Multivariate Assessment of Low-Flow Hazards via Copulas: The Case Study of the Çoruh Basin (Turkey)
Abstract
1. Introduction
2. Material and Methods
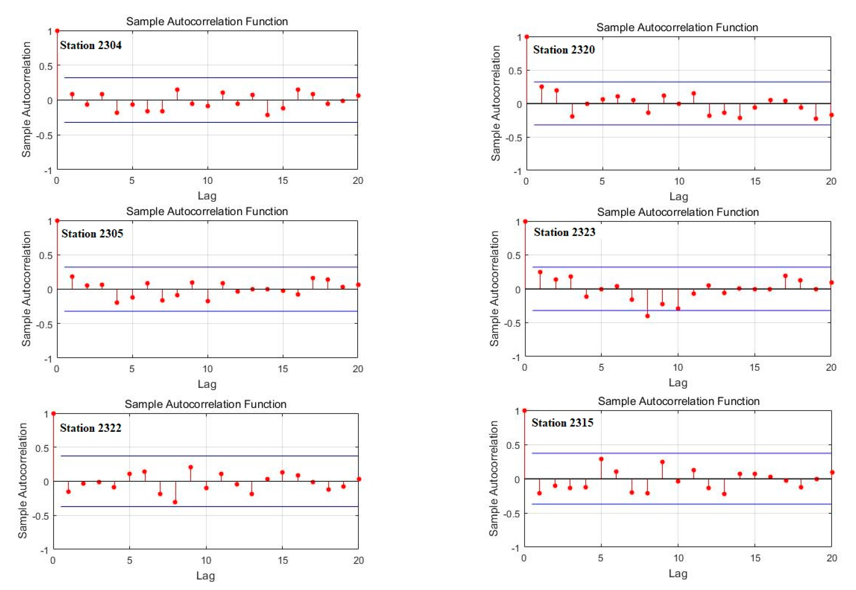
2.1. Study Area and Data
2.2. Marginal Distributions of Low-Flow Time Series
2.3. Copulas of Low-Flow Time Series
