Effects of Climate Change on the Future Attractiveness of Tourist Destinations in Greece
Abstract
1. Introduction
2. Tourism Indicators and Methodology
2.1. Holiday Climate Index (HCI)
2.2. Urban Climate Comfort Index (UCCI)
2.3. Beach Utility Index (BUI)
2.4. Mountainous Winter Climate Index (MWCI)
3. Results and Discussion
3.1. Urban Tourism
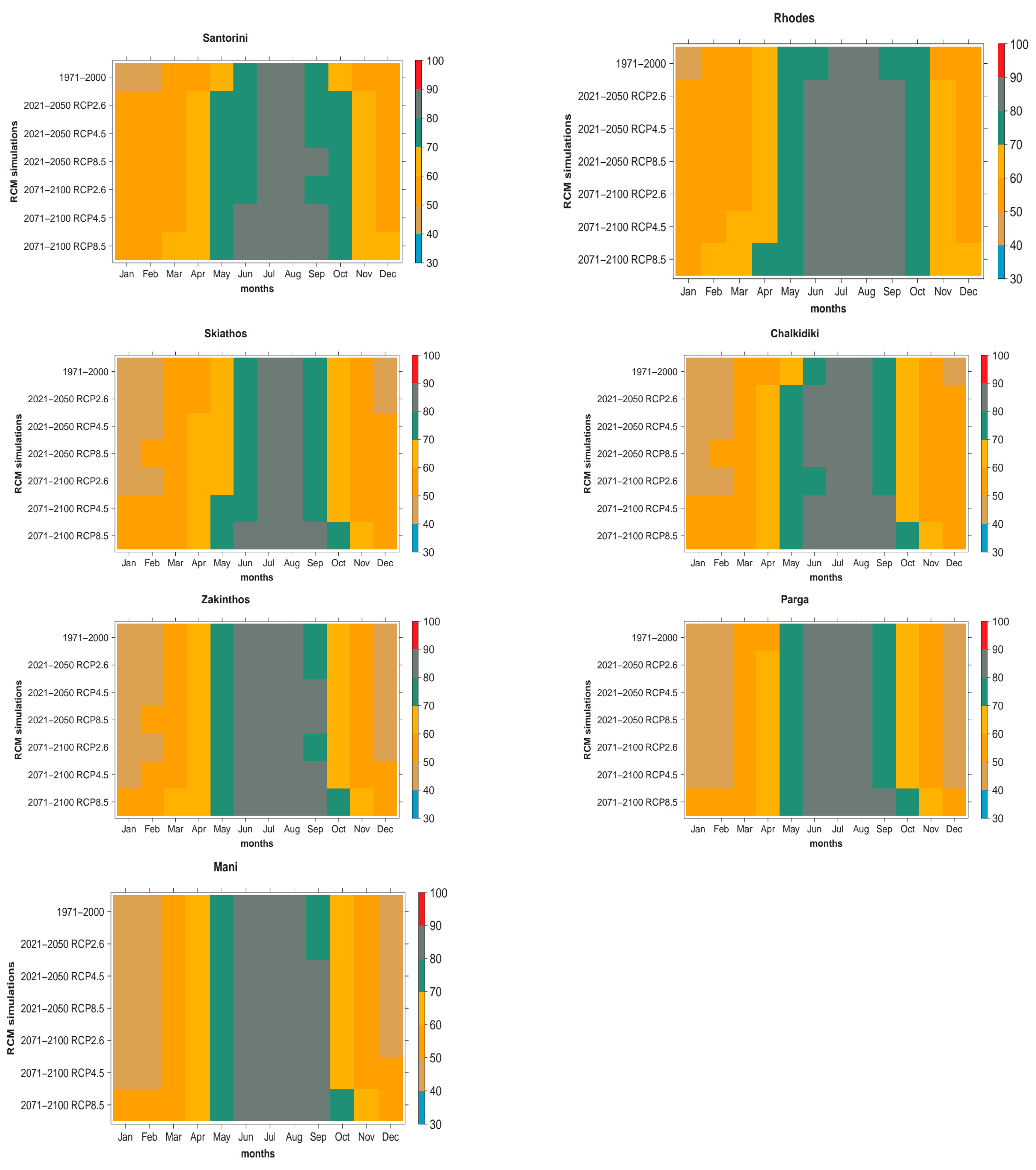
3.2. Beach and Island Tourism
3.3. Mountainous Winter Tourism
4. Conclusions
Supplementary Materials
Author Contributions
Funding
Institutional Review Board Statement
Informed Consent Statement
Data Availability Statement
Conflicts of Interest
References
- Intergovernmental Panel on Climate Change (IPCC). Climate Change 2022—Impacts, Adaptation and Vulnerability: Working Group II Contribution to the Sixth Assessment Report of the Intergovernmental Panel on Climate Change; Pörtner, H.-O., Roberts, D.C., Tignor, M., Poloczanska, E.S., Mintenbeck, K., Alegría, A., Craig, M., Langsdorf, S., Löschke, S., Möller, V., Eds.; Cambridge University Press: Cambridge, UK; New York, NY, USA, 2022. [Google Scholar] [CrossRef]
- INSETE Contribution of Tourism to the Greek Economy in 2023 Report 1st Estimate (Preliminary Data). 2024. Available online: https://insete.gr/wp-content/uploads/2024/04/23_04_Tourism_and_Greek_Economy_2019-2023.pdf (accessed on 1 July 2024).
- Bank of Greece, The Economics of Climate Change. 2018. Available online: https://www.bankofgreece.gr/Publications/Book%20The%20Economics%20of%20Climate%20Change_WebVersion.pdf (accessed on 1 July 2024).
- Zerefos, C.; Papatheodorou, A.; Sambetha, I. Chapter 1: Economic and environmental impact of climate change on Greek tourism. In Report “Greek Tourism and Climate Change: Adaptation Policies and a New Growth Strategy”; Climate Change Impacts Study Committee (CCISC), Bank of Greece: Athens, Greece, 2014; pp. 1–6. ISBN 978-960-7032-66-9. [Google Scholar]
- Georgopoulou, E.; Mirasgedis, S.; Sarafidis, Y.; Hontou, V.; Gakis, N.; Lalas, D.P. Climatic Preferences for Beach Tourism: An Empirical Study on Greek Islands. Theor. Appl. Clim. 2019, 137, 667–691. [Google Scholar] [CrossRef]
- Bax, V.; van de Lageweg, W.I.; de Groot, S.; Moerbeek, W. Beach User Perspectives on the Upscaling of Sand Nourishments in Response to Sea Level Rise—A Discrete Choice Experiment. Ocean Coast. Manag. 2024, 253, 107139. [Google Scholar] [CrossRef]
