Next Article in Journal
An Alternative to Laboratory Testing: Random Forest-Based Water Quality Prediction Framework for Inland and Nearshore Water Bodies
Next Article in Special Issue
Optimization of the Anaerobic-Anoxic-Oxic Process by Integrating ASM2d with Pareto Analysis of Variance and Response Surface Methodology
Previous Article in Journal
Estimation of Heavy Metal Concentrations in the Water of Urban Lakes in the Russian Arctic (Murmansk)
Previous Article in Special Issue
Computational Fluid Dynamics Simulation of Suspended Solids Transport in a Secondary Facultative Lagoon Used for Wastewater Treatment
 
 
Font Type:
Arial Georgia Verdana
Font Size:
Aa Aa Aa
Line Spacing:
Column Width:
Background:
Article

Time-Delayed Bioreactor Model of Phenol and Cresol Mixture Degradation with Interaction Kinetics

1
Institute of Mathematics and Informatics, Bulgarian Academy of Sciences, Acad. G. Bonchev Str. Block 8, 1113 Sofia, Bulgaria
2
Institute of Robotics, Bulgarian Academy of Sciences, Acad. G. Bonchev Str. Block 2, 1113 Sofia, Bulgaria
*
Author to whom correspondence should be addressed.
These authors contributed equally to this work.
Water 2021, 13(22), 3266; https://doi.org/10.3390/w13223266
Submission received: 19 September 2021 / Revised: 12 November 2021 / Accepted: 15 November 2021 / Published: 17 November 2021

Abstract

This paper is devoted to a mathematical model for phenol and p-cresol mixture degradation in a continuously stirred bioreactor. The biomass specific growth rate is presented as sum kinetics with interaction parameters (SKIP). A discrete time delay is introduced and incorporated into the biomass growth response. These two aspects—the mutual influence of the two substrates and the natural biological time delay in the biomass growth rate—are new in the scientific literature concerning bioreactor (chemostat) models. The equilibrium points of the model are determined and their local asymptotic stability as well as the occurrence of local Hopf bifurcations are studied in dependence on the delay parameter. The existence and uniqueness of positive solutions are established, and the global stabilizability of the model dynamics is proved for certain values of the delay. Numerical simulations illustrate the global behavior of the model solutions as well as the transient oscillations as a result of the Hopf bifurcation. The performed theoretical analysis and computer simulations can be successfully used to better understand the biodegradation dynamics of the chemical compounds in the bioreactor and to predict and control the system behavior in real life conditions.

1. Introduction

Wastewater treatment is essential for public health and environmental protection. This is a specific process for removing various contaminants from wastewater. The idea is to safely release treated water into the environment or reuse it. In this regard, practical research related to the hydraulic efficiency of green–blue flood control scenarios for vegetated rivers is currently being expanded [1]. The extent to which wastewater needs to be treated is determined by government water management standards and the specifics of the environment [2]. The treatment process takes place in wastewater treatment plants or a bioreactor. The main methods used for wastewater treatment are mechanical, biological, and chemical. Biological wastewater treatment is performed under aerobic or anaerobic conditions for biomass growth depending on the specific microorganisms used as well as on the nature and concentrations of the contained pollutants [3,4]. The choice of a particular method depends on the type of polluted water and the nature and concentrations of the pollutants.
The main pollutants of industrial and domestic wastewater are plant nutrients, individual or mixtures of synthetic organic chemicals, inorganic chemicals including heavy metals, pathogenic organisms, oil, sediments, radioactive substances, etc. [5].
Some of the most toxic and common mixtures of synthetic organic chemicals are phenol and its derivatives including resorcinol, hydroquinone, 3-nitrophenol, 2,6-dinitrophenol, 3-chlorophenol, p-cresol (4-methylphenol), benzene, etc. Numerous scientific studies and practical applications have proven the potential of several microorganisms to biodegrade mixtures of phenol and its derivatives to environmentally friendly substances [6,7,8]. It has been found that very good results in the biodegradation of phenolic compounds are achieved by the strains Arthrobacter, Aspergillus awamori, Burkholderia, Candida tropicalis, Pseudomonas, Rhodococcus, Trametes hirsute, Trichosporon cutaneum, just to mention a few [9,10,11,12].
Generally speaking, the kinetics describing microbial growth and biodegradation of phenolic components (substrates) are of great importance for studying the peculiarities of the wastewater treatment process [13]. Kinetic models are developed on the basis of expert knowledge and laboratory research with specific strains and particular water pollutants. The kinetic models provide opportunities to study various characteristics of the wastewater treatment process and support the successful and effective achievement of the prescribed environmental criteria [14].
Specific microorganisms’ growth rates in a substrate mixture of two or more phenolic components are known as sum kinetic models (without interaction); multiplication kinetic models; sum kinetic models which incorporate purely competitive substrate kinetics; sum kinetics with interaction parameters (SKIP); elimination capacity-sum kinetics with interaction parameter (EC-SKIP); self-inhibition EC-SKIP (SIEC-SKIP), etc. [15,16,17,18,19,20].
The SKIP models are a successful extension of the sum kinetics models, because they take into account the mutual influence of the components in the substrate mixture [21,22]. The SKIP models demonstrate excellent prediction of the biodegradation with different microbial strains of the mixture of phenol and its derivatives: benzene, toluene, and phenol biodegradation by Pseudomonas putida F1 [23]; ethylbenzene and styrene by R. pyridinovorans PYJ-1 [22]; phenol and p-cresol mixture degradation by Aspergillus awamori strain [24], etc.
In [25], a mathematical model was proposed for phenol and p-cresol mixture degradation in a continuously stirred tank bioreactor. The model was presented by a system of three nonlinear ordinary differential equations as follows
d X ( t ) d t = μ ( S p h , S c r ) D X ( t ) d S p h ( t ) d t = k p h μ ( S p h , S c r ) X ( t ) + D ( S p h 0 S p h ( t ) ) d S c r ( t ) d t = k c r μ ( S p h , S c r ) X ( t ) + D ( S c r 0 S c r ( t ) ) ,
where μ ( S p h , S c r ) is the biomass specific growth rate, described by the SKIP (sum kinetics with interaction parameters) model in the form
μ ( S p h , S c r ) = μ m a x ( p h ) S p h k s ( p h ) + S p h + S p h 2 k i ( p h ) + I c r / p h S c r + μ m a x ( c r ) S c r k s ( c r ) + S c r + S c r 2 k i ( c r ) + I p h / c r S p h .
In the analytic expression of μ ( · ) , the interaction parameters I c r / p h and I p h / c r indicate the degree to which the substrates p-cresol and phenol affect the biodegradation of phenol and p-cresol, respectively. Two inhibition parameters, k i ( p h ) and k i ( c r ) , are also included in the biomass specific growth rate μ ( · ) .
The state variables X, S p h , S c r , and the model parameters are described in Table 1. The numerical values in the last column were validated by laboratory experiments using the Aspergillus awamori strain and given in [24].
In this paper, we modify model (1) by introducing a discrete time delay incorporated into the biomass growth response
d X ( t ) d t = e D τ μ ( S p h ( t τ ) , S c r ( t τ ) ) X ( t τ ) D X ( t )
d S p h ( t ) d t = k p h μ ( S p h ( t ) , S c r ( t ) ) X ( t ) + D ( S p h 0 S p h ( t ) )
d S c r ( t ) d t = k c r μ ( S p h ( t ) , S c r ( t ) ) X ( t ) + D ( S c r 0 S c r ( t ) ) .
The constant τ 0 stands for the time delay in the conversion of the consumed substrate into viable biomass. The term e D τ X ( t τ ) represents the biomass of microorganisms that consumes nutrients at time t τ and survives in the bioreactor for τ units of time, necessary to complete the conversion of substrate into viable biomass [26,27].
Bioreactor (chemostat) competition models involving time delay, recently, have been widely discussed and investigated in the literature. According to [28], the conversion process of nutrients to biomass always requires a fixed length of time and thus the corresponding chemostat model should be described by a system of differential equations with discrete delays. To our knowledge, the first attempt to introduce a discrete time delay was in [29], where a linear bioreactor model was discussed. Other early models in this regard can be found in [30], where the effects of time delay and growth rate inhibition in the bacterial treatment of wastewater were discussed, as well as in [31], where the appearance of a time delay was motivated by the existence of a lag phase in the growth response of microorganisms in the medium. A basic and well known chemostat model incorporating a time delay was proposed and studied in [32]. This model contained three nonlinear ordinary differential equations, describing competition of two species on a single nutrient, and established the validity of the Competitive Exclusion Principle (CEP). CEP means that the species with the lowest break-even concentration can survive in the chemostat, and it drives other species to extinction. Two-species competition was also considered in [33], where CEP was proved as well. On the other hand, introducing a time delay explicitly into the model equations can help to explain the transient oscillation behavior of the bioreactor dynamics often observed in practical experiments. Detailed investigations in this direction can be found in [34] on a ‘single biomass/single substrate’ model.
Recently, various mathematical delayed models involving different numbers of species growing on one or more substrates and involving different kinds of specific growth rates (monotone, such as the Monod law, or nonmonotone, such as the Haldane law, etc.) have been discussed, see [26,27,35] and the references therein. The latter papers consider competition of n species of microorganisms on a single substrate. In [26], sufficient conditions are presented which enhance the CEP and thus the global asymptotic stability of the model solutions. This was calculated for general nonmonotone response (specific growth rate) functions. The same time delayed model was modified in [27] by introducing specific species death rates, different from the dilution rate in the chemostat. Under certain conditions, it was shown that the single species survival equilibrium is globally asymptotically stable. It was demonstrated numerically that the differential removal rates can lead to damped oscillation in the solutions. Similar results were established for the same model in [35]. There, the competitive exclusion was established by applying the method of Liapunov functionals under some technical assumptions on the biomass response functions.
In this paper, we perform mathematical analysis of the time delayed model (3)–(5). In Section 2, we find the equilibrium points of the model and investigate their local asymptotic stability and occurrence of Hopf bifurcations with respect to the delay τ . The basic properties of the model solutions as well as the global stabilizability of the model dynamics are presented in Section 3. Section 4 includes numerical examples, supporting the theoretical results. Concluding remarks are presented in Section 5.

