Next Article in Journal
Spatiotemporal Analysis of Urban Heat Islands and Vegetation Cover Using Emerging Hotspot Analysis in a Humid Subtropical Climate
Next Article in Special Issue
Causes of Summer Ozone Pollution Events in Jinan, East China: Local Photochemical Formation or Regional Transport?
Previous Article in Journal
The Return Period Wind Speed Prediction of Beijing Urban Area Based on Short-Term Measured Wind Speed
Previous Article in Special Issue
Seasonal Variations in Anthropogenic and Natural Particles Induced by Rising CO2 Levels
 
 
Font Type:
Arial Georgia Verdana
Font Size:
Aa Aa Aa
Line Spacing:
Column Width:
Background:
Article

Characteristics and Sensitivity Analysis of Ozone Pollution in a Typical Inland City in China

1
Beijing Municipal Research Institute of Eco-Environmental Protection, Beijing 100037, China
2
Beijing Key Laboratory of Urban Atmospheric Volatile Organic Compounds Pollution Control and Application, Beijing 100037, China
*
Author to whom correspondence should be addressed.
Atmosphere 2024, 15(2), 160; https://doi.org/10.3390/atmos15020160
Submission received: 4 January 2024 / Revised: 22 January 2024 / Accepted: 23 January 2024 / Published: 25 January 2024
(This article belongs to the Special Issue Ozone Pollution and Effects in China)

Abstract

In this research, long-term monitoring data from 2020 to 2023 were used to characterize O3 pollution in a typical inland city in northwest China (34°21′ N 109°30′ E), which indicated that ozone pollution yielded typical regular fluctuations and high ozone concentrations from April to September were observed. Ozone varied in the range of 16–176 μg/m3, and maximum peaks were found usually at 14:00–17:00 in June and July. Correlation analysis showed a significant positive relationship between ozone and temperature, with correlation coefficients of 0.93. The wind speed exhibits a similar variation as ozone. Meanwhile, negative correlations were not so notably observed among ozone, humidity, VOCs, and NOx. Finally, the empirical kinetic model OZIPR (Ozone Isopleth Plotting Program for Research) was employed to analyze the sensitivity relationship among ozone and precursor compounds by calculating EMKA (Empirical Kinetics Modeling Approach) curves. The EKMA analysis results showed that during the whole ozone pollution period, ozone formation is mainly dominated by VOCs due to all the ratios of VOCs/NOx which fell in the VOCs control region. Therefore, VOCs should be priority controlled and more measures should be taken for better ozone pollution control abatement.

1. Introduction

Ozone is regarded not only as a greenhouse gas, but also an important trace gas in the atmosphere. Usually, it is formed through the complex chemical reactions involving volatile organic compounds (VOCs) and nitrogen oxides (NOx) [1]. Ozone directly affects the radiative balance, has an impact on global and regional climates, and could also bring a threat to public health [2]. Therefore, it is considered as an important pollutant to be controlled. According to monitoring data provided by the ecological and environmental authorities in China for the year 2021 [3], the occurrences where ozone constituted the primary pollutant comprised 34.7% of the total days exceeding the established standards. Meanwhile, in the Beijing–Tianjin–Hebei areas, the Yangtze River Delta region and the Fenwei Plain, the values were 41.8%, 55.4%, and 39.3%, respectively. All those data indicate that ozone has become one of the primary pollutants in China and urgent measures for ozone pollution prevention is highlighted [4,5].
Researchers have already found that ozone is formed through complex photochemical reactions of precursor species, and its relationship with precursor substances such as volatile organic compounds (VOCs) and nitrogen oxides (NOx) is more complex [6]. Currently, there are three primary methods, which could be used for the relation analysis among ozone and its precursor substances [7]. The first one involves indicators related to the characteristic species ratios associated with ozone formation, such as VOCs/NOx, O3/NOz, and H2O2/HNO3. The second one, known as the Observation Based Model (OBM), is based on observational data, which are not influenced by pollutant emission sources. In recent years, it has been widely used in the sensitivity analyses of urban ozone in key regions in China. For example, Han’s studies revealed that ozone was most sensitive to anthropogenic VOCs, followed by natural VOCs and CO, and was not so sensitive to NOx [8] in Chengdu. The third one is an Emission-Based Model (EBM), originated from emission inventories, and the accuracy is mainly affected by the uncertainty of emission inventories. Compared with the indicator method, the OBM and EBM methods were more used by researchers due to the involvement of a series of chemical reactions employed for the sensitivity analysis. Meanwhile, in China, a significant contributor to ozone pollution is the substantial emission of VOCs, which could lead to an exacerbation of photochemical reactions [9]. Another study also indicted that meteorological factors including radiation, temperature, wind speed, and others could also have a different impact on ozone formation, in which intense ultraviolet radiation and high temperatures promote the rate of photochemical reaction generation, and lower wind speeds play an important role in the transport and dispersion of ozone [10]. Meanwhile, in this study, the long-term air pollutants monitoring data, including ozone, VOCs, and NOx, and meteorological data of a typical inland city in northwest China (34°21′ N 109°30′ E) were analyzed and discussed, and the characteristics and sensitivity of ozone were analyzed based on the collected data and OBM model. The aim of this paper is to provide reference for regional air pollution prevention and control.

