Assessing the Analytical Solution of One-Dimensional Gravity Wave Model Equations Using Dam-Break Experimental Measurements
Abstract
1. Introduction
2. Materials and Methods
2.1. Flume and Other Instruments
2.2. Data Acquisition Technology and Experimental Repeatability Verification
3. Results
3.1. Dry Bed Downstream Condition
3.1.1. Water Depth, Flow Discharge, Average Velocity and Fr
3.1.2. Upstream Negative Wave and Downstream Wave-Front Velocities for Dry Bed Downstream
3.2. Wet Bed Downstream Condition
3.2.1. Water Depth
3.2.2. Flow Discharge
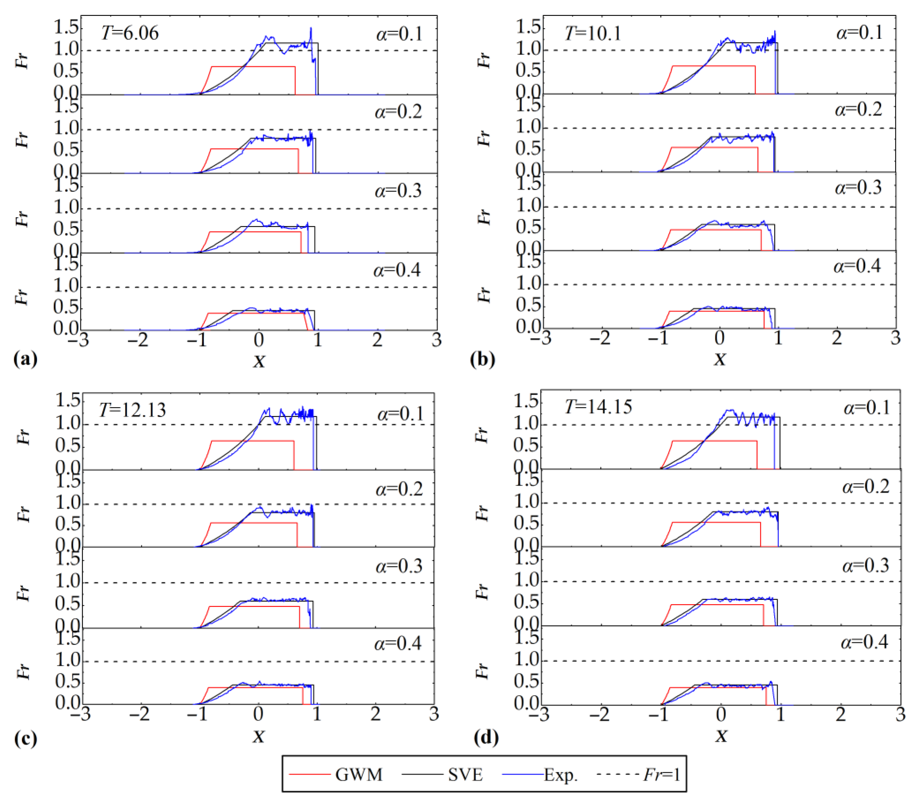
3.2.3. Average Velocity and Fr
3.2.4. Relative Error of Hydraulic Parameters in Steady Zone
3.2.5. Upstream Negative Wave and Downstream Wave-Front Velocities for Wet Bed Downstream
4. Discussion
5. Conclusions
- (1)
- The calculated result of the 1D GWM is very different from the experimental value for dry bed downstream. There is still a region with the same hydraulic parameters value downstream that does not appear in the experiment. The 1D GWM gives a poor description for the dam-break flow movement in the dry bed downstream case.
- (2)
- When α = 0.1, the second weak discontinuity point calculated by the 1D GWM is continuously developed upstream, which is contrary to the experimental results. When α = 0.2~0.4, the rarefaction wave zone of the 1D GWM is significantly shorter than that of the experiment, and the shock wave evolution distance is smaller than the experimental value.
- (3)
- When α = 0.1~0.4, the relative errors in the water depth, average velocity, Fr and flow discharge in the steady zone gradually decrease as the water depth ratio increases. When α = 0.4, the errors are 7.91%, 6.32%, 8.36%, and 3.94%, respectively. The upstream negative wave speeds for the 1D GWM and SVE are the same, but both are smaller than the experimental value. The downstream shock speed for the 1D GWM is smaller than the experimental value. However, as the water depth ratio increases, the errors in the upstream negative wave and downstream shock wave velocities are also reduced. When α = 0.4, the RRMSE values are 0.061 and 0.069, respectively.
