Exoplanets Catalogue Analysis: The Distribution of Exoplanets at FGK Stars by Mass and Orbital Period Accounting for the Observational Selection in the Radial Velocity Method
Abstract
1. Introduction
2. Materials and Methods
2.1. Method for Considering Several Surveys
2.1.1. The Concept of a Detectability Window Algorithm
2.2. Method to Construct a Detectability Window
2.2.1. The Concept of a Detectability Window Algorithm
= d2·N*2 (f1 + f2), (detected by the 2-nd survey);
2.2.2. Parameters of the Detectability Window Regularization Algorithm
3. Results
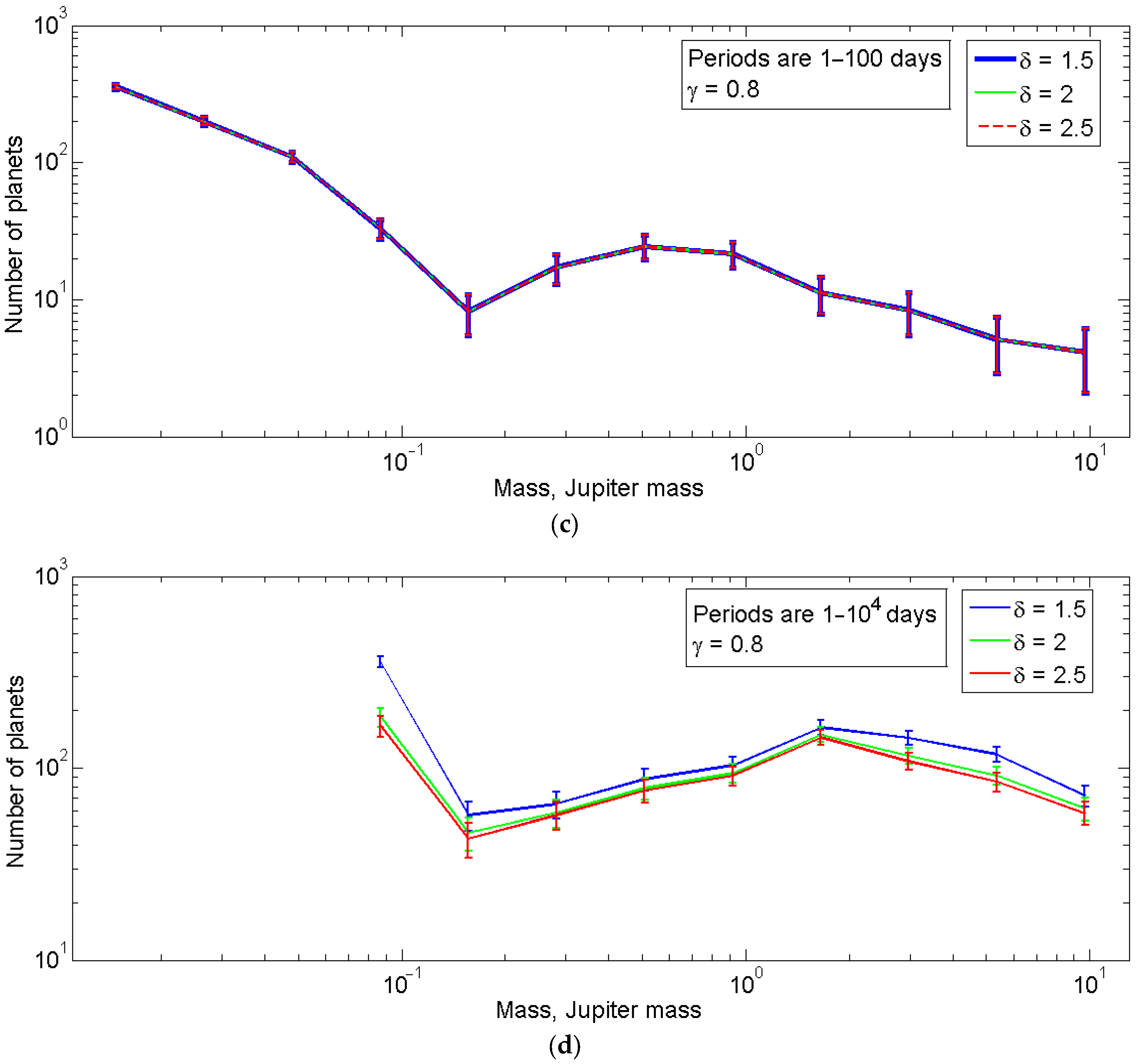
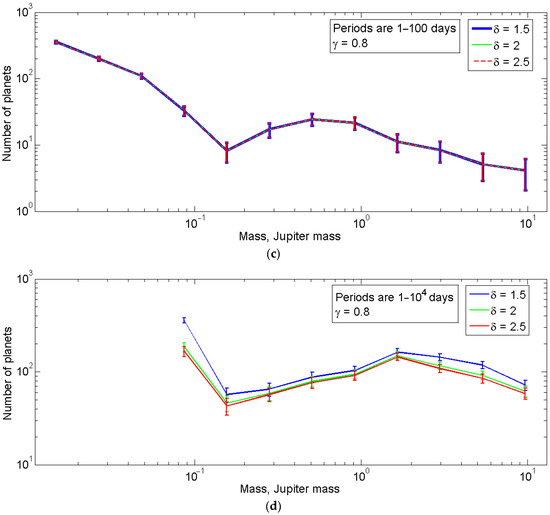
3.1. De-Biased Histograms of the Projective-Mass Distributions of RV Planets
3.1.1. The Technique for Constructing the Projective-Mass Distributions of RV Planets and Their Histograms
3.1.2. The Composite Projective-Mass Distribution of Planets—Comparison to the Mass Distributions from Population Synthesis Theory
3.1.3. The Minimum in the (0.087–0.21) MJ Domain of Masses
3.1.4. The Maximum in the (6–9) MJ Domain of Masses
3.2. Histograms of the Orbital-Period Distributions of RV Planets
4. Discussion and Conclusions
Author Contributions
Funding
Conflicts of Interest
Appendix A. Method for Merging Together Several Surveys

Appendix B
| v2 | v1 |
| N2/(N1 + N2) | 1 |
| w2 | w1 |

| Parameters | Low-Mass Planets | Intermediate Masses | Massive Planets |
|---|---|---|---|
| Without correction | 60 | 3060 | 51 |
| Correction by W | 210 | 14.57 | |
| Correction by V (true f2/f1) | 3060 | 1 | |
| Correction by V (underestimated f2/f1) | 2568 | 1.19 | |
| Correction by V (overestimated f2/f1) | 3552 | 0.86 |
| N | Planet Name | Orbital Period, Day | Span, Day | Planet Mass, MJ | Host Star Mass, m☉ | σ(O-С), m/s | RV K, m/s |
|---|---|---|---|---|---|---|---|
| 1 | HD 24064 b | 535.6 | 1921 | 1.61 | 34.5 | 251.00 | |
