Effect of Unimodal and Bimodal Soil Hydraulic Properties on Slope Stability Analysis
Abstract
1. Introduction
2. Conceptual Model of Hillslope
3. Methodology
3.1. Seepage Model of Unsaturated Soil
3.2. Bimodal Soil Water Retention Curve
3.3. Mechanics Model of Unsaturated Soil
3.4. Local Factor of Safety Theory
4. Results and Discussion
4.1. Results of Soil Hydraulic Fitting Parameters and Field Data Calibration
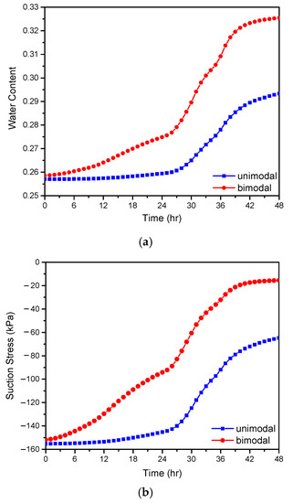
4.2. Comparison of the Influence of Unimodal and Bimodal Models on Seepage Analysis
4.3. Influence of Rainfall Conditions on Unimodal and Bimodal Models
4.4. Comparison of the Influence of Unimodal and Bimodal Models on Slope Stability
5. Conclusions
- Considering the dual-porous soil media, the fitting SWRC parameters of the field soil yielded better results. This result describes the changes in the hydraulic behavior of dual-porous soil media caused by rainfall. It can also be used to quantify and predict the seepage process and stability status of unsaturated slopes.
- Under the same rainfall conditions, the infiltration of the surface soil of the bimodal model was larger than that of the unimodal model. This means that the soil water retention capacity of bimodal soil is greater than that of the unimodal model, which is related to the hydraulic conductivity function of unsaturated soil. It is attributed to the fact that the hydraulic behavior of the macropores and micropores are considered in the bimodal model, leading to the difference of the unsaturated hydraulic conductivity function in the two models. Under the same saturated hydraulic conductivity function, the unsaturated hydraulic conductivity function of the bimodal model was larger than that of the unimodal model, implying that the water flow in the soil of the bimodal model was faster than the water flow in the unimodal model.
- After the bimodal model is infiltrated by rainfall, the wetting front moves down faster, which affects the deeper soil layer. Rainfall infiltration increases the soil water content, leading to changes in the internal stress and stability of the slope.
- From the results of this study, it can be found that if the field soil has structural or preferential flow characteristics, the bimodal model can be used for analysis. The soil dual-porous media can be considered in this model, and the results are consistent with the actual situation. Therefore, this model can be used to analyze engineering evaluations based on the characteristics of field soil in the future.
Author Contributions
Funding
Institutional Review Board Statement
Informed Consent Statement
Conflicts of Interest
References
- Antinoro, C.; Arnone, E.; Noto, L.V. The use of soil water retention curve models in analyzing slope stability in differently structured soils. Catena 2017, 150, 133–145. [Google Scholar] [CrossRef]
- Arnone, E.; Caracciolo, D.; Noto, L.; Preti, F.; Bras, R. Modeling the hydrological and mechanical effect of roots on shallow landslides. Water Resour. Res. 2016, 52, 8590–8612. [Google Scholar]
- Mukhlisin, M.; Baidillah, M.R.; Taha, M.R.; El-Shafie, A. Effect of soil water retention model on slope stability analysis. Int. J. Phys. Sci. 2011, 6, 4629–4635. [Google Scholar]