2. Materials and Methods

In this paper, the data of air pollutants including ozone and meteorological parameters were collected from the national monitoring station in an inland city located in the central part of Shaanxi Province, China (34°21′ N 109°30′ E), for which terrain consisted of hills and plains, with higher elevations in the northeast and lower elevations in the southwest. The city had a warm, temperate, semi-humid monsoon climate, with four distinct seasons. Summers were hot and dry. The primary objective of this paper was to provide valuable insights for regional air pollution prevention and control strategies. In this research, there are four monitoring stations, and the common online monitoring pollutants from 2020 to 2023 include ozone, nitrogen oxides, CO, and so on. Additionally, the meteorological hourly observation data collected include ground temperature, relative humidity, and wind speed. As for VOCs, they were detected by online monitoring system at one monitoring station. And VOCs were also manually collected every 3 days at another three stations, and then analyzed by GC-MS (BCT-7800A PLUS) in the lab. A total of 116 VOCs species could be detected, which include alkanes, aromatics, olefins, halogenated hydrocarbons, esters, aldehydes, ketones, and so on. VOCs sample was concentrated by using a three-grade cold trap to capture and concentrate specific species of VOCs, where the primary cold trap was glass microspheres that were filled to remove water and oxygen and the secondary cold trap was filled with Tenax, which plays a decisive role in capturing sulfur-containing organic compounds and removing carbon dioxide. And the third cold trap used silanized stainless steel capillary tubes for condensation and focusing VOCs. After concentration, VOCs were automatically injected into GC-MS for further detection and analysis. More details about the analysis could be seen elsewhere [11]. Meanwhile, during the monitoring process, quality assurance measures were strictly implemented in accordance with the Technical Requirements and Detection Methods for Gas Chromatography Continuous Monitoring System of Volatile Organic Compounds in Environmental Air (HJ1010-2018) [12] to ensure the reliability of the data. In addition, the Photochemical Assessment Monitoring Stations (PAMS) standard gases and TO-15 standard gases, U.S. EPA Standard Method for Detecting Toxic Volatile (Non-Polar and Weakly Polar) Organics in the Air were also used for calibration to ensure the coefficients of the standard working curves for each determined compound.
In this research, an OBM model named OZIPR, developed by the Environmental Protection Agency (EPA), Washington, DC, USA was used to simulate and analyze the physicochemical properties and transport diffusion of ozone. This model incorporated various atmospheric processes and factors, such as emission sources, chemical reactions, meteorological conditions, and so on, with the purpose to provide a comprehensive understanding of ozone formation and its relationship with precursor species. The OZIPR model enabled researchers to assess the impacts of different emission scenarios and evaluate the effectiveness of air quality control strategies in mitigating ozone pollution [13]. As a result, the empirical kinetics modeling approach (EKMA) could be used to describe the sensitivity relationship between ozone and precursor compounds. The shape of the EKMA curve varied according to the meteorological factors and changes in the proportion of ozone precursors. It could not only calculate concentration curves for maximum ozone levels under different concentrations of VOCs and NOx prior to photochemical reactions [14], but also intuitively reflected the relationship between the changes in VOCs and NOx in a quantitative analysis of the control of ozone concentration through the regulation of precursor emissions [15,16].

