the study and was found to be equal in every study site (Figure 2O,P).
3.3. WPI (Water Pollution Index) Conditions of the Carp Spawning Environment
The results demonstrated that the WPI of the Halda River was 0.534, which was >0.5, indicating overall good river water quality. However, the water quality of the Surma River and Tanguar Haor was <0.5, which denoted that the water quality was excellent for carp spawning (Figure 3).
Figure 3.
The water pollution index in different sampling stations.
3.4. Climatic Conditions of the Carp Spawning Area
Acquired meteorological 20-year (2002–2022) data from the Power Data Access Viewer and the Bangladesh Water Development Board (BWDB) showed that the temperature was higher during the study period in all selected study areas. The results also revealed that rainfall has decreased in the last 20 years. In the case of Surma River and Tanguar Haor, the linear regression represents a straight line for rainfall (Figure 4).
Figure 4.
Graphical representation of the yearly mean temperature (a) and rainfall (b) value of the last 20 years of the study area.
The discharge of river water is mostly dependent on the climatic conditions of the adjacent area. Increased rainfall causes more dissipation, which increases water velocity and flow. The results revealed that the water deficit is decreasing linearly, which indicates a decrease in rainfall in the referred period The water level is also affected by rainfall and discharge. The results showed that the water level decreased day by day, and the water level of the Halda River was in critical condition (Figure 5).
Figure 5.
Graphical representation of the yearly mean discharge (a) and water level (b) value of the last 20 years of the study area.
3.5. Spawning Performance of Carps
The present study showed that the collected spawn was highest in the Halda River area and lowest in the Tanguar Haor area (Figure 6). The spawning environment was favorable in the Surma River and Tanguar Haor area, but there may have been a shortage of carp brood fish, or the spawning grounds may have migrated from previous spawning grounds. The radar graph showed zero tendencies for Tanguar Haor and the Surma River.
Figure 6.
The radar graph showed the amount of spawn collected from the study area.
The principal component analysis between the different water quality parameters at selected stations and the carp spawning performance is presented in Figure 7 Temperature, ammonia, DO, and pH have long-term positive and negative associations with the first and second components, respectively, while salinity, TDS, conductivity, and turbidity have a short-term positive relationship with components 3 and 4 (Figure 7a), which indicates that the most station-wise varied parameters were salinity, TDS, conductivity, and turbidity. It was also revealed that salinity, TDS, conductivity, and turbidity have a strong positive long-term association with spawning. In contrast, temperature and ammonia showed a long-term negative association, probably because ammonia is toxic to fish, and DO and pH showed an optimum range for spawning (Figure 7b).
Figure 7.
Principal component analysis (PCA). Station with water quality parameters (a), and spawning data with water quality parameters (b).
The data acquired from the Halda River Research Laboratory (HRRL) suggested that the state of carp egg and fry production was fluctuating. In the present investigation, it was revealed that fertilized eggs and fry were collected at a total of 8580 kg and 105.73 kg in 2021, and 7200 kg and 129 kg in 2022 (Figure 8). In the present study, data obtained from HRRL indicated that carp egg and fry production varied. It was found that the egg and fry production of the Halda River was very poor in the years 2015, 2016, and 2017 (Figure 8). It was also observed that the production in the Halda River was higher in 2018–2020 than in 2017–2016 (Figure 8). The decrease in carp egg and fry production in the Halda River during the study period compared to the previous year could be attributed to the devastating effects of climate change and unfavorable spawning conditions. The study found that climate changes caused a measurable reduction in egg and fry production. However, no considerable correlation between time series and egg and fry production was reported (Figure 7C,D).
Figure 8.
Status of carp fertilized egg and fry production over the last 22 years in the Halda River (A,B), and correlation between time series and eggs and fry production (C,D).
3.6. Framework to Visualize the Hydrological Conditions for the Spawning of Carp Species
Every year, between April and June, during the full and new moons, the IMC species spawn in the Halda River. Carp species begin to lay eggs when they encounter favorable conditions, including heavy rainfall, runoff from mountain water, thunderstorms, high velocity, and strong currents in river water. The framework’s findings concluded that favorable climatic, environmental, and physicochemical conditions trigger the reproductive physiology of carp species, ultimately increasing spawning success (Figure 9).