- Burger, C.A.; Shackelford, C.D. Evaluating dual porosity of pelletized diatomaceous earth using bimodal soil-water characteristic curve functions. Can. Geotech. J. 2001, 38, 53–66. [Google Scholar] [CrossRef]
- Rahardjo, H.; Aung, K.; Leong, E.C.; Rezaur, R. Characteristics of residual soils in Singapore as formed by weathering. Eng. Geol. 2004, 73, 157–169. [Google Scholar] [CrossRef]
- Berkowitz, B.; Ewing, R.P. Percolation theory and network modeling applications in soil physics. Surv. Geophys. 1998, 19, 23–72. [Google Scholar] [CrossRef]
- Brooks, R.; Corey, A. Hydraulic properties of porous medium. Hydrol. Pap. 1964, 24, 37. [Google Scholar]
- Fredlund, D.G.; Xing, A. Equations for the soil-water characteristic curve. Can. Geotech. J. 1994, 31, 521–532. [Google Scholar] [CrossRef]
- Gardner, W. Some steady-state solutions of the unsaturated moisture flow equation with application to evaporation from a water table. Soil Sci. 1958, 85, 228–232. [Google Scholar] [CrossRef]
- Kutilek, M. Soil hydraulic properties as related to soil structure. Soil Tillage Res. 2004, 79, 175–184. [Google Scholar] [CrossRef]
- Ross, P.J.; Smettem, K.R. Describing soil hydraulic properties with sums of simple functions. Soil Sci. Soc. Am. J. 1993, 57, 26–29. [Google Scholar] [CrossRef]
- Van Genuchten, M.T. A closed-form equation for predicting the hydraulic conductivity of unsaturated soils 1. Soil Sci. Soc. Am. J. 1980, 44, 892–898. [Google Scholar] [CrossRef]
- Dexter, A.; Czyż, E.; Richard, G.; Reszkowska, A. A user-friendly water retention function that takes account of the textural and structural pore spaces in soil. Geoderma 2008, 143, 243–253. [Google Scholar] [CrossRef]
- Satyanaga, A.; Rahardjo, H.; Leong, E.-C.; Wang, J.-Y. Water characteristic curve of soil with bimodal grain-size distribution. Comput. Geotech. 2013, 48, 51–61. [Google Scholar] [CrossRef]
- Zhai, Q.; Rahardjo, H. Estimation of permeability function from the soil–water characteristic curve. Eng. Geol. 2015, 199, 148–156. [Google Scholar] [CrossRef]
- Durner, W. Hydraulic conductivity estimation for soils with heterogeneous pore structure. Water Resour. Res. 1994, 30, 211–223. [Google Scholar] [CrossRef]
- Othmer, H.; Diekkrüger, B.; Kutilek, M. Bimodal porosity and unsaturated hydraulic conductivity. Soil Sci. 1991, 152, 139–150. [Google Scholar] [CrossRef]
- Priesack, E.; Durner, W. Closed-form expression for the multi-modal unsaturated conductivity function. Vadose Zone J. 2006, 5, 121–124. [Google Scholar] [CrossRef]
- Arnone, E.; Noto, L.; Lepore, C.; Bras, R. Physically-based and distributed approach to analyze rainfall-triggered landslides at watershed scale. Geomorphology 2011, 133, 121–131. [Google Scholar] [CrossRef]
- Rahardjo, H.; Ong, T.; Rezaur, R.; Leong, E.C. Factors controlling instability of homogeneous soil slopes under rainfall. J. Geotech. Geoenviron. Eng. 2007, 133, 1532–1543. [Google Scholar] [CrossRef]
- Sheng, D.; Zhou, A.; Fredlund, D.G. Shear strength criteria for unsaturated soils. Geotech. Geol. Eng. 2011, 29, 145–159. [Google Scholar] [CrossRef]
- Zhang, L.; Zhang, L.; Tang, W. Rainfall-induced slope failure considering variability of soil properties. Geotechnique 2005, 55, 183–188. [Google Scholar] [CrossRef]