- Archimedean (Clayton, Frank, Gumbel–Hougaard, Joe);
- Elliptical (Student-t and Gaussian);
- Extreme Value (Galambos, Husler–Reiss, Tawn);
- Special (Farlie–Gumbel–Morgenstern, Plackett)
2.4. Bivariate Return Periods
2.5. Bivariate Failure Probabilities
3. Results
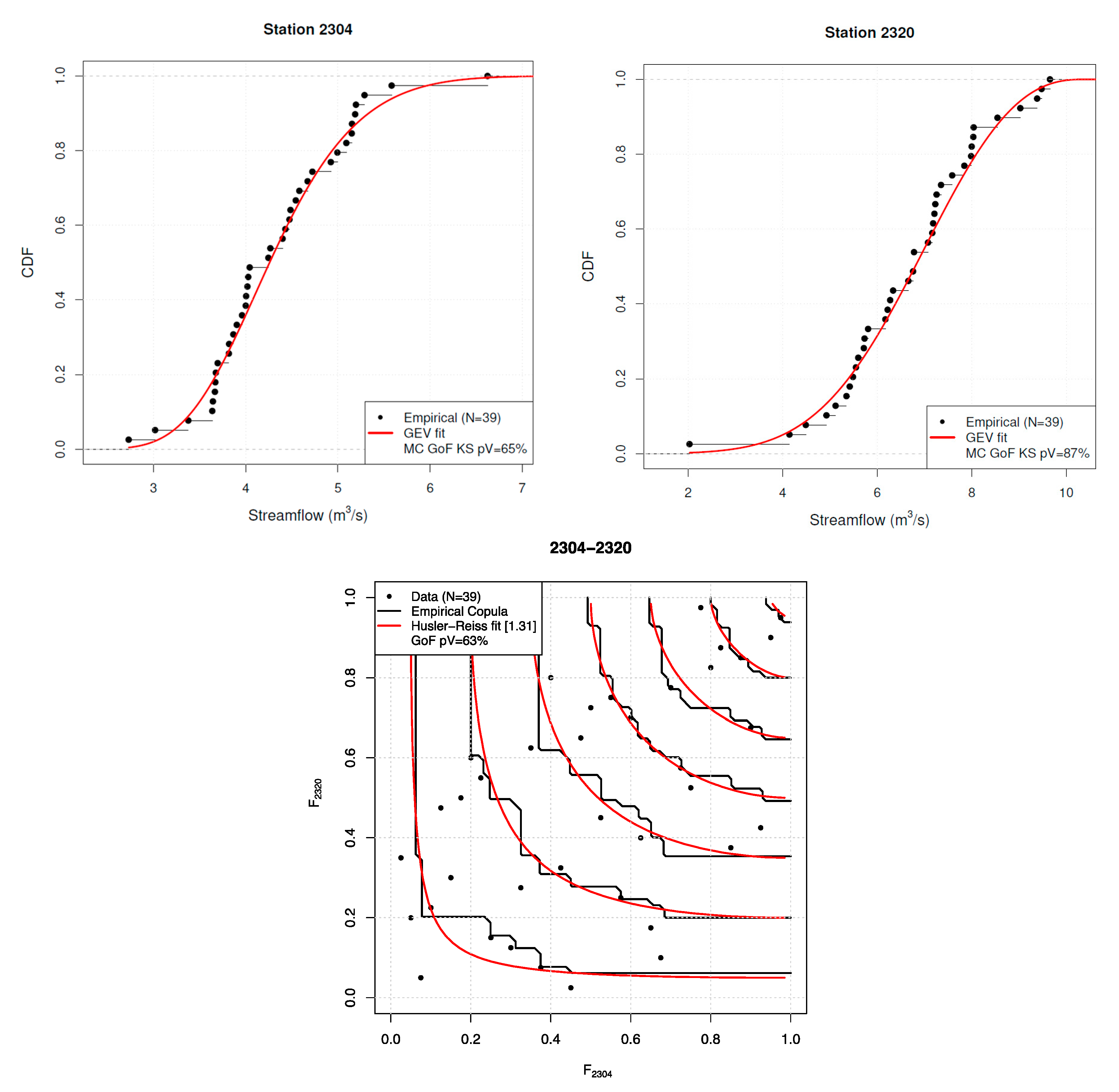