Figure 9.
Framework showing the relationship between hydrological conditions and carp spawning success.
4. Discussion
The interconnection of water parameters in a river environment provides important information sources and parameter paths [37]. The very strong relationships show that the parameters come from the same sources, namely industrial effluents, household trash, and agro-farm-based wastes. Additionally, fairly strong and negative correlations were noticed between TDS, salinity, turbidity, and conductivity; pH vs. DO; and negative relations between ammonia vs salinity, turbidity, and pH in river water. Hacioglu and Dulger [38] found in their research that temperature and DO are inversely related. The ranges of DO values were found to be maintained below or above standard levels, which may be due to high temperatures. An increase in water salinity drives major fluctuations in the physicochemical parameters of the aquatic environment, which eventually impacts the aquatic flora and fauna [39]. Patra and Azadi [5] studied the effects of hydrological conditions on the Halda River during the spawning period of carp species. They found that the spawning of IMCs in the Halda River took place at a moderate temperature. It was discovered that the air and water temperatures were a little lower during the spawning phase than they were at other times. They also proposed that IMC spawning was driven by lower water temperatures (25–28 °C) in the Halda River. It was discovered that the DO value ranges were kept below or above the normal, which may be related to the high temperatures in the case of DO 6–9 mg/L having an impact on IMC spawning in the Halda River. They also noted that during the spawning season the high velocity of water and associated high turbidity (400–1500 ppm) affects the spawning of IMCs in the Halda River. Recent research has found that the Halda River’s turbidity was inadequate for IMC spawning. According to their observations, it was also clear that the conductivity was low during the spawning time because it was diluted by the influx of rainwater. Low water conductivity (35.9–168.98 μS /cm) in the Halda River favored the spawning activities of IMCs [40,41]. A value of conductivity between 140 and 200 μS /cm has been reported for the same habitat by Akter and Ali [42]. A value of EC between 60 and 110 μS/cm has been reported for Tanguar Haor [43], while it has fluctuated between 54 and 320 μS/cm depending on the season and location [44]. Several researchers found that the Halda River’s water temperature during the breeding season ranged between 28 and 29 °C, which seems ideal for aquatic life [45,46]. However, the findings of this study indicated that during the spawning season, the water temperature in the analyzed location was greater in the Halda River but suitable in the Surma River and Tanguar Haor. It should be a motivating element for the carp species’ spawning. According to Bhuyn et al. [47], DO levels below 5 mg/L have a negative effect on aquatic life, and <2 mg/L cause fish deaths. In several studies, it has been well-established that there is an inverse relationship between temperature and DO [48]. TDS implies the presence of many minerals in the water body, including nitrite, nitrate, ammonia, phosphate, sulfate, certain acids, alkalis, etc. [49]. The range provided by Bhatnagar and Devi [46] does not result in a decreased rate of fish breeding; the acceptable and optimal TDS values are 2000 mg/L and 500 mg/L, respectively. According to Hossen et al. [50], the Halda River introduces the most salt intrusion during the dry season, while in the rainy season, the rainwater dilutes the salinity. Salinity incursion is most noticeable between January and March, and less so between April and July [51]. The salinity of the Halda River ranged from 0.018 ppt in March to 0.06 ppm at its maximum during the dry season [51]. The findings of the current study indicate that the lack of rainfall and the impact of Cyclone Yaas during the spawning season resulted in a modest rise in the salinity of the Halda River. This might have indirectly affected the recent spawning of IMCs. The physicochemical parameters of the aquatic environment were altered by a rise in water salinity, which ultimately had an impact on the aquatic flora and fauna [45,52]. According to Armstead et al. [53], higher conductivity denotes greater water contamination. According to the current finding, the four Halda River sampling stations have greater conductivities than average, indicating that the river is salinized. The pH remained fairly alkaline and well-ranged to support aquatic growth [54]. Patra and Azadi [5] remarked that pH is a considerable factor in controlling the quality of water. They also observed that the pH level of the Halda River falls due to the inflow of turbid rain, which is beneficial for spawning. The slightly acidic environment of the water body is ideal for the successful fertilization of the freed egg and milt. They added that the Halda River’s lower pH (6.2–6.8) encourages carp species to spawn. According to Karim et al. [55], the pH range of the Halda River’s water is 7.08 to 7.65, and it is usually alkaline. They added that minor pH fluctuations did not affect fish habitat. The standard limits established for fisheries at the Hetimganj site were found to be met for temperature, turbidity, DO, CO2, pH, chloride, nitrite, and acidity, while TDS, alkalinity, and hardness were reported low, which was associated with the rainy season. Recent research has also concluded that the water quality of the Surma River has deteriorated, as presented by the increased values of TDS, pH, and turbidity [56]. The seasonal variation of the water quality of the Surma River and Tanguar Haor were also found to be within the norm established by the FAO, WHO, DoE [57]. This study showed that the water quality value of the Surma River during the spawning period was favorable. Mamun et al. [58] stated that the water quality of the Tanguar Haor is favorable for carp spawning.
