Distribution of Zooplankton Functional Groups in the Chaohu Lake Basin, China
Abstract
1. Introduction
2. Materials and Methods
2.1. Introduction to the Study Area
2.2. Sample Collection
2.3. Species Identification and Counting
2.4. Division of ZFGs
2.5. Determination of Water Physicochemical Properties
2.6. Data Analysis
3. Results
3.1. Spatiotemporal Distribution Patterns of Physical and Chemical Indices
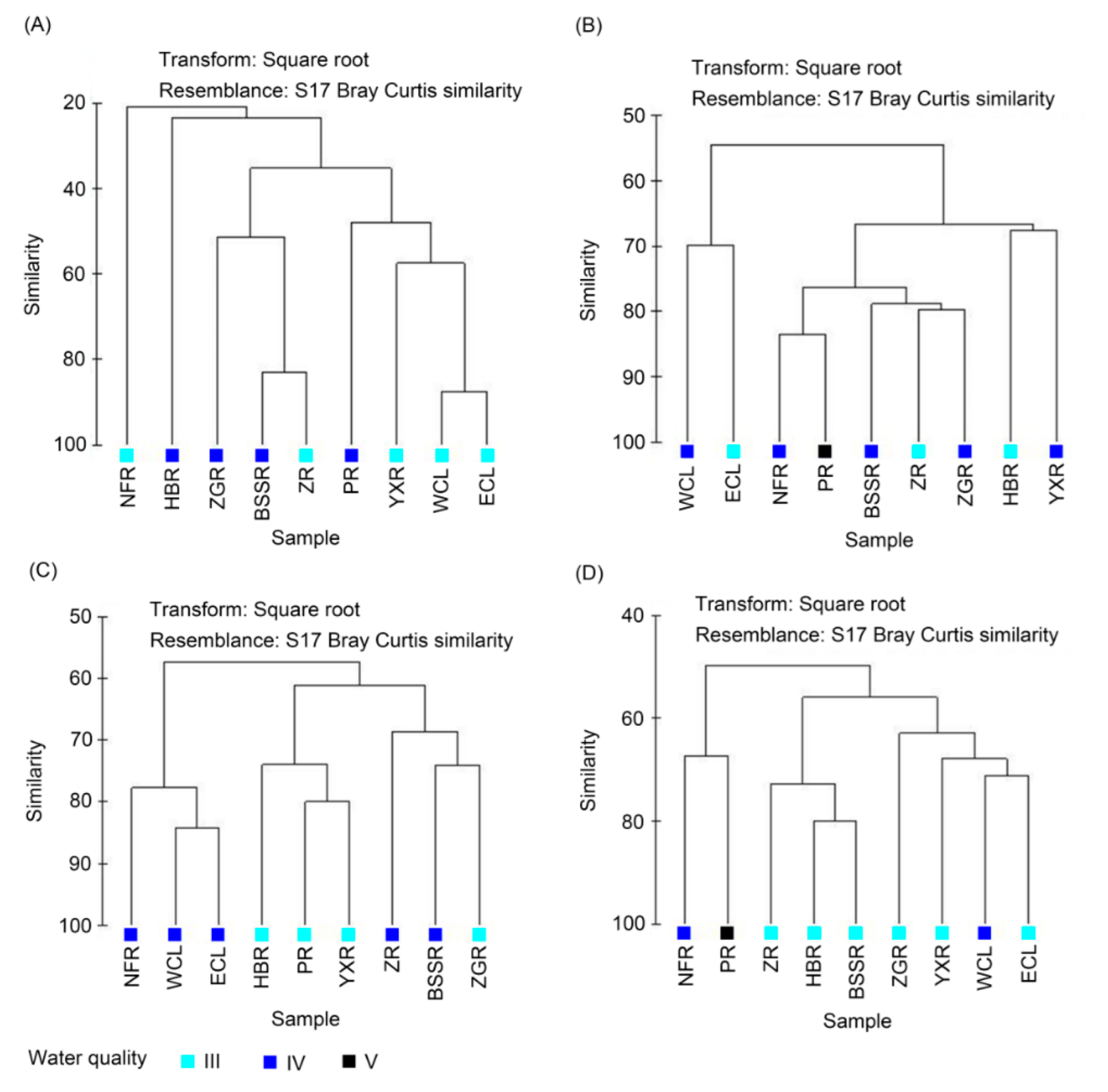
3.2. Spatiotemporal Distribution Patterns of ZFGs
3.3. Correlation between ZFGs and Environmental Factors
4. Discussion
5. Conclusions
Supplementary Materials
Author Contributions
Funding
Institutional Review Board Statement
Informed Consent Statement
Data Availability Statement
Conflicts of Interest
References
- Leoni, B. Zooplankton predators and prey: Body size and stable isotope to investigate the pelagic food web in a deep lake (Lake Iseo, Northern Italy). J. Limnol. 2016, 76, 85–93. [Google Scholar] [CrossRef]
- Lira, A.; Angelini, R.; Le Loc’h, F.; Ménard, F.; Lacerda, C.; Frédou, T.; Frédou, F.L. Trophic flow structure of a neotropical estuary in northeastern Brazil and the comparison of ecosystem model indicators of estuaries. J. Marine Syst. 2018, 182, 31–45. [Google Scholar] [CrossRef]
- Meshram, D.; Catherine, D.; Badhe, N.; Khedkar, S.; Vijay, R.; Nandy, T. Zooplankton diversity as indicators of pollution in warm monomictic Dal-Nigeen lake. Sust. Wat. Resour. Manag. 2018, 4, 897–904. [Google Scholar] [CrossRef]
- Sakamoto, M.; Nagata, T.; Hanazato, T.; Miyabara, Y.; Ha, J.-Y.; Park, H.-D.; Toda, H.; Oh, H.-J.; Oda, Y.; Chang, K.-H. Long-term zooplankton community records (1996–2017) for Lake Suwa (Japan). Ecol. Res. 2018, 33, 1. [Google Scholar] [CrossRef]
- Stamou, G.; Katsiapi, M.; Moustaka-Gouni, M.; Michaloudi, E. Trophic state assessment based on zooplankton communities in Mediterranean lakes. Hydrobiologia 2019, 844, 83–103. [Google Scholar] [CrossRef]
- Shen, Y.F.; Gu, M.R.; Gong, X.J.; Gu, M.R.; Shi, Z.X.; Wei, Y.X. Modern Biomonitoring Techniques Using Freshwater Microbiota; China Architecture and Building Press: Beijing, China, 1990; pp. 223–510. [Google Scholar]
- Petchey, O.L.; Gaston, K.J. Functional diversity, species richness and community composition. Ecol. Lett. 2002, 5, 402–411. [Google Scholar] [CrossRef]
- Petchey, O.L.; Gaston, K.J. Functional diversity: Backtobasics and looking forward. Ecol. Lett. 2006, 9, 741–758. [Google Scholar] [CrossRef]
- Reynolds, C.S. Vegetation Processes in the Pelagic: A Model for Ecosystem Theory; Ecology Institute: Oldendorf, Germany, 1997; pp. 1–296. [Google Scholar]
- Kruk, C.; Mazzeo, N.; Lacerot, G.; Reynolds, C.S. Classification schemes for phytoplankton: A local validation of a functional approach to the analysis of species temporal replacement. J. Plankton Res. 2002, 24, 901–912. [Google Scholar] [CrossRef]
