Remediation of PO43− in Water Using Biodegradable Materials Embedded with Lanthanum Oxide Nanoparticles
Abstract
:1. Introduction
2. Materials and Methods
2.1. Reagents and Apparatus
2.2. Instruments
2.3. Synthesis of LONPs
2.4. Preparation of Agar–La
2.5. Preparation of Sponge–La
2.6. Analysis of Sponge–La
2.7. Analysis of PO43−
2.8. Adsorption and Desorption Study
3. Results and Discussion
3.1. Characterization
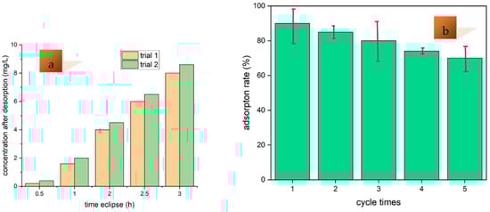
3.2. Adsorption Study
3.3. PO43− Analysis
4. Conclusions
Supplementary Materials
Author Contributions
Funding
Data Availability Statement
Acknowledgments
Conflicts of Interest
Abbreviations
References
- Paul, B.; Bhattacharya, S.S.; Gogoi, N. Primacy of Ecological Engineering Tools for Combating Eutrophication: An Ecohydrological Assessment Pathway. Sci. Total Environ. 2021, 762, 143171. [Google Scholar] [CrossRef]
 - de Raús Maúre, E.; Terauchi, G.; Ishizaka, J.; Clinton, N.; DeWitt, M. Globally Consistent Assessment of Coastal Eutrophication. Nat. Commun. 2021, 12, 6142. [Google Scholar] [CrossRef]
 - Xin, M.; Wang, B.; Xie, L.; Sun, X.; Wei, Q.; Liang, S.; Chen, K. Long-Term Changes in Nutrient Regimes and Their Ecological Effects in the Bohai Sea, China. Mar. Pollut. Bull. 2019, 146, 562–573. [Google Scholar] [CrossRef]
 - Murphy, R.R.; Keisman, J.; Harcum, J.; Karrh, R.R.; Lane, M.; Perry, E.S.; Zhang, Q. Nutrient Improvements in Chesapeake Bay: Direct Effect of Load Reductions and Implications for Coastal Management. Environ. Sci. Technol. 2022, 56, 260–270. [Google Scholar] [CrossRef]
 - Kumar, P.S.; Korving, L.; van Loosdrecht, M.C.M.; Witkamp, G.J. Adsorption as a Technology to Achieve Ultra-Low Concentrations of Phosphate: Research Gaps and Economic Analysis. Water Res. X 2019, 4, 100029. [Google Scholar] [CrossRef]
 - Wang, J.; Yu, Z.; Wei, Q.; Yao, Q. Long-Term Nutrient Variations in the Bohai Sea Over the Past 40 Years. J. Geophys. Res. Ocean. 2019, 124, 703–722. [Google Scholar] [CrossRef] [Green Version]
 - Water Resources Nutrients and Eutrophication. Available online: https://www.usgs.gov/mission-areas/water-resources/science/nutrients-and-eutrophication (accessed on 22 December 2021).
 - Strom, P.F. Technologies to Remove Phosphorus from Wastewater; Rutgers University: New Brunswick, NJ, USA, 2006. [Google Scholar]
 - Zhang, Y.; Luo, P.; Zhao, S.; Kang, S.; Wang, P.; Zhou, M.; Lyu, J. Control and Remediation Methods for Eutrophic Lakes in the Past 30 Years. Water Sci. Technol. 2020, 81, 1099–1113. [Google Scholar] [CrossRef]
 - Liu, R.; Chi, L.; Feng, J.; Wang, X. MOFs-Derived Conductive Structure for High-Performance Removal/Release of Phosphate as Electrode Material. Water Res. 2020, 184, 116198. [Google Scholar] [CrossRef]
 - Boeykens, S.P.; Piol, M.N.; Samudio Legal, L.; Saralegui, A.B.; Vázquez, C. Eutrophication Decrease: Phosphate Adsorption Processes in Presence of Nitrates. J. Environ. Manag. 2017, 203, 888–895. [Google Scholar] [CrossRef]
 - Park, J.Y.; Lee, J.; Go, G.M.; Jang, B.; Cho, H.B.; Choa, Y.H. Removal Performance and Mechanism of Anti-Eutrophication Anions of Phosphate by CaFe Layered Double Hydroxides. Appl. Surf. Sci. 2021, 548, 149157. [Google Scholar] [CrossRef]
 - Awual, M.R. Efficient Phosphate Removal from Water for Controlling Eutrophication Using Novel Composite Adsorbent. J. Clean. Prod. 2019, 228, 1311–1319. [Google Scholar] [CrossRef]
 - Xie, Q.; Li, Y.; Lv, Z.; Zhou, H.; Yang, X.; Chen, J.; Guo, H. Effective Adsorption and Removal of Phosphate from Aqueous Solutions and Eutrophic Water by Fe-Based MOFs of MIL-101. Sci. Rep. 2017, 7, 3316. [Google Scholar] [CrossRef] [PubMed]