The new investigation was conducted during unfavorable weather, with high temperatures and little rain. However, the study site’s water quality was acceptable for carp species to spawn. The carp spawning may be hampered by extremely low and high rainfall levels. Akhtar et al. [59] observed that the fluctuation of the weather, higher temperatures, uneven rainfall, and reduced water currents made the spawning time unpredictable. The final results of the present study discovered that the hydrological conditions of the three studied areas varied during the spawning period of the carp species. It also showed that the hydrological condition of the Halda River was higher than that of the Surma River and Tanguar Haor area. However, the variation between the Surma River and Tanguar Haor was not significantly different. This may be the effect of the geological setting that is represented by the difference in shales, siltation, and the stony layer of the Surma Group in the Surma River [60], and a stratigraphic sequence of silt, sand, gravel, and clay, and pebbly sandstone in Tanguar Haor [61].
The Halda River is the country’s pure gene pool for the natural spawning of the carp species. However, the Surma River and Tanguar Haor have great possibilities for the natural spawning of carp species because of the favorable water environment and vast water area. This could provide a combined study area for the natural spawning of carp species for future researchers.
5. Conclusions
The carp species have specific needs for a favorable spawning environment with suitable hydrological conditions for successful spawning. The findings revealed that most of the physicochemical conditions in the study area differed significantly between the Halda River, the Surma River, and Tanguar Haor. Differences in climatic and meteorological conditions, such as turbidity, high conductivity, increased salinity, and higher temperatures, which were shown to be considerably different from the ideal spawning habitat, prevented IMC from successfully spawning in the Halda River in 2021, according to the study. Nevertheless, the spawning environment in 2022 was favorable. The Surma River and Tanguar Haor had a very low water pollution index, which provided the carp species with an ideal natural spawning environment. However, spawning efficiency in the Tanguar Haor and the Surma River was lower. All of the variations among the three study regions could be a result of the location and accessibility of the brood fish. The natural spawning of carp species will be encouraged by effective river management that generates an environmentally friendly spawning environment.
Author Contributions
Conceptualization, K.R.A., N.C.R. and S.M.; methodology, N.C.R., M.A.H. and P.S.; software, K.R.A. and M.A.H.; validation, P.S., S.M. and N.C.R.; formal analysis, K.R.A. and M.A.H.; investigation, K.R.A., S.M., P.S. and N.C.R.; resources, P.S. and N.C.R.; data curation, K.R.A.; writing—original draft preparation, K.R.A.; writing—review and editing, P.S., M.A.H., S.M. and N.C.R.; visualization, K.R.A. and M.A.H.; supervision, S.M. and N.C.R.; project administration, N.C.R.; funding acquisition, N.C.R. All authors have read and agreed to the published version of the manuscript.
Funding
The study was financed by the research grant of the BAS-USDA Project under the Bangladesh Academy of Sciences (ID: 4th Phase BAS-USDA KG FI-20).
Data Availability Statement
Data will be available from corresponding authors based on reasonable request.