- Karditsa, A.; Niavis, S.; Paramana, T.; Monioudi, I.; Poulos, S.; Hatzaki, M. Is the Insular Coastal Tourism of Western Greece at Risk Due to Climate Induced Sea Level Rise? Ocean Coast. Manag. 2024, 251, 107088. [Google Scholar] [CrossRef]
- Thiéblemont, R.; le Cozannet, G.; Rohmer, J.; Privat, A.; Guidez, R.; Negulescu, C.; Philippenko, X.; Luijendijk, A.; Calkoen, F.; Nicholls, R.J. Sea-Level Rise Induced Change in Exposure of Low-Lying Coastal Land: Implications for Coastal Conservation Strategies. Anthr. Coasts 2024, 7, 1–17. [Google Scholar] [CrossRef]
- Bigano, A.; Goria, A.; Hamilton, J.M.; Tol, R.S.J. The Effect of Climate Change and Extreme Weather Events on Tourism; FEEM Working Paper No. 30.05, CMCC Research Paper No. 01; Fondazione Eni Enrico Mattei (FEEM): Milan, Italy, 2005; pp. 1–33. [Google Scholar] [CrossRef]
- Kapetanakis, D.; Georgopoulou, E.; Mirasgedis, S.; Sarafidis, Y. Weather Preferences for Ski Tourism: An Empirical Study on the Largest Ski Resort in Greece. Atmosphere 2022, 13, 1569. [Google Scholar] [CrossRef]
- Tsilogianni, D.; Cartalis, C.; Philippopoulos, K. Climate Change Impact Assessment on Ski Tourism in Greece: Case Study of the Parnassos Ski Resort. Climate 2023, 11, 140. [Google Scholar] [CrossRef]
- Steiger, R.; Knowles, N.; Pöll, K.; Rutty, M. Impacts of Climate Change on Mountain Tourism: A Review. J. Sustain. Tour. 2022, 32(9), 1984–2017. [Google Scholar] [CrossRef]
- Kapetanakis, D.; Georgopoulou, E.; Mirasgedis, S.; Sarafidis, Y. Weather Preferences for Urban Tourism: An Empirical Study in the Greek Capital of Athens, Greece. Atmosphere 2022, 13, 282. [Google Scholar] [CrossRef]
- Mieczkowski, Z. The Tourism Climatic Index: A Method of Evaluating World Climates for Tourism. Can. Geogr. Géographies Can. 1985, 29, 220–233. [Google Scholar] [CrossRef]
- Lemesios, G.; Giannakopoulos, C.; Papadaskalopoulou, C.; Karali, A.; Varotsos, K.V.; Moustakas, K.; Malamis, D.; Zachariou-Dodou, M.; Petrakis, M.; Loizidou, M. Future Heat-Related Climate Change Impacts on Tourism Industry in Cyprus. Reg. Environ. Chang. 2016, 16, 1915–1927. [Google Scholar] [CrossRef]
- Scott, D.; Rutty, M.; Amelung, B.; Tang, M. An Inter-Comparison of the Holiday Climate Index (HCI) and the Tourism Climate Index (TCI) in Europe. Atmosphere 2016, 7, 80. [Google Scholar] [CrossRef]