2. Equilibrium Points, Local Stability, and Bifurcations

In the mathematical analysis of the model (3)–(5), we assume that the influent concentrations S p h 0 and S c r 0 are constant and consider the dilution rate D and the delay τ as varying parameters.
The equilibrium points of (3)–(5) are obtained as solutions of the following system of transcendental equations
e D τ μ ( S p h , S c r ) X D X = 0
k p h μ ( S p h , S c r ) X + D ( S p h 0 S p h ) = 0
k c r μ ( S p h , S c r ) X + D ( S c r 0 S c r ) = 0 .
Obviously, E 0 = ( 0 , S p h 0 , S c r 0 ) (with X = 0 ) is an equilibrium point of the model for all D > 0 and τ 0 and is called the boundary or washout equilibrium.
In what follows, we look for solutions of (6)–(8) such that X > 0 .
Similar to [25], multiplying Equation (7) by k c r , Equation (8) by k p h , and summing them together leads to
k c r ( S p h 0 S p h ) + k p h ( S c r 0 S c r ) = 0 .
Denoting
K = k p h k c r , S 0 = S p h 0 K S c r 0 ,
we obtain
S p h = S p h 0 k p h k c r S c r 0 S c r = ( S p h 0 k p h k c r S c r 0 ) + k p h k c r S c r = S 0 + K S c r .
The latter expression is biologically relevant if and only if S 0 0 . Using the numerical values in the last column of Table 1, it follows that this is satisfied: S 0 0.09483 .
Now, we substitute S p h from (11) into the expression of μ ( S p h , S c r ) and obtain the specific growth rate μ ( · ) as a function of S c r only. Denote for simplicity
μ c r ( S c r ) = μ ( S 0 + K S c r , S c r ) ,
or explicitly
μ c r ( S c r ) = μ m a x ( p h ) S 0 + K S c r k s ( p h ) + S 0 + K S c r + 1 k i ( p h ) ( S 0 + K S c r ) 2 + I c r / p h S c r + μ m a x ( c r ) S c r k s ( c r ) + S c r + 1 k i ( c r ) S c r 2 + I p h / c r ( S 0 + K S c r ) .
Figure 1 shows the graph of the function μ c r ( S c r ) for S c r 0 , using the numerical values in the last column of Table 1.
From Equation (6), we learn that the steady state component with respect to S c r is the solution of the equation
μ c r ( S c r ) = D e D τ .
If there exists a root S c r * of the latter, such that 0 < S c r * < S c r 0 , then the equilibrium components with respect to X and S p h are determined by the formulae
S p h * = S 0 + K S c r * , X * = S c r 0 S c r * k c r e D τ = S p h 0 S p h * k p h e D τ
Denote E * = ( X * , S p h * , S c r * ) . Obviously, all components of E * depend on the control parameter D and on the delay τ .
The graph of μ c r ( S c r ) suggests the following properties of the latter, which are used in the further investigations.
Properties of μ c r ( S c r )
(P1) μ c r ( S c r ) > 0 for all S c r 0 , and μ c r ( 0 ) = μ m a x ( p h ) S 0 k s ( p h ) + S 0 + S 0 2 k i ( p h ) > 0 .
(P2) There exists a point S c r m i n ( 0 , S c r 0 ) such that d d S c r μ c r ( S c r ) < 0 if S c r [ 0 , S c r m i n ) ( S c r 0 , + ) , and d d S c r μ c r ( S c r ) > 0 if S c r ( S c r m i n , S c r 0 ) .
(P3) The following inequalities hold true: μ c r ( S c r m i n ) < μ c r ( S c r 0 ) < μ c r ( 0 ) .
For any D > 0 define
τ m i n = τ m i n ( D ) = 1 D ln μ c r ( S c r m i n ) D , τ m a x = τ m a x ( D ) = 1 D ln μ c r ( 0 ) D , τ 0 = τ 0 ( D ) = 1 D ln μ c r ( S c r 0 ) D .
Obviously, τ = τ ( D ) is a decreasing function of D > 0 . Moreover, for any D > 0 , the following inequalities are fulfilled:
τ m i n < τ 0 < τ m a x .
Based on the above considerations we draw the following conclusions:
  • If τ ( τ m i n , τ 0 ) , then there exist two positive roots S c r ( 1 ) = S c r ( 1 ) ( τ ) , S c r ( 2 ) = S c r ( 2 ) ( τ ) of Equation (14) such that S c r ( 1 ) < S c r ( 2 ) < S c r 0 , and d d τ S c r ( 1 ) ( τ ) < 0 , d d τ S c r ( 2 ) ( τ ) > 0 .
  • If τ ( τ 0 , τ m a x ] , then there is only one positive root S c r ( 1 ) ( τ ) < S c r 0 of Equation (14) such that d d τ S c r ( 1 ) ( τ ) < 0 and S c r ( 1 ) ( τ m a x ) = 0 .
Therefore, the model (3)–(5) possesses up to two interior (with positive components) equilibrium points depending on the values of τ and D. Denote them by
E 1 = E 1 ( D ; τ ) = X ( 1 ) , S p h ( 1 ) , S c r ( 1 ) , τ τ m i n , τ m a x ; E 2 = E 2 ( D ; τ ) = X ( 2 ) , S p h ( 2 ) , S c r ( 2 ) , τ τ m i n , τ 0 , w i t h S c r ( 2 ) > S c r ( 1 ) ,
where X ( i ) and S p h ( i ) , i = 1 , 2 , are determined according to (15) after replacing the * with ( 1 ) and ( 2 ) , respectively.
In what follows, we study the local asymptotic stability of the model equilibrium points. Here, we use the linearization technique for differential equations with a discrete time delay (see [36]).
The characteristic polynomial corresponding to the Jacobian matrix J of (3)–(5) is defined by d e t ( J λ I 3 ) , where λ is any complex number, and I 3 is the ( 3 × 3 ) –identity matrix:
d e t ( J λ I 3 ) = e ( λ + D ) τ μ ( S p h , S c r ) D λ e ( λ + D ) τ μ S p h X e ( λ + D ) τ μ S c r X k p h μ ( S p h , S c r ) k p h μ S p h X D λ k p h μ S c r X k c r μ ( S p h , S c r ) k c r μ S p h X k c r μ S c r X D λ .
The following presentation holds true
d e t ( J λ I 3 ) = ( D + λ ) 2 D + λ + X k p h μ S p h + k c r μ S c r e ( λ + D ) τ μ ( S p h , S c r ) .
Obviously, λ 1 , 2 = D < 0 are always solutions of d e t ( J ( E i ) λ I 3 ) = 0 , i.e., eigenvalues of the Jacobian matrix J ( E i ) evaluated at the equilibrium point E i , i = 0 , 1 , 2 . The third eigenvalue λ 3 of (17) is the root of the equation
λ + D + X k p h μ S p h + k c r μ S c r e D τ μ ( S p h , S c r ) e λ τ = 0 ,
the latter being evaluated at the components of E i , i = 0 , 1 , 2 .
Straightforward calculations show that
k p h μ S p h + k c r μ S c r S p h = S 0 + K S c r = k c r d d S c r μ c r ( S c r ) = μ m a x ( p h ) A 2 k p h k s ( p h ) ( S 0 + K S c r ) 2 k i ( p h ) k c r I c r / p h S 0 + μ m a x ( c r ) k c r B 2 k s ( c r ) S c r 2 k i ( c r ) + I c r / p h S 0 ,
where
A = k s ( p h ) + S 0 + K S c r + 1 k i ( p h ) ( S 0 + K S c r ) 2 + I c r / p h S c r , B = k s ( c r ) + S c r + S c r 2 k i ( c r ) + I p h / c r ( S 0 + K S c r ) .
Therefore, the characteristic Equation (18) can be rewritten in the form
λ + D + X k c r μ c r ( S c r ) e D τ μ c r ( S c r ) e λ τ = 0 ,
where μ c r ( S c r ) means d d S c r μ c r ( S c r ) .
In the next subsections, we study the local asymptotic stability and existence of Hopf bifurcations of the equilibrium points with respect to the delay τ > 0 .

2.1. The Interior Equilibrium E 2

The interior equilibrium E 2 = E 2 ( τ ) = ( X ( 2 ) , S p h ( 2 ) , S c r ( 2 ) ) exists for τ τ m i n , τ 0 and
S c r ( 2 ) is   a   solution   of μ c r ( S c r ) = D e D τ , S p h ( 2 ) = S 0 + K S c r ( 2 ) , X ( 2 ) = S c r 0 S c r ( 2 ) k c r e D τ = S p h 0 S p h ( 2 ) k p h e D τ .
Proposition 1.
For the model (3)–(5), the equilibrium point E 2 is locally asymptotically stable for all τ ( τ m i n , τ 0 ) .
Proof. 
The characteristic Equation (19) evaluated at E 2 = ( X ( 2 ) , S p h ( 2 ) , S c r ( 2 ) ) is
λ + D + X ( 2 ) k c r μ c r ( S c r ( 2 ) ) e D τ μ c r ( S c r ( 2 ) ) e λ τ = 0 .
Using the fact that μ c r ( S c r ( 2 ) ) = D e D τ , we obtain
λ + D + X ( 2 ) k c r μ c r ( S c r ( 2 ) ) D e λ τ = 0 .
We have in this case μ c r ( S c r ( 2 ) ) > 0 , so that β : = D + X ( 2 ) k c r μ c r ( S c r ( 2 ) ) > 0 holds true. Denote γ : = D < 0 . Then the characteristic Equation (20) takes the form
λ + β + γ e λ τ = 0 with β + γ = X ( 2 ) k c r μ c r ( S c r ( 2 ) ) > 0 .
Applying Theorem 1.4, Chapter 3 in [37], it is enough to show that there are no purely imaginary roots λ = i ω , ω > 0 , of the latter equation. Indeed, using the presentation e i ω τ = cos ω τ i sin ω τ we obtain
i ω + β + γ ( cos ω τ i sin ω τ ) = 0 .
Separating the real and the imaginary parts leads to
β = γ cos ω τ , ω = γ sin ω τ .
Squaring both sides in the latter equations and adding them implies
γ 2 = ω 2 + β 2 ω 2 = γ 2 β 2 = ( γ β ) ( γ + β ) < 0 .
The last inequality shows that there are no pure imaginary roots of (20). This means that the interior equilibrium E 2 is locally asymptotically stable whenever it exists, i.e., m for all τ ( τ m i n , τ 0 ) . The proof is completed. □