Acknowledgments
The authors are grateful to the fishers, spawn collectors, fry rearers, development workers, respondents, their families, and the various stakeholders who were directly or indirectly involved in conducting this field research.
Conflicts of Interest
The authors declare no conflict of interest.
References
- Sarder, M.R.I.; Yeasin, M.; Jewel, M.Z.H.; Khan, M.M.R.; Simonsen, V. Identification of Indian Major Carps (Catla Catla, Labeo Rohita and Cirrhinus Cirrhosus) and Their Hybrids by Phenotypic Traits, Allozymes and Food Habits. Asian Fish. Sci. 2011, 24, 49–61. [Google Scholar] [CrossRef]
- Bandara, T. Scientific Footprint of Indian Major Carp Research in South Asia: A Scientometric Study between 1955 and 2018. J. Appl. Aquac. 2021, 33, 267–278. [Google Scholar] [CrossRef]
- Jannatul, F.M.; Rashidul, K.; Amzad, H.M.; Arifur, R. Fin Fish Assemblage and Biodiversity Status of Carps on Halda River. Ann. Vet. Anim. Sci. 2015, 2, 151–161. [Google Scholar]
- Chakraborty, B.K.; Shahroz, M.H.; Bhuiyan, A.B.; Bhattacharjee, S.; Chattoraj, S. Status of Indian Major Carps Spawn in the Halda River along with Marketing and Economic Condition of the Fishers and Related Collectors. Int. J. Biol. Innov. 2019, 01, 40–50. [Google Scholar] [CrossRef]
- Patra, R.W.R.; Azadi, M.A. Hydrological Conditions Influencing the Spawning of Major Carps in the Halda River, Chittagong, Bangladesh. Bangladesh J. Zool. 1985, 13, 63–72. [Google Scholar]
- Hossain, M.B.; Nur, A.-A.U.; Ahmed, M.M.; Ullah, M.A.; Albeshr, M.F.; Arai, T. Growth, Yield and Profitability of Major Carps Culture in Coastal Homestead Ponds Stocked with Wild and Hatchery Fish Seed. Agriculture 2022, 12, 1131. [Google Scholar] [CrossRef]
- Abdullah, A.H.; Chowdhury, G.; Adikari, D.; Jahan, I.; Andrawina, Y.O.; Hossain, M.A.; Schneider, P.; Iqbal, M.M. Macroplastics Pollution in the Surma River in Bangladesh: A Threat to Fish Diversity and Freshwater Ecosystems. Water 2022, 14, 3263. [Google Scholar] [CrossRef]
- Maria, A.B.; Iqbal, M.M.; Hossain, M.A.R.; Rahman, M.A.; Uddin, S.; Hossain, M.A.; Jabed, M.N. Present Status of Endangered Fish Species in Sylhet Sadar, Bangladesh. Int. J. Nat. Sci. 2016, 6, 104–110. [Google Scholar]
- Chowdhury, M.A.; Karim, M.A.; Rahman, M.T.; Shefat, S.H.T.; Rahman, A.; Hossain, M.A. Biodiversity Assessment of Indigenous Fish Species in the Surma River of Sylhet Sadar, Bangladesh. Punjab Univ. J. Zool. 2019, 34, 73–77. [Google Scholar] [CrossRef]
- Iqbal, M.; Kanon, M.H.; Hossain, M.A.; Hossain, A.; Nasren, S.; Islam, M.J.; Rahman, M.A. Diversity of Indigenous Fish Species in Konoskhaihaor, Northeast Bangladesh. Punjab Univ. J. Zool. 2015, 30, 73–79. [Google Scholar]
- Das, S.K.; Roy, N.C.; Hossain, M.A. Diversity of Indigenous Fish Species in Ratargul Freshwater Swamp Forest, Bangladesh. Int. J. Sci. Res. Environ. Sci. 2017, 5, 28–35. [Google Scholar] [CrossRef]