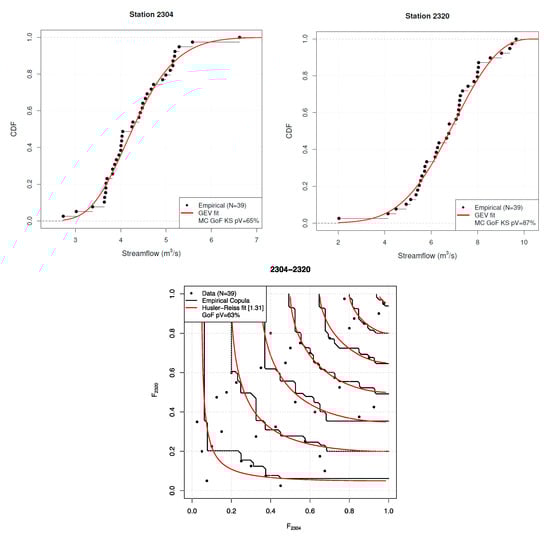
3.1. Univariate Distributions of 7-Day Low-Flow Series
3.2. Copula Selection of 7-Day Low-Flow Series
3.3. Bivariate Return Periods
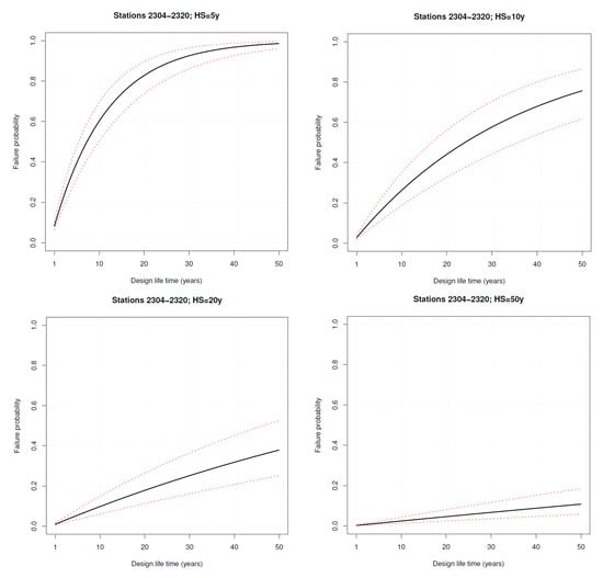
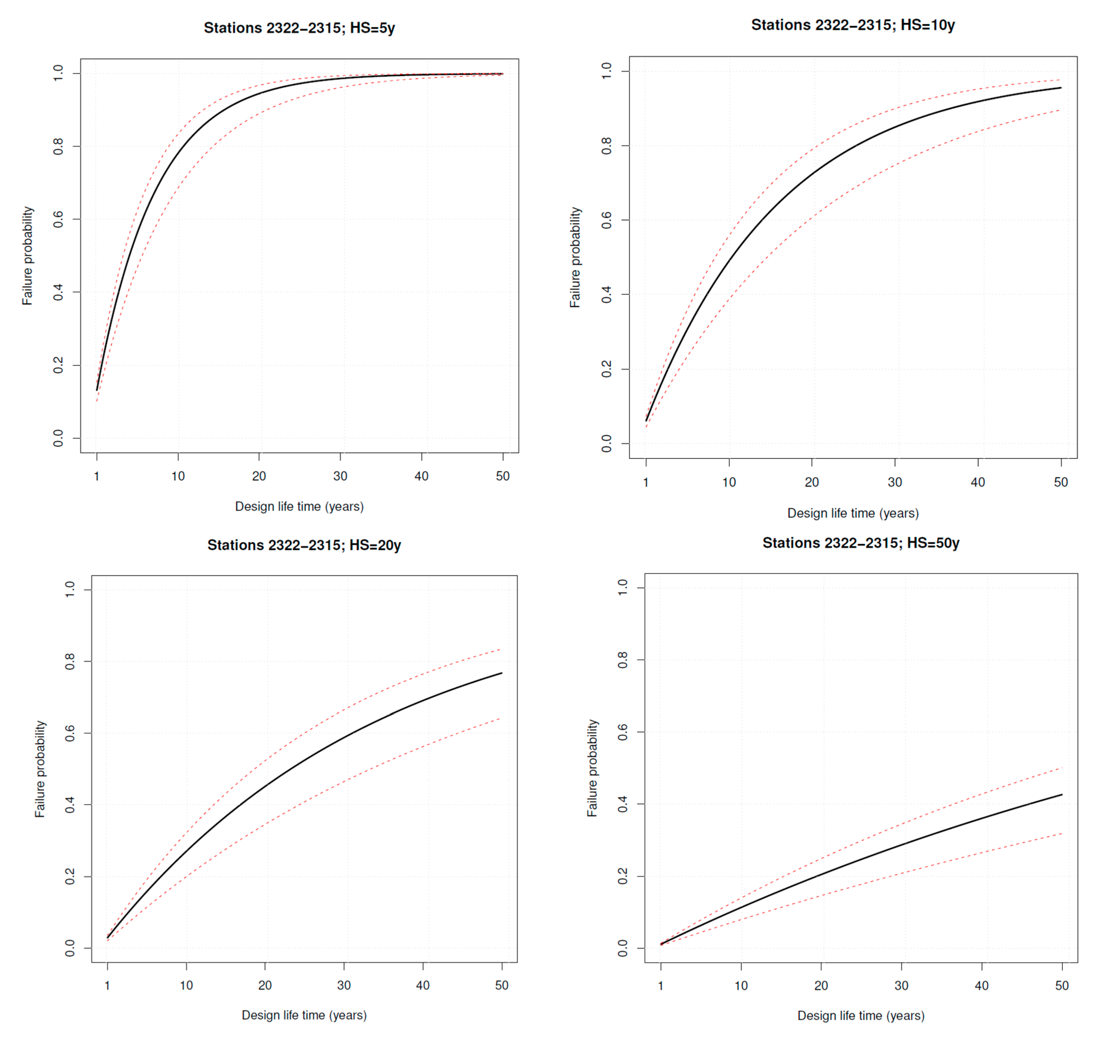
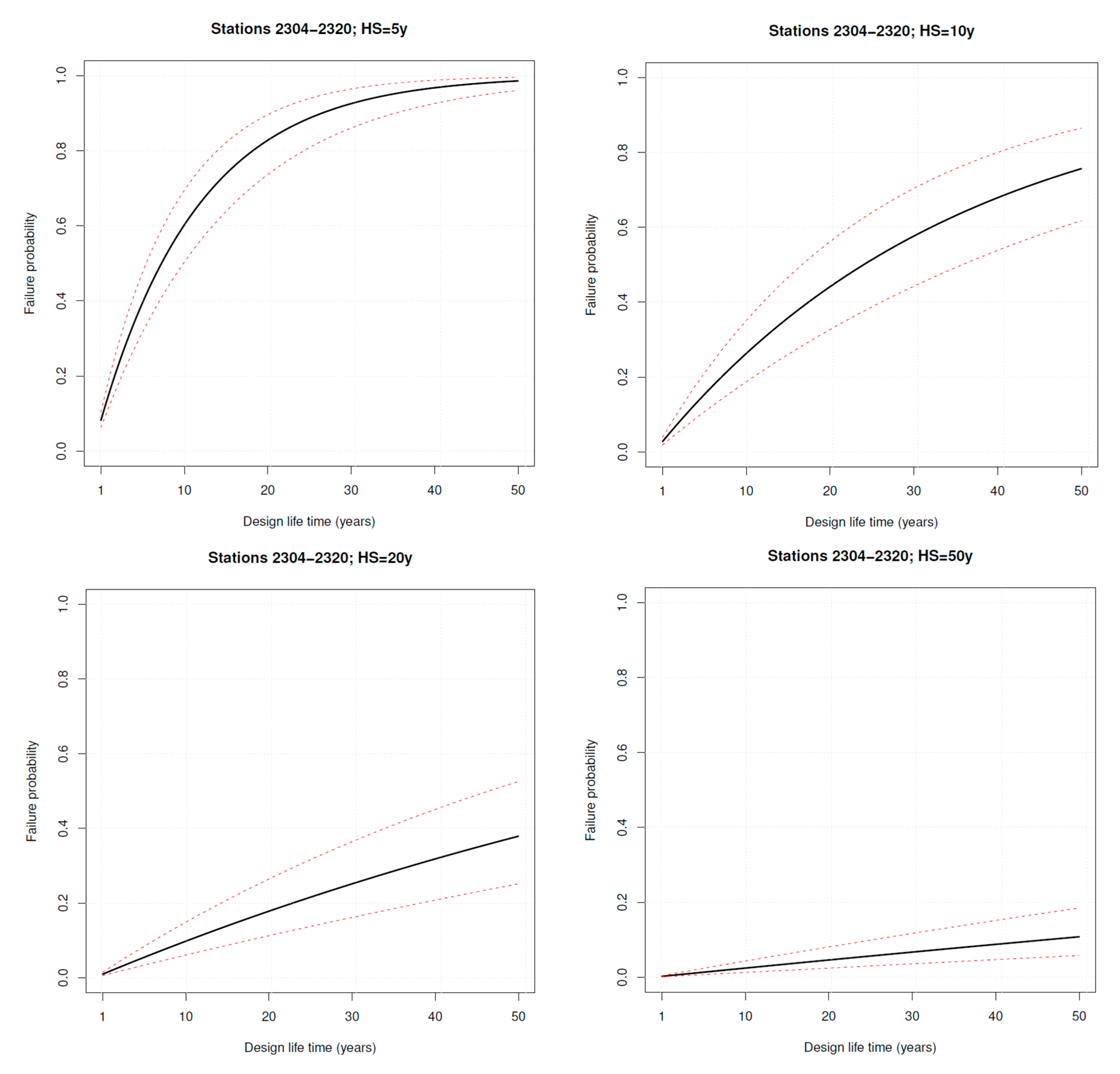
3.4. Bivariate Failure Probabilities
- The failure probabilities increase by decreasing the return periods associated with the hazard scenarios in the four panels of each figure. This is obvious since an HS corresponding to a small RP (i.e., more frequent) is more likely to be entered by the system than an HS associated with a large RP (i.e., more rare).