2.2. The Interior Equilibrium E 1

The equilibrium E 1 = E 1 ( τ ) = ( X ( 1 ) , S p h ( 1 ) , S c r ( 1 ) ) exists for τ τ m i n , τ m a x and
S c r ( 1 ) is   a   solution   of μ c r ( S c r ) = D e D τ , S c r ( 1 ) < S c r ( 2 ) , S p h ( 1 ) = S 0 + K S c r ( 1 ) , X ( 1 ) = S c r 0 S c r ( 1 ) k c r e D τ = S p h 0 S p h ( 1 ) k p h e D τ .
Since μ c r ( S c r ( 1 ) ) = D e D τ , the characteristic Equation (19) has the form
D + λ + X ( 1 ) k c r μ c r ( S c r ( 1 ) ) D e λ τ = 0 .
Proposition 2.
For the model (3)–(5), the equilibrium point E 1 is locally asymptotically unstable for all τ ( τ m i n , τ m a x ) .
Proof. 
Using (21), denote
f 1 ( λ ) = D + λ + X ( 1 ) k c r μ c r ( S c r ( 1 ) ) D e λ τ
Since f 1 ( 0 ) = k c r μ c r ( S c r ( 1 ) ) < 0 and lim λ + f 1 ( λ ) = + , this implies that f 1 ( λ ) possesses at least one positive real root, and therefore E 1 is locally asymptotically unstable.  □
Below, we study conditions under which the coexistence equilibrium E 1 is nonhyperbolic and undergoes local Hopf bifurcations with respect to the delay τ > 0 . The investigations use the same techniques as in [34]. We present them here in the notations of our model (3)–(5) for completeness and the reader’s convenience. The proofs of the results can be found in Appendix A.
Denote for convenience
F ( τ ) = X ( 1 ) ( τ ) k c r μ c r ( S c r ( 1 ) ( τ ) ) = e D τ S c r 0 S c r ( 1 ) ( τ ) k c r k c r μ c r ( S c r ( 1 ) ( τ ) ) = e D τ ( S c r 0 S c r ( 1 ) ( τ ) ) μ c r ( S c r ( 1 ) ( τ ) ) .
According to Property (P2) of μ c r ( S c r ) , it follows that F ( τ ) > 0 for τ ( τ m i n , τ m a x ) holds true. Then the characteristic Equation (21) is presented by
D + λ F ( τ ) D e λ τ = 0 .
We are looking for solutions of (23) with respect to τ of the form λ = i ω , ω > 0 . For λ = i ω , ω > 0 , and using the equality e i ω τ = cos ω τ i sin ω τ , we obtain
D + i ω F ( τ ) D cos ω τ + D i sin ω τ = 0 .
Separating the real and the imaginary part of the latter leads to
D F ( τ ) D cos ω τ = 0 cos ω τ = D F ( τ ) D = 1 F ( τ ) D , ω + D sin ω τ = 0 sin ω τ = ω D < 0 ω τ ( ( 2 n 1 ) π , 2 n π ) , n = 1 , 2 ,
Further, the equalities
1 = cos 2 ω τ + sin 2 ω τ = D 2 2 D F ( τ ) + F 2 ( τ ) + ω 2 D 2 = 1 + F 2 ( τ ) 2 D F ( τ ) + ω 2 D 2
imply
ω = F ( τ ) ( 2 D F ( τ ) ) > 0 F ( τ ) < 2 D .
Then we have from (24)
cos τ F ( τ ) ( 2 D F ( τ ) ) = 1 F ( τ ) D , sin τ F ( τ ) ( 2 D F ( τ ) ) = F ( τ ) ( 2 D F ( τ ) ) D .
We are looking for positive solutions with respect to τ of equations (26). As in [34], we first investigate solutions of
sin ξ = ξ D τ , ξ ( 2 i 1 ) π , 2 i π , i = 1 , 2 , ,
where ξ = τ F ( τ ) ( 2 D F ( τ ) ) = τ ω . For any fixed i 1 there will be a unique solution of (27) if the line η = ξ D τ is tangent to the curve η = sin ξ . Denote by ω i this unique solution in the interval ( 2 i 1 ) π , ( 4 i 1 ) π 2 , see Figure 2. Using the equality 1 = sin 2 ω i + cos 2 ω i = ω i 2 + 1 D 2 τ 2 and solving for τ , we obtain τ = ω i 2 + 1 D . Clearly, if τ < ω i 2 + 1 D then (27) has no solutions in the interval ( ( 2 i 1 ) π , 2 i π ) , and if τ > ω i 2 + 1 D then there are exactly two solutions of (27) in the interval ( ( 2 i 1 ) π , 2 i π ) , one less than ω i and one larger than ω i (cf. Figure 2).
Assume that τ ω i 2 + 1 D for some integer i 1 . Let δ 2 i 1 = δ 2 i 1 ( τ ) be the unique solution of sin ξ = ξ D τ for ξ ( ( 2 i 1 ) π , ω i ] and δ 2 i = δ 2 i ( τ ) be the unique solution of sin ξ = ξ D τ for ξ [ ω i , 2 i π ) . Then δ 2 i 1 ( τ ) is strictly decreasing, δ 2 i ( τ ) is strictly increasing, and (cf. [34])
δ 2 i 1 ω i 2 + 1 D = δ 2 i ω i 2 + 1 D = ω i ,
lim τ + δ 2 i 1 ( τ ) = ( 2 i 1 ) π , lim τ + δ 2 i ( τ ) = 2 i π .
Differentiating, with respect to τ , the equality
sin δ 2 i 1 ( τ ) = δ 2 i 1 ( τ ) D τ
and using the implicit function theorem, we obtain consecutively
cos δ 2 i 1 ( τ ) δ 2 i 1 ( τ ) = δ 2 i 1 ( τ ) · D τ δ 2 i 1 ( τ ) · D ( D τ ) 2 ( D τ ) 2 cos δ 2 i 1 ( τ ) δ 2 i 1 ( τ ) = D τ · δ 2 i 1 ( τ ) + δ 2 i 1 ( τ ) · D δ 2 i 1 ( τ ) D 2 τ 2 · cos δ 2 i 1 ( τ ) + D τ = δ 2 i 1 ( τ ) · D δ 2 i 1 ( τ ) · τ D τ cos δ 2 i 1 ( τ ) + 1 = δ 2 i 1 ( τ ) δ 2 i 1 ( τ ) = δ 2 i 1 ( τ ) τ 1 + D τ cos δ 2 i 1 ( τ ) .
Similarly, one obtains
δ 2 i ( τ ) = δ 2 i ( τ ) τ 1 + D τ cos δ 2 i ( τ ) .
Since cos ξ is increasing for ξ ( ( 2 i 1 ) π , 2 i π ) , i 1 , using the relations
cos δ 2 i 1 ( τ ) τ = ω 2 i 1 2 + 1 D = cos ω 2 i 1 = 1 D τ τ = ω 2 i 1 2 + 1 D = 1 ω 2 i 1 2 + 1 ,
we find that cos δ 2 i 1 ( τ ) < cos ω 2 i 1 for τ > ω i 2 + 1 D . Similarly, one can show that cos δ 2 i ( τ ) > cos ω 2 i for τ > ω i 2 + 1 D holds true. Therefore,
δ 2 i 1 ω i 2 + 1 D = , δ 2 i ω i 2 + 1 D = + .
Define the function
G ( τ ) = τ F ( τ ) ( 2 D F ( τ ) ) for τ τ m i n , τ m a x .
Obviously, G ( τ ) is defined and nonnegative for all τ τ m i n , τ m a x if and only if F ( τ ) 2 D holds true. If F ( τ ) > 2 D for some values of τ ( τ m i n , τ m a x ) , then G ( τ ) is not defined on the whole interval [ τ m i n , τ m a x ] .
The function G ( τ ) plays a significant role in investigating the existence of Hopf bifurcations of E 1 (cf. [34]). However, since G ( τ ) = τ ω , it can be used to detect other types of bifurcations of E 1 . Indeed,
  • If there exists τ ¯ τ m i n , τ m a x such that F ( τ ¯ ) = 2 D , then G ( τ ¯ ) = 0 , i.e., ω ¯ = ω ( τ ¯ ) = 0 . This means that λ = 0 is eventually a root of the characteristic Equation (23), so that the equilibrium E 1 becomes nonhyperbolic at τ ¯ leading to some kind of bifurcation.
  • Since μ c r ( S c r m i n ) = 0 (see (16) and (22)), it follows that F ( τ m i n ) = 0 , and so G ( τ m i n ) = 0 . Thus, τ = τ m i n can serve as another bifurcation value for the equilibrium E 1 .
Theorem 1.
[34] Let N > 0 be the largest integer such that ω N 2 + 1 D < τ m a x holds true. Then the following assertions are valid:
( i ) If τ = τ * τ m i n , τ m a x is a solution of (26), then the curve η = G ( τ ) intersects one of the curves η = δ 2 i 1 ( τ ) , η = δ 2 i ( τ ) , 1 i N , at τ = τ * .
( i i ) Let η = G ( τ ) intersects η = δ 2 i 1 ( τ ) or η = δ 2 i ( τ ) at τ = τ * ( τ m i n , τ m a x ) for some i = 1 , 2 , , N . Then τ = τ * is a solution of (26), if and only if
F ( τ * ) D f o r j = 2 i 1 , δ j ( τ * ) ( 4 i 1 ) π 2 D F ( τ * ) 0   f o r   j = 2 i .
( i i i ) If the solutions of
( D F ( τ ) ) ( τ F ( τ ) + G ( τ ) G ( τ ) ) = 0 , τ ( τ m i n , τ m a x )
are isolated, then (26) possesses a finite number of positive solutions.
The proof can be found in Appendix A.
Theorem 1 ( i ) implies that if η = G ( τ ) and η = δ j ( τ ) , 1 j 2 N , do not intersect for τ τ m i n , τ m a x , then, the equilibrium E 1 is hyperbolic, i.e., E 1 does not undergo any bifurcation with respect to τ .
Theorem 2.
[34] Let λ ( τ ) = R ( τ ) + i I ( τ ) be a root of the characteristic Equation (23) such that R ( τ * ) = 0 , I ( τ * ) = ω > 0 . Then
s i g n d d τ R ( τ * ) = s i g n τ * F ( τ * ) + G ( τ * ) G ( τ * ) .
The proof is given in Appendix A.
Corollary 1.
[34] Let the assumptions of Theorem 1(i) be satisfied. Then the following assertions are valid:
( i ) There exists a unique integer j, 1 j 2 N , j = 2 i 1 , or j = 2 i for some 1 i N , such that the curves η = G ( τ ) and η = δ j ( τ ) intersect at τ = τ * .
( i i ) If τ ω i 2 + 1 D or τ ( 4 i 1 ) π 2 D , then
s i g n d d τ R ( τ * ) = s i g n δ j ( τ * ) G ( τ * ) , i f τ * ω i 2 + 1 D , ( 4 i 1 ) π 2 D s i g n G ( τ * ) δ j ( τ * ) , o t h e r w i s e .
The proof is presented in Appendix A.
The next theorem reports the final result on the existence of local Hopf bifurcations of the interior equilibrium E 1 .
Theorem 3.
[34] Let τ * > τ m i n be a solution of (26). Then the following assertions hold true:
(i) There exists a unique integer n 1 such that G ( τ * ) = δ n ( τ * ) .
(ii) If τ * F ( τ * ) + G ( τ * ) G ( τ * ) 0 , G ( τ * ) δ n ( τ * ) where n = 2 i 1 or n = 2 i for some integer i, 1 i N , and τ * ω i 2 + 1 D or τ * ( 4 i 1 ) π 2 D , then the equilibrium E 1 undergoes a Hopf bifurcation at τ = τ * . All bifurcating periodic solutions are positive and unstable and have periods in the intervals
4 τ * 2 n + 1 , 2 τ * n , i f n i s   o d d ; a n d
2 τ * n , 2 τ * n 1 , i f n i s   e v e n .
The proof can be found in Appendix A.

2.3. The Washout Equilibrium E 0

For E 0 = ( 0 , S p h 0 , S c r 0 ) (with X = 0 ), we obtain from (19) the following characteristic equation
D + λ e D τ μ c r ( S c r 0 ) e λ τ = 0 .
Proposition 3.
For the model (3)–(5), the equilibrium point E 0 is locally asymptotically stable for τ > τ 0 and locally asymptotically unstable for τ ( 0 , τ 0 ) .
Proof. 
Consider the characteristic Equation (40), and define the function
f 0 ( λ ) = D + λ e D τ μ c r ( S c r 0 ) e λ τ .
First, let τ > τ 0 , or equivalently, D > e D τ μ c r ( S c r 0 ) . We have
f 0 ( 0 ) = D e D τ μ c r ( S c r 0 ) > 0 , lim λ f 0 ( λ ) = .
This means that there is at least one negative root of the characteristic Equation (40), thus E 0 is locally asymptotically stable.
In the case when τ < τ 0 , i.e., when D < e D τ μ c r ( S c r 0 ) , we have
f 0 ( 0 ) < 0 , lim λ + f 0 ( λ ) = + ,
so there is at least one positive root of the characteristic Equation (40), which means that E 0 is locally asymptotically unstable. This completes the proof. □
Although the washout equilibrium E 0 is not of practical interest, in Section 3 we shall prove that it is also globally asymptotically stable if τ > τ 0 . Global stability of E 0 means total washout of biomass in the reactor and breakdown of the degradation process.
In the same way as in [34], one can show existence of Hopf bifurcations of E 0 = ( 0 , S p h 0 , S c r 0 ) when it is locally unstable, i.e., for τ ( 0 , τ 0 ) . In this case, due to the zero X-component, the periodic solutions bifurcating from E 0 cannot be nonnegative. Any periodic solution surrounding E 0 will involve negative and positive values, i.e., the X-component of any such periodic solution will have a zero in the interval [ t , t + τ ] for certain τ > 0 and for any t 0 and will change sign there. Such kinds of periodic solutions are not biologically relevant, and we skip the corresponding investigations. The interested reader can consult [34], as well as [38], for more information.