- Gad, M.; El-Safa, M.M.A.; Farouk, M.; Hussein, H.; Alnemari, A.M.; Elsayed, S.; Khalifa, M.M.; Moghanm, F.S.; Eid, E.M.; Saleh, A.H. Integration of Water Quality Indices and Multivariate Modeling for Assessing Surface Water Quality in Qaroun Lake, Egypt. Water 2021, 13, 2258. [Google Scholar] [CrossRef]
- Gad, M.; Saleh, A.H.; Hussein, H.; Farouk, M.; Elsayed, S. Appraisal of Surface Water Quality of Nile River Using Water Quality Indices, Spectral Signature and Multivariate Modeling. Water 2022, 14, 1131. [Google Scholar] [CrossRef]
- Massoud, M.A.; El-Fadel, M.; Scrimshaw, M.D.; Lester, J.N. Factors Influencing Development of Management Strategies for the Abou Ali River in Lebanon I: Spatial Variation and Land Use. Sci. Total Environ. 2006, 362, 15–30. [Google Scholar] [CrossRef] [PubMed]
- Noori, R.; Khakpour, A.; Omidvar, B.; Farokhnia, A. Comparison of ANN and Principal Component Analysis-Multivariate Linear Regression Models for Predicting the River Flow Based on Developed Discrepancy Ratio Statistic. Expert Syst. Appl. 2010, 37, 5856–5862. [Google Scholar] [CrossRef]
- Hossain, M.; Rabby, A. Seasonality of Physicochemical Parameters and Fin Fish Diversity at Hakaluki Haor (Fenchungonj Upazilla), Sylhet, Bangladesh. Mar. Life Sci. 2020, 2, 113–119. [Google Scholar]
- Venugopal, T.; Giridharan, L.; Jayaprakash, M. Characterization and Risk Assessment Studies of Bed Sediments of River Adyar-an Application of Speciation Study. Int. J. Environ. Res. 2009, 3, 581–598. [Google Scholar]
- Islam, M.S.; Ahmed, M.K.; Habibullah-Al-Mamun, M.; Hoque, M.F. Preliminary Assessment of Heavy Metal Contamination in Surface Sediments from a River in Bangladesh. Environ. Earth Sci. 2015, 73, 1837–1848. [Google Scholar] [CrossRef]
- Maucieri, C.; Nicoletto, C.; Zanin, G.; Birolo, M.; Trocino, A.; Sambo, P.; Borin, M.; Xiccato, G. Effect of Stocking Density of Fish on Water Quality and Growth Performance of European Carp and Leafy Vegetables in a Low-Tech Aquaponic System. PLoS ONE 2019, 14, e0217561. [Google Scholar] [CrossRef] [PubMed]
- Hussain, M.; Hossain, M.A.; Begum, M.; Roy, N.C. Freshwater Mussel (Lamelliedens Marginalis) to Reduce the Lead (Pb) Bioaccumulation in Aquaculture of Stinging Catfish, Heteropneustes Fossilis. J. Appl. Aquac. 2022, 1–17. [Google Scholar] [CrossRef]
- Aura, C.M.; Mwarabu, R.L.; Nyamweya, C.S.; Owiti, H.; Ongore, C.O.; Guya, F.; Musa, S.; Owili, M.; Macaria, S.; Abila, R.O.; et al. Exploring the Potential of Small Water Bodies as an Integrative Management Tool for Fisheries Production. Fish. Manag. Ecol. 2022, 29, 254–268. [Google Scholar] [CrossRef]
- Weis, J.S.; Smith, G.; Zhou, T.; Santiago-Bass, C.; Weis, P. Effects of Contaminants on Behavior: Biochemical Mechanisms and Ecological Consequences: Killifish from a Contaminated Site Are Slow to Capture Prey and Escape Predators; Altered Neurotransmitters and Thyroid May Be Responsible for This Behavior, Which Ma. Bioscience 2001, 51, 209–217. [Google Scholar] [CrossRef]
- Pankhurst, N.W.; Munday, P.L. Effects of Climate Change on Fish Reproduction and Early Life History Stages. Mar. Freshw. Res. 2011, 62, 1015–1026. [Google Scholar] [CrossRef]
