Effect of Water Content on Strength of Alluvial Silt in The Lower Yellow River
Abstract
1. Introduction
2. Test Equipment and Method
2.1. SWCC Test
2.2. Direct Shear Test of Unsaturated Soil
3. Test Result and Analysis
3.1. SWCC Test
3.1.1. SWCC Test Results
3.1.2. SWCC Model Fitting
3.2. Direct Shear Test
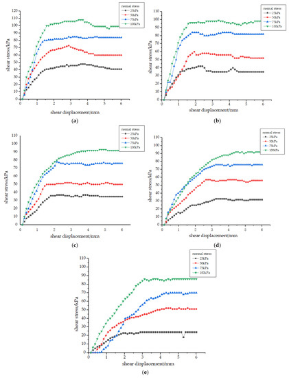
3.2.1. Direct Shear Test Results
3.2.2. Effect of Moisture Content on Shear Strength Parameters
3.3. Prediction of Shear Strength Parameters of Unsaturated Silt in the Lower Yellow River
3.3.1. Study on the Effective Stress Parameters χ
3.3.2. Prediction of Effective Stress Parameters χ of Unsaturated Silt in The Lower Yellow River
3.3.3. Prediction of Shear Strength of Unsaturated Silt in The Lower Yellow River
4. Conclusions
- The drying curve of silt samples from the lower Yellow River can be fitted by using the VG model, and the fitting parameters are as follows: a = 13.699 (kPa−1), m = 0.554, n = 2.241, and Sr = 9.965 (%);
- As moisture content changes from a lower state to a higher state, the shear displacement and shear stress curves show shear softening and shear hardening behavior, respectively;
- Moisture content has a nonlinear inverse relationship with cohesion. The increase in moisture content results in a variation of friction angle and no clear law for this variation is defined. Furthermore, compared with the internal friction angle, moisture content has a greater influence on cohesion;
- The relationship between effective stress parameters and the degree of saturation of the silt in the lower Yellow River is proposed and validated by tests on the specific sample material in this study, which can be expressed as follows:
- 5.
- Based on the Bishop’s shear strength equation, this study suggests an empirical equation of shear strength for silt in the lower Yellow River channel, which includes the function of cohesion, friction angle and suction. The shear strength can be evaluated at the corresponding suction with a certain cohesion and friction angle, by using the equation below.
Author Contributions
Funding
Data Availability Statement
Acknowledgments
Conflicts of Interest
References
- Shang, Q.; Yao, Z.; Liu, S. Research on the characteristics of soils for road engineering in the Yellow River Delta Region. J. Highw. Transp. Res. Dev. 1996, 13, 10–15. [Google Scholar]
- Xie, D. Thinking of soil mechanics in the 21st century. CJGE 1997, 4, 111–114. [Google Scholar]
- Xie, D.; Feng, Z. On some basic views in the study of effective stress in unsaturated soils. CJGE 2006, 2, 170–173. [Google Scholar]
- Wang, H.; Meng, X.; Lin, C. Research on the main issues and key work of ecological protection and high-quality development in the Yellow River Basin. China Water Resour. 2021, 18, 6–8. [Google Scholar]
- Zheng, M.; Li, Z.; Liu, L.; Zhang, Q. Discussion on ecological protection measures in Yellow River Basin. Water Resour. Dev. Res. 2012, 12, 65–69. [Google Scholar]
- Scholtès, L.; Hicher, P.Y.; Nicot, F.; Chareyre, B.; Darve, F. On the capillary stress tensor in wet granular materials. Int. J. Numer. Anal. Met. 2009, 33, 1289–1313. [Google Scholar] [CrossRef]