3. Global Properties of the Time-Delayed Model Solutions

Consider the time-delayed model (3)–(5). Denote by R + the set of all nonnegative real numbers and by C τ + the Banach space of continuous functions φ : [ τ , 0 ] R + . Define
C τ 3 = { φ = ( φ X , φ p h , φ c r ) C τ + × C τ + × C τ + }
and assume that the initial data for model (3)–(5) belong to C τ 3 .
According to the theory of functional differential equations (cf. [36,37,39]), for each φ C τ 3 there exists a unique solution
Φ ( φ ; t ) = ( X ( φ ; t ) , S p h ( φ ; t ) , S c r ( φ ; t ) )
of (3)–(5) defined on [ τ , + ) such that Φ ( φ ; t ) = φ ( t ) for each t [ τ , 0 ] .
Denote Σ 1 ( t ) = S p h ( t ) K S c r ( t ) S 0 , where K and S 0 are defined by (10). After multiplying Equation (5) by k p h k c r = K and adding it to Equation (4) we obtain
d d t Σ 1 ( t ) = d d t S p h ( t ) K S c r ( t ) = D S p h 0 S p h ( t ) K S c r 0 + K S c r ( t ) = D ( S p h 0 K S c r 0 ) ( S p h ( t ) K S c r ( t ) ) = D S p h ( t ) + K S c r ( t ) + S 0 = D Σ 1 ( t ) .
The latter equality means that Σ 1 ( t ) = e D t Σ 1 ( 0 ) , Σ 1 ( 0 ) 0 , so lim t Σ 1 ( t ) = 0 . Then, system (3)–(5) can be written in the form
d d t Σ 1 ( t ) = D Σ 1 ( t ) d d t X ( t ) = e D τ μ ( S 0 + K S c r ( t τ ) , S c r ( t τ ) ) X ( t τ ) D X ( t ) d d t S c r ( t ) = k c r μ ( S 0 + K S c r ( t ) , S c r ( t ) ) X ( t ) + D ( S c r 0 S c r ( t ) ) .
Since lim t Σ 1 ( t ) = 0 for any τ 0 , and we are interested in the asymptotic behavior of the dynamics, we consider the limiting system
d X ( t ) d t = e D τ μ c r ( S c r ( t τ ) ) X ( t τ ) D X ( t ) d S c r ( t ) d t = k c r μ c r ( S c r ( t ) ) X ( t ) + D ( S c r 0 S c r ( t ) ) ,
where μ c r ( S c r ( t ) ) = μ ( S 0 + K S c r ( t ) , S c r ( t ) ) , cf. (12). The initial conditions for (41) belong to the set
C τ 2 = { φ = ( φ X , φ c r ) C τ + × C τ + , S 0 + K φ c r 0 } .
Let us fix an arbitrary φ = ( φ X , φ c r ) C τ 2 , and denote Φ r ( φ ; t ) = ( X ( φ ; t ) , S c r ( φ ; t ) ) . If no confusion arises, we shall also use the simpler notation Φ r ( t ) = ( X ( t ) , S c r ( t ) ) , as well as ( X ( 0 ) , S c r ( 0 ) ) , instead of ( φ X ( 0 ) , φ c r ( 0 ) ) . As mentioned before, the solution Φ r ( t ) of (41) is defined and exists for all t 0 .
Theorem 4.
( i ) If φ X ( θ ) = 0 for all θ [ τ , 0 ] , then X ( t ) = 0 for all t 0 .
( i i ) Let the following inequalities be fulfilled
0 < X ( 0 ) < D S c r 0 k c r μ c r ( 0 ) .
Then the solution Φ r ( t ) = ( X ( t ) , S c r ( t ) ) of (41) is positive for all t [ τ , + ) and is uniformly bounded.
Proof .
( i ) is obvious. The plane X = 0 is invariant for the model (41). Therefore, we shall consider solutions X ( t ) with φ X ( θ ) > 0 for all θ [ τ , 0 ] .
( i i ) Assume that S c r ( 0 ) = 0 . Then, from the second equation of (41), we have
d d t S c r ( 0 ) = k c r μ c r ( 0 ) X ( 0 ) + D S c r 0 > 0 X ( 0 ) < D S c r 0 k c r μ c r ( 0 ) .
This implies that S c r ( t ) > 0 for all t [ τ , + ) .
Further, applying the variation-of-constant formula, we obtain
X ( t ) = φ X ( 0 ) e D t + e D τ 0 t e D ( t σ ) μ c r ( S c r ( σ τ ) ) X ( σ τ ) d σ ,
which implies that X ( t ) > 0 for each t [ τ , + ) .
Denote
Σ 2 ( t ) = S c r 0 S c r ( t ) k c r e D τ X ( t + τ ) .
Then
d d t Σ 2 ( t ) = d d t S c r ( t ) k c r e D τ d d t X ( t + τ ) = D S c r 0 + S c r ( t ) + k c r e D τ X ( t + τ ) = Σ 2 ( t ) for   all t 0 .
The latter equality implies
S c r ( t ) + k c r e D τ X ( t + τ ) = S c r 0 + ε ( φ , t ) , t 0 ,
where ε ( φ , t ) 0 exponentially as t + . This means that all nonnegative solutions are uniformly bounded and thus exist for all t 0 . The proof is completed. □
Remark 1.
Condition (42) can be explained by the complicated expression of the SKIP model μ ( S p h , S c r ) , and, in particular, by the fact that μ c r ( 0 ) is strongly positive (see Property (P1)). Usually, in bioreactor models, the specific growth rate μ ( · ) is assumed to satisfy μ ( 0 ) = 0 . In particular, if we assume that S p h ( 0 ) = S c r ( 0 ) = 0 are simultaneously fulfilled, i.e., initially the whole mixture of phenol and p-cresol is not available in the bioreactor, then condition (42) is not necessary, and it can be proved as above that all model solutions are strongly positive and uniformly bounded for all time t 0 .
The equilibrium points E 0 , E 1 , and E 2 of the reduced model (41) take the form
E 0 r = ( 0 , S c r 0 ) , E 1 r = ( X ( 1 ) , S c r ( 1 ) ) , E 2 r = ( X ( 2 ) , S c r ( 2 ) ) with S c r ( 1 ) < S c r ( 2 ) .
In what follows, we prove that the interior equilibrium point E 2 r = E 2 r ( τ ) = ( X ( 2 ) , S c r ( 2 ) ) is globally asymptotically stable whenever it exists, i.e., for τ ( τ m i n , τ 0 ) .
Lemma 1.
Let ( X ( t ) , S c r ( t ) ) be a positive solution of (41). If τ ( τ m i n , τ 0 ) , then there exists time T 0 > 0 such that S c r ( t ) < S c r 0 for all t T 0 .
Proof. 
Let τ ( τ m i n , τ 0 ) . Assume that there exists time T 0 > 0 such that S c r ( t ) S c r 0 for all t > T 0 . Then
d d t S c r ( t ) = k c r μ c r ( S c r ( t ) ) X ( t ) + D ( S c r 0 S c r ( t ) ) < 0 ,
thus, S c r ( t ) is a strictly decreasing function. Since d d t S c r ( t ) is uniformly continuous in [ τ , + ) , applying Barbălat’s Lemma [40], we obtain
0 = lim t d d t S c r ( t ) = lim t k c r μ c r ( S c r ( t ) ) X ( t ) + D ( S c r 0 S c r ( t ) ) .
Since S c r 0 S c r ( t ) and X ( t ) > 0 , the above equality implies that S c r ( t ) S c r 0 and X ( t ) 0 as t . Define the function (cf. Lemma 2.2 in [26])
Z ( t ) = X ( t ) + e D τ t τ τ μ c r ( S c r ( σ ) ) X ( σ ) d σ .
Then
d d t Z ( t ) = d d t X ( t ) + e D τ μ c r ( S c r ( t ) ) X ( t ) μ c r ( S c r ( t τ ) ) X ( t τ ) = e D τ μ c r ( S c r ( t τ ) ) X ( t τ ) D X ( t ) + e D τ μ c r ( S c r ( t ) ) X ( t ) e D τ μ c r ( S c r ( t τ ) ) X ( t τ ) = X ( t ) D + e D τ μ c r ( S c r ( t ) ) = e D τ X ( t ) μ c r ( S c r ( t ) ) D e D τ .
Since, in this case, D e D τ < D e D τ 0 = μ c r ( S c r 0 ) < μ c r ( S c r ( t ) ) , we find that d d t Z ( t ) > 0 for all sufficiently large t > 0 . So, there exists Z * > 0 such that Z ( t ) Z * as t . However, this is impossible according to the definition of Z ( t ) , and because we have already shown that X ( t ) 0 as t . Hence, there exists a sufficiently large time T 0 > 0 such that S c r ( T 0 ) S c r 0 . Moreover, if there exists t 0 T 0 such that S c r ( t 0 ) = S c r 0 then
d d t S c r ( t 0 ) = k c r μ c r ( S c r ( t 0 ) ) X ( t 0 ) + D ( S c r 0 S c r ( t 0 ) ) = k c r μ c r ( S c r ( t 0 ) ) X ( t 0 ) < 0 .
The last inequality shows that S c r ( t ) < S c r 0 for all t T 0 . The proof is completed. □
Lemma 2.
Let ( X ( t ) , S c r ( t ) ) be a positive solution of (41) and E 2 r = ( X ( 2 ) , S c r ( 2 ) ) be its interior equilibrium point. Denote
α 1 = lim inf t X ( t ) , α 2 = lim sup t X ( t ) V ( t ) = e D τ S c r ( t ) + k c r X ( t + τ ) β 1 = lim inf t V ( t ) , β 2 = lim sup t V ( t ) .
Then α 1 = α 2 > 0 and β 1 = β 2 hold true.
Proof. 
Assume that α 1 = 0 . Choose an arbitrary
ε 0 , S c r 0 S c r ( 2 ) 1 + k c r e D τ .
According to Theorem 4 (see (43)), there exists time T ε > 0 such that for all t T ε the following inequalities hold true
S c r 0 ε < S c r ( t τ ) + k c r e D τ X ( t ) < S c r 0 + ε .
Lemma 1 implies that there exists time T 0 > 0 such that S c r ( t ) < S c r 0 for all t T 0 . Since α 1 = 0 , there exists t 0 > max { T ε , T 0 } such that X ( t ) < ε for all t t 0 . We set (cf. Lemma 3.5 in [26])
σ = min { X ( t ) : t [ t 0 τ , t 0 ] } , t ¯ = sup { t t 0 τ : X ( τ ˜ ) σ for   all τ ˜ [ t 0 τ , t ] } .
Then σ ( 0 , ε ] , t ¯ [ t 0 , + ) , X ( t ) σ for all t [ t 0 τ , t ¯ ] , and
X ( t ¯ ) = σ , d d t X ( t ¯ ) 0 .
From (46) and the choice of ε we obtain
S c r 0 > S c r ( t ¯ τ ) S c r 0 k c r e D τ X ( t ¯ ) ε S c r 0 ( 1 + k c r e D τ ) ε > S c r ( 2 )
and further, taking into account the monotonicity of μ c r (Property (P2)), it follows
d d t X ( t ¯ ) = e D τ μ c r ( S c r ( t ¯ τ ) ) X ( t ¯ τ ) D X ( t ¯ ) > e D τ μ c r ( S c r ( 2 ) ) X ( t ¯ τ ) D X ( t ¯ ) > e D τ D e D τ σ D σ = D σ D σ = 0 .
The last equality contradicts (47), which means that α 1 > 0 .
Assume now that α = α 1 = α 2 > 0 , i.e., that the limit of X ( t ) exists as t . We shall show that β 1 = β 2 holds true. By Barbălat’s Lemma, we obtain that lim t d d t X ( t ) = 0 , i.e.,
e D τ μ c r ( S c r ( t τ ) ) X ( t τ ) D X ( t ) 0   as   t .
It follows then that μ c r ( S c r ( t ) ) D e D τ as t , which means that S c r ( t ) S c r ( 2 ) as t and thus
V ( t ) = e D τ S c r ( t ) + k c r X ( t + τ ) e D τ S c r ( 2 ) + k c r α   as   t .
Hence, if α = α 1 = α 2 > 0 , then β 1 = β 2 holds true.
Now assume that β 1 = β 2 , i.e., the limit of V ( t ) exists as t . We shall show that α 1 = α 2 is fulfilled. Applying Barbălat’s Lemma yields lim t d d t V ( t ) = 0 , i.e.,
0 = lim t d d t V ( t ) = D e D τ S c r 0 V ( t ) ,
which means that
lim t V ( t ) = e D τ S c r 0 .
From here, it follows that there exists the limit of X ( t ) as t , i.e., α 1 = α 2 is satisfied.
Next, we show that the equalities α 1 = α 2 and β 1 = β 2 are simultaneously fulfilled. Thus, we shall use some ideas from the proofs of Lemma 4.3 in [26] and Theorem 3.1 in [27].
Let ε > 0 be an arbitrary fixed number. The Fluctuation Lemma [41] implies that there exists a sequence { t m } m = 1 such that for each m we have
lim m X ( t m ) = α 2 , d d t X ( t m ) = 0 a n d X ( t m τ ) α 2 + ε .
The equality d d t X ( t m ) = 0 leads to
e D τ μ c r ( S c r ( t m τ ) ) = e D τ μ c r V ( t m τ ) k c r X ( t m ) e D τ = D X ( t m ) X ( t m τ ) D α 2 α 2 + ε ; lim inf m e D τ μ c r V ( t m τ ) k c r X ( t m ) e D τ D α 2 α 2 + ε .
Since ε > 0 can be arbitrarily small, it follows that
lim inf m e D τ μ c r V ( t m τ ) k c r X ( t m ) e D τ D .
The latter inequality yields
lim inf m V ( t m τ ) k c r X ( t m ) e D τ [ S c r ( 2 ) , S c r 0 ) ,
and hence
β 2 e D τ S c r ( 2 ) + k c r α 2 .
Similarly, one can show that β 1 e D τ S c r ( 2 ) + k c r α 1 . This and (48) lead to
β 2 β 1 k c r ( α 2 α 1 ) 0 .
Applying the Fluctuation Lemma again, there exists a sequence { t k } k = 1 such that for each k we have
lim k V ( t k ) = β 2 and d d t V ( t k ) = 0 .
Then
0 = d d t V ( t k ) = D e D τ S c r 0 V ( t k ) ,
and therefore
V ( t k ) = e D τ S c r 0 β 2 .
In the same way one can show that
e D τ S c r 0 β 1 .
Hence, β 2 β 1 0 holds true. This and (49) lead to β 1 = β 2 . Using (49) again, we find that α 1 = α 2 is valid. The proof is completed. □
Theorem 5.
Let τ ( τ m i n , τ 0 ) and φ C τ 2 be an arbitrary element with φ ( 0 ) > 0 such that (42) is fulfilled. Then, the corresponding positive solution Φ r ( t ) = ( X ( t ) , S c r ( t ) ) converges asymptotically towards E 2 r = ( X ( 2 ) , S c r ( 2 ) ) .
Proof. 
Lemmas 1 and 2 imply that the solution Φ r ( t ) is convergent as t . Let lim t X ( t ) = X * , lim t S c r ( t ) = S c r * . Applying Barbălat’s Lemma, we obtain
0 = lim t d d t X ( t ) = lim t e D τ μ c r ( S c r ( t τ ) ) X ( t τ ) D X ( t ) 0 = lim t d d t S c r ( t ) = lim t k c r μ c r ( S c r ( t ) ) X ( t ) + D ( S c r 0 S c r ( t ) ) ,
and hence
0 = e D τ μ c r ( S c r * ) X * D X * 0 = k c r μ c r ( S c r * ) X * + D ( S c r 0 S c r * ) .
From here, it follows that ( X * , S c r * ) = ( X ( 2 ) , S c r ( 2 ) ) = E 2 r , because E 2 r is the locally asymptotically stable equilibrium for τ ( τ m i n , τ 0 ) according to Proposition 1. The proof is completed. □
The next Theorem 6 proves that the locally asymptotically stable washout equilibrium E 0 is also globally asymptotically stable. The proof uses similar ideas to Theorem 2.3 of [26].
Theorem 6.
Let τ > τ 0 and φ C τ 2 be an arbitrary element such that (42) is fulfilled. Then the corresponding positive solution Φ r ( t ) = ( X ( t ) , S c r ( t ) ) of (41) converges asymptotically towards E 0 r = ( 0 , S c r 0 ) .
Proof. 
Let τ > τ 0 . According to the definition of τ 0 , this means that D e D τ > μ c r ( S c r 0 ) .
Suppose that S c r ( t ) < S c r 0 for all sufficiently large t. Then using the function Z ( t ) in (44) we obtain from (45)
d d t Z ( t ) = e D τ X ( t ) μ c r ( S c r ( t ) ) D e D τ e D τ X ( t ) μ c r ( S c r 0 ) D e D τ 0 .
The last inequality follows from the fact that μ c r ( S c r ) is an increasing function for S c r S c r 0 . Therefore, Z ( t ) Z ¯ as t for some Z ¯ 0 . Since Z ( t ) is bounded and uniformly continuous, it follows by Barbălat’s Lemma [40] that d d t Z ( t ) 0 as t , i.e.,
lim t X ( t ) μ c r ( S c r ( t ) ) D e D τ = 0 .
Assume that there is a sequence { t m } such that lim m X ( t m ) = X ¯ > 0 . Then lim m μ c r ( S c r ( t m ) ) = D e D τ > μ c r ( S c r 0 ) , which implies that S c r ( t m ) S c r 0 , a contradiction. Therefore, S c r ( t ) S c r 0 for all sufficiently large t.
Assume that S c r ( t ) > S c r 0 for all sufficiently large t > 0 . Then it follows from the second equation of (41) that d d t S c r ( t ) < 0 for all large t, which implies that S c r ( t ) S ¯ c r for some S ¯ c r S c r 0 . If S ¯ c r > S c r 0 , then
d d t Z ( t ) = e D τ X ( t ) μ c r ( S c r ( t ) ) D e D τ < e D τ X ( t ) μ c r ( S c r ( t ) ) μ c r ( S c r 0 ) 0
because μ c r ( S c r ) is decreasing for S c r > S c r 0 . Therefore, Z ( t ) Z ¯ as t for some Z ¯ 0 . Barbălat’s Lemma then implies that d d t Z ( t ) 0 as t , which means that X ( t ) 0 leading to S c r ( t ) S c r 0 as t . If S ¯ c r = S c r 0 , then obviously lim t X ( t ) = 0 . Therefore, E 0 r is globally asymptotically stable for the model (41). The proof is completed. □