 - Huang, X.; Huang, L.; Babu Arulmani, S.R.; Yan, J.; Li, Q.; Tang, J.; Wan, K.; Zhang, H.; Xiao, T.; Shao, M. Research Progress of Metal Organic Frameworks and Their Derivatives for Adsorption of Anions in Water: A Review. Environ. Res. 2022, 204, 112381. [Google Scholar] [CrossRef] [PubMed]
 - Folens, K.; Leus, K.; Nicomel, N.R.; Meledina, M.; Turner, S.; Van Tendeloo, G.; Du Laing, G.; Van Der Voort, P. Fe3O4@MIL-101—A Selective and Regenerable Adsorbent for the Removal of As Species from Water. Eur. J. Inorg. Chem. 2016, 2016, 4395–4401. [Google Scholar] [CrossRef]
 - Li, S.; Liu, M.; Yin, C.; Chen, J.; Yang, X.; Wang, S. Tuning the Structure Flexibility of Metal-Organic Frameworks via Adjusting Precursor Anionic Species for Selective Removal of Phosphorus. Process Saf. Environ. Prot. 2020, 143, 322–331. [Google Scholar] [CrossRef]
 - Zhang, H.; Li, T.; Yang, Z.; Su, M.; Hou, L.; Chen, D.; Luo, D. Highly Efficient Removal of Perchlorate and Phosphate by Tailored Cationic Metal-Organic Frameworks Based on Sulfonic Ligand Linking with Cu-4,4′-Bipyridyl Chains. Sep. Purif. Technol. 2017, 188, 293–302. [Google Scholar] [CrossRef]
 - Banu, H.T.; Karthikeyan, P.; Meenakshi, S. Zr4+ Ions Embedded Chitosan-Soya Bean Husk Activated Bio-Char Composite Beads for the Recovery of Nitrate and Phosphate Ions from Aqueous Solution. Int. J. Biol. Macromol. 2019, 130, 573–583. [Google Scholar] [CrossRef]
 - Zhao, X.; Zhang, Y.; Pan, S.; Zhang, X.; Zhang, W.; Pan, B. Utilization of Gel-Type Polystyrene Host for Immobilization of Nano-Sized Hydrated Zirconium Oxides: A New Strategy for Enhanced Phosphate Removal. Chemosphere 2021, 263. [Google Scholar] [CrossRef]
 - Koh, K.Y.; Yang, Y.; Chen, J.P. Critical Review on Lanthanum-Based Materials Used for Water Purification through Adsorption of Inorganic Contaminants. Crit. Rev. Environ. Sci. Technol. 2022, 52, 1773–1823. [Google Scholar] [CrossRef]
 - Pearson, R.G. Hard and Soft Acids and Bases—the Evolution of a Chemical Concept. Coord. Chem. Rev. 1990, 100, 403–425. [Google Scholar] [CrossRef]
 - Liu, M.; Li, S.; Tang, N.; Wang, Y.; Yang, X.; Wang, S. Highly Efficient Capture of Phosphate from Water via Cerium-Doped Metal-Organic Frameworks. J. Clean. Prod. 2020, 265, 121782. [Google Scholar] [CrossRef]
 - Min, X.; Wu, X.; Shao, P.; Ren, Z.; Ding, L.; Luo, X. Ultra-High Capacity of Lanthanum-Doped UiO-66 for Phosphate Capture: Unusual Doping of Lanthanum by the Reduction of Coordination Number. Chem. Eng. J. 2019, 358, 321–330. [Google Scholar] [CrossRef]
 - Wang, Z.; Shen, D.; Shen, F.; Li, T. Phosphate Adsorption on Lanthanum Loaded Biochar. Chemosphere 2016, 150, 1–7. [Google Scholar] [CrossRef] [PubMed]
 - Zhou, Z.; Lin, C.; Li, S.; Liu, S.; Li, F.; Yuan, B. Four Kinds of Capping Materials for Controlling Phosphorus and Nitrogen Release from Contaminated Sediment Using a Static Simulation Experiment. Front. Environ. Sci. Eng. 2021, 16, 29. [Google Scholar] [CrossRef]
 - Ribet, S.M.; Shindel, B.; dos Reis, R.; Nandwana, V.; Dravid, V.P. Phosphate Elimination and Recovery Lightweight (PEARL) Membrane: A Sustainable Environmental Remediation Approach. Proc. Natl. Acad. Sci. USA 2021, 118, e2102583118. [Google Scholar] [CrossRef] [PubMed]
 - Zhou, Y.; Wang, Y.; Dong, S.; Hao, H.; Li, J.; Liu, C.; Li, X.; Tong, Y. Phosphate Removal by a La(OH)3 Loaded Magnetic MAPTAC-Based Cationic Hydrogel: Enhanced Surface Charge Density and Donnan Membrane Effect. J. Environ. Sci. 2022, 113, 26–39. [Google Scholar] [CrossRef] [PubMed]