- The FPs plotted in the figures well characterize the hazards corresponding to different RPs; in fact, the confidence bands practically do not overlap.
- Whatever it is the HS considered, the FPs associated with the upper Çoruh basin are smaller than the ones computed for the middle and lower parts (typically, about one half considering HSs of 20 and 50 years). Instead, as already mentioned above, the behavior of the middle and lower sub-basins is quite similar in all cases (this may not be surprising, since the corresponding copulas are quite similar—see Table 4 and Figure 6 and Figure 7). Practically, this means that droughts are less menacing in the upper part of the basin, an important information for the Water Agency.
- The important information extracted from the analysis is that the probability that both the low-flows at paired stations are less than given critical threshold increases from the upper to the lower part of the basin. The reason is that, in the lower part of the basin, the thresholds (due to the different climate conditions) are larger than in the other parts, and hence it is “easier” (i.e., more probable/hazardous) to experience a (local) drought situation. This provides an essential information for the Water Manager concerning different mitigation policies of the hydrological hazard in different parts of the Çoruh basin.
4. Conclusions
Author Contributions
Funding
Acknowledgments
Conflicts of Interest
References
- She, D.X.; Xia, J. Copulas-Based Drought Characteristics Analysis and Risk Assessment across the Loess Plateau of China. Water Resour. Manag. 2018, 32, 547–564. [Google Scholar] [CrossRef]
- Dai, A.; Trenberth, K.E.; Qian, T.T. A global dataset of Palmer Drought Severity Index for 1870–2002: Relationship with soil moisture and effects of surface warming. J. Hydrometeorol. 2004, 5, 1117–1130. [Google Scholar] [CrossRef]
- Jiang, S.; Wang, M.; Ren, L.; Xu, C.Y.; Yuan, F.; Liu, Y.; Lu, Y.; Shen, H. A framework for quantifying the impacts of climate change and human activities on hydrological drought in a semiarid basin of Northern China. Hydrol. Process. 2019, 33, 1075–1088. [Google Scholar] [CrossRef]
- Wu, J.; Chen, X.; Yao, H.; Liu, Z.; Zhang, D. Hydrological Drought Instantaneous Propagation Speed Based on the Variable Motion Relationship of Speed-Time Process. Water Resour. Res. 2018, 54, 9549–9565. [Google Scholar]
- Zamani, R.; Mirabbasi, R.; Abdollahi, S.; Jhajharia, D. Streamflow trend analysis by considering autocorrelation structure, long-term persistence, and Hurst coefficient in a semi-arid region of Iran. Theor. Appl. Climatol. 2017, 129, 33–45. [Google Scholar] [CrossRef]
- Nalbantis, I.; Tsakiris, G. Assessment of Hydrological Drought Revisited. Water Resour. Manag. 2009, 23, 881–897. [Google Scholar] [CrossRef]
- Lee, K.S.; Kim, S.U. Identification of uncertainty in low flow frequency analysis using Bayesian MCMC method. Hydrol. Process. 2008, 22, 1949–1964. [Google Scholar] [CrossRef]
- Yu, K.X.; Xiong, L.H.; Gottschalk, L. Derivation of low flow distribution functions using copulas. J. Hydrol. 2014, 508, 273–288. [Google Scholar] [CrossRef]