4. Numerical Simulation

Here, we illustrate the theoretical results from the previous sections on three numerical examples for different values of the parameters D and τ . We use the numerical values of the model parameters in Table 1.
We notice that τ m i n 0 if D μ c r ( S c r m i n ) 0.07455989538 is fulfilled.
The next computer simulations illustrate the occurrence of Hopf bifurcations of the interior equilibrium E 1 , investigated in Section 2.2. First we have to determine the tangent point ω i of sin ξ and the line η = ξ D τ , which coincides with the unique solution of cos ξ = 1 D τ , i.e., with the unique solution of tan ξ = ξ in the interval ( 2 i 1 ) π , ( 4 i 1 ) π 2 for some i 1 (cf. [34]). We obtain the following values
ω 1 = 4.493409458 π , 3 π 2 , ω 2 = 10.90412166 3 π , 7 π 2 .
Example 1.
D = 0.0005
For this value of D we obtain
τ m i n = 10,009.49990 , τ 0 = 10,306.76779 , τ m a x = 10,583.24050 , τ b : = ω 1 2 + 1 D = 9206.677698 ,
thus, τ m i n > τ b holds true. According to Theorem 1, we have N = 1 , thus, there are two solutions δ 1 ( τ ) and δ 2 ( τ ) , and the equilibrium E 1 undergoes Hopf bifurcations at the following four values of τ :
τ 1 * = 10,022.86 , τ 2 * = 10,050.78 , τ 3 * = 10,084.7 , τ 4 * = 10,113.52 .
Figure 3 visualizes the curve G ( τ ) and the solutions δ 1 ( τ ) and δ 2 ( τ ) as well as the above intersection points.
We take τ = τ 1 * = 10022.86 . At this value of the delay, the two interior steady states are
E 1 = E 1 ( τ 1 * ) = ( 0.0003071390889 , 0.1605423590 , 0.03257655402 ) , E 2 = E 2 ( τ 1 * ) = ( 0.0002781194773 , 0.2115122674 , 0.05784368812 ) .
According to Proposition 2, E 1 is locally asymptotically unstable for all τ ( τ m i n , τ m a x ) . Theorem 5 implies that the equilibrium E 2 is globally asymptotically stable for τ ( τ m i n , τ 0 ) .
Figure 4 and Figure 5 show the time evolution of the solutions of the model (3)–(5). Although the initial conditions ( X ( 0 ) , S p h ( 0 ) , S c r ( 0 ) ) = ( 0.0003 , 0.16054 , 0.03257 ) are chosen near to E 1 , the solutions tend to the globally asymptotically stable equilibrium E 2 . Transient oscillations in the time evolution of the phase X ( t ) , S p h ( t ) and S c r ( t ) are observed in the right plot of Figure 4 and in Figure 5.
The next two examples demonstrate the global stability of the equilibrium points E 2 and E 0 with respect to D and τ .
Example 2.
D = 0.05
For this value of D we obtain
τ m i n = 7.991595294 , τ 0 = 10.96427421 , τ m a x = 13.72900131 .
We choose and fix τ = 9 ( τ m i n , τ 0 ) . Then, there exist the two interior equilibria
E 1 = ( 0.03095223849 , 0.1320495584 , 0.01845191786 ) , E 2 = ( 0.02226233088 , 0.2915028678 , 0.09749714815 ) .
Proposition 2 implies that E 1 is locally asymptotically unstable, and E 2 is the global attractor for the model (3)–(5) according to Theorem 5.
According to Theorem 4(ii) the inequality
X ( 0 ) < D S c r 0 k c r μ c r ( 0 ) 0.02603585149
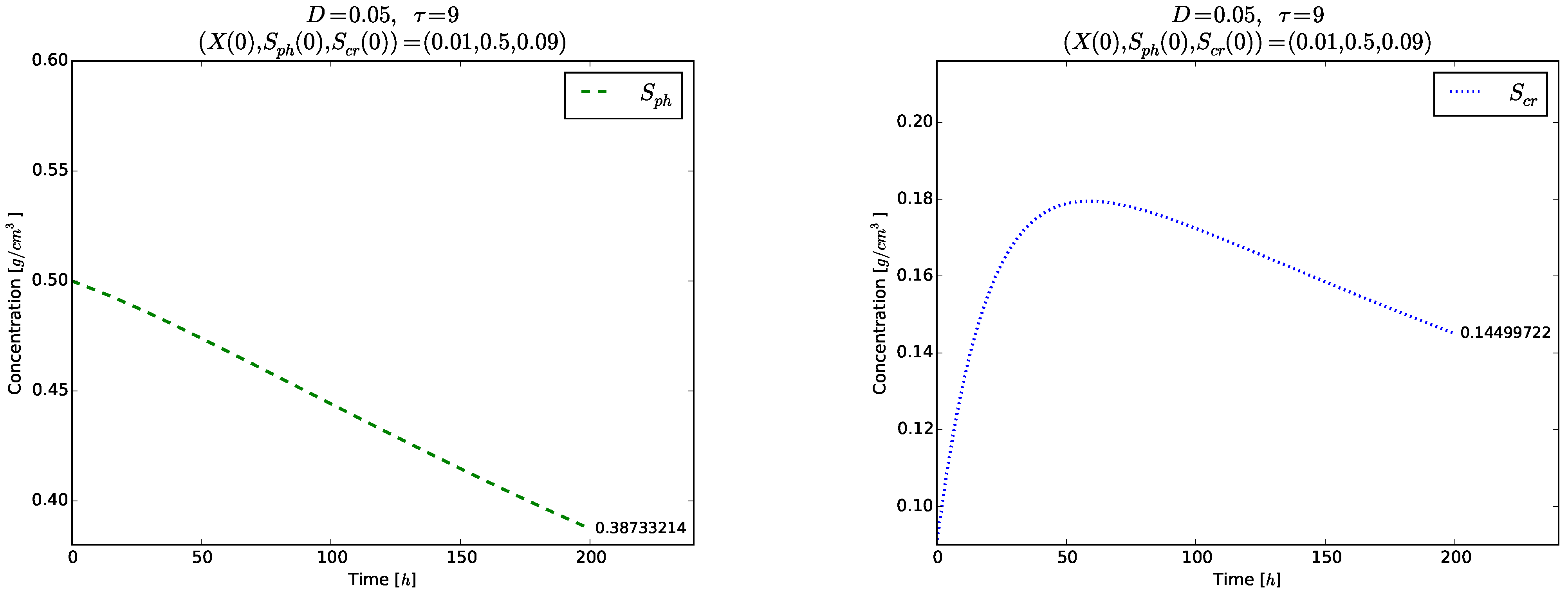
should be fulfilled to ensure existence of positive model solutions. The right plot in Figure 6 visualizes the time evolution of ( X ( t ) , S p h ( t ) , S c r ( t ) ) towards the globally asymptotically stable equilibrium E 2 . As expected, no oscillations are observed in the time evolution of each one of the variables X ( t ) (right plot in Figure 6), as well as of S p h ( t ) and S c r ( t ) even for the short time t [ 0 , 200 ] , Figure 7.
Example 3.
D = 0.06
Here we have
τ m i n = 3.620970124 , τ 0 = 6.098202568 , τ m a x = 8.402141813 .
Taking τ = 7 > τ 0 we obtain
E 0 = ( 0 , 0.7 , 0.3 ) ( with   X = 0 ) , E 1 = ( 0.03354087904 , 0.1027392369 , 0.003922014857 ) . E 2 does   not   exist .
In this case, E 0 is the global attractor of the model (Theorem 6), and E 1 is locally asymptotically unstable (Proposition 2).
According to Theorem 4 ( i i ) , the inequality
X ( 0 ) < D S c r 0 k c r μ c r ( 0 ) 0.03124302179 .
has to be satisfied so that the model (3)–(5) possesses positive solutions. The left plot in Figure 8 illustrates the global stability of the washout equilibrium E 0 . The right plot of Figure 8 and Figure 9 show the evolution of each phase variable X ( t ) , S p h ( t ) , S c r ( t ) for a shorter time t [ 0 , 200 ] . Again, no transient oscillations can be seen in these plots.