| 2 | HATS-59 c | 1422 | 1742 | 1.038 | 100.00 | 224.00 | |
| 3 | BD+20 2457 c | 622 | 1833 | 10.83 | 60.00 | 160.03 | |
| 4 | HD 87646 b | 13.481 | 2500 | 1.12 | 270.00 | 956.00 | |
| 5 | HIP 67537 b | 2556.5 | 4419 | 2.41 | 8.00 | 112.70 | |
| 6 | HD 220074 b | 672.1 | 1374 | 1.2 | 57.40 | 230.80 | |
| 7 | HD 110014 b | 835.477 | 2950 | 2.17 | 45.80 | 158.20 | |
| 8 | HD 106270 b | 2890 | 1484 | 1.32 | 8.40 | 142.10 | |
| 9 | HD 13189 b | 471.6 | 1300 | 2.24 | 54.50 | 173.30 | |
| 10 | TYC 4282-00605-1 b | 101.54 | 1200 | 0.97 | 23.02 | 495.20 | |
| 11 | HD 114762 b | 83.915 | 6901 | 0.8 | 27.40 | 612.50 | |
| 12 | HD 156846 b | 359.51 | 2686 | 1.38 | 6.06 | 464.30 | |
| 13 | HD 95127 b | 482 | 2929 | 3.7 | 50.90 | 116.00 | |
| 14 | 18 Del b | 993.3 | 1772 | 2.3 | 15.40 | 119.40 | |
| 15 | HD 17092 b | 359.9 | 1200 | 6.73 | 16.00 | 82.40 | |
| 16 | HD 39091 b (pi Men b) | 2093 | 6570 | 1.094 | 5.50 | 192.60 | |
| 17 | TYC 1422-614-1 c | 559.3 | 3651 | 1.15 | 18.94 | 233.00 | |
| 18 | HD 208527 b | 875.5 | 1352 | 1.6 | 39.30 | 155.40 | |
| 19 | HD 156279 b | 131.05 | 254.2 | 0.95 | 9.08 | 578.00 | |
| 20 | HD 162020 b | 8.428 | 842 | 0.75 | 13.60 | 1813.00 | |
| 21 | Kepler-94 c | 820.3 | 800 | 0.81 | 13.90 | 262.70 | |
| 22 | BD-13 2130 b | 714.3 | 1529 | 2.12 | 18.30 | 137.60 | |
| 23 | HD 139357 b | 1125.7 | 1287 | 1.35 | 14.14 | 161.20 | |
| 24 | HD 221420 b | 22482 | 6500 | 1.67 | 3.93 | 54.70 | |
| 25 | HD 38801 b | 685.25 | 1143 | 1.207 | 11.00 | 197.30 | |
| 26 | HD 141937 b | 653.22 | 882 | 1.09 | 8.70 | 234.50 | |
| 27 | HD 106515 A b | 3630 | 4800 | 0.97 | 9.63 | 158.20 | |
| 28 | WASP-8 c | 4323 | 2099 | 1.34 | 2.91 | 115.00 | |
| 29 | HIP 63242 b | 124.6 | 1025 | 1.54 | 23.70 | 287.50 | |
| 30 | HD 33564 b | 388 | 417 | 1.25 | 6.70 | 232.00 | |
| 31 | HD 23596 b | 1561 | 2100 | 1.47 | 9.20 | 127.00 | |
| 32 | HD 175167 b | 1290 | 1828 | 1.37 | 6.91 | 161.00 | |