3. Results and Discussion

3.1. Characteristics of Ozone

The daily maximum 8 h-averaged 90th percentile mass concentrations of O3 [ρ(O3-8 h 90per)] in a typical inland city in northwest China (34°21′ N 109°30′ E) from 2020 to 2023 were 182.58 μg/m3, 186.61 μg/m3, 242.30 μg/m3, and 228.71 μg/m3, respectively, which exceeded the national air quality standard for the second level (160 μg/m3). The trend of monthly variations in the monitoring data for this city in recent years is presented in Figure 1. The trend of changes in monthly ρ(O3-8 h 90per), from Figure 1, were high in the middle and low at both ends, in which relatively high ozone concentrations from April to September from 2020 to 2023 were yielded and exceeded the national ambient air quality secondary standards. Meanwhile, rather lower concentration of O3 were found from January to March and October to December, with the lowest values in December, which were 58.52 μg/m3, 43 μg/m3, and 59.14 μg/m3 for the year of 2020, 2021, 2022, and 2023, respectively.
From Figure 2, it can be seen that ozone has the same trend from 2020 to 2023, with the maximum ozone concentrations occurring between 16:00 and 17:00 throughout the whole day. The valley of the ozone curve appeared in the morning from 06:00 to 07:00 in those years, and the valley ozone concentrations during April to September exhibited distinct patterns in the years 2020 to 2023. In 2020, the values ranged from 21.93 μg/m3 to 47.90 μg/m3, with the lowest concentration observed in September (21.93 μg/m3). In 2021, ozone varied between 25.6 μg/m3 and 41.36 μg/m3, reaching the minimum in April (25.6 μg/m3). In 2022, ozone ranged from 21.33 μg/m3 to 55.76 μg/m3, with the lowest value in April (21.33 μg/m3). In 2023, ozone fluctuated between 16.85 μg/m3 and 38.35 μg/m3, with the minimum in September (16.85 μg/m3). Furthermore, a consistent daily ozone concentration peak was observed between 15:00 and 17:00, which could be attributed to heightened solar radiation and increased photochemical reactions across the recent years. And the peak values were in the range of 108.53–130.35 μg/m3, 141.21–146.78 μg/m3, 135.31–176.81 μg/m3, 138.84–160.99 μg/m3, 119.86–142.83 μg/m3, and 114.97–139.23 μg/m3 from April to September in 2020–2023, respectively. On the contrary, as night fell and the intensity of solar radiation decreased, the concentrations of ozone gradually decreased. From Figure 2, an examination of the independent monthly variations indicated a consistent pattern characterized by a “single-peak”. Notably, the ozone concentration exhibited a similar trend each month, displaying a minimum concentration around 7:00 a.m. Subsequently, with increasing temperatures and enhanced solar radiation, chemical reactions among reactive species intensify, leading to a gradual ascent in the ozone concentration, reaching the maximum around 16:00 in the afternoon. Based on a cross-year observation from 2020 to 2023, it was clear that ozone concentrations were highest during the months of June and July consistently, which could be related to the elevated temperatures and intense solar radiation during June and July.
The distribution of ozone exceeding the standard days in this city from 2020 to 2023 is shown in Table 1. From Table 1, it can be seen that the number of days that ozone exceeded [17] the standard days in 2020 was 48, and the maximum number, which reached up to 12 days, was found in May. Similarly, the exceeding standard days in 2021 were 61, and the maximum number, which reached up to 17 days, was found in June. In 2022, the numbers of days where ozone exceeded the standard days was 85, and the maximum number reached up to 23 days in June. The number of days where ozone exceeded the standard days in 2023 from January to September was 61 days, and the maximum number, which reached up to 18 days, was found in June. The maximum numbers were all found in June. Based on the four-year data analysis, it could be inferred that the city is experiencing significant ozone pollution, as indicated by a high frequency of days exceeding the established air quality standards.