- Rahman, M.A.; Al Bakri, D. A Study on Selected Water Quality Parameters along the River Buriganga, Bangladesh. Iran. J. Energy Environ. 2010, 1, 81–92. [Google Scholar]
- Kibria, M.M.; Islam, N.; Billah, M.; Shawrob, K.S.M.; Rumi, M.H.; Siddiki, A.Z. Complete Mitochondrial Genome Sequence of Catla Catla (Hamilton, 1822) from the Halda River of Bangladesh. Mitochondrial DNA Part B 2020, 5, 3215–3217. [Google Scholar] [CrossRef] [PubMed]
- Raihan, F.; Ondrasek, G.; Islam, M.S.; Maina, J.M.; Beaumont, L.J. Combined Impacts of Climate and Land Use Changes on Long-Term Streamflow in the Upper Halda Basin, Bangladesh. Sustainability 2021, 13, 12067. [Google Scholar] [CrossRef]
- Islam, M.R.; Hossain, M.A.; Afrose, F.; Roy, N.C.; Iqbal, M.M. Effect of Temperature on the Growth Performance, Haematological Properties and Histomorphology of Gill, Intestine and Liver Tissues in Juvenile Butter Catfish Ompok Bimaculatus. Aquac. Fish Fish. 2022, 2, 277–286. [Google Scholar] [CrossRef]
- Barange, M.; Holsman, K.; Hollowed, A.; Ito, S.; Bograd, S.; Hazen, E.; King, J.; Mueter, F.; Perry, R.I. Climate Change Impacts, Vulnerabilities and Adaptations: North Pacific and Pacific Arctic Marine Fisheries; Food and Agriculture Organization of the United Nations: Rome, Italy, 2018; Volume 627, ISBN 9789251306079. [Google Scholar]
- Lam, V.W.Y.; Allison, E.H.; Bell, J.D.; Blythe, J.; Cheung, W.W.L.; Frölicher, T.L.; Gasalla, M.A.; Sumaila, U.R. Climate Change, Tropical Fisheries and Prospects for Sustainable Development. Nat. Rev. Earth Environ. 2020, 1, 440–454. [Google Scholar] [CrossRef]
- Zeug, S.C.; Winemiller, K.O. Relationships between Hydrology, Spatial Heterogeneity, and Fish Recruitment Dynamics in a Temperate Floodplain River. River Res. Appl. 2008, 24, 90–102. [Google Scholar] [CrossRef]
- Saimon, M.K.; Mustafa, M.G.; Sarker, B.S.; Hossain Belal, M.; Rahman, M.M. Marketing Channels of Indian Carp Fry Collected from Halda River and Livelihood of the Fry Traders. Asian J. Agric. Res. 2016, 10, 28–37. [Google Scholar] [CrossRef]
- Hossain, M.; Patra, P.K. Water Pollution Index—A New Integrated Approach to Rank Water Quality. Ecol. Indic. 2020, 117, 106668. [Google Scholar] [CrossRef]
- Government of the People’s Republic of Bangladesh. Environmental Quality Standard (EQS); Bangladesh Gazette, registered nr. DA-1, Ministry of Environment, Government of Bangladesh Secretariat: Dhaka, Bangladesh, 1997.
- Uddin, M.; Alam, M.; Mobin, M.; Miah, M. An Assessment of the River Water Quality Parameters: A Case of Jamuna River. J. Environ. Sci. Nat. Resour. 2014, 7, 249–256. [Google Scholar] [CrossRef]
- Sarker, M.; Razzaque, A.; Hoque, M.; Roy, S.; Hossain, M. Investigation of Effluent Quality from an Effluent Treatment Plant of a Textile Industry, Fakir Knitwear Ltd. Narayangonj, Bangladesh. J. Environ. Sci. Nat. Resour. 2015, 8, 25–31. [Google Scholar] [CrossRef]
- FAO Wastewater Treatment and Use in Agriculture—FAO Irrigation and Drainage Paper 47; FAO: Rome, Italy, 2004; Volume 47, ISBN 9253042192.