- Rutty, M.; Scott, D.; Matthews, L.; Burrowes, R.; Trotman, A.; Mahon, R.; Charles, A. An Inter-Comparison of the Holiday Climate Index (HCI:Beach) and the Tourism Climate Index (TCI) to Explain Canadian Tourism Arrivals to the Caribbean. Atmosphere 2020, 11, 412. [Google Scholar] [CrossRef]
- El-Masry, E.A.; El-Sayed, M.K.; Awad, M.A.; El-Sammak, A.A.; Sabarouti, M.A.E. Vulnerability of Tourism to Climate Change on the Mediterranean Coastal Area of El Hammam–EL Alamein, Egypt. Environ. Dev. Sustain. 2022, 24, 1145–1165. [Google Scholar] [CrossRef]
- Yu, D.; Li, S.; Chen, N.; Hall, M.; Guo, Z. High Temperatures and Tourism: Findings from China. Sustainability 2023, 15, 14138. [Google Scholar] [CrossRef]
- de Freitas, C.R.; Scott, D.; McBoyle, G. A Second Generation Climate Index for Tourism (CIT): Specification and Verification. Int. J. Biometeorol. 2008, 52, 399–407. [Google Scholar] [CrossRef] [PubMed]
- Bafaluy, D.; Amengual, A.; Romero, R.; Homar, V. Present and Future Climate Resources for Various Types of Tourism in the Bay of Palma, Spain. Reg. Environ. Chang. 2014, 14, 1995–2006. [Google Scholar] [CrossRef]
- Cardell, M.F.; Amengual, A.; Romero, R. Present and Future Climate Potentials for Several Outdoor Tourism Activities in Spain. J. Sustain. Tour. 2023, 31, 2219–2249. [Google Scholar] [CrossRef]
- Moreno, A.; Amelung, B. Climate Change and Tourist Comfort on Europe’s Beaches in Summer: A Reassessment. Coast. Manag. 2009, 37, 550–568. [Google Scholar] [CrossRef]
- Demiroglu, O.C.; Saygili-Araci, F.S.; Pacal, A.; Hall, C.M.; Kurnaz, M.L. Future Holiday Climate Index (HCI) Performance of Urban and Beach Destinations in the Mediterranean. Atmosphere 2020, 11, 911. [Google Scholar] [CrossRef]
- de Freitas, C.R. Tourism Climatology: Evaluating Environmental Information for Decision Making and Business Planning in the Recreation and Tourism Sector. Int. J. Biometeorol. 2003, 48, 45–54. [Google Scholar] [CrossRef]
- Georgoulias, A.K.; Akritidis, D.; Kalisoras, A.; Kapsomenakis, J.; Melas, D.; Zerefos, C.S.; Zanis, P. Climate Change Projections for Greece in the 21st Century from High-Resolution EURO-CORDEX RCM Simulations. Atmos. Res. 2022, 271, 106049. [Google Scholar] [CrossRef]