- Litchman, E.; de Tezanos Pinto, P.; Klausmeier, C.A.; Thomas, M.K.; Yoshiyama, K. Linking traits to species diversity and community structure in phytoplankton. Hydrobiologia 2010, 653, 15–28. [Google Scholar] [CrossRef]
- Görgényi, J.; Tóthmérész, B.; Várbíró, G.; Abonyi, A.; T.-Krasznai, E.; B.-Béres, V.; Borics, G. Contribution of phytoplankton functional groups to the diversity of a eutrophic oxbow lake. Hydrobiologia 2019, 830, 287–301. [Google Scholar] [CrossRef]
- Allain, J.B.; Kerri, F.; Beatrix, E.B. Functional diversity of crustacean zooplankton communities: Towards a trait-based classification. Freshw. Biol. 2007, 52, 796–813. [Google Scholar] [CrossRef]
- Pratt, J.R.; Cairns, J., Jr. Functional groups in the protozoa: Roles in differing ecosystems. J. Protozool. 1985, 32, 415–423. [Google Scholar] [CrossRef]
- Sikder, M.N.A.; Al, M.A.; Xu, G.J.; Hu, G.; Xu, H. Spatial variations in trophic-functional patterns of periphytic ciliates and indications to water quality in coastal waters of the Yellow Sea. Environ. Sci. Pollu.t Res. 2019, 26, 2592–2602. [Google Scholar] [CrossRef] [PubMed]
- Wen, X.L.; Xie, P.; Zhou, J.; Xi, Y.L. Reponses of the annual dynamics of functional feeding groups and dominant populations of rotifers to environmental factors in Lake Tingtang. Acta Ecol. Sin. 2017, 37, 8029–8038, (In Chinese with English abstract). [Google Scholar] [CrossRef]
- An, R.; Wang, F.Y.; Yu, H.X.; Ma, C.X. Seasonal dynamics of zooplankton functional groups and their relationships with environmental factors in the sanhuanpao wetland reserve. Acta Ecol. Sin. 2017, 37, 1851–1860. [Google Scholar] [CrossRef][Green Version]
- Ma, C.; Mwagona, P.C.; Yu, H.; Sun, X.; Liang, L.; Mahboob, S.; Al-Ghanim, K.A. Seasonal dynamics of zooplankton functional group and its relationship with physicochemical variables in high turbid nutrientrich Small Xingkai Wetland Lake, Northeast China. J. Freshw. Ecol. 2019, 34, 65–79. [Google Scholar] [CrossRef]
- Wang, S.H.; Jiang, X.; Jin, X.C. Classification and pollution characteristic analysis for inflow rivers of Chaohu Lake. Environ. Sci. 2011, 32, 2834–2839. [Google Scholar]
- Wu, Z.S.; Lai, X.J.; Li, K.Y. Water quality assessment of rivers in Lake Chaohu Basin (China) using water quality index. Ecol. Indic. 2021, 121, 107021. [Google Scholar] [CrossRef]
- Huang, J.; Zhang, Y.; Huang, Q.; Gao, J. When and where to reduce nutrient for controlling harmful algal blooms in large eutrophic lake Chaohu, China? Ecol. Indic. 2019, 89, 808–817. [Google Scholar] [CrossRef]
- Wu, L.; Zhou, M.H.; Shen, Z.J.; Geng, M.; Feng, W. Characteristics of zooplankton community and water quality assessment in Chaohu Lake and its tributaries. J. Zool. 2017, 52, 792–811. [Google Scholar] [CrossRef]