- Zhao, J.; Fu, G.; Lei, K.; Li, Y. Multivariate Analysis of Surface Water Quality in the Three Gorges Area of China and Implications for Water Management. J. Environ. Sci. 2011, 23, 1460–1471. [Google Scholar] [CrossRef]
- Hacioglu, N.; Dulger, B. Monthly Variation of Some Physico-Chemical and Microbiological Parameters in Saricay Stream (Canakkale, Turkey). Fresenius Environ. Bull. 2010, 19, 986–990. [Google Scholar]
- Kais, S.M.; Islam, M.S. Perception of Climate Change in Shrimp-Farming Communities in Bangladesh: A Critical Assessment. Int. J. Environ. Res. Public Health 2019, 16, 672. [Google Scholar] [CrossRef] [PubMed]
- Islam, M.S.; Azadi, M.A.; Nasiruddin, M. Water Quality Index of Halda River, Southeastern Bangladesh. Am. J. Environ. Eng. 2020, 10, 59–68. [Google Scholar] [CrossRef]
- Dey, M.; Akter, A.; Islam, S.; Chandra Dey, S.; Choudhury, T.R.; Fatema, K.J.; Begum, B.A. Assessment of Contamination Level, Pollution Risk and Source Apportionment of Heavy Metals in the Halda River Water, Bangladesh. Heliyon 2021, 7, e08625. [Google Scholar] [CrossRef]
- Akter, A.; Ali, M.H. Environmental Flow Requirements Assessment in the Halda River, Bangladesh. Hydrol. Sci. J. 2012, 57, 326–343. [Google Scholar] [CrossRef]
- Sultana, M.A.; Pandit, D.; Barman, S.K.; Tikadar, K.K.; Tasnim, N.; Fagun, I.A.; Hussain, M.A.; Kunda, M. A Review of Fish Diversity, Decline Drivers, and Management of the Tanguar Haor Ecosystem: A Globally Recognized Ramsar Site in Bangladesh. Heliyon 2022, 8, e11875. [Google Scholar] [CrossRef]
- Kadir, A.; Ahmed, Z.; Uddin, M.M.; Xie, Z.; Kumar, P. Integrated Approach to Quantify the Impact of Land Use and Land Cover Changes on Water Quality of Surma River, Sylhet, Bangladesh. Water 2021, 14, 17. [Google Scholar] [CrossRef]
- Bhatnagar, A.; Singh, G. Culture Fisheries in Village Ponds: A Multi-Location Study in Haryana, India. Agric. Biol. J. N. Am. 2010, 1, 961–968. [Google Scholar] [CrossRef]
- Bhatnagar, A.; Devi, P. Water Quality Guidelines for the Management of Pond Fish Culture. Int. J. Environ. Sci. 2013, 3, 1980–2009. [Google Scholar] [CrossRef]
- Bhuyan, M.S.; Bakar, M.A.; Akhtar, A.; Hossain, M.B.; Islam, M.S. Analysis of Water Quality of the Meghna River Using Multivariate Analyses and Rpi. J. Asiat. Soc. Bangladesh Sci. 2017, 43, 23–35. [Google Scholar] [CrossRef]
- Aziz, M.S.B.; Hasan, N.A.; Mondol, M.M.R.; Alam, M.M.; Haque, M.M. Decline in Fish Species Diversity Due to Climatic and Anthropogenic Factors in Hakaluki Haor, an Ecologically Critical Wetland in Northeast Bangladesh. Heliyon 2021, 7, e05861. [Google Scholar] [CrossRef]
- Real, M.K.H.; Khanam, N.; Mia, M.Y.; Nasreen, M. Assessment of Water Quality and Microbial Load of Dhaleshwari River Tangail, Bangladesh. Adv. Microbiol. 2017, 07, 523–533. [Google Scholar] [CrossRef]
- Hossen, B.; Yabar, H.; Faruque, M.J. Exploring the Potential of Soil Salinity Assessment through Remote Sensing and GIS: Case Study in the Coastal Rural Areas of Bangladesh. Land 2022, 11, 1784. [Google Scholar] [CrossRef]
- Rakib, M.S.I.; Tuhin, T.H.; Tajik, M.A.; Putul, I.Z.; Tuhin, M.T.H.; Tajik, M.A.; Zuthi, M.F.R. Assessment of Salinity Content in Halda River. In Proceedings of the International Conference on Engineering Research and Education, Sylhet 3114, Bangladesh, 26–28 February 2021. [Google Scholar]