| 33 | HIP 75458 b (iota Dra) | 511.1 | 678 | 1.05 | 10.00 | 307.60 | |
| 34 | HD 1690 b | 533 | 2547 | 1.86 | 29.00 | 190.00 | |
| 35 | gam 1 Leo b | 428.5 | 2195 | 1.23 | 43.00 | 208.30 | |
| 36 | HD 30177 b | 2527.8 | 6300 | 1.053 | 10.00 | 125.98 | |
| 37 | HD 156279 c | 4191 | 4225 | 0.93 | 2.20 | 110.20 | |
| 38 | HD 191806 b | 1606.3 | 3616 | 1.14 | 10.00 | 140.50 | |
| 39 | HD 181234 b | 7462 | 6794 | 1.01 | 20.00 | 126.80 | |
| 40 | HD 222582 b | 572.38 | 683 | 1.12 | 3.36 | 276.30 | |
| 41 | HD 89744 b | 256.78 | 5186 | 1.86 | 16.40 | 269.66 | |
| 42 | HD 104985 b | 199.505 | 1932 | 2.3 | 26.60 | 166.80 | |
| 43 | HIP 105854 b | 184.2 | 1279 | 2.1 | 23.60 | 178.10 | |
| 44 | HD 102329 b | 778.1 | 1484 | 3.21 | 7.20 | 84.80 | |
| 45 | HD 74156 c | 2473 | 3408 | 1.238 | 12.8 | 116.50 | |
| 46 | HD 178911 B b | 71.484 | 3392 | 1.24 | 9.10 | 343.30 | |
| 47 | bet Cnc b | 605.2 | 3460 | 1.7 | 47.20 | 133.00 | |
| 48 | HD 203473 b | 1552.9 | 1553 | 1.12 | 7.00 | 133.60 | |
| 49 | HD 14067 b | 1455 | 2302 | 2.4 | 12.70 | 92.20 | |
| 50 | Pr0211 c | 4850 | 791 | 0.935 | 26.00 | 138.00 | |
| 51 | HD 168443 b | 58.112 | 5360 | 0.995 | 3.81 | 475.13 | |
| 52 | HD 5891 b | 177.11 | 1392 | 1.93 | 28.40 | 178.50 | |
| 53 | eps Tau b | 594.9 | 938 | 2.7 | 9.90 | 95.90 | |
| 54 | HD 30177 c | 11,613 | 6300 | 1.053 | 7.17 | 70.80 | |
| 55 | 70 Vir b | 116.688 | 9480 | 1.09 | 6.10 | 316.20 | |
| 56 | HD 81040 b | 1001.7 | 2227 | 1.05 | 26.00 | 168.00 | |
| 57 | HD 125612 d | 3008 | 2016 | 1.091 | 3.70 | 98.37 | |
| 58 | HD 111232 b | 1143 | 1181 | 0.84 | 7.50 | 159.30 | |
| 59 | 4 UMa b | 269.3 | 890 | 1.234 | 28.80 | 215.55 | |
| 60 | HD 86264 b | 1475 | 2952 | 1.42 | 26.20 | 132.00 | |
| 61 | Kepler-424 c | 223.3 | 653 | 1.01 | 20.00 | 246.00 | |
| 62 | HD 106252 b | 1531 | 3682 | 1.01 | 12.20 | 138.80 | |
| 63 | HD 59686 A b | 299.36 | 4500 | 1.9 | 19.49 | 136.90 | |