- Xu, M.Q.; Cao, H.; Xie, P.; Deng, D.; Feng, W.; Xu, J. Use of PFU protozoan community structural and functional characteristics in assessment of water quality in Chaohu Lake, China. J. Environ. Monit. 2005, 7, 670–674. [Google Scholar] [CrossRef] [PubMed]
- Ni, J.; Yu, Y.; Feng, W.; Yan, Q.; Pan, G.; Yang, B.; Zhang, X.; Li, X. Impacts of algal blooms removal by chitosan-modified soils on zooplankton community in Taihu Lake, China. J. Environ. Sci. 2010, 22, 1500–1507. [Google Scholar] [CrossRef]
- Chiang, S.C.; Du, N.S. Fauna Sinica: Crustacean Freshwater Cladocera; Science Press: Beijing, China, 1979; pp. 1–273. [Google Scholar]
- Zhang, Z.S.; Huang, X.F. A Manual for Freshwater Plankton Research; Science Press: Beijing, China, 1991; pp. 1–427. [Google Scholar]
- Research Group of Carcinology; Institute of Zoology; Chinese Academy of Sciences. Fauna Sinica: Crustacean; Freshwater Copepoda; Science Press: Beijing, China, 1979; pp. 1–417. [Google Scholar]
- Virro, T.; Haberman, J.; Haldna, M.; Blank, K. Diversity and structure of the winter rotifer assemblage in a shallow eutrophic northern temperate Lake Võrtsjärv. Aquat. Ecol. 2009, 43, 755–764. [Google Scholar] [CrossRef]
- Vinten, A.J.A.; Artz, R.R.E.; Thomas, N.; Potts, J.M.; Avery, L.; Langan, S.J.; Watson, H.; Cook, Y.; Taylor, C.; Abel, C.; et al. Comparison of microbial community assays for the assessment of stream biofilm ecology. J. Microbiol. Methods 2011, 85, 190–198. [Google Scholar] [CrossRef] [PubMed]
- Huang, X.F. Survey, Observation and Analysis of Lake Ecology; China Standard Press: Beijing, China, 2000; pp. 1–242. [Google Scholar]
- Wang, S.B.; Shi, Z.J.; Geng, H.; Wu, L.; Cao, Y. Effects of environmental factors on the functional diversity of crustacean zooplankton community. J. Lake Sci. 2021, 33, 1220–1229. [Google Scholar] [CrossRef]
- McGill, B.J.; Enquist, B.J.; Weiher, E.; Westoby, M. Rebuilding community ecology from functional traits. Trends Ecol. Evol. 2006, 21, 178–185. [Google Scholar] [CrossRef]
- Cadotte, M.W.; Carscadden, K.; Mirotchnick, N. Beyond species: Functional diversity and the maintenance of ecological processes and services. J. Appl. Ecol. 2011, 48, 1079–1087. [Google Scholar] [CrossRef]
- Benedetti, F.; Vogt, M.; Righetti, D.; Guilhaumon, F.; Ayata, S.-D. Do functional groups of planktonic copepods differ in their ecological niches? J. Biogeogr. 2018, 45, 604–616. [Google Scholar] [CrossRef]
- Hébert, M.-P.; Beisner, B.E.; Maranger, R. Linking zooplankton communities to ecosystem functioning: Toward an effect-trait frame work. J. Plankton Res. 2016, 39, 3–12. [Google Scholar] [CrossRef]