Author Contributions
Funding
Conflicts of Interest
References
- Haltas, I.; Tayfur, G.; Elci, S. Two-dimensional numerical modeling of flood wave propagation in an urban area due to Ürkmez dam-break, İzmir, Turkey. Nat. Hazards 2016, 81, 2103–2119. [Google Scholar] [CrossRef]
- Kim, B.; Sanders, B.F. Dam-Break Flood Model Uncertainty Assessment: Case Study of Extreme Flooding with Multiple Dam Failures in Gangneung, South Korea. J. Hydraul. Eng. 2016, 142, 05016002. [Google Scholar] [CrossRef]
- Bosa, S. A Numerical Model of the Wave that Overtopped the Vajont Dam in 1963. Water Resour. Manag. 2013, 27, 1763–1779. [Google Scholar] [CrossRef]
- Ritter, A. The propagation of water waves. Ver Deutsh Ing. Z. 1892, 36, 947–954. [Google Scholar]
- Stoker, J.J. Water Waves; Interscience Publishers, Inc.: New York, NY, USA, 1957. [Google Scholar]
- Hunt, B. Asymptotic solution for dam-break on sloping channel. J. Hydraul. Eng. 1983, 109, 1698–1706. [Google Scholar] [CrossRef]
- Wang, B.; Chen, Y.; Wu, C.; Peng, Y.; Ma, X.; Song, J.J. Analytical solution of dam-break flood wave propagation in a dry sloped channel with an irregular-shaped cross-section. J. Hydro-Environ. Res. 2016, 14, 93–104. [Google Scholar] [CrossRef]
- Frazao, S.S.; Zech, Y. Undular bores and secondary waves -Experiments and hybrid finite-volume modelling. J. Hydraul. Res. 2003, 40, 33–43. [Google Scholar] [CrossRef]
- Kim, D.H.; Lynett, P.J. Dispersive and Nonhydrostatic Pressure Effects at the Front of Surge. J. Hydraul. Eng. 2011, 137, 754–765. [Google Scholar] [CrossRef]
- Cantero-Chinchilla, F.N.; Castro-Orgaz, O.; Dey, S.; Ayuso, J.L. Nonhydrostatic dam break flows. I: Physical equations and numerical schemes. J. Hydraul. Eng. 2016, 142, 04016068. [Google Scholar] [CrossRef]
- Stansby, P.K.; Tcd, B.; Chegini, A. The initial stages of dam-break flow. J. Fluid Mech. 1998, 374, 407–424. [Google Scholar] [CrossRef]
- Aleixo, R.; Soares-Frazão, S.; Zech, Y. Velocity-field measurements in a dam-break flow using a PTV Voronoï imaging technique. Exp. Fluids 2011, 50, 1633–1649. [Google Scholar] [CrossRef]
- Larocque, L.A.; Imran, J.; Chaudhry, M.H. Experimental and numerical investigations of two-dimensional dam-break flows. J. Hydraul. Eng. 2013, 139, 569–579. [Google Scholar] [CrossRef]
- Qian, H.; Cao, Z.; Liu, H.; Pender, G. New experimental dataset for partial dam-break floods over mobile beds. J. Hydraul. Res. 2017, 56, 1–12. [Google Scholar] [CrossRef]
- Soares-Frazão, S.; Canelas, R.; Cao, Z.; Cea, L.; Chaudhry, H.M.; Die Moran, A.; El Kadi, K.; Ferreira, R.; Cadórniga, I.F.; Gonzalez-Ramirez, N.; et al. Dam-break flows over mobile beds: Experiments and benchmark tests for numerical models. J. Hydraul. Res. 2012, 50, 364–375. [Google Scholar] [CrossRef]
- Goutiere, L.; Soares-Frazão, S.; Zech, Y. Dam-break flow on mobile bed in abruptly widening channel: Experimental data. J. Hydraul. Res. 2011, 49, 367–371. [Google Scholar] [CrossRef]
- Kocaman, S.; Ozmen-Cagatay, H. The effect of lateral channel contraction on dam-break flows: Laboratory experiment. J. Hydrol. 2012, 432–433, 145–153. [Google Scholar] [CrossRef]
- Kocaman, S.; Ozmen-Cagatay, H. Investigation of dam-break induced shock waves impact on a vertical wall. J. Hydrol. 2015, 525, 1–12. [Google Scholar] [CrossRef]
- Ozmen-Cagatay, H.; Kocaman, S.; Guzel, H. Investigation of dam-break flood waves in a dry channel with a hump. J. Hydro-Environ. Res. 2014, 8, 304–315. [Google Scholar] [CrossRef]
- Soares-Frazão, S. Experiments of dam-break wave over a triangular bottom sill. J. Hydraul. Res. 2007, 45, 19–26. [Google Scholar] [CrossRef]
- Aureli, F.; Maranzoni, A.; Mignosa, P.; Ziveri, C. An image processing technique for measuring free surface of dam-break flows. Exp. Fluids 2011, 50, 665–675. [Google Scholar] [CrossRef]