| 64 | HD 183263 c | 4684 | 4908 | 1.12 | 3.68 | 77.50 | |
| 65 | HD 196067 b | 3638 | 4900 | 1.29 | 9.92 | 104.00 | |
| 66 | GJ 676 A c | 7337 | 3535 | 0.73 | 2.46 | 88.70 | |
| 67 | HD 98649 b | 6023 | 5771 | 1.03 | 10.30 | 140.10 | |
| 68 | eps CrB b | 417.9 | 2503 | 1.7 | 25.00 | 129.40 | |
| 69 | HD 233604 b | 192.00 | 2956 | 1.5 | 19.13 | 177.80 | |
| 70 | HD 147018 c | 1008 | 2290 | 0.927 | 7.39 | 141.20 | |
| 71 | HD 11977 b | 621.6 | 3864 | 2.31 | 11.20 | 105.00 | |
| 72 | alf Tau b | 628.96 | 11,314 | 1.13 | 98.00 | 142.10 | |
| 73 | HD 1666 b | 270.0 | 3165 | 1.5 | 35.60 | 199.40 | |
| 74 | BD+03 2562 b | 481.9 | 4159 | 1.14 | 69.80 | 155.70 | |
| 75 | HD 10697 b | 1075.7 | 4057 | 1.13 | 8.10 | 116.90 | |
| 76 | IC 4651 9122 b | 734.0 | 3284 | 2.1 | 25.00 | 89.50 | |
| 77 | HD 113996 b | 610.2 | 3994 | 1.49 | 39.30 | 120.00 | |
| 78 | HD 2039 b | 1120 | 1337 | 1.23 | 15.00 | 153.00 | |
| 79 | bet UMi b | 522.3 | 2920 | 1.4 | 40.50 | 126.10 | |
| 80 | HD 70573 b | 851.8 | 1100 | 1 | 18.70 | 148.50 | |
| 81 | HD 145377 b | 103.95 | 1106 | 1.2 | 15.30 | 242.70 | |
| 82 | HIP 65891 b | 1084.5 | 1733 | 2.5 | 9.30 | 64.90 | |
| 83 | HD 66141 b | 480.5 | 2605 | 1.1 | 38.80 | 146.20 | |
| 84 | HD 238914 b | 4100 | 3944 | 1.47 | 19.80 | 71.00 | |
| 85 | HIP 67851 c | 2131.8 | 4017 | 1.63 | 8.90 | 69.00 | |
| 86 | HD 224538 b | 1189.1 | 4128 | 1.34 | 5.20 | 107.00 | |
| 87 | HD 33142 c | 834 | 2573 | 1.62 | 5.00 | 11.40 | |
| 88 | HD 28185 b | 379 | 2971 | 1.02 | 7.33 | 163.50 | |
| 89 | HD 5583 b | 139.35 | 3225 | 1.01 | 69.50 | 225.80 | |
| 90 | HD 99706 c | 1278 | 2418 | 1.46 | 4.20 | 13.80 | |
| 91 | HD 11755 b | 433.7 | 1716 | 0.72 | 27.70 | 191.30 | |
| 92 | Kepler-56 d | 1002 | 1490 | 1.32 | 1.80 | 95.21 | |
| 93 | HD 75784 c | 5040 | 3694 | 1.41 | 4.63 | 57.00 | |
| 94 | HD 213240 b | 882.7 | 770 | 1.57 | 11.00 | 96.60 | |