- Hébert, M.P.; Beisner, B.E.; Maranger, R. Ameta-analysis of zooplankton functional traits influencing ecosystem function. Ecology 2016, 97, 1069–1080. [Google Scholar] [CrossRef]
- Litchman, E.; Ohman, M.D.; Kiørboe, T. Trait-based approaches to zooplankton communities. J. Plankton Res. 2013, 35, 473–484. [Google Scholar] [CrossRef]
- Fenchel, T. The ecology of marine microbenthos IV. Structure and function of the benthic ecosystem, its chemical and physical factors and the microfauna commuities with special reference to the ciliated protozoa. Ophelia 1969, 6, 1–182. [Google Scholar] [CrossRef]
- Nogrady, T. Rotifera: Volume 1: Biology, Ecology and Systematics: Guides to the Identification of the Microinvertebrates of the Continental Waters of the World; SPB Academic Publications: Amsterdam, The Netherlands, 1993. [Google Scholar]
- Finlay, B.J.; Esteban, G.F. Freshwater protozoa: Biodiversity and ecological function. Biodivers. Conserv. 1998, 7, 1163–1186. [Google Scholar] [CrossRef]
- Hillbricht-Ilkowska, A. Response of planktonic rotifers to the eutrophication process and to the autumnal shift of blooms in lake Biwa, Japan. I. changes in abundance and composition of rotifers. Jpn. J. Limnol. (Rikusuigaku Zasshi) 1983, 44, 93–106. [Google Scholar] [CrossRef]
- Lokko, K.; Virro, T.; Kotta, J. Seasonal variability in the structure and functional diversity of psammic rotifer communities: Role of environmental parameters. Hydrobiologia 2017, 796, 287–307. [Google Scholar] [CrossRef]
- Zhang, W.S.; Li, H.P.; Xiao, Q.T.; Li, X. Urban rivers are hotspots of riverine greenhouse gas (N2O, CH4, CO2) emissions in the mixed-landscape Chaohu Lake Basin. Water Res. 2020, 189, 116624. [Google Scholar] [CrossRef]
- Minakshi, N.G.; Madhuri, K.P. Survey of rotifers to evaluate the water quality of the river Gadhi and its reservoir. Ecol. Environ. Conserv. 2013, 19, 417–423. [Google Scholar]
- Neto, A.J.G.; da Silva, L.C.; Saggio, A.A.; Rocha, O. Zooplankton communities as eutrophication bioindicators in tropical reservoirs. Biota Neotropica 2014, 14, e20140018. [Google Scholar] [CrossRef][Green Version]
- Duggan, C.; Green, J.D.; Shiel, R.J. Distribution of rotifers in North Island, New Zealand, and their potential use as bioindicators of taketrophic state. Hydrobiologia 2001, 446, 155–164. [Google Scholar] [CrossRef]
- Lin, Q.Q.; Zhao, S.Y.; Han, B.P. Rotifer distribution in tropical reservoirs, Guangdong Province, China. Acta Ecol. Sin. 2005, 25, 1123–1131. [Google Scholar] [CrossRef]
- Hulot, F.D.; Lacroix, G.; Lescher-Moutoué, F.; Loreau, M. Functional diversity governs ecosystem response to nutrient enrichment. Nature 2000, 405, 340–344. [Google Scholar] [CrossRef] [PubMed]