3.2. Influence of Meteorological Factors

Ozone is generated from a series of complex photochemical reactions, which could be affected by external factors such as temperature, humidity, and wind speed [18,19], where temperature and humidity determine the reaction rate of ozone generation, and wind speed has a diffusion effect on the atmosphere [20]. Relevant studies show that temperatures and extended solar radiation could promote photochemical reactions, resulting in increasing ozone levels, which are attributed to the ability of solar radiation to initiate photochemical reactions between nitrogen oxides and volatile organic compounds in the atmosphere. Furthermore, relative humidity and wind speed also play an important role in ozone formation. In general, an upward trend in relative humidity has been found to be associated with a concurrent decline in the ozone (O3) concentration. This correlation could be attributed to the impact of an increased water vapor content on photochemical reactions. Ozone formation in the atmosphere occurs through photochemical reactions involving precursors such as nitrogen oxides (NOx) and volatile organic compounds (VOCs) which are excited by ultraviolet (UV) radiation to generate ozone. However, an elevation in the relative humidity causes a rise in the atmospheric water vapor content, leading to the enhanced absorption of UV radiation by water molecules. Consequently, the intensity of UV radiation available for ozone formation diminishes, thus impeding the production of ozone. Consequently, the inhibition of photochemical reactions due to the increased relative humidity results in a reduction in the ozone concentration. On the contrary, higher wind speeds facilitate the dispersion of ozone and other pollutants. Yi’s [21] studies on the pollution characteristics and influencing factors of ozone in the Yangtze River Delta region revealed that when the relative humidity and wind speed increased, the frequency of ozone exceedances and the average ozone concentration followed a pattern of an initial increase and a subsequent decrease. This indicates that lower relative humidity and wind speeds might result in ozone accumulation in the atmosphere, and increased humidity and wind speeds could also contribute to ozone dilution and removal. In addition, in this study, the correlation of the meteorological factors was analyzed to investigate their effects on ozone generation.
Based on the data of 2020–2023, it could be seen that the high ozone values in 2020–2023 appeared from April to September and the maximum values were usually found in June and July. The relationship between ozone and temperature is shown in Figure 3a, in which the temperature and ozone have the same trend, and the correlation between ozone and temperature is also shown in Figure 3b, which shows the high positive correlation with a correlation coefficient of 0.93 between temperature and ozone.
In addition, the analysis of the hourly average values of ozone and temperature indicates that the median ozone concentration in the city was about 29 μg/m3 in the condition of a temperature below 20 °C, and the median ozone concentration was close to 150 μg/m3 in the condition of a temperature beyond 30 °C. Compared with other studies, it could be explained that stronger solar radiation was often accompanied by higher temperatures, which could accelerate the rate of photochemical reactions and result in increasing ozone concentrations [22].
Figure 4 demonstrated the relationship between ozone and the relative humidity. From Figure 4a, it can be seen that ozone concentrations decreased when humidity increased, and from Figure 4b, it can be seen that there was a significant negative correlation between humidity and ozone, with a correlation coefficient of 0.97. This can be explained by the fact that when the relative humidity was high, the presence of water vapor in the atmosphere could have an impact on the solar ultraviolet (UV) radiation and photochemical reactions, resulting in the weakening of atmospheric photochemical reactions [21]. Meanwhile, the presence of water vapor could also enhance the formation of clouds, which further attenuated UV radiation by reflecting and scattering it back into ambient air. As a result, the amount of UV radiation available for photochemical reactions in the lower atmosphere could be decreased. Additionally, high relative humidity could also affect the availability and reactivity of certain atmospheric species involved in photochemical reactions. For example, water vapor could react with nitrogen oxides (NOx) and other reactive species, leading to the formation of nitric acid (HNO3) and other products. These reactions could reduce the concentrations of NOx and other key photochemical reactants, thereby weakening the overall photochemical activity in the atmosphere. In summary, high relative humidity in the atmosphere could weaken atmospheric photochemical reactions by reducing the amount of solar UV radiation reaching the Earth’s surface, promoting cloud formation, and modifying the availability and reactivity of key photochemical reactants.
Wind speed can affect the atmospheric turbulence and strong wind is favorable for mixing the upper layer of ozone to the ground. Where the wind speed is slower, the ozone mixing effect would be stronger than the diffusion effect, resulting in an increase in ozone. Figure 5 gives the relationship between wind speed and ozone. Figure 5 shows the daily trend of the ozone concentration and wind speed, where both the wind speed and ozone reached the minimum at the point of 6:00–7:00 a.m. in the day. Meanwhile, when the wind speed increased, the same trend of ozone could also be found. Through the analysis of the diurnal variations of ozone and wind speed, it was found that there was a certain relationship between them. The correlation between ozone and wind speed was primarily due to their shared exposure to similar diurnal influences. Specifically, the ozone concentration and wind speed exhibited a tendency to increase or decrease simultaneously during specific time periods. This correlation does not imply a cause-and-effect relationship, but rather stems from their mutual response to similar atmospheric and meteorological conditions, which contributed to a better understanding of the interplay between ozone and wind speed during diurnal variations.