- Bishop, A.W.; Alpan, I.; Blight, G.E. Factors controlling the shear strenth of partly saturated cohesive soil. ASCE Conf. Shear Strength Cohesive Soils 1960, 503, 503–532. [Google Scholar]
- Khalili, N.; Geiser, F.; Blight, G.E. Effective stress in unsaturated soils: Review with new evidence. Int. J. Geomech. 2004, 4, 115–126. [Google Scholar] [CrossRef]
- Lin, H.; Li, H.; Yu, Y.; Lu, H. Effect of matric suction on shear strength of unsaturated soils. Rock Soil Mech. 2007, 9, 1931–1936. [Google Scholar]
- Sheng, D.; Zhou, A.; Fredlund, D.G. Shear strength criteria for unsaturated soils. Geotech. Geol. Eng. 2011, 29, 145–159. [Google Scholar] [CrossRef]
- Fredlund, D.G.; Morgenstern, N.R.; Widger, R.A. Shear strength of unsaturated soils. Can. Geotech. J. 1978, 15, 313–321. [Google Scholar] [CrossRef]
- Al-Aqtash, U.; Bandini, P. Prediction of unsaturated shear strength of an adobe soil from the soil–water characteristic curve. Constr. Build. Mater. 2015, 98, 892–899. [Google Scholar] [CrossRef]
- Huang, Y.; Zhang, Y. Soil-water characteristic curves and structural strength theory for unsaturated soils. Rock Soil Mech. 2002, 3, 268–271, 277. [Google Scholar]
- Guo, L.; Hu, B.; Song, Y.; Zhang, G. Comparative study on shear strength prediction of unsaturated soils by soil-water characteristic curves. J. Eng. Geol. 2013, 21, 849–856. [Google Scholar]
- Zhang, T.; Le, J.; Zhang, J. Influence of dry-wet cycle on silt roadbed strength in eastern Henan and its prediction. Highway 2016, 61, 200–206. [Google Scholar]
- Zhang, J.; Liu, Z.; Zhang, J.R. Experimental study on hydraulic and mechanical properties of unsaturated silt in eastern Henan Province. Highway 2021, 66, 292–296. [Google Scholar]
- Huang, K.; Wan, J.; Chen, G.; Zeng, Y. Testing study of relationship between moisture content and shear strength of unsaturated soils. Rock Soil Mech. 2012, 33, 2600–2604. [Google Scholar]
- Ding, X.; Ma, L.; Lin, W.; Jin, Y.; Li, Y.; Wang, Z. Experimental study on pore structure and soil-water characteristic curve of unsaturated remolded weakly expanding soil. J. Rock. Mech. Eng. 2022, 41, 3081–3090. [Google Scholar]
- Shen, C.; Fang, X.; Wang, H.; Sun, S.; Guo, J. Effects of suction, moisture content and dry density on shear strength of remolded unsaturated soils. Rock Soil Mech. 2009, 30, 1347–1351. [Google Scholar]
- Bishop, A.W.; Donald, I.B. Experimental study of partly saturated soil in triaxial apparatus. In Proceedings of the 15th International Conference on Soil Mechanics and Foundation Engineering, Mexico City, Mexico, 29 August 1969; Volume 7, pp. 13–21. [Google Scholar]
- Perez-Garcia, N.; Houston, S.L.; Houston, W.N.; Padilla, J.M. An oedometer-type pressure plate SWCC apparatus. Geotech. Test. J. 2008, 31, 115–123. [Google Scholar]
- Ye, Y.; Zhou, L.; Liu, X. Influence of pervious stone on drainage of Geo-experts soil-water characteristic curve pressure plate instrument. Coal. Geol. Explor. 2015, 43, 74–78. [Google Scholar]
- Sun, S.; Xu, H. Determining the Shear Strength of Unsaturated Silt. Exp. Unsatur. Soil. Mech. 2007, 112, 195–206. [Google Scholar]