| 95 | HIP 8541 b | 1560.2 | 2194 | 1.17 | 9.10 | 87.40 | |
| 96 | HD 72892 b | 39.475 | 1486 | 1.02 | 4.50 | 318.40 | |
| 97 | HD 27894 d | 5174 | 4748 | 0.8 | 2.04 | 79.76 | |
| 98 | TYC 3667-1280-1 b | 26.468 | 2844 | 1.87 | 28.30 | 242.40 | |
| 99 | HD 132406 b | 974 | 1078 | 1.03 | 7.50 | 115.00 | |
| 100 | HD 154672 b | 163.94 | 3693 | 1.18 | 3.60 | 225.00 | |
| 101 | HD 142 c | 6005 | 5067 | 1.232 | 11.20 | 55.20 | |
| 102 | 81 Cet b | 952.7 | 1638 | 2.4 | 9.20 | 62.80 | |
| 103 | HD 240210 b | 501.75 | 1655 | 0.82 | 38.90 | 161.89 | |
| 104 | HD 148164 c | 5062 | 4383 | 1.21 | 5.62 | 54.28 | |
| 105 | HD 147873 b | 116.596 | 3995 | 1.38 | 2.60 | 171.50 | |
| 106 | HD 13908 c | 931 | 1589 | 1.29 | 9.60 | 90.90 | |
| 107 | HD 16175 b | 990 | 3988 | 1.63 | 9.20 | 94.00 | |
| 108 | BD-17 63 b | 655.6 | 1760 | 0.74 | 4.10 | 173.30 | |
| 109 | HD 50554 b | 1293 | 2000 | 1.04 | 12.00 | 104.00 | |
| 110 | HD 102272 b | 127.58 | 1450 | 1.45 | 15.40 | 155.50 | |
| 111 | HD 67087 c | 2374 | 3423 | 1.36 | 11.80 | 93.30 | |
| 112 | HD 11506 b | 1622 | 3574 | 1.24 | 4.80 | 78.17 | |
| 113 | 14 And b | 185.84 | 1486 | 2.2 | 20.30 | 100.00 | |
| 114 | GJ 676 A b | 1051.1 | 3535 | 0.73 | 2.46 | 124.50 | |
| 115 | HD 40979 b | 264.15 | 3588 | 1.45 | 20.30 | 119.40 | |
| 116 | 14 Her b | 1773.4 | 4428 | 0.9 | 13.00 | 90.00 | |
| 117 | gam Lib c | 964.6 | 5234 | 1.47 | 16.41 | 73.00 | |
| 118 | HD 111998 b | 825.9 | 2989 | 1.18 | 17.35 | 87.60 | |
| 119 | HD 120084 b | 2082 | 3530 | 2.39 | 5.80 | 53.00 | |
| 120 | HD 25015 b | 6019 | 6428 | 0.86 | 30.00 | 60.10 | |
| 121 | Kepler-454 c | 523.9 | 1750 | 0.85 | 5.00 | 110.44 | |
| 122 | HD 142022 A b | 1928 | 2170 | 0.9 | 10.80 | 92.00 | |
| 123 | GJ 86 b | 15.765 | 1090 | 0.93 | 7.00 | 376.70 | |
| 124 | HD 111591 b | 1056.4 | 3796 | 1.94 | 21.90 | 59.00 | |
| 125 | HD 80606 b | 111.4367 | 3480 | 1.15 | 13.30 | 472.00 | |