 - Zheng, X.; Sun, W.; Wei, N.; Bian, T.; Zhang, Y.; Li, L.; Zhang, Y.; Li, Z.; Ou, H. Bionic-Inspired La–Zn(4,4′-Dipy)(OAc)2/Bacterial Cellulose Composite Membrane for Efficient Separation of Nitrogen and Phosphorus in Water. Mater. Chem. Phys. 2021, 274, 125162. [Google Scholar] [CrossRef]
 - Song, Y.; Song, X.; Sun, Q.; Wang, S.; Jiao, T.; Peng, Q.; Zhang, Q. Efficient and Sustainable Phosphate Removal from Water by Small-Sized Al(OH)3 Nanocrystals Confined in Discarded Artemia Cyst-Shell: Ultrahigh Sorption Capacity and Rapid Sequestration. Sci. Total Environ. 2022, 803, 150087. [Google Scholar] [CrossRef]
 - Fang, L.; Wu, B.; Chan, J.K.M.; Lo, I.M.C. Lanthanum Oxide Nanorods for Enhanced Phosphate Removal from Sewage: A Response Surface Methodology Study. Chemosphere 2018, 192, 209–216. [Google Scholar] [CrossRef]
 - Total Phosphorous Measurement; National Regulation of People’s Republic of China, GB 11893-89; Ministry of Ecology and Environment of the People’s Republic of China: Beijing, China, 1990.
 - Smolders, A.J.P.; Lucassen, E.C.H.E.T.; Bobbink, R.; Roelofs, J.G.M.; Lamers, L.P.M. How Nitrate Leaching from Agricultural Lands Provokes Phosphate Eutrophication in Groundwater Fed Wetlands: The Sulphur Bridge. Biogeochemistry 2010, 98, 1–7. [Google Scholar] [CrossRef] [Green Version]
 









| Type | Maximum Adsorption Capacity (mg/g) | Advantages | Disadvantages | 
|---|---|---|---|
| La-MOF [24] | 348.43 | High adsorption capacity | Difficult to separate from solutions | 
| Sulfonic acid-derived Cu-MOF [18] | High affinity to perchlorate and PO43− | Difficult to synthesize | |
| Ce-MOF [23] | 211.86 | High adsorption capacity | Introduction of N | 
| Fe/Al(NO3−) MOF [17] | 130 | Selectivity to PO43− | Introduction of N | 
| La-modified bentonite [28] | Applicable to real aqua, and inexpensive | Difficult to separate from solutions | |
| La biochar [25] | 46.37 | Applicable to real aqua | Low adsorption capacity, and difficult to separate from solutions | 
| Agar–La (this study) | 156 | High adsorption capacity, easily separable from solutions, and simple synthesis | |
| Sponge–La (this study) | 160 | Rapid sorption process, applicable to actual sewers, which contain N | 
Publisher’s Note: MDPI stays neutral with regard to jurisdictional claims in published maps and institutional affiliations.  | 
© 2022 by the authors. Licensee MDPI, Basel, Switzerland. This article is an open access article distributed under the terms and conditions of the Creative Commons Attribution (CC BY) license (https://creativecommons.org/licenses/by/4.0/).
Share and Cite
Guo, K.; Song, Z.; Tang, C. Remediation of PO43− in Water Using Biodegradable Materials Embedded with Lanthanum Oxide Nanoparticles. Water 2022, 14, 1656. https://doi.org/10.3390/w14101656
Guo K, Song Z, Tang C. Remediation of PO43− in Water Using Biodegradable Materials Embedded with Lanthanum Oxide Nanoparticles. Water. 2022; 14(10):1656. https://doi.org/10.3390/w14101656
Chicago/Turabian StyleGuo, Kai, Zirui Song, and Chengchun Tang. 2022. "Remediation of PO43− in Water Using Biodegradable Materials Embedded with Lanthanum Oxide Nanoparticles" Water 14, no. 10: 1656. https://doi.org/10.3390/w14101656
APA StyleGuo, K., Song, Z., & Tang, C. (2022). Remediation of PO43− in Water Using Biodegradable Materials Embedded with Lanthanum Oxide Nanoparticles. Water, 14(10), 1656. https://doi.org/10.3390/w14101656
        
                                                