- Zhang, J.; Yang, S.; Tan, Z.; Li, X. Probabilistic prediction model of soil-water characteristic curve for unsaturated sand based on particle size distribution curve. J. Eng. Geol. 2022, 30, 301–308. [Google Scholar]
- Miguel, M.G.; Bonder, B.H. Soil–water characteristic curves obtained for a colluvial and lateritic soil profile considering the macro and micro porosity. Geotech. Geol. Eng. 2012, 30, 1405–1420. [Google Scholar] [CrossRef]
- Fang, W.; Li, W.; Zeng, X. Nonlinear shear strength of unsaturated soils based on Van Genuchten model. CJAM 2019, 36, 1220–1226+1266. [Google Scholar]
- Li, S.; Xie, Y.; Xin, Y.; Liu, G.; Wang, W.T.; Gao, X.F.; Zhai, J.R.; Li, J. Validation and Modification of the Van Genuchten Model for Eroded Black Soil in Northeastern China. Water 2020, 12, 2078. [Google Scholar] [CrossRef]
- Russo, D. Determining soil hydraulic properties by parameter estimation: On the selection of a model for the hydraulic properties. Water Resour. Res. 1988, 24, 453–459. [Google Scholar] [CrossRef]
- Kosugi, K. Three-parameter lognormal distribution model for soil water retention. Water Resour. Res. 1994, 30, 891–901. [Google Scholar] [CrossRef]
- Zhen, X.; Wang, H.; Li, Y.; Zhu, J. A method for drawing soil-water characteristic curves using Origin 8.0. Ningxia Eng. Technol. 2016, 15, 262–265, 269. [Google Scholar]
- Gan, J.K.M.; Fredlund, D.G.; Rahardjo, H. Determination of the shear strength parameters of an unsaturated soil using the direct shear test. Can. Geotech. J. 1988, 25, 500–510. [Google Scholar] [CrossRef]
- Li, X.S. Effective stress in unsaturated soil: A microstructural analysis. Geotechnique 2003, 2, 273–277. [Google Scholar] [CrossRef]
- Khalili, N.; Khabbaz, M.H. A unique relationship for the determination of the shear strength of unsaturated soils. Geotechnique 1998, 48, 681–687. [Google Scholar] [CrossRef]
- Vanapalli, S.K.; Fredlund, D.G.; Pufahl, D.E.; Clifton, A.W. Model for the Prediction of Shear Strength with respect to Soil Suction. Can. Geotech. J. 1996, 33, 379–392. [Google Scholar] [CrossRef]









| Yellow River Silt | Natural Moisture Content ω/% | Natural Gravity Gs/kN/m3 | Void Ratio e | Natural Saturation S′/% |
| 15.38 | 25.10 | 0.663 | 58.23 |
| Fitting Parameters | a/kPa−1 | m | n | Sr/% |
|---|---|---|---|---|
| VG model fitting values | 0.0730 | 0.554 | 2.241 | 9.965 |
| Moisture Content ω (%) | Degree of Saturation S (%) | Normal Stress σ (kPa) | τmax (kPa) | ctotal (kPa) | φtotal (°) |
|---|---|---|---|---|---|
| 5.30% | 20% | 25 | 48 | 30.5 | 37.52 |
| 50 | 73 | ||||
| 75 | 85 | ||||
| 100 | 108 | ||||
| 10.60% | 40% | 25 | 42 | 21.5 | 38.24 |
| 50 | 58 | ||||
| 75 | 84 | ||||
| 100 | 99 | ||||
| 15.85% | 60% | 25 | 37 | 17 | 37.67 |
| 50 | 53 | ||||
| 75 | 78 | ||||
| 100 | 93 | ||||
| 21.10% | 80% | 25 | 33 | 15.5 | 38.10 |
| 50 | 57 | ||||
| 75 | 76 | ||||
| 100 | 92 | ||||
| 37.86% | 100% | 25 | 24 | 7 | 39.21 |
| 50 | 52 | ||||
| 75 | 70 | ||||
| 100 | 86 |
| Name | Unsaturated Soil Strength Equation is Commonly Used Currently | Meaning of Physical Quantity |
|---|---|---|