3.3. Impact of Precursors on O3 Formation

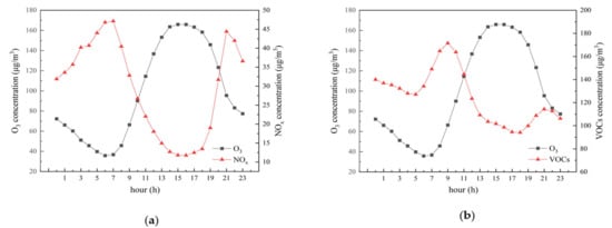
Ozone is regarded as a typical secondary pollutant in the atmosphere, and its formation is directly related to the concentration and reactivity of precursors including VOCs and NOx [18,23]. This relationship between ozone concentrations and precursor substances over a 24 h period is depicted in Figure 6. From Figure 6a, it can be seen that NOx was rather high from 6:00 a.m. to 7:00 a.m., and then decreased from 7:00 a.m. to 16:00 p.m., and NOx reached the lowest point at 16:00 p.m. Concurrently, ozone concentrations reached their peak during this time, displaying an inverse trend to changes in NOx concentrations [24,25]. From Figure 6b, it can be seen that there was a negative correlation between ozone and VOCs. Between 9:00 a.m. and 14:00 p.m., VOCs significantly decreased, while the ozone concentrations increased notably. The daily peak of the ozone concentration occurred at approximately 15:00 p.m., while the minimum for the VOCs concentration was reached at 17:00.
This negative correlation arose due to the involvement of VOCs and NOx in intricate chemical reactions within the atmosphere, which are influenced by factors such as sunlight, temperature, and the atmospheric composition. VOCs participate in photochemical reactions with hydroxyl radicals (OH), resulting in the production of HO2 and RO2, thereby facilitating ozone formation. Under ultraviolet (UV) radiation, VOCs can directly generate ozone through photolysis. UV radiation absorbed by VOCs molecules provides the necessary energy for bond dissociation, triggering a series of photolysis reactions. The resulting reactive intermediates react with atmospheric oxygen molecules, ultimately leading to ozone formation. Consequently, an increase in the VOCs concentration is typically associated with elevated ozone levels. Figure 6 illustrates that VOCs and NOx emissions peak during the morning hours between 7:00 a.m. and 8:00 a.m., when the ozone mixing ratio is relatively low. As photochemical reactions progress, the mixing ratio of VOCs and NOx decreases, thereby promoting ozone formation. Ozone concentrations reach their daily maximum at approximately 16:00 p.m. Overall, a negative correlation between ozone and precursor substances (VOCs and NOx) is observed between 8:00 a.m. and 16:00 p.m.

3.4. Ozone Sensitivity Analysis

The formation of ozone has a highly nonlinear relationship with its precursors (NOx and VOCs), and the EKMA model can not only reflect the sensitivity relationship between ozone and its precursors, but can also identify the sensitivity of the dominated precursors [26].
Figure 7 shows the ozone isopleths in the model simulations based on the six-month data, which represents a rather high ozone pollution period. In each simulation, the straight line was identified as a ridge line of the maximum ozone level, which divided the whole region into a VOCs-limited part and a NOx-limited part. In the VOCs-limited region, ozone formation was more sensitive to VOCs than NOx, and ozone pollution would be weaker in the condition of VOCs reduction. On the contrary, ozone formation was more sensitive to NOx than VOCs in the NOx-limited region, and ozone pollution could also be changed due to the different NOx control measures. As shown in Figure 7, all the ratios of VOCs/NOx from April to September fell in the region above the ridge line, indicating that in this city, ozone is dominated by VOCs and ozone could be better controlled by reducing VOCs emissions.
As far as VOCs control is concerned, a whole-process control of industrial emissions was suggested here due to their large contribution to the anthropogenic sources in China, which mainly includes source reduction, processing waste gas collection enhancement, and end-pipe emission treatments. Generally speaking, source reduction could be achieved in two different ways including Leak detection and repair (LDAR) and material substitution. As for the former, LDAR has already been proved to be an efficient way to achieve source reduction in refining, petrochemical, and other chemical industries. As for the latter, water-borne and less VOCs-containing materials are the key factors to source substitutions for industries related to painting, coating, and organic solvent usage. As far as waster gas collection is concerned, it follows the principle of collecting all that is possible, and effective collection is of importance to the following treatment. Different collections, including the gas-collecting hood, pipe collection, airtight compartment, and others, are used under different conditions in which airtight collection under a negative pressure yields the best collection efficiency. From the viewpoint of end-pipe emission control, though technologies including adsorption, absorption, condensation, membrane separation, thermal combustion, catalytic combustion, low-temperature plasma, photo-oxidation, biodegradation, and others are already widely used in industrial VOCs emission control, the treatment needs to include the consideration of multiple factors, including policies, emission standards, investment, technical support, and so on.