5. Conclusions and Future Work

We considered a time-delayed model, describing a phenol and 4-methylphenol (p-cresol) mixture biodegradation in a continuously stirred tank bioreactor with a SKIP specific growth rate. It was based on a previously proposed and studied dynamical model, presented in [25]. The discrete time delay τ > 0 was introduced in the microorganisms’ growth response to indicate the delay in the conversion of the consumed nutrient into viable biomass.
We presented the mathematical analysis of the proposed time-delayed model. First, in Section 2, the equilibrium points were determined, and their local asymptotic stability was investigated in dependence on the delay τ (and on the dilution rate D). Three equilibrium points were found, namely a boundary (washout) equilibrium E 0 = ( 0 , S p h 0 , S c r 0 ) with X = 0 and two interior (coexistence) equilibria E 1 = ( X ( 1 ) , S p h ( 1 ) , S c r ( 1 ) ) and E 2 = ( X ( 2 ) , S p h ( 2 ) , S c r ( 2 ) ) with S c r ( 1 ) < S c r ( 2 ) . For any fixed D > 0 , values of τ were determined, 0 < τ m i n < τ 0 < τ m a x , and it was shown that
  • E 2 exists and is locally asymptotically stable for τ ( τ m i n , τ 0 ) (Proposition 1);
  • E 1 exists and is locally asymptotically unstable for τ ( τ m i n , τ m a x ) (Proposition 2);
  • E 0 exists for all τ > 0 and is locally asymptotically stable (unstable) if τ > τ 0 ( τ < τ 0 ) (Proposition 3).
Then, we showed that the locally unstable equilibrium E 1 underwent local Hopf bifurcations at certain critical values of the delay parameter τ ( τ m i n , τ m a x ) (Theorems 1–3). To prove this, we exploited a known approach presented in [34]. The occurrence of some transient oscillations as a result of the Hopf bifurcations was demonstrated by Example 1 in Section 4, see Figure 4 and Figure 5. In this example, the delay τ was chosen to be at one of the four existing bifurcating values, namely τ = τ 1 * = 10,022.86 h, which is approximately 418 days. According to Theorem 3, the period of the bifurcating solutions lies in the interval 4 τ 1 * 3 , 2 τ 1 * ( 13,363.8 , 20,045.7 ) h, which corresponds to an interval of approximately ( 557 , 835 ) days, with a width of 318 days. Practically, this oscillating behavior is difficult to observe, not only because the periodic solutions are unstable but also due to the rather large bifurcating periods, especially in realtime laboratory experiments.
Finally, in Section 3, we established the existence and uniqueness of positive model solutions in Theorem 4. We reduced the 3-dimensional model (3)–(5) into a limiting 2-dimensional dynamical system (41). Although the reduced model was very similar to well known bioreactor models, the main difference was in the specific properties of the SKIP function μ ( S p h , S c r ) and, in particular, of μ c r ( S c r ) . We proved in Theorem 5 the global asymptotic stability of the coexistence equilibrium point E 2 with respect to τ whenever it exists, i.e., for τ τ m i n , τ 0 . However, if τ > τ 0 , then the washout equilibrium E 0 is globally asymptotically stable (Theorem 6). These results mean practically either long-term sustainability of the biodegradation process when E 2 is the global attractor or process breakdown due to total washout of the biomass in the reactor when E 0 is the global attractor. Numerical examples in Section 4 (Examples 2 and 3) confirmed the latter theoretical results.
The time delayed model (3)–(5), investigated in this paper, shows many similarities in its dynamic properties in comparison with the previously studied [25] model (1) without a time delay. These are, for example, the global attractivity of the two equilibrium points E 2 and E 0 . The main difference is the existence of Hopf bifurcations around the unstable equilibria at certain critical values of τ , which serve as sources of transient oscillations in practical experiments.
As mentioned before, the model parameters in Table 1 were obtained from laboratory experiments for phenol and p-cresol mixture degradation. New experimental work is planned in the future to eventually account for the time delay in the biomass growth response and the model will be validated by the new data.
The proposed model (3)–(5) could be successfully used on a bioreactor scale-up, and this is also planned in the future. It is very likely to change the values of the model parameters, which will lead to adaptation of the investigations and to new conclusions. However, the following theoretical results are independent of the particular parameter values: (i) existence of a washout steady state E 0 and of at least one interior (coexistence) equilibrium E 2 ; and (ii) the inversely proportional relationship between the dilution rate D and the time delay τ . Generally speaking, this means that relatively large values of D and small values of τ may cause biomass washout, due to the global stability of E 0 , and thus to process breakdown in the bioreactor. On the contrary, smaller values of D and larger values of τ lead to a stable process and biodegradation sustainability due to the global attractivity of E 2 . Since D is the controllable input in the bioreactor, these results can be very useful for the experimenter in order to obtain answers long before the physical prototype of the actual system is built and tested.
A next step in future investigations will be to treat more complex chemical compounds involving more than two substrates. The challenging element will be the design of the biomass specific growth rate as a SKIP-type model. This could be performed in dependence on experimental results showing the activity and the mutual interaction of the involved substances.

Author Contributions

Conceptualization, N.D. and P.Z.; methodology, N.D. and P.Z.; software, M.B.; theoretical investigation, N.D.; validation, M.B., N.D. and P.Z.; data curation, P.Z.; writing—original draft preparation, M.B., N.D.; writing—review and editing, M.B., N.D. and P.Z. All authors have read and agreed to the published version of the manuscript.

Funding

This research received no external funding.

Acknowledgments

This work was partially supported by the National Scientific Program “Information and Communication Technologies for a Single Digital Market in Science, Education and Security (ICTinSES)”, contract No DO1–205/23.11.2018, financed by the Ministry of Education and Science in Bulgaria. The work of the second author was partially supported by grant No BG05M2OP001-1.001-0003, financed by the Science and Education for Smart Growth Operational Program (2014–2020) in Bulgaria and co-financed by the European Union through the European Structural and Investment Funds.

Conflicts of Interest

The authors declare no conflict of interest.