- Varotsos, K.V.; Karali, A.; Lemesios, G.; Kitsara, G.; Moriondo, M.; Dibari, C.; Leolini, L.; Giannakopoulos, C. Near Future Climate Change Projections with Implications for the Agricultural Sector of Three Major Mediterranean Islands. Reg. Environ. Chang. 2021, 21, 16. [Google Scholar] [CrossRef]
- Amengual, A.; Homar, V.; Romero, R.; Ramis, C.; Alonso, S. Projections for the 21st Century of the Climate Potential for Beach-Based Tourism in the Mediterranean. Int. J. Climatol. 2014, 34, 3481–3498. [Google Scholar] [CrossRef]
- Torres, C.; Jordà, G.; de Vílchez, P.; Vaquer-Sunyer, R.; Rita, J.; Canals, V.; Cladera, A.; Escalona, J.M.; Miranda, M.Á. Climate Change and Its Impacts in the Balearic Islands: A Guide for Policy Design in Mediterranean Regions. Reg. Environ. Chang. 2021, 21, 107. [Google Scholar] [CrossRef] [PubMed]
- Agulles, M.; Melo-Aguilar, C.; Jordà, G. Risk of Loss of Tourism Attractiveness in the Western Mediterranean under Climate Change. Front. Clim. 2022, 4, 1019892. [Google Scholar] [CrossRef]
- Bilgin, B.; Acar, S.; Demiralay, Z.; An, N.; Turp, M.T.; Kurnaz, M.L. A Synthetic Approach to the Holiday Climate Index for the Mediterranean Coast of Türkiye. Int. J. Biometeorol. 2024, 1–15. [Google Scholar] [CrossRef]
- Köberl, J.; Prettenthaler, F.; Bird, D.N. Modelling Climate Change Impacts on Tourism Demand: A Comparative Study from Sardinia (Italy) and Cap Bon (Tunisia). Sci. Total Environ. 2016, 543, 1039–1053. [Google Scholar] [CrossRef]
- Salata, F.; Golasi, I.; Proietti, R.; de Lieto Vollaro, A. Implications of Climate and Outdoor Thermal Comfort on Tourism: The Case of Italy. Int. J. Biometeorol. 2017, 61, 2229–2244. [Google Scholar] [CrossRef]
- Rodríguez-Algeciras, J.; Rodríguez-Algeciras, A.; Chaos-Yeras, M.; Matzarakis, A. Tourism-Related Climate Information for Adjusted and Responsible Planning in the Tourism Industry in Barcelona, Spain. Theor. Appl. Clim. 2020, 142, 1003–1014. [Google Scholar] [CrossRef]
- Mansuroğlu, S.; Dağ, V.; Kalaycı Önaç, A. Attitudes of People toward Climate Change Regarding the Bioclimatic Comfort Level in Tourism Cities; Evidence from Antalya, Turkey. Environ. Monit. Assess. 2021, 193, 420. [Google Scholar] [CrossRef]
- Ali, E. Cross-Chapter Paper 4: Mediterranean Region. Available online: https://www.ipcc.ch/report/ar6/wg2/chapter/ccp4/ (accessed on 17 September 2024).