- Smith, R.E.; Bosh, J.M. A Description of the Westfalia Catchment Experiment to Determine the Effect on Water Yield of Clearing the Riparian Zone and Converting an Indigenous Forest to a Eucalypt Plantation. S. Afr. For. J. 1989, 151, 26–31. [Google Scholar] [CrossRef]
- Steinschneider, S.; Brown, C. Forecast-informed low-flow frequency analysis in a Bayesian framework for the northeastern United States. Water Resour. Res. 2012, 48. [Google Scholar] [CrossRef]
- Eris, E.; Aksoy, H.; Onoz, B.; Cetin, M.; Yuce, M.I.; Selek, B.; Aksu, H.; Burgan, H.; Esit, M.; Yildirim, I.; et al. Frequency analysis of low flows in intermittent and non-intermittent rivers from hydrological basins in Turkey. Water Sci. Technol. Water Supply 2019, 19, 30–39. [Google Scholar] [CrossRef]
- Hewa, G.A.; Wang, Q.J.; McMahon, T.A.; Nathan, R.J.; Peel, M.C. Generalized extreme value distribution fitted by LH moments for low-flow frequency analysis. Water Resour. Res. 2007, 43. [Google Scholar] [CrossRef]
- Shi, P.; Chen, X.; Qu, S.M.; Zhang, Z.C.; Ma, J.L. Regional Frequency Analysis of Low Flow Based on L Moments: Case Study in Karst Area, Southwest China. J. Hydrol. Eng. 2010, 15, 370–377. [Google Scholar] [CrossRef]
- Salvadori, G.; De Michele, C. On the use of copulas in hydrology: Theory and practice. J. Hydrol. Eng. 2007, 12, 369–380. [Google Scholar]
- Afshar, M.H.; Sorman, A.U.; Yilmaz, M.T. Conditional Copula-Based Spatial-Temporal Drought Characteristics Analysis—A Case Study over Turkey. Water 2016, 8, 426. [Google Scholar] [CrossRef]
- Khedun, C.P.; Chowdhary, H.; Mishra, A.K.; Giardino, J.R.; Singh, V.P. Water Deficit Duration and Severity Analysis Based on Runoff Derived from Noah Land Surface Model. J. Hydrol. Eng. 2013, 18, 817–833. [Google Scholar] [CrossRef]
- Li, J.; Zhang, Q.; Chen, Y.D.; Singh, V.P. Future joint probability behaviors of precipitation extremes across China: Spatiotemporal patterns and implications for flood and drought hazards. Glob. Planet. Chang. 2015, 124, 107–122. [Google Scholar] [CrossRef]
- Salvadori, G.; De Michele, C. Frequency analysis via copulas: Theoretical aspects and applications to hydrological events. Water Resour. Res. 2004, 40. [Google Scholar] [CrossRef]
- Salvadori, G.; De Michele, C.; Kottegoda, N.T.; Rosso, R. Extremes in Nature. An Approach Using Copulas; Springer: Dordrecht, The Netherlands, 2007. [Google Scholar]
- Sraj, M.; Bezak, N.; Brilly, M. Bivariate flood frequency analysis using the copula function: A case study of the Litija station on the Sava River. Hydrol. Process. 2015, 29, 225–238. [Google Scholar] [CrossRef]
- Tosunoglu, F.; Kisi, O. Joint modelling of annual maximum drought severity and corresponding duration. J. Hydrol. 2016, 543, 406–422. [Google Scholar] [CrossRef]
- Tosunoglu, F.; Singh, V.P. Multivariate Modeling of Annual Instantaneous Maximum Flows Using Copulas. J. Hydrol. Eng. 2018, 23, 04018003. [Google Scholar] [CrossRef]
- Wang, F.; Wang, Z.; Yang, H.; Zhao, Y.; Zhang, Z.; Li, Z.; Hussain, Z. Copula-Based Drought Analysis Using Standardized Precipitation Evapotranspiration Index: A Case Study in the Yellow River Basin, China. Water 2019, 11, 1298. [Google Scholar] [CrossRef]
- Wang, Y.; Li, C.; Liu, J.; Yu, F.; Qiu, Q.; Tian, J.; Zhang, M. Multivariate Analysis of Joint Probability of Different Rainfall Frequencies Based on Copulas. Water 2017, 9, 198. [Google Scholar] [CrossRef]