Appendix A

Proof of Theorem 1.
( i ) Let τ = τ * ( τ m i n , τ m a x ) be a solution of Equation (26). Then
cos G ( τ * ) = 1 F ( τ * ) D , sin G ( τ * ) = G ( τ * ) D τ * .
Therefore, G ( τ * ) = δ j ( τ * ) holds true for j = 2 i 1 or j = 2 i for some integer i 1 . Since δ j ( τ ) is defined for τ ω i 2 + 1 / D , + and τ * < τ m a x , it follows that j 2 N is valid (cf. Figure 3).
( i i ) Let η = G ( τ ) and η = δ j ( τ ) , 1 j 2 N , intersect at τ = τ * ( τ m i n , τ m a x ) . Then sin G ( τ * ) = G ( τ * ) D τ * , which means that τ * > 0 satisfies the second equation in (26).
If j = 2 i 1 , then δ j ( τ * ) ( ( 2 i 1 ) π , ω i ] , i.e., G ( τ * ) ( ( 2 i 1 ) π , ω i ] , sin G ( τ * ) = G ( τ * ) D τ * , hence cos G ( τ * ) < 0 , which means that F ( τ * ) > D . We have in this case
cos G ( τ * ) = 1 sin 2 G ( τ * ) = 1 G 2 ( τ * ) / ( D τ * ) 2 = 1 τ * 2 F ( τ * ) ( 2 D F ( τ * ) ) D 2 τ * 2 = 1 D D 2 F ( τ * ) ( 2 D F ( τ * ) ) = 1 D ( D F ( τ * ) ) 2 = F ( τ * ) D D = 1 F ( τ * ) D .
Thus, τ * satisfies the first equation in (26) too, and this means that τ * is a positive solution of (26).
If j = 2 i , then
either   F ( τ * ) > D   and   δ j ( τ * ) [ ω i , ( 4 i 1 ) π / 2 ) or   F ( τ * ) < D   and   δ j ( τ * ) ( ( 4 i 1 ) π / 2 , 2 i π ) .
In the first case cos G ( τ * ) < 0 and the proof is the same as above. In the second case we have cos G ( τ * ) > 0 and thus,
cos G ( τ * ) = 1 sin 2 G ( τ * ) = 1 G 2 ( τ * ) / ( D τ * ) 2 = 1 D τ * D 2 τ * 2 τ * 2 F ( τ * ) ( 2 D F ( τ * ) ) = 1 D ( D F ( τ * ) ) 2 = D F ( τ * ) D = 1 F ( τ * ) D .
If conditions (34) do not hold, then τ * is not a solution because the sign in the first equation of (26) is violated. This proves ( i i ) .
( i i i ) Assume that η = G ( τ ) and η = δ j ( τ ) intersect at τ = τ * ( τ m i n , τ m a x ) , with j = 2 i 1 or j = 2 i for some integer 1 i N . Since G ( τ * ) > 0 then F ( τ * ) < 2 D holds true. Without loss of generality let us assume that τ * ω i 2 + 1 D . Then δ j ( τ * ) exists according to (30) and (31). Using the equality G ( τ * ) = δ j ( τ * ) it follows from the first equation of (A1) and the monotonicity of δ j ( τ ) that
δ j ( τ * ) = δ j ( τ * ) τ * ( 1 + D τ * cos ( δ j ( τ * ) ) ) = δ j ( τ * ) τ * 1 + D τ * 1 F ( τ * ) D = F ( τ * ) ( 2 D F ( τ * ) ) 1 + ( D F ( τ * ) ) τ * = ( 1 ) j F ( τ * ) ( 2 D F ( τ * ) ) | 1 + ( D F ( τ * ) ) τ * | .
Therefore,
G ( τ * ) δ j ( τ * ) =     F ( τ ) ( 2 D F ( τ ) ) 1 + τ ( D F ( τ ) ) F ( τ ) F ( τ ) ( 2 D F ( τ ) ) 1 1 + ( D F ( τ ) ) τ τ = τ * =     F ( τ ) ( 2 D F ( τ ) ) τ ( D F ( τ ) ) F ( τ ) F ( τ ) ( 2 D F ( τ ) ) + ( D F ( τ ) ) τ 1 + ( D F ( τ ) ) τ τ = τ * =     ( D F ( τ ) ) ( τ F ( τ ) + G ( τ ) G ( τ ) ) ( 1 + ( D F ( τ ) ) τ ) F ( τ ) ( 2 D F ( τ ) ) τ = τ * =     ( 1 ) j ( D F ( τ ) ) ( τ F ( τ ) + G ( τ ) G ( τ ) ) | 1 + ( D F ( τ ) ) τ | F ( τ ) ( 2 D F ( τ ) ) τ = τ * .
If the roots of the nominator, i.e., the solutions of (35) at τ = τ * are isolated, then there exists at most finite number of points at which the graphs of η = G ( τ ) and η = δ j ( τ ) are tangent. This means that η = G ( τ ) and η = δ j ( τ ) , 1 j 2 N , intersect at a finite number of points, and then ( i i i ) follows from ( i ) . The proof is completed. □
Proof of Theorem 2.
Since λ = λ ( τ ) is a real root of Equation (23), by differentiating the latter with respect to τ we obtain consecutively
λ ( τ ) F ( τ ) D e λ τ λ ( τ ) τ λ ( τ ) = 0 , λ ( τ ) 1 + τ D e λ ( τ ) τ + D e λ ( τ ) τ λ ( τ ) F ( τ ) = 0 , λ ( τ ) = F ( τ ) λ ( τ ) D e τ λ ( τ ) 1 + τ D e τ λ ( τ ) .
We have from (23) that D e τ λ ( τ ) = λ ( τ ) + D F ( τ ) , and therefore
λ ( τ * ) = F ( τ ) λ ( τ ) ( λ ( τ ) + D F ( τ ) ) 1 + τ ( λ ( τ ) + D F ( τ ) ) τ = τ * = F ( τ * ) ω i ( ω i + D F ( τ * ) ) 1 + τ * ( ω i + D F ( τ * ) ) · D F ( τ * ) ω i D F ( τ * ) ω i = F ( τ * ) ( D F ( τ * ) ω i ) ω i ( ω 2 + ( D F ( τ * ) ) 2 ) ( D F ( τ * ) ω i ) + τ * ( ω 2 + ( D F ( τ * ) ) 2 ) .
Using the presentations cos ω τ = D F ( τ ) D and sin ω τ = ω D as well as the identity 1 = cos 2 ω τ + sin 2 ω τ , we obtain ω 2 + ( D F ( τ * ) ) 2 = D 2 , so that
λ ( τ * ) = F ( τ * ) ( D F ( τ * ) ω i ) D 2 ω i D F ( τ * ) ω i + D 2 τ * .
Further,
d d τ R ( τ * ) = R e ( λ ( τ * ) ) = R e F ( τ * ) ( D F ( τ * ) ω i ) D 2 ω i D F ( τ * ) ω i + D 2 τ * .
Denoting for simplicity
C ( τ * ) = D 2 τ * + D F ( τ * ) ,
We obtain
d d τ R ( τ * ) = R e F ( τ * ) ( D F ( τ * ) ) ( F ( τ * ) + D 2 ) ω i C ( τ * ) ω i · C ( τ * ) + ω i C ( τ * ) + ω i = F ( τ * ) ( D F ( τ * ) ) C ( τ * ) + ω 2 ( F ( τ * ) + D 2 ) C 2 ( τ * ) + ω 2 = F ( τ * ) ( D F ( τ * ) ) ( D 2 τ * + D F ( τ * ) ) + ω 2 ( F ( τ * ) + D 2 ) C 2 ( τ * ) + ω 2 = F ( τ * ) ( D F ( τ * ) ) 2 + ω 2 + ( D F ( τ * ) D 2 τ * ) + ω 2 D 2 C 2 ( τ * ) + ω 2 = D 2 F ( τ * ) ( 1 + ( D F ( τ * ) ) τ * ) + ω 2 C 2 ( τ * ) + ω 2 .
It follows from (25) that
ω 2 = F ( τ * ) ( 2 D F ( τ * ) ) .
Using (33) we obtain further
G ( τ * ) G ( τ * ) =     F ( τ * ) ( 2 D F ( τ * ) ) + τ * F ( τ * ) ( 2 D F ( τ * ) ) F ( τ * ) F ( τ * ) 2 F ( τ * ) ( 2 D F ( τ * ) ) × τ * F ( τ * ) ( 2 D F ( τ * ) ) =     τ * F ( τ * ) ( 2 D F ( τ * ) ) + τ * 2 2 F ( τ * ) ( 2 D F ( τ * ) ) F ( τ * ) F ( τ * ) =     τ * F ( τ * ) ( 2 D F ( τ * ) ) + τ * 2 F ( τ * ) ( D F ( τ * ) ) =     τ * F ( τ * ) ( D F ( τ * ) ) τ * + F ( τ * ) ( 2 D F ( τ * ) ) =     τ * F ( τ * ) ( D F ( τ * ) ) τ * + ω 2 .
Substituting the latter expression into (A3) yields
d d τ R ( τ * ) = D 2 C 2 ( τ * ) + ω 2 F ( τ * ) + F ( τ * ) ( D F ( τ * ) ) τ * + ω 2 = D 2 C 2 ( τ * ) + ω 2 F ( τ * ) + G ( τ * ) G ( τ * ) τ * = D 2 τ * F ( τ * ) + G ( τ * ) G ( τ * ) τ * ( C 2 ( τ * ) + ω 2 ) ,
thus (36) is fulfilled. The proof is completed. □
Proof of Corollary 1.
The first part ( i ) follows directly from Theorem 1 ( i ) .
( i i ) Using (A2) and (36) we obtain
s i g n d d τ R ( τ * ) = s i g n ( 1 ) j ( D F ( τ * ) ) ( G ( τ * ) δ j ( τ * ) ) .
If j = 2 i 1 , then τ * < ω i 2 + 1 D and by Theorem 1 ( i i ) it follows that D F ( τ * ) 0 . However, D F ( τ * ) since otherwise cos δ j ( τ * ) = 0 which leads to δ j ( τ * ) = ( 4 i 1 ) π 2 , and by (27) it follows that τ * = ( 4 i 1 ) π 2 D . Therefore, D F ( τ * ) < 0 and ( 1 ) j ( D F ( τ * ) ) > 0 are fulfilled, thus
s i g n d d τ R ( τ * ) = s i g n G ( τ * ) δ j ( τ * ) .
If j = 2 i and τ * > ( 4 i 1 ) π 2 D then δ j ( τ * ) > ( 4 i 1 ) π 2 holds true. Theorem 1 ( i i ) implies D F ( τ * ) > 0 and so ( 1 ) j ( D F ( τ * ) ) > 0 , which means that (A5) is satisfied. Analogously, if τ * ω i 2 + 1 D , ( 4 i 1 ) π 2 D then j is even and δ j ( τ * ) ω i , ( 4 i 1 ) π 2 . Applying Theorem 1 ( i i ) yields ( 1 ) j ( D F ( τ * ) ) < 0 , thus (37) follows from (A5). The proof is completed. □
Proof of Theorem 3.
( i ) follows directly from Theorem 1.
( i i ) The existence of Hopf bifurcations of E 1 follows from Theorem 2, Corollary 1 and the local Hopf bifurcation theorem for delay differential equations (cf. [36]). Since the equilibrium E 1 is locally asymptotically unstable for τ ( τ m i n , τ m a x ) (see Proposition 2), any branching periodic solution of E 1 is unstable. Let λ = i ω * , ω * > 0 , be a pure imaginary root of (23) at τ = τ * . Then it follows from (25) and (33) that ω * = G ( τ * ) τ * . If n is odd, i.e., n = 2 i 1 for some integer i 1 , then it follows from the proof of Theorem 1 ( i i ) that G ( τ * ) = δ n ( τ * ) = τ * ω * ( n π , ω i ] , and ω i < ( 2 n + 1 ) π 2 . So we obtain
n π < G ( τ * ) ω i < ( 2 n + 1 ) π 2 , 4 τ * 2 n + 1 = 4 π τ * ( 2 n + 1 ) π < 2 π ω * = 2 π τ * G ( τ * ) < 2 π τ * n π = 2 τ * n .
The above inequalities imply that (38) is fulfilled.
The case when n is even can be shown in a similar way. The proof is completed. □