- Pröbstl-Haider, U.; Hödl, C.; Ginner, K.; Borgwardt, F. Climate Change: Impacts on Outdoor Activities in the Summer and Shoulder Seasons. J. Outdoor Recreat. Tour. 2021, 34, 100344. [Google Scholar] [CrossRef]
- Campos Rodrigues, L.; Freire-González, J.; González Puig, A.; Puig-Ventosa, I. Climate Change Adaptation of Alpine Ski Tourism in Spain. Climate 2018, 6, 29. [Google Scholar] [CrossRef]
- Pede, E.C.; Barbato, G.; Buffa, A.; Ellena, M.; Mercogliano, P.; Ricciardi, G.; Staricco, L. Mountain Tourism Facing Climate Change. Assessing Risks and Opportunities in the Italian Alps. TeMA J. Land Use Mobil. Environ. 2022, 15, 25–47. [Google Scholar] [CrossRef]
- Pérez-Palazón, M.J.; Pimentel, R.; Polo, M.J. Climate Trends Impact on the Snowfall Regime in Mediterranean Mountain Areas: Future Scenario Assessment in Sierra Nevada (Spain). Water 2018, 10, 720. [Google Scholar] [CrossRef]
- Mitterwallner, V.; Steinbauer, M.; Mathes, G.; Walentowitz, A. Global Reduction of Snow Cover in Ski Areas under Climate Change. PLoS ONE 2024, 19, e0299735. [Google Scholar] [CrossRef]
- Jacob, D.; Petersen, J.; Eggert, B.; Alias, A.; Christensen, O.B.; Bouwer, L.M.; Braun, A.; Colette, A.; Déqué, M.; Georgievski, G.; et al. EURO-CORDEX: New High-Resolution Climate Change Projections for European Impact Research. Reg. Environ. Chang. 2014, 14, 563–578. [Google Scholar] [CrossRef]













| Index Value | Descriptive Rating |
|---|---|
| 90–100 | Ideal |
| 80–89 | Excellent |
| 70–79 | Very Good |
| 60–69 | Good |
| 50–59 | Acceptable |
| 40–49 | Marginal |
| 30–39 | Unacceptable |
| 20–29 | |
| 10–19 | |
| 0–9 | Dangerous |
| Index Value | Descriptive Rating |
|---|---|
| 80–100 | Excellent |
| 70–79 | Very good |
| 60–69 | Good |
| 40–59 | Acceptable |
| 0–39 | Unfavorable |
Disclaimer/Publisher’s Note: The statements, opinions and data contained in all publications are solely those of the individual author(s) and contributor(s) and not of MDPI and/or the editor(s). MDPI and/or the editor(s) disclaim responsibility for any injury to people or property resulting from any ideas, methods, instructions or products referred to in the content. |
© 2024 by the authors. Licensee MDPI, Basel, Switzerland. This article is an open access article distributed under the terms and conditions of the Creative Commons Attribution (CC BY) license (https://creativecommons.org/licenses/by/4.0/).
Share and Cite
Lemesios, I.; Varotsos, K.V.; Georgopoulou, E.; Sarafidis, Y.; Kapetanakis, D.; Mirasgedis, S.; Gakis, N.; Giannakopoulos, C. Effects of Climate Change on the Future Attractiveness of Tourist Destinations in Greece. Atmosphere 2024, 15, 1185. https://doi.org/10.3390/atmos15101185
Lemesios I, Varotsos KV, Georgopoulou E, Sarafidis Y, Kapetanakis D, Mirasgedis S, Gakis N, Giannakopoulos C. Effects of Climate Change on the Future Attractiveness of Tourist Destinations in Greece. Atmosphere. 2024; 15(10):1185. https://doi.org/10.3390/atmos15101185
Chicago/Turabian StyleLemesios, Ioannis, Konstantinos V. Varotsos, Elena Georgopoulou, Yannis Sarafidis, Dimitrios Kapetanakis, Sebastian Mirasgedis, Nikos Gakis, and Christos Giannakopoulos. 2024. "Effects of Climate Change on the Future Attractiveness of Tourist Destinations in Greece" Atmosphere 15, no. 10: 1185. https://doi.org/10.3390/atmos15101185
APA StyleLemesios, I., Varotsos, K. V., Georgopoulou, E., Sarafidis, Y., Kapetanakis, D., Mirasgedis, S., Gakis, N., & Giannakopoulos, C. (2024). Effects of Climate Change on the Future Attractiveness of Tourist Destinations in Greece. Atmosphere, 15(10), 1185. https://doi.org/10.3390/atmos15101185