| The Effective Stress Parameters in the Shear Strength Equation Are Summarized | ||
| Bishop’s shear strength equation [7] | τf is shear stress at failure; c′ is effective cohesion of saturated soil; σ is net normal stress; ua is the pore water pressure; uw is the pore gas pressure; χ is effective stress parameters; φ′ is effective angle of internal friction of saturated soil. | |
| Khalili’s equation for predicting additional suction strength from soil–water characteristics curves [29] | θ(ψ) is volumetric water content under different suction forces which is represented by the soil–water characteristics curve equation; θs is saturated volumetric water content; K is a fitting parameter for effective stress. | |
| Vanapalli and Fredlund’s equation for unsaturated soil strength at different moisture content [30] | θ is volumetric water content; θr is residual volumetric water content; Se is the effective degree of saturation; Sr is the residual degree of saturation. | |
| Degree of Saturation S/% | Matric Suction/kPa | Normal Stress /kPa | Shear Strength/kPa | Angle of Internal Friction/° | Cohesion/kPa | Effective Stress Parameters χ | Average Value of χ |
|---|---|---|---|---|---|---|---|
| 0 | / | / | / | / | / | / | 0.000 |
| 20 | 79.52 | 25 | 48 | 37.52 | 30.5 | 0.087 | 0.115 |
| 50 | 73 | 0.182 | |||||
| 75 | 85 | 0.064 | |||||
| 100 | 108 | 0.126 | |||||
| 40 | 31.04 | 25 | 42 | 38.24 | 21.5 | 0.319 | 0.286 |
| 50 | 58 | 0.168 | |||||
| 75 | 84 | 0.425 | |||||
| 100 | 99 | 0.233 | |||||
| 60 | 18.19 | 25 | 37 | 37.67 | 17 | 0.548 | 0.498 |
| 50 | 53 | 0.313 | |||||
| 75 | 78 | 0.719 | |||||
| 100 | 93 | 0.413 | |||||
| 80 | 10.69 | 25 | 33 | 38.10 | 15.5 | 0.585 | 0.836 |
| 50 | 57 | 1.110 | |||||
| 75 | 76 | 1.038 | |||||
| 100 | 92 | 0.609 | |||||
| 100 | 0 | / | / | 39.21 | 7 | / | 1.000 |
Publisher’s Note: MDPI stays neutral with regard to jurisdictional claims in published maps and institutional affiliations. |
© 2022 by the authors. Licensee MDPI, Basel, Switzerland. This article is an open access article distributed under the terms and conditions of the Creative Commons Attribution (CC BY) license (https://creativecommons.org/licenses/by/4.0/).
Share and Cite
Cheng, Y.-Y.; Gao, X.-G.; Liu, T.-H.; Li, L.-X.; Du, W.; Hamad, A.; Wang, J.-P. Effect of Water Content on Strength of Alluvial Silt in The Lower Yellow River. Water 2022, 14, 3231. https://doi.org/10.3390/w14203231
Cheng Y-Y, Gao X-G, Liu T-H, Li L-X, Du W, Hamad A, Wang J-P. Effect of Water Content on Strength of Alluvial Silt in The Lower Yellow River. Water. 2022; 14(20):3231. https://doi.org/10.3390/w14203231
Chicago/Turabian StyleCheng, Yang-Yang, Xu-Guang Gao, Tai-Heng Liu, Lian-Xiang Li, Wei Du, Abu Hamad, and Ji-Peng Wang. 2022. "Effect of Water Content on Strength of Alluvial Silt in The Lower Yellow River" Water 14, no. 20: 3231. https://doi.org/10.3390/w14203231
APA StyleCheng, Y.-Y., Gao, X.-G., Liu, T.-H., Li, L.-X., Du, W., Hamad, A., & Wang, J.-P. (2022). Effect of Water Content on Strength of Alluvial Silt in The Lower Yellow River. Water, 14(20), 3231. https://doi.org/10.3390/w14203231