References

  1. Lama, G.F.C.; Rillo Migliorini Giovannini, M.; Errico, A.; Mirzaei, S.; Padulano, R.; Chirico, G.B.; Preti, F. Hydraulic Efficiency of Green-Blue Flood Control Scenarios for Vegetated Rivers: 1D and 2D Unsteady Simulations. Water 2021, 13, 2620. [Google Scholar] [CrossRef]
  2. European Union, Directive 2000/60/EC of the European Parliament and of the Council of 23 October 2000 establishing a framework for Community action in the field of water policy. Off. J. Eur. Communities 2000, L327, 1–73.
  3. Pastor-Poquet, V.; Papirio, S.; Steyer, J.P.; Trably, E.; Escudie, R.; Esposito, G. High-solids anaerobic digestion model for homogenized reactors. Water Res. 2018, 142, 501–511. [Google Scholar] [CrossRef]
  4. Narayanan, C.M.; Narayan, V. Biological wastewater treatment andbioreactor design: A review. Sustain. Environ. Res. 2019, 29, 33. [Google Scholar] [CrossRef]
  5. Singh, P.; Jain, R.; Srivastava, N.; Borthakur, A.; Pal, D.B.; Singh, R.; Madhav, S.; Srivastava, P.; Tiwary, D.; Mishra, P.K. Current and emerging trends in bioremediation of petrochemical waste: A review. Crit. Rev. Environ. Sci. Technol. 2017, 47, 155–201. [Google Scholar] [CrossRef]
  6. Wen, Y.; Li, C.; Song, X.; Yang, Y. Biodegradation of phenol by Rhodococcus sp. strain SKC: Characterization and kinetics study. Molecules 2020, 25, 3665. [Google Scholar] [CrossRef] [PubMed]
  7. Arutchelvan, V.; Atun, R.C. Degradation of phenol, an innovative biological approach. Adv. Biotech. Micro 2019, 12, 555835. [Google Scholar] [CrossRef]
  8. Zhao, L.; Wu, Q.; Ma, A. Biodegradation of phenolic contaminants: Current status and perspectives. IOP Conf. Ser. Earth Environ. Sci. 2018, 111, 012024. [Google Scholar] [CrossRef]
  9. Sharma, N.K.; Philip, L.; Bhallamudi, S.M. Aerobic degradation of phenolics and aromatic hydrocarbons in presence of cyanide. Bioresour. Technol. 2012, 121, 263–273. [Google Scholar] [CrossRef]
  10. Tomei, M.C.; Annesini, M.C. Biodegradation of phenolic mixtures in a sequencing batch reactor: A kinetic study. Env. Sci. Pollut. Res. 2008, 15, 188–195. [Google Scholar] [CrossRef]
  11. Yemendzhiev, H.; Zlateva, P.; Alexieva, Z. Comparison of the biodegradation capacity of two fungal strains toward a mixture of phenol and cresol by mathematical modeling. Biotechnol. Biotechnol. Equip. 2012, 26, 3278–3281. [Google Scholar] [CrossRef][Green Version]
  12. Kietkwanboot, A.; Chaiprapat, S.; Müller, R.; Suttinun, O. Biodegradation of phenolic compounds present in palm oil mill effluent as single and mixed substrates by Trameteshirsuta AK04. J. Environ. Sci. Health Part A Toxic 2020, 55, 989–1002. [Google Scholar] [CrossRef] [PubMed]
  13. Datta, A.; Philip, L.; Bhallamudi, S.M. Modeling the biodegradation kinetics of aromatic and aliphatic volatile pollutant mixture in liquid phase. Chem. Eng. J. 2014, 241, 288–300. [Google Scholar] [CrossRef]
  14. Muloiwa, M.; Nyende-Byakika, S.; Dinka, M. Comparison of unstructured kinetic bacterial growth models. S. Afr. J. Chem. Eng. 2020, 33, 141–150. [Google Scholar] [CrossRef]
  15. Liu, J.; Jia, X.; Wen, J.; Zhou, Z. Substrate interactions and kinetics study of phenolic compounds biodegradation by Pseudomonas sp. cbp1-3. Biochem. Eng. J. 2012, 67, 156–166. [Google Scholar] [CrossRef]
  16. Kumar, S.; Arya, D.; Malhotra, A.; Kumar, S.; Kumar, B. Biodegradation of dual phenolic substrates in simulated wastewater by Gliomastixindicus MTCC 3869. J. Environ. Chem. Eng. 2013, 1, 865–874. [Google Scholar] [CrossRef]
  17. Angelucci, D.M.; Annesini, M.C.; Tomei, M.C. Modelling of biodegradation kinetics for binary mixtures of substituted phenols in sequential bioreactors. Chem. Eng. Trans. 2013, 32, 1081–1086. [Google Scholar] [CrossRef]
  18. Lepik, R.; Tenno, T. Biodegradability of phenol, resorcinol and 5-methylresorcinol as single and mixed substrates by active sludge. Oil Shale 2011, 28, 425–446. [Google Scholar] [CrossRef]
  19. Reardon, K.F.; Mosteller, D.C.; Rogers, J.D.B. Biodegradation kinetics of benzene, toluene, and phenol as single and mixed substrates for Pseudomonas putida F1. Biotechnol. Bioeng. 2000, 69, 385–400. [Google Scholar] [CrossRef]
  20. Reardon, K.F.; Mosteller, D.C.; Rogers, J.B.; DuTeau, N.M.; Kim, K.-H. Biodegradation Kinetics of Aromatic Hydrocarbon Mixtures by Pure and Mixed Bacterial Cultures. Environ. Health Perspect. 2002, 110, 1005–1011. [Google Scholar] [CrossRef]
  21. Chen, D.-Z.; Ding, Y.-F.; Zhou, Y.-Y.; Ye, J.-X.; Chen, J.-M. Biodegradation kinetics of tetrahydrofuran, benzene, toluene, and ethylbenzene as multi-substrate by Pseudomonas oleovorans DT4. Int. J. Environ. Res. Public Health 2015, 12, 371–384. [Google Scholar] [CrossRef]
  22. Hazrati, H.; Shayegan, J.; Seyedi, S.M. Biodegradation kinetics and interactions of styrene and ethylbenzene as single and dual substrates for a mixed bacterial culture. J. Environ. Health Sci. Eng. 2015, 13, 72. [Google Scholar] [CrossRef]
  23. Abuhamed, T.; Bayraktar, E.; Mehmetoǧlu, T.; Mehmetoǧlu, Ü. Kinetics model for growth of Pseudomonas putida F1 during benzene, toluene and phenol biodegradation. Process Biochem. 2004, 39, 983–988. [Google Scholar] [CrossRef]
  24. Yemendzhiev, H.; Gerginova, M.; Zlateva, P.; Stoilova, I.; Krastanov, A.; Alexieva, Z. Phenol and cresol mixture degradation by Aspergillus awamori strain: Biochemical and kinetic substrate interactions. In Proceedings of the 17th Internat. Central European Conf. ECOpole’08, Wilhelms Hill at Uroczysko, Piechovice, Poland, 23–25 October 2008; Volume 2, pp. 153–159. [Google Scholar]
  25. Dimitrova, N.; Zlateva, P. Global stability analysis of a bioreactor model for phenol and cresol mixture degradation. Processes 2021, 9, 124. [Google Scholar] [CrossRef]
  26. Wolkowicz, G.S.K.; Xia, H. Global asymptotic behavior of a chemostat model with discrete delays. SIAM J. Appl. Math. 1997, 57, 1019–1043. [Google Scholar] [CrossRef]
  27. Wang, L.; Wolkowicz, G.S.K. A delayed chemostat model with general nonmonotone response functions and differential removal rates. J. Math. Anal. Appl. 2006, 321, 452–468. [Google Scholar] [CrossRef]
  28. Droop, M.R. Vitamin B12 and marine ecology. IV. The kinetics of uptake, growth and inhibition in monochrysislutheri. J. Mar. Biol. Assoc. UK 1968, 48, 689–733. [Google Scholar] [CrossRef]
  29. Finn, R.K.; Wilson, R.E. Fermentation process control, population dynamics of a continuous propagator for microorganisms. J. Agric. Food Chem. 1954, 2, 66–69. [Google Scholar] [CrossRef]
  30. Bush, A.W.; Cool, A.E. The effect of time delay and growth rate inhibition in the bacterial treatment of wastewater. J. Theoret. Biol. 1976, 63, 385–395. [Google Scholar] [CrossRef]
  31. Caperon, J. Time lag in population growth response of isochrysis galbana to a variable nitrate environment. Ecology 1969, 50, 188–192. [Google Scholar] [CrossRef]
  32. Freedman, H.I.; So, J. W-H; Waltman, P. Coexistence in a model of competition in the chemostat incorporating discrete delays. SIAM J. Appl. Math. 1989, 49, 859–870. [Google Scholar] [CrossRef]
  33. Ellermeyer, S.F. Competition in the chemostat: Global asymptotic behavior of a model with dealayed response in growth. SIAM J. Appl. Math. 1994, 54, 279–465. [Google Scholar] [CrossRef]
  34. Xia, H.; Wolkowicz, G.S.K.; Wang, L. Transient oscillations induced by delayed growth response in the chemostat. J. Math. Biol. 2005, 50, 489–530. [Google Scholar] [CrossRef]
  35. Liu, S.; Wang, X.; Wang, L.; Song, A. Competitive exclusion in delayed chemostat models with differential removal rates. SIAM J. Appl. Math. 2014, 74, 634–648. [Google Scholar] [CrossRef]
  36. Hale, J.K.; Lunel, S.M.V. Introduction to Functional Differential Equations; Applied Mathematical Sciences; Springer: New York, NY, USA, 1993; Volume 99. [Google Scholar] [CrossRef]
  37. Kuang, Y. Delay Differential Equations: With Applications in Population Dynamics; Academic Press: Boston, MA, USA, 1993. [Google Scholar]
  38. Akian, M.; Bismuth, S. Instability of rapidly-oscillating periodic solutions for discontinuous differential delay equation. Differ. Integral Eq. 2002, 15, 53–90. [Google Scholar]
  39. Smith, H. An Introduction to Delay Differential Equations with Applications to the Life Sciences; Texts in Applied Mathematics; Springer: New York, NY, USA, 2011. [Google Scholar]
  40. Gopalsamy, K. Stability and Oscillations in Delay Differential Equations of Population Dynamics; Kluwer Academic Publishers: Dordrecht, The Netherlands, 1992. [Google Scholar]
  41. Hirsch, W.M.; Hanisch, H.; Gabriel, J.-P. Differential equation models of some parasitic infections: Methods for the study of the asymptotic behavior. Comm. Pure Appl. Math. 1985, 38, 733–753. [Google Scholar] [CrossRef]
Figure 1. Graph of the function μ c r ( S c r ) for S c r 0 . The vertical dot line passes through S c r 0 .
Figure 1. Graph of the function μ c r ( S c r ) for S c r 0 . The vertical dot line passes through S c r 0 .
Water 13 03266 g001
Figure 2. Solutions of sin ξ = ξ D τ . The lines are l 1 : η = ξ D τ 1 , l 2 : η = ξ D τ 2 , and l 3 : η = ξ D τ 3 .
Figure 2. Solutions of sin ξ = ξ D τ . The lines are l 1 : η = ξ D τ 1 , l 2 : η = ξ D τ 2 , and l 3 : η = ξ D τ 3 .
Water 13 03266 g002
Figure 3. Graph of the function G ( τ ) and of the solutions δ i ( τ ) , i = 1 , 2 .
Figure 3. Graph of the function G ( τ ) and of the solutions δ i ( τ ) , i = 1 , 2 .
Water 13 03266 g003
Figure 4. Example 1. Left plot: solutions ( X ( t ) , S p h ( t ) , S c r ( t ) ) of (3)–(5). Right plot: transient oscillations of the phase variable X ( t ) .
Figure 4. Example 1. Left plot: solutions ( X ( t ) , S p h ( t ) , S c r ( t ) ) of (3)–(5). Right plot: transient oscillations of the phase variable X ( t ) .
Water 13 03266 g004
Figure 5. Example 1. Transient oscillations of the phase variables S p h ( t ) (left) and S c r ( t ) (right).
Figure 5. Example 1. Transient oscillations of the phase variables S p h ( t ) (left) and S c r ( t ) (right).
Water 13 03266 g005
Figure 6. Example 2. Global stability of the equilibrium point E 2 (left). Time evolution of the phase variable X ( t ) for t [ 0 , 200 ] (right).
Figure 6. Example 2. Global stability of the equilibrium point E 2 (left). Time evolution of the phase variable X ( t ) for t [ 0 , 200 ] (right).
Water 13 03266 g006
Figure 7. Example 2. Time evolution of the phase variables S p h ( t ) (left) and S c r ( t ) for t [ 0 , 200 ] (right).
Figure 7. Example 2. Time evolution of the phase variables S p h ( t ) (left) and S c r ( t ) for t [ 0 , 200 ] (right).
Water 13 03266 g007
Figure 8. Example 3. Global stability of the equilibrium point E 0 (left). Time evolution of X ( t ) for t [ 0 , 200 ] (right).
Figure 8. Example 3. Global stability of the equilibrium point E 0 (left). Time evolution of X ( t ) for t [ 0 , 200 ] (right).
Water 13 03266 g008
Figure 9. Example 3. Time evolution of S p h ( t ) (left) and S c r ( t ) for t [ 0 , 200 ] (right).
Figure 9. Example 3. Time evolution of S p h ( t ) (left) and S c r ( t ) for t [ 0 , 200 ] (right).
Water 13 03266 g009
Table 1. Model variables and parameters.
Table 1. Model variables and parameters.
DefinitionsValues
Xbiomass concentration [g/dm 3 ]
S p h phenol concentration [g/dm 3 ]
S c r p-cresol concentration [g/dm 3 ]
Ddilution rate [ h 1 ]
S p h 0 influent phenol concentration [g/dm 3 ] 0.7
S c r 0 influent p-cresol concentration [g/dm 3 ] 0.3
k p h metabolic coefficient [ S p h / X ] 11.7
k c r metabolic coefficient [ S c r / X ] 5.8
k i ( p h ) inhibition constant for cell growth on phenol [g/dm 3 ] 0.61
k i ( c r ) inhibition constant for cell growth on cresol [g/dm 3 ] 0.45
I p h / c r interaction coefficient indicating the degree
to which phenol affects the p-cresol biodegradation
0.3
I c r / p h interaction coefficient indicating the degree
to which p-cresol affects the phenol biodegradation
8.6
μ m a x ( p h ) maximum specific growth rate on phenol
as a single substrate [ h 1 ]
0.23
μ m a x ( c r ) maximum specific growth rate on p-cresol
as a single substrate [ h 1 ]
0.17
k s ( p h ) saturation constant for cell growth on phenol [g/dm 3 ] 0.11
k s ( c r ) saturation constant for cell growth on p-cresol [g/dm 3 ] 0.35
Publisher’s Note: MDPI stays neutral with regard to jurisdictional claims in published maps and institutional affiliations.

Share and Cite

MDPI and ACS Style

Borisov, M.; Dimitrova, N.; Zlateva, P. Time-Delayed Bioreactor Model of Phenol and Cresol Mixture Degradation with Interaction Kinetics. Water 2021, 13, 3266. https://doi.org/10.3390/w13223266

AMA Style

Borisov M, Dimitrova N, Zlateva P. Time-Delayed Bioreactor Model of Phenol and Cresol Mixture Degradation with Interaction Kinetics. Water. 2021; 13(22):3266. https://doi.org/10.3390/w13223266

Chicago/Turabian Style

Borisov, Milen, Neli Dimitrova, and Plamena Zlateva. 2021. "Time-Delayed Bioreactor Model of Phenol and Cresol Mixture Degradation with Interaction Kinetics" Water 13, no. 22: 3266. https://doi.org/10.3390/w13223266

APA Style

Borisov, M., Dimitrova, N., & Zlateva, P. (2021). Time-Delayed Bioreactor Model of Phenol and Cresol Mixture Degradation with Interaction Kinetics. Water, 13(22), 3266. https://doi.org/10.3390/w13223266

Note that from the first issue of 2016, this journal uses article numbers instead of page numbers. See further details here.

Article Metrics

Back to TopTop