4. Conclusions

In this research, a typical inland city in northwest China (34°21′ N 109°30′ E), which is recognized as a representative regional ozone-polluted city in China, was chosen as the research subject. The long-term monitoring and analysis of ozone concentrations in this city from 2020 to 2023 were carried out. The findings revealed that ozone pollution exhibited more prominence during the period from April to September, with peak levels typically occurring between 16:00 and 17:00 in the months of June and July. This result could be attributed to various factors, including the solar radiation intensity, ambient temperature, and humidity levels. The investigation demonstrated a positive correlation between the ozone concentration and temperature, while a negative correlation was observed between the ozone concentration and humidity. Such relationships could be explained by the enhanced rates of photochemical reactions under conditions of a high temperature and low humidity, leading to elevated ozone levels. Conversely, in humid conditions, ozone molecules were adsorbed and diluted by water molecules, resulting in decreased ozone concentrations. Furthermore, the application of the OZIPR model revealed that ozone formation was primarily driven by volatile organic compounds (VOCs) due to the higher VOCs/NOx ratio beyond the ridge line of the EKMA curve. This implies that reducing the emissions of VOCs could be one of the most effective strategies for controlling ozone pollution in the studied city. Based on these findings, it is recommended that the city adopts additional measures to mitigate VOCs emissions, thereby enhancing the control of ozone pollution.

Author Contributions

Conceptualization, X.H.; methodology, X.H.; formal analysis, X.H.; investigation and data curation, R.H. and M.W.; writing—original draft preparation, X.H.; writing—review and editing, H.W.; visualization, Z.Y.; supervision, H.W.; project administration, H.W.; funding acquisition, H.W. All authors have read and agreed to the published version of the manuscript.

Funding

This research was funded by the National Natural Science Foundation of China (NO. 42207516); Beijing Natural Science Foundation (NO. 8232031); Municipal Research Institute of Environmental Protection (NO. Y2021-001).

Institutional Review Board Statement

Not applicable.

Informed Consent Statement

Not applicable.

Data Availability Statement

The data presented in this study are available on request from the corresponding author. The data are not publicly available due to the promise to local authorities during the sampling period.

Conflicts of Interest

The authors declare no conflict of interest.