- Eaket, J.; Hicks, F.E. Use of stereoscopy for dam break flow measurement. J. Hydraul. Eng. 2005, 131, 24–29. [Google Scholar] [CrossRef]
- Wu, G.; Yang, Z.; Zhang, K.; Dong, P.; Lin, Y.T. A non-equilibrium sediment transport model for dam break flow over moveable bed based on non-uniform rectangular mesh. Water 2018, 10, 616. [Google Scholar] [CrossRef]
- Lu, C. Simulations of shallow water equations with finite difference lax-wendroff weighted essentially non-oscillatory Schemes. J. Sci. Comput. 2011, 47, 281–302. [Google Scholar] [CrossRef]
- Macchione, F.; Costabile, P.; Costanzo, C.; Lorenzo, G.D.; Razdar, B. Dam breach modelling: Influence on downstream water levels and a proposal of a physically based module for flood propagation software. J. Hydroinform. 2016, 18. [Google Scholar] [CrossRef]
- Peng, Y.; Zhou, J.G.; Burrows, R. Modelling the free surface flow in rectangular shallow basins by lattice boltzmann method. J. Hydraul. Eng. 2011, 137, 1680–1685. [Google Scholar] [CrossRef]
- Peng, Y.; Zhou, J.G.; Zhang, J.M.; Liu, H.F. Lattice boltzmann modelling of shallow water flows over discontinuous beds. Int. J. Numer. Method Fluids 2014, 75, 608–619. [Google Scholar] [CrossRef]
- Peng, Y.; Zhang, J.M.; Meng, J.P. Second order force scheme for lattice boltzmann model of shallow water flows. J. Hydraul. Res. 2017, 55, 592–597. [Google Scholar] [CrossRef]
- Peng, Y.; Meng, J.P.; Zhang, J.M. Multispeed lattice boltzmann model with stream-collision scheme for transcritical shallow water flows. Math. Probl. Eng. 2017, 2017. [Google Scholar] [CrossRef]
- Meng, J.P.; Gu, X.J.; Emerson, D.R.; Peng, Y.; Zhang, J.M. Discrete boltzmann model of shallow water equations with polynomial equilibria. Int. J. Mod. Phys. 2018. [Google Scholar] [CrossRef]
- Peng, Y.; Zhou, J.G.; Burrows, R. Modelling solute transport in shallow water with the lattice Boltzmann method. Comput. Fluids 2011, 50, 181–188. [Google Scholar] [CrossRef]
- Peng, Y.; Zhou, J.G.; Zhang, J.M.; Burrows, R. Modeling moving boundary in shallow water by LBM. Int. J. Mod. Phys. C 2013, 24, 1–17. [Google Scholar] [CrossRef]
- Peng, Y.; Zhou, J.G.; Zhang, J.M. Mixed numerical method for bed evolution. Proc. Inst. Civil Eng. Water Manag. 2015, 168, 3–15. [Google Scholar] [CrossRef]
- Peng, Y.; Zhang, J.M.; Zhou, J.G. Lattice Boltzmann Model Using Two-Relaxation-Time for Shallow Water Equations. J. Hydraul. Eng. 2016, 142, 06015017. [Google Scholar] [CrossRef]
- Ata, R.; Soulaïmani, A. A stabilized SPH method for inviscid shallow water flows. Int. J. Numer. Methods Fluids 2005, 47, 139–159. [Google Scholar] [CrossRef]
- Amicarelli, A.; Albano, R.; Mirauda, D.; Agate, G.; Sole, A.; Guandalini, R. A smoothed particle hydrodynamics model for 3d solid body transport in free surface flows. Comput. Fluids 2015, 116, 205–228. [Google Scholar] [CrossRef]
- Albano, R.; Sole, A.; Mirauda, D.; Adamowski, J. Modelling large floating bodies in urban area flash-floods via a smoothed particle hydrodynamics model. J. Hydrol. 2016, 541, 344–358. [Google Scholar] [CrossRef]
- Moussa, R.; Bocquillon, C. On the use of the diffusive wave for modelling extreme flood events with overbank flow in the floodplain. J. Hydrol. 2009, 374, 116–135. [Google Scholar] [CrossRef]
- Bates, P.D.; Horritt, M.S.; Fewtrell, T.J. A simple inertial formulation of the shallow water equations for efficient two-dimensional flood inundation modelling. J. Hydrol. 2010, 387, 33–45. [Google Scholar] [CrossRef]
- Neal, J.; Villanueva, I.; Wright, N.; Fewtrell, T.; Bates, P. How much physical complexity is needed to model flood inundation? Hydrol. Process. 2012, 26, 2264–2282. [Google Scholar] [CrossRef]