| 126 | tau Boo b | 3.312 | 3287 | 1.34 | 13.90 | 471.73 | |
| 127 | BD+20 274 b | 578.2 | 2548 | 0.8 | 35.80 | 121.40 | |
| 128 | ups And d | 1276.46 | 7383 | 1.3 | 13.76 | 56.26 | |
| 129 | omi UMa b | 1630 | 2625 | 3.09 | 7.60 | 33.60 | |
| 130 | HD 76920 b | 415.4 | 3028 | 1.17 | 9.74 | 186.80 | |
| 131 | HIP 14810 b | 6.674 | 1112 | 1.01 | 3.29 | 423.34 | |
| 132 | 42 Dra b | 479.1 | 1209 | 0.98 | 26.00 | 110.50 | |
| 133 | 55 Cancri d | 4825 | 8476 | 0.905 | 16.30 | 48.29 | |
| 134 | HD 55696 b | 1827 | 1827 | 1.29 | 7.18 | 76.70 | |
| 135 | HD 24040 b | 3668 | 6392 | 1.11 | 7.50 | 47.40 | |
| 136 | HD 72659 b | 3658 | 4515 | 1.43 | 4.20 | 41.00 | |
| 137 | HD 128311 c | 921.538 | 4566 | 0.828 | 9.37 | 74.80 | |
| 138 | HD 35759 b | 82.467 | 1261 | 1.15 | 6.00 | 173.90 | |
| 139 | HD 92788 b | 325.8 | 6867 | 1.15 | 5.00 | 108.24 | |
| 140 | HD 95872 b | 4375 | 4080 | 0.7 | 7.90 | 59.00 | |
| 141 | KELT-6 c | 1276 | 567 | 1.42 | 17.00 | 65.70 | |
| 142 | HD 195019 b | 18.202 | 2240 | 1.21 | 16.00 | 272.80 | |
| 143 | HD 92788 c | 11,611 | 6867 | 1.15 | 5.00 | 33.29 | |
| 144 | HD 183263 b | 625.1 | 4908 | 1.12 | 3.68 | 86.16 | |
| 145 | HD 86950 b | 1270 | 2594 | 1.66 | 6.10 | 49.00 | |
| 146 | HD 169830 c | 1834.3 | 5155 | 1.4 | 8.90 | 39.70 | |
| 147 | HD 143361 b | 1039 | 4417 | 0.968 | 2.80 | 73.89 | |
| 148 | HD 166724 b | 5144 | 4010 | 0.81 | 3.76 | 71.00 | |
| 149 | HD 17156 b | 21.217 | 40 | 1.41 | 3.62 | 279.80 | |
| 150 | HD 108341 b | 1129 | 3770 | 0.843 | 1.50 | 144.00 | |
| 151 | HD 1605 c | 2111 | 3281 | 1.31 | 6.40 | 46.50 | |
| 152 | HD 204313 b | 1920.1 | 3006 | 1.03 | 7.80 | 57.00 | |
| 153 | HD 95089 c | 1785 | 2422 | 1.54 | 7.60 | 45.10 | |
| 154 | TYC 3318-01333-1 b | 562 | 3514 | 1.19 | 15.00 | 75.42 | |
| 155 | HD 18742 b | 766 | 2995 | 1.36 | 7.90 | 61.00 | |
| 156 | HAT-P-17 c | 5584 | 1869 | 0.99 | 5.00 | 48.80 | |