References

  1. Zhao, Y.; Li, Y.; Kumar, A.; Ying, Q.; Vandenberghe, F.; Kleeman, M.J. Separately resolving NOx and VOC contributions to ozone formation. Atmos. Environ. 2022, 285, 119224. [Google Scholar] [CrossRef]
  2. Anbari, K.; Khaniabadi, Y.O.; Sicard, P.; Naqvi, H.R.; Rashidi, R. Increased tropospheric ozone levels as a public health issue during COVID-19 lockdown and estimation the related pulmonary diseases. Atmos. Pollut. Res. 2022, 13, 101600. [Google Scholar] [CrossRef]
  3. Ministry of Ecology and Environment of China. Communiqué on the State of China’s Ecology and Environment in 2021 (excerpt). Environ. Prot. 2022, 50, 61–74. [Google Scholar] [CrossRef]
  4. Li, Y.; Yin, S.; Yu, S.; Bai, L.; Wang, X.; Lu, X.; Ma, S. Characteristics of ozone pollution and the sensitivity to precursors during early summer in central plain, China. J. Environ. Sci. 2021, 99, 354–368. [Google Scholar] [CrossRef] [PubMed]
  5. Yu, R.; Lin, Y.; Zou, J.; Dan, Y.; Cheng, C. Review on Atmospheric Ozone Pollution in China: Formation, Spatiotemporal Distribution, Precursors and Affecting Factors. Atmosphere 2021, 12, 1675. [Google Scholar] [CrossRef]
  6. Yu, D.; Tan, Z.; Lu, K.; Ma, X.; Li, X.; Chen, S.; Zhu, B.; Lin, L.; Li, Y.; Qiu, P.; et al. An explicit study of local ozone budget and NOx-VOCs sensitivity in Shenzhen China. Atmos. Environ. 2020, 224, 117304. [Google Scholar] [CrossRef]
  7. Hou, M.; Jiang, X.-M.; Zhao, W.-P.; Ma, L.; Huang, H.-M.; Fan, L.-Y.; Ye, D.Q. Ozone Pollution Characteristics and Sensitivity During the Ozone Pollution Days in Summer 2021 of Xinxiang City. Environ. Sci. 2023, 44, 2472–2480. [Google Scholar] [CrossRef]
  8. Li, H.; Junhui, C.; Tao, J.; Chenxi, X.; Yingjie, L.; Chenghui, W.; Bo, W.; QIAN Jun, L.Z. Sensitivity analysis of atmospheric ozone formation to its precursors in Chengdu with an observation based model. Acta Sci. Circumstantiae 2020, 40, 4092–4104. [Google Scholar] [CrossRef]
  9. Guo, Y.; Bao, Y.; Liu, D. Spatial-Temporal Variations of Tropospheric Ozone over Typical Urban Agglomerations in China Based on Satellite and Surface Observations. Res. Environ. Sci. 2022, 35, 719–730. [Google Scholar] [CrossRef]
  10. Chuan-bo, F.; Li, D.; Jin-he, T.; Wen-shuai, X. Spatial and Temporal Variations in Ozone Pollution and Sensitivity Characteristics in Hainan Island. Environ. Sci. 2023, 44, 4799–4808. [Google Scholar] [CrossRef]
  11. Jiang, L.; Song, X.-J.; Li, H.-y.; Wang, J.; Ye, M.-q. Simultaneous Determination of 116 Volatile Organic Compounds in Ambient Air by GC-MS with Canister Sampling and Cryogenic Pre-concentrated System. Environ. Monit. Forewarning 2021, 13, 24–30. [Google Scholar]
  12. Ministry of Ecology and Environment of China. Specifications and Test Procdeures for Ambient Air Quality Continuous Monitoring System with Gas Chromatography for Volatile Organic Compounds. 2018, HJ 1010–2018. Available online: https://www.mee.gov.cn/ywgz/fgbz/bz/bzwb/jcffbz/201901/t20190105_688615.shtml (accessed on 20 December 2023).
  13. Wang, D.C.; Zhou, J.B.; Han, L.; Tian, W.A.; Wang, C.H.; Li, Y.J.; Chen, J.H. Source apportionment of VOCs and ozone formation potential and transport in Chengdu, China. Atmos. Pollut. Res. 2023, 14, 101730. [Google Scholar] [CrossRef]
  14. Zhang, Y. Research on Ozone Pollution Control in Tianjin. Master’s Thesis, Tiangong University, Tiangong, China, 2016. [Google Scholar]
  15. Yang, X.; Gao, L.H.; Zhao, S.Y.; Pan, G.; Fan, G.L.; Xia, Z.Y.; Sun, X.Y.; Xu, H.Y.; Chen, Y.J.; Jin, X.L. Volatile Organic Compounds in the North China Plain: Characteristics, Sources, and Effects on Ozone Formation. Atmosphere 2023, 14, 318. [Google Scholar] [CrossRef]
  16. Cui, M.; An, X.Q.; Xing, L.; Li, G.H.; Tang, G.Q.; He, J.J.; Long, X.; Zhao, S.M. Simulated Sensitivity of Ozone Generation to Precursors in Beijing during a High O3 Episode. Adv. Atmos. Sci. 2021, 38, 1223–1237. [Google Scholar] [CrossRef]
  17. GB 3095-2012; Ambient Air Quality Standards. Chinese Academy of Environmental Sciences: Beijing, China, 2012.
  18. Hertig, E.; Schneider, A.; Peters, A.; Von Scheidt, W.; Kuch, B.; Meisinger, C. Association of ground-level ozone, meteorological factors and weather types with daily myocardial infarction frequencies in Augsburg, Southern Germany. Atmos. Environ. 2019, 217, 116975. [Google Scholar] [CrossRef]
  19. Bai, L.Y.; Feng, J.Z.; Li, Z.W.; Han, C.M.; Yan, F.L.; Ding, Y.X. Spatiotemporal Dynamics of Surface Ozone and Its Relationship with Meteorological Factors over the Beijing-Tianjin-Tangshan Region, China, from 2016 to 2019. Sensors 2022, 22, 4854. [Google Scholar] [CrossRef]
  20. Dong, M.; Minhua, D.; Junchen, R.; Torch, H. Characteristics of Ozone Concentration and Influencing Factors in Xi’an High-Tech Zone. Resour. Conserv. Environ. Prot. 2023, 10, 137–144. [Google Scholar] [CrossRef]
  21. Rui, Y.; Yalin, W.; Yinjun, Z.; Yu, S.; Mingsheng, L. Pollution characteristics and influence factors of ozone in Yangtze River Delta. Acta Sci. Circumstantiae 2015, 35, 2370–2377. [Google Scholar] [CrossRef]
  22. Qingliang, W.; Qianqian, L.; Dongge, T.; Chuanqi, L.; Mingge, W.; Guijin, S. Research progress on the influencing factors and the role of free radicals in photochemistry reaction. Environ. Chem. 2020, 39, 301–316. [Google Scholar]
  23. Xue, L.K.; Wang, T.; Gao, J.; Ding, A.J.; Zhou, X.H.; Blake, D.R.; Wang, X.F.; Saunders, S.M.; Fan, S.J.; Zuo, H.C.; et al. Ground-level ozone in four Chinese cities: Precursors, regional transport and heterogeneous processes. Atmos. Chem. Phys. 2014, 14, 13175–13188. [Google Scholar] [CrossRef]
  24. Jeong, Y.; Lee, H.W.; Jeon, W. Regional Differences of Primary Meteorological Factors Impacting O3 Variability in South Korea. Atmosphere 2020, 11, 74. [Google Scholar] [CrossRef]
  25. Ge, Q.; Zhang, X.S.; Cai, K.; Liu, Y. Ozone Pollution in Chinese Cities: Spatiotemporal Variations and Their Relationships with Meteorological and Other Pollution Factors (2016–2020). Atmosphere 2022, 13, 908. [Google Scholar] [CrossRef]
  26. Kumar, U.; Prakash, A.; Jain, V.K.J.A.; Research, A.Q. A Photochemical Modelling Approach to Investigate O3 Sensitivity to NO(subscript x) and VOCs in the Urban Atmosphere of Delhi. Aerosol Air Qual. Res. 2008, 8, 147–159. [Google Scholar] [CrossRef]
Figure 1. Monthly maximum of ozone (O3-8 h, 90per) in 2020–2023.
Figure 1. Monthly maximum of ozone (O3-8 h, 90per) in 2020–2023.
Atmosphere 15 00160 g001
Figure 2. The 2020–2023 monthly hourly average of ozone.
Figure 2. The 2020–2023 monthly hourly average of ozone.
Atmosphere 15 00160 g002
Figure 3. Ozone concentration and temperature diurnal trend (a) and correlation analysis (b).
Figure 3. Ozone concentration and temperature diurnal trend (a) and correlation analysis (b).
Atmosphere 15 00160 g003
Figure 4. Ozone concentration and humidity diurnal trend (a) and correlation analysis (b).
Figure 4. Ozone concentration and humidity diurnal trend (a) and correlation analysis (b).
Atmosphere 15 00160 g004
Figure 5. Ozone concentration and wind speed diurnal trend.
Figure 5. Ozone concentration and wind speed diurnal trend.
Atmosphere 15 00160 g005
Figure 6. Relationship of ozone with NOx (a) and VOCs (b).
Figure 6. Relationship of ozone with NOx (a) and VOCs (b).
Atmosphere 15 00160 g006
Figure 7. Ozone sensitivity analysis from April to September.
Figure 7. Ozone sensitivity analysis from April to September.
Atmosphere 15 00160 g007
Table 1. Number of days per month exceeding the ozone standard in 2020–2023.
Table 1. Number of days per month exceeding the ozone standard in 2020–2023.
YearMonth
AprilMayJuneJulyAugustSeptemberOctober
202041299760
20210817131271
2022812231411141
2023361816116\
Disclaimer/Publisher’s Note: The statements, opinions and data contained in all publications are solely those of the individual author(s) and contributor(s) and not of MDPI and/or the editor(s). MDPI and/or the editor(s) disclaim responsibility for any injury to people or property resulting from any ideas, methods, instructions or products referred to in the content.