- Zhang, Q.; Chen, Y.D.; Chen, X.; Li, J. Copula-Based Analysis of Hydrological Extremes and Implications of Hydrological Behaviors in the Pearl River Basin, China. J. Hydrol. Eng. 2011, 16, 598–607. [Google Scholar] [CrossRef]
- Ahmadi, F.; Radmaneh, F.; Sharifi, M.R.; Mirabbasi, R. Bivariate frequency analysis of low flow using copula functions (case study: Dez River Basin, Iran). Environ. Earth Sci. 2018, 77, 643. [Google Scholar]
- Mehr, A.D.; Kahya, E.; Bagheri, F.; Deliktas, E. Successive-station monthly streamflow prediction using neuro-wavelet technique. Earth Sci. Inform. 2014, 7, 217–229. [Google Scholar] [CrossRef]
- Akpinar, A.; Komurcu, M.I.; Kankal, M. Development of hydropower energy in Turkey: The case of Çoruh river basin. Renew. Sustain. Energy Rev. 2011, 15, 1201–1209. [Google Scholar] [CrossRef]
- Yerdelen, C.; Karimi, Y.; Kahya, E. Frequency Analysis of Mean Monthly Stream Flow in Çoruh Basin, Turkey. Fresenius Environ. Bull. 2010, 19, 1300–1311. [Google Scholar]
- Aras, E. Effects of multiple dam projects on river ecology and climate change: Çoruh River Basin, Turkey. Adv. Environ. Res. Int. J. 2018, 7, 121–138. [Google Scholar]
- Bayazit, M.; Onoz, B. LL-moments for estimating low flow quantiles. Hydrol. Sci. J.-J. Des Sci. Hydrol. 2002, 47, 707–720. [Google Scholar] [CrossRef]
- Can, I.; Tosunoglu, F. Estimating T-year flood confidence intervals of rivers in Çoruh basin, Turkey. J. Flood Risk Manag. 2013, 6, 186–196. [Google Scholar] [CrossRef]
- Can, I.; Tosunoglu, F.; Kahya, E. Daily streamflow modelling using autoregressive moving average and artificial neural networks models: Case study of Çoruh basin, Turkey. Water Environ. J. 2012, 26, 567–576. [Google Scholar] [CrossRef]
- Tosunoglu, F.; Kisi, O. Trend Analysis of Maximum Hydrologic Drought Variables Using Mann-Kendall and Sen’s Innovative Trend Method. River Res. Appl. 2017, 33, 597–610. [Google Scholar] [CrossRef]
- Holmes, M.; Kojadinovic, I.; Quessy, J.F. Nonparametric tests for change-point detection a la Gombay and Horvath. J. Multivar. Anal. 2013, 115, 16–32. [Google Scholar] [CrossRef]
- Smakhtin, V.U. Low flow hydrology: A review. J. Hydrol. 2001, 240, 147–186. [Google Scholar] [CrossRef]
- Sklar, A. Fonctions de Repartition and Dimensions et LeursMarges; Publications de L’Institute de Statistique: Paris, France, 1959. [Google Scholar]
- Genest, C.; Favre, A.C. Everything you always wanted to know about copula modeling but were afraid to ask. J. Hydrol. Eng. 2007, 12, 347–368. [Google Scholar] [CrossRef]
- Nelsen, R.B. An Introduction to Copulas; Springer: New York, NY, USA, 2006. [Google Scholar]
- Genest, C.; Remillard, B.; Beaudoin, D. Goodness-of-fit tests for copulas: A review and a power study. Insur. Math. Econ. 2009, 44, 199–213. [Google Scholar] [CrossRef]
- Salvadori, G.; De Michele, C.; Durante, F. On the return period and design in a multivariate framework. Hydrol. Earth Syst. Sci. 2011, 15, 3293–3305. [Google Scholar] [CrossRef]
- Salvadori, G.; Durante, F.; De Michele, C.; Bernardi, M.; Petrella, L. A multivariate copula-based framework for dealing with hazard scenarios and failure probabilities. Water Resour. Res. 2016, 52, 3701–3721. [Google Scholar] [CrossRef]