- Li, D.-Q.; Xiao, T.; Cao, Z.-J.; Zhou, C.-B.; Zhang, L.-M. Enhancement of random finite element method in reliability analysis and risk assessment of soil slopes using Subset Simulation. Landslides 2016, 13, 293–303. [Google Scholar] [CrossRef]
- Luo, X.; Liu, W.; Fu, M.; Huang, J. Probabilistic analysis of soil-water characteristic curve with Bayesian approach and its application on slope stability under rainfall via a difference equations approach. J. Differ. Equ. Appl. 2017, 23, 322–333. [Google Scholar] [CrossRef]
- Phoon, K.-K.; Kulhawy, F.H. Characterization of geotechnical variability. Can. Geotech. J. 1999, 36, 612–624. [Google Scholar] [CrossRef]
- Vardon, P.; Liu, K.; Hicks, M. Reduction of slope stability uncertainty based on hydraulic measurement via inverse analysis. Georisk Assess. Manag. Risk Eng. Syst. Geohazards 2016, 10, 223–240. [Google Scholar] [CrossRef]
- Satyanaga, A. Soil Water Characteristic Curve and Shear Strength of Soil with Bimodal Characteristic. Ph.D. Thesis, Nanyang Technological University, Singapore, 2015. [Google Scholar]
- Zhai, Q.; Rahardjo, H.; Satyanaga, A. Effect of bimodal soil-water characteristic curve on the estimation of permeability function. Eng. Geol. 2017, 230, 142–151. [Google Scholar] [CrossRef]
- Miao, L.; Liu, S.; Lai, Y. Research of soil–water characteristics and shear strength features of Nanyang expansive soil. Eng. Geol. 2002, 65, 261–267. [Google Scholar] [CrossRef]
- Rahardjo, H.; Satyanaga, A.; Leong, E.-C. Effects of flux boundary conditions on pore-water pressure distribution in slope. Eng. Geol. 2013, 165, 133–142. [Google Scholar] [CrossRef]
- Rahardjo, H.; Chatterjea, K.; Leong, E.-C.; Wang, J.-Y. Effect of hydraulic anisotropy on soil–water characteristic curve. Soils Found. 2016, 56, 228–239. [Google Scholar]
- Satyanaga, A.; Rahardjo, H. Unsaturated shear strength of soil with bimodal soil-water characteristic curve. Géotechnique 2019, 69, 828–832. [Google Scholar] [CrossRef]
- Lu, N.; Godt, J.W.; Wu, D.T. A closed-form equation for effective stress in unsaturated soil. Water Resour. Res. 2010, 46. [Google Scholar] [CrossRef]
- Lu, N.; Likos, W.J. Unsaturated Soil Mechanics; John Wiley & Sons: Hoboken, NJ, USA, 2004.
- Lu, N.; Likos, W.J. Suction stress characteristic curve for unsaturated soil. J. Geotech. Geoenviron. Eng. 2006, 132, 131–142. [Google Scholar] [CrossRef]
- Bishop, A.W. The use of the slip circle in the stability analysis of slopes. Geotechnique 1955, 5, 7–17. [Google Scholar] [CrossRef]
- Duncan, J.M.; Wright, S.G. Soil Strength and Slope Stability; John Wiley & Sons: Hoboken, NJ, USA, 2005. [Google Scholar]
- Fellenius, W. Calculation of stability of earth dam. Trans. 2nd Congr. Large Dams Wash. DC 1936, 4, 445–462. [Google Scholar]
- Janbu, N. Slope stability computations. The Embankment Dam Engineering; John Wiley & Sons, Inc.: New York, NY, USA, 1973; pp. 47–86. [Google Scholar]
- Michalowski, R.L. Stability charts for uniform slopes. J. Geotech. Geoenviron. Eng. 2002, 128, 351–355. [Google Scholar] [CrossRef]
- Price, V.; Morgenstern, N. The analysis of the stability of general slip surfaces. Geotechnique 1965, 15, 79–93. [Google Scholar] [CrossRef]
- Lu, N.; Şener-Kaya, B.; Wayllace, A.; Godt, J.W. Analysis of rainfall-induced slope instability using a field of local factor of safety. Water Resour. Res. 2012, 48. [Google Scholar] [CrossRef]