- Costabile, P.; Costanzo, C.; Macchione, F. Performances and limitations of the diffusive approximation of the 2-d shallow water equations for flood simulation in urban and rural areas. Appl. Numer. Math. 2016. [Google Scholar] [CrossRef]
- Almeida, G.A.M.D.; Bates, P. Applicability of the local inertial approximation of the shallow water equations to flood modeling. Water Resour. Res. 2013, 49, 4833–4844. [Google Scholar] [CrossRef]
- Aricò, C.; Nasello, C. Comparative analyses between the zero-inertia and fully dynamic models of the shallow water equations for unsteady overland flow propagation. Water 2018, 10, 44. [Google Scholar] [CrossRef]
- Martins, R.; Leandro, J.; Djordjević, S. Analytical solution of the classical dam-break problem for the gravity wave–model equations. J. Hydraul. Eng. 2016, 142, 06016003. [Google Scholar] [CrossRef]
- Martins, R.; Leandro, J.; Djordjević, S. Analytical and numerical solutions of the local inertial equations. Int. J. Non-Linear Mech. 2016, 81, 222–229. [Google Scholar] [CrossRef]
- Lauber, G.; Hager, W.H. Experiments to dambreak wave: Horizontal channel. J. Hydraul. Res. 1998, 36, 291–307. [Google Scholar] [CrossRef]
- Bento, A.M.; Amaral, S.; Viseu, T.; Cardoso, R.; Rui, M.L.F. Direct estimate of the breach hydrograph of an overtopped earth dam. J. Hydraul. Eng. 2017, 143. [Google Scholar] [CrossRef]
- Cestero, J.A.F.; Imran, J.; Chaudhry, M.H. Experimental investigation of the effects of soil properties on levee breach by overtopping. J. Hydraul. Eng. 2014, 141, 04014085. [Google Scholar] [CrossRef]
- Leal, J.G.A.B.; Ferreira, R.L.; Cardoso, A.H. Dam-break waves on movable bed. In Proceedings of the Fluvial Hydraulics: River Flow 2002, Louvain-la-Neuve, Louvain-la-Neuve, Belgium, 4–6 September 2002; Bousmar, D., Zech, Y., Eds.; Balkema: Rotterdam, The Netherlands; pp. 553–563. [Google Scholar]
- Bukreev, V.I.; Degtyarev, V.V.; Chebotnikov, A.V. Experimental verification of methods for calculating partial dam-break waves. J. Appl. Mech. Tech. Phys. 2008, 49, 754–761. [Google Scholar] [CrossRef]
- Bukreev, V.I.; Gusev, A.V. Gravity waves due to discontinuity decay over an open-channel bottom drop. J. Appl. Mech. Tech. Phys. 2004, 44, 506–515. [Google Scholar] [CrossRef]














| hu (m) | hd (m) | ||||
|---|---|---|---|---|---|
| α = 0 | α = 0.1 | α = 0.2 | α = 0.3 | α = 0.4 | |
| 0.6 | 0 | 0.06 | 0.12 | 0.18 | 0.24 |
| Variable | Area 1 | Area 2 | Area 3 | Area 4 |
|---|---|---|---|---|
| 0 | 0 | |||
| - | - | - | ||
| - |
© 2018 by the authors. Licensee MDPI, Basel, Switzerland. This article is an open access article distributed under the terms and conditions of the Creative Commons Attribution (CC BY) license (http://creativecommons.org/licenses/by/4.0/).
Share and Cite
Liu, W.; Wang, B.; Chen, Y.; Wu, C.; Liu, X. Assessing the Analytical Solution of One-Dimensional Gravity Wave Model Equations Using Dam-Break Experimental Measurements. Water 2018, 10, 1261. https://doi.org/10.3390/w10091261
Liu W, Wang B, Chen Y, Wu C, Liu X. Assessing the Analytical Solution of One-Dimensional Gravity Wave Model Equations Using Dam-Break Experimental Measurements. Water. 2018; 10(9):1261. https://doi.org/10.3390/w10091261
Chicago/Turabian StyleLiu, Wenjun, Bo Wang, Yunliang Chen, Chao Wu, and Xin Liu. 2018. "Assessing the Analytical Solution of One-Dimensional Gravity Wave Model Equations Using Dam-Break Experimental Measurements" Water 10, no. 9: 1261. https://doi.org/10.3390/w10091261
APA StyleLiu, W., Wang, B., Chen, Y., Wu, C., & Liu, X. (2018). Assessing the Analytical Solution of One-Dimensional Gravity Wave Model Equations Using Dam-Break Experimental Measurements. Water, 10(9), 1261. https://doi.org/10.3390/w10091261