- Serinaldi, F. Dismissing return periods! Stoch. Environ. Res. Risk Assess. 2015, 29, 1179–1189. [Google Scholar] [CrossRef]













| Basin | Station Code | Observation Period | Mean (m3/s) | Standard Deviation (m3/s) | Coefficient of Skewness | Coefficient of Variation |
|---|---|---|---|---|---|---|
| Upper Çoruh | 2304 | 1973–2011 | 4.32 | 0.76 | 0.57 | 0.18 |
| 2320 | 1973–2011 | 6.70 | 1.57 | −0.38 | 0.23 | |
| Middle Çoruh | 2305 | 1973–2011 | 15.43 | 2.93 | 0.19 | 0.19 |
| 2323 | 1973–2011 | 9.32 | 3.49 | 0.36 | 0.37 | |
| Lower Çoruh | 2322 | 1972–2000 | 41.91 | 7.63 | 0.32 | 0.18 |
| 2315 | 1972–2000 | 53.09 | 10.66 | 1.60 | 0.20 |
| Station Code | Computed z-Values | p-Values |
|---|---|---|
| 2304 | 1.839 | 0.066 |
| 2320 | −0.907 | 0.364 |
| 2305 | 1.754 | 0.079 |
| 2323 | 0.653 | 0.514 |
| 2322 | −1.201 | 0.230 |
| 2315 | 0.094 | 0.925 |
| Coefficient | (2304, 2320) | (2305, 2323) | (2315, 2322) |
|---|---|---|---|
| Pearson | 0.4956 (0.0013) | 0.7510 (3.65 × 10−8) | 0.785 (4.61 × 10−7) |
| Kendall | 0.3457 (0.002) | 0.4700 (2.69 × 10−5) | 0.5894 (7.99 × 10−6) |
| Fitted Copulas for the Pair (2304,2320) | ||||
|---|---|---|---|---|
| Copula | Par. Est. | Par. Var. | cAIC | GoF p-value |
| huslerReissCopula | 1.307 | 0.08289 | −10.54 | 66.58% |
| Fitted Copulas for the Pair (2305,2323) | ||||
| Copula | Par. Est. | Par. Var. | cAIC | GoF p-Value |
| t | 0.7191; 4 | 0.01263 | −25.83 | 91.66% |
| Fitted Copulas for the Pair (2322,2315) | ||||
| Copula | Par. Est. | Par. Var. | cAIC | GoF p-Value |
| t | 0.7987; 4 | 0.006353 | −23.63 | 26.52% |
| RP | Station | (2304,2320) Upper | (2305,2323) Middle | (2315,2322) Lower | |||||
|---|---|---|---|---|---|---|---|---|---|
| (years) | 2304 | 2320 | 2305 | 2323 | 2315 | 2322 | TAND | TAND | TAND |
| (m3/s) | (m3/s) | (m3/s | (m3/s) | (m3/s) | (m3/s) | (years) | (years) | (years) | |
| 5 | 3.68 | 5.39 | 12.94 | 6.34 | 44.94 | 35.39 | 12.2 | 8.4 | 7.6 |
| 10 | 3.42 | 4.63 | 11.78 | 5.03 | 42.67 | 32.49 | 35.9 | 18.7 | 16.5 |
| 20 | 3.21 | 4.00 | 10.88 | 4.02 | 41.08 | 30.25 | 105.4 | 39.8 | 34.8 |
| 50 | 3.00 | 3.28 | 9.90 | 2.93 | 39.52 | 27.86 | 437.9 | 104.5 | 90.4 |
© 2020 by the authors. Licensee MDPI, Basel, Switzerland. This article is an open access article distributed under the terms and conditions of the Creative Commons Attribution (CC BY) license (http://creativecommons.org/licenses/by/4.0/).
Share and Cite
Tosunoğlu, F.; Salvadori, G.; Yilmaz, M. Multivariate Assessment of Low-Flow Hazards via Copulas: The Case Study of the Çoruh Basin (Turkey). Water 2020, 12, 2848. https://doi.org/10.3390/w12102848
Tosunoğlu F, Salvadori G, Yilmaz M. Multivariate Assessment of Low-Flow Hazards via Copulas: The Case Study of the Çoruh Basin (Turkey). Water. 2020; 12(10):2848. https://doi.org/10.3390/w12102848
Chicago/Turabian StyleTosunoğlu, Fatih, Gianfausto Salvadori, and Muhammet Yilmaz. 2020. "Multivariate Assessment of Low-Flow Hazards via Copulas: The Case Study of the Çoruh Basin (Turkey)" Water 12, no. 10: 2848. https://doi.org/10.3390/w12102848
APA StyleTosunoğlu, F., Salvadori, G., & Yilmaz, M. (2020). Multivariate Assessment of Low-Flow Hazards via Copulas: The Case Study of the Çoruh Basin (Turkey). Water, 12(10), 2848. https://doi.org/10.3390/w12102848