- Iverson, R.M.; Reid, M.E. Gravity-driven groundwater flow and slope failure potential: 1. Elastic Effective-Stress Model. Water Resour. Res. 1992, 28, 925–938. [Google Scholar] [CrossRef]
- Šimůnek, J.; van Genuchten, M.T.; Šejna, M. Development and applications of the HYDRUS and STANMOD software packages and related codes. Vadose Zone J. 2008, 7, 587–600. [Google Scholar] [CrossRef]
- Phoon, K.-K.; Santoso, A.; Cheng, Y. Probabilistic analysis of soil water characteristic curves from sandy clay loam. In GeoCongress 2008: Characterization, Monitoring, and Modeling of GeoSystems; American Society of Civil Engineers: Reston, VA, USA, 2008; pp. 917–925. [Google Scholar]
- Mallants, D.; Tseng, P.-H.; Toride, N.; Tinunerman, A.; Feyen, J. Evaluation of multimodal hydraulic functions in characterizing a heterogeneous field soil. J. Hydrol. 1997, 195, 172–199. [Google Scholar] [CrossRef]
- Reddy, J.N. An Introduction to the Finite Element Method; McGraw—Hill: New York, NY, USA, 1993. [Google Scholar]
- Terzaghi, K. Theoretical Soil Mechanics; John Wiley & Sons: Hoboken, NJ, USA, 1943; pp. 11–15. [Google Scholar]
- Bishop, A.W. The use of pore-pressure coefficients in practice. Geotechnique 1954, 4, 148–152. [Google Scholar] [CrossRef]
- Bishop, A.W. The principle of effective stress. Tek. Ukebl. 1959, 39, 859–863. [Google Scholar]
- Lu, N.; Godt, J.W. Hillslope Hydrology and Stability; Cambridge University Press: Cambridge, UK, 2013. [Google Scholar]















| Gs[-] | c[kPa] | φ[degree] | Poisson Ratio[-] | |||
|---|---|---|---|---|---|---|
| soil | 2.72 | 68.64 | 23 | 0.33 | 20,000 | 20,000 |
| colluvial | 2.61 | 83.34 | 21 | 0.33 | 20,000 | 20,000 |
| sandstone | 2.64 | 176.51 | 34 | 0.33 | 40,000 | 40,000 |
| Bimodal | [-] | [-] | [1/m] | [-] | w[-] | [1/m] | [-] | [m/hr] |
| soil | 0.325 | 1.6 | 1.8 | 0.21 | 0.065 | 1.2 | ||
| colluvial | 0.508 | 2 | 1.6 | 0.25 | 0.06 | 1.22 | ||
| sandstone | 0.463 | 2.09 | 1.45 | 0.436 | 0.0056 | 1.75 | ||
| Unimodal | [-] | [-] | [1/m] | [-] | [m/hr] | |||
| soil | 0.322 | 0.6 | 1.14 | |||||
| colluvial | 0.488 | 0.61 | 1.13 | |||||
| sandstone | 0.467 | 3.71 | 1.12 |
Publisher’s Note: MDPI stays neutral with regard to jurisdictional claims in published maps and institutional affiliations. |
© 2021 by the authors. Licensee MDPI, Basel, Switzerland. This article is an open access article distributed under the terms and conditions of the Creative Commons Attribution (CC BY) license (https://creativecommons.org/licenses/by/4.0/).
Share and Cite
Yeh, H.-F.; Huang, T.-T.; Lee, J.-W. Effect of Unimodal and Bimodal Soil Hydraulic Properties on Slope Stability Analysis. Water 2021, 13, 1674. https://doi.org/10.3390/w13121674
Yeh H-F, Huang T-T, Lee J-W. Effect of Unimodal and Bimodal Soil Hydraulic Properties on Slope Stability Analysis. Water. 2021; 13(12):1674. https://doi.org/10.3390/w13121674
Chicago/Turabian StyleYeh, Hsin-Fu, Tsien-Ting Huang, and Jhe-Wei Lee. 2021. "Effect of Unimodal and Bimodal Soil Hydraulic Properties on Slope Stability Analysis" Water 13, no. 12: 1674. https://doi.org/10.3390/w13121674
APA StyleYeh, H.-F., Huang, T.-T., & Lee, J.-W. (2021). Effect of Unimodal and Bimodal Soil Hydraulic Properties on Slope Stability Analysis. Water, 13(12), 1674. https://doi.org/10.3390/w13121674