- Vogt, R.J.; Peres-Neto, P.R.; Beisner, B.E. Using functional traits to investigate the determinants of crustacean zooplankton community structure. Oikos 2013, 122, 1700–1709. [Google Scholar] [CrossRef]
- Oh, H.J.; Jeong, H.G.; Nam, G.S.; Oda, Y.; Dai, W.; Lee, E.-H.; Kong, D.; Hwang, S.-J.; Chang, K.-H. Comparison of taxon-based and trophi-based response patterns of rotifer community to water quality: Applicability of the rotifer functional group as an indicator of water quality. Anim. Cells Syst. 2017, 21, 133–140. [Google Scholar] [CrossRef] [PubMed]
- Lan, J.; Wu, Y.; Lou, B.; Wang, R.; Chen, J.; Zhuo, H. Spatiotemporal change analysis of permanganate index in the middle and lower mainstem of the Yangtze River since 2004. J. Lake Sci. 2021, 33, 1112–1122. [Google Scholar] [CrossRef]
- Kawabe, M.; Kawabe, M. Temporal and spatial characteristics of chemical oxygen demand in Tokyo Bay. J. Oceanogr. 1997, 53, 19–26. [Google Scholar] [CrossRef]
- Chen, X.; Huang, K.; Zhang, J.; Huang, Q.; Liu, P.; Han, B. Spring community structure of pelagic rotifers in (sub)tropical reservoirs of China: Taxonomic and functional trait-based analysis. J. Lake Sci. 2021, 33, 1490–1499. [Google Scholar] [CrossRef]
- Obertegger, U.; Flaim, G. Taxonomic and functional diversity of rotifers, what do they tell us about community assembly? Hydrobiologia 2018, 823, 79–91. [Google Scholar] [CrossRef]
- Wen, X.; Zhai, P.; Feng, R.; Yang, R.; Xi, Y. Comparative analysis of the spatio-temporal dynamics of rotifer community structure based on taxonomic indices and functional groups in two subtropical lakes. Sci. Rep. 2017, 7, 578. [Google Scholar] [CrossRef]








Publisher’s Note: MDPI stays neutral with regard to jurisdictional claims in published maps and institutional affiliations. |
© 2022 by the authors. Licensee MDPI, Basel, Switzerland. This article is an open access article distributed under the terms and conditions of the Creative Commons Attribution (CC BY) license (https://creativecommons.org/licenses/by/4.0/).
Share and Cite
Wu, L.; Ji, L.; Chen, X.; Ni, J.; Zhang, Y.; Geng, M. Distribution of Zooplankton Functional Groups in the Chaohu Lake Basin, China. Water 2022, 14, 2106. https://doi.org/10.3390/w14132106
Wu L, Ji L, Chen X, Ni J, Zhang Y, Geng M. Distribution of Zooplankton Functional Groups in the Chaohu Lake Basin, China. Water. 2022; 14(13):2106. https://doi.org/10.3390/w14132106
Chicago/Turabian StyleWu, Li, Lei Ji, Xiaojuan Chen, Jiajia Ni, Yan Zhang, and Ming Geng. 2022. "Distribution of Zooplankton Functional Groups in the Chaohu Lake Basin, China" Water 14, no. 13: 2106. https://doi.org/10.3390/w14132106
APA StyleWu, L., Ji, L., Chen, X., Ni, J., Zhang, Y., & Geng, M. (2022). Distribution of Zooplankton Functional Groups in the Chaohu Lake Basin, China. Water, 14(13), 2106. https://doi.org/10.3390/w14132106