Share and Cite

MDPI and ACS Style

Hua, X.; Wang, M.; Yao, Z.; Hao, R.; Wang, H. Characteristics and Sensitivity Analysis of Ozone Pollution in a Typical Inland City in China. Atmosphere 2024, 15, 160. https://doi.org/10.3390/atmos15020160

AMA Style

Hua X, Wang M, Yao Z, Hao R, Wang H. Characteristics and Sensitivity Analysis of Ozone Pollution in a Typical Inland City in China. Atmosphere. 2024; 15(2):160. https://doi.org/10.3390/atmos15020160

Chicago/Turabian Style

Hua, Xiaohui, Meng Wang, Zhen Yao, Run Hao, and Hailin Wang. 2024. "Characteristics and Sensitivity Analysis of Ozone Pollution in a Typical Inland City in China" Atmosphere 15, no. 2: 160. https://doi.org/10.3390/atmos15020160

APA Style

Hua, X., Wang, M., Yao, Z., Hao, R., & Wang, H. (2024). Characteristics and Sensitivity Analysis of Ozone Pollution in a Typical Inland City in China. Atmosphere, 15(2), 160. https://doi.org/10.3390/atmos15020160

Note that from the first issue of 2016, this journal uses article numbers instead of page numbers. See further details here.

Article Metrics

Back to TopTop