| 157 | GJ 3021 b | 133.71 | 462 | 0.9 | 19.20 | 167.00 | |
| 158 | HD 13167 b | 2613 | 3105 | 1.35 | 4.00 | 48.20 | |
| 159 | eps Indi A b | 16,510 | 9000 | 0.754 | 1.00 | 29.22 | |
| 160 | HR 5183 b (HD 120066 b) | 27,000 | 8200 | 1.07 | 3.40 | 38.25 | |
| 161 | HD 66428 b | 2263 | 5200 | 1.083 | 4 | 54.03 | |
| 162 | 91 Aqr b | 181.4 | 4150 | 1.4 | 18.90 | 91.50 | |
| 163 | HD 37605 c | 2720 | 2841 | 0.94 | 6.44 | 48.51 | |
| 164 | WASP-41 c | 421 | 1581 | 0.81 | 20.00 | 94.00 | |
| 165 | HD 220842 b | 218.47 | 997 | 1.13 | 4.50 | 108.10 | |
| 166 | HD 196050 b | 1378 | 1364 | 1.31 | 7.20 | 49.70 | |
| 167 | HD 18015 b | 2278 | 3105 | 1.49 | 8.40 | 38.00 | |
| 168 | HD 190984 b | 4885 | 1950 | 0.91 | 3.44 | 48.00 | |
| 169 | HD 73267 b | 1245 | 1586 | 0.9 | 1.70 | 64.65 | |
| 170 | HD 221287 b | 456.1 | 1130 | 1.25 | 8.50 | 71.00 | |
| 171 | HD 68402 b | 1103 | 2050 | 1.12 | 5.30 | 54.70 | |
| 172 | HD 142245 b | 1299 | 1465 | 3.5 | 4.80 | 24.80 | |
| 173 | HD 67087 b | 352.2 | 3423 | 1.36 | 11.80 | 73.60 | |
| 174 | HD 32518 b | 157.54 | 1215 | 1.13 | 18.33 | 115.83 | |
| 175 | HD 125612 b | 559.4 | 2016 | 1.091 | 3.70 | 80.00 | |
| 176 | 75 Cet b | 691.9 | 3609 | 2.49 | 10.80 | 38.30 | |
| 177 | HD 12484 b | 58.83 | 865 | 1.01 | 25.20 | 155.00 | |
| 178 | HD 153950 b | 499.4 | 1791 | 1.25 | 3.90 | 69.20 | |
| 179 | HD 50499 c | 8620 | 7268 | 1.25 | 10.00 | 24.23 | |
| 180 | HD 165155 b | 434.5 | 2740 | 1.02 | 5.80 | 75.80 | |
| 181 | HD 169830 b | 225.62 | 1506 | 1.4 | 8.90 | 80.70 | |
| 182 | HD 113337 b | 324 | 2193 | 1.4 | 24.80 | 75.60 | |
| 183 | xi Aql b | 136.75 | 1152 | 2.2 | 22.30 | 65.40 | |
| 184 | HD 118203 b | 6.134 | 402 | 1.84 | 18.10 | 217.00 | |
| 185 | HD 1502 b | 428.5 | 1167 | 1.46 | 11.30 | 57.50 | |
| 186 | HD 171238 b | 1532 | 2491 | 0.96 | 11.60 | 50.70 | |
| 187 | HD 150706 b | 5894 | 5150 | 1.17 | 15.30 | 31.10 | |
| 188 | HD 75898 b | 422.9 | 4800