- Asaduzzaman, M.; Hossain, M.A.; Mian, S.; Iqbal, M.M. Effects of Salinity on Growth Performance and Blood Parameters of Butter Catfish, Ompok Bimaculatus. Aquat. Sci. Eng. 2022, 37, 58–63. [Google Scholar] [CrossRef]
- Armstead, M.Y.; Bitzer-Creathers, L.; Wilson, M. The Effects of Elevated Specific Conductivity on the Chronic Toxicity of Mining Influenced Streams Using Ceriodaphnia Dubia. PLoS ONE 2016, 11, e0165683. [Google Scholar] [CrossRef]
- Grzywna, A.; Sender, J. The Assessment of the Amount of Water Pollution and Its Suitability for Drinking of the Tyśmienica River Basin, Poland. Environ. Monit. Assess. 2021, 193, 315. [Google Scholar] [CrossRef]
- Karim, M.A.; Uddin, M.H.; Barua, S.; Nath, B.; Chowdhury, A.I.; Hoque, M.A.; Rahman, I.M.M. Pollution Source Identification of Halda River Water Using Field Observation, Laboratory Analysis and GIS Technique. Orient. J. Chem. 2019, 35, 1480–1490. [Google Scholar] [CrossRef]
- Howladar, M.F.; Chakma, E.; Jahan Koley, N.; Islam, S.; Al Numanbakth, M.A.; Ahmed, Z.; Chowdhury, T.R.; Akter, S. The Water Quality and Pollution Sources Assessment of Surma River, Bangladesh Using, Hydrochemical, Multivariate Statistical and Water Quality Index Methods. Groundw. Sustain. Dev. 2021, 12, 100523. [Google Scholar] [CrossRef]
- Bhuyain, A.S.M.S.R.; Bhattacharjee, D.; Hasan, M.; Kumar Sarker, U.; Author, C.; Motaher Hossain, M.; Kubra Mim, K. Seasonal Variation of Water Quality Parameters of the Surma River in Sylhet Region, Bangladesh. Int. J. Fish. Aquat. Stud. 2020, 8, 212–216. [Google Scholar]
- Mamun, S.; Roy, S.; Rahaman, M.; Jahan, M.; Islam, M. Status of Fisheries Resources and Water Quality of Tanguar Haor. J. Environ. Sci. Nat. Resour. 2015, 6, 103–106. [Google Scholar] [CrossRef]
- Akhtar, A.; Islam, M.T.; Islam, M.S.; Mia, M.M.; Bhuyan, M.S.; Kibria, M.M.; Muhammad Sharif, A.S.; Kamal, A.H.M. Risk and Coping Mechanisms of the Carp Spawn Fishing Community of the Halda River, Bangladesh. Bangladesh J. Zool. 2017, 45, 85–96. [Google Scholar] [CrossRef]
- Mannan, A. Stratigraphic Evolution and Geochemistry of the Neogene Surma Group, Surma Basin, Sylhet; Department of Geology, University of Oulu: Finland Oulu, Finland, 2002; ISBN 9514267117. [Google Scholar]
- Master Plan of Haor Area, Volume II: Main Report; Centre for Environemtal and Geographic Information Services, Government of the People’s Republic of Bangladesh, Ministry of Water Resources, Bangladesh Haor and Wetland Development Board: Dhaka, Bangladesh, 2012; Volume 2.
Disclaimer/Publisher’s Note: The statements, opinions and data contained in all publications are solely those of the individual author(s) and contributor(s) and not of MDPI and/or the editor(s). MDPI and/or the editor(s) disclaim responsibility for any injury to people or property resulting from any ideas, methods, instructions or products referred to in the content. |
© 2023 by the authors. Licensee MDPI, Basel, Switzerland. This article is an open access article distributed under the terms and conditions of the Creative Commons Attribution (CC BY) license (https://creativecommons.org/licenses/by/4.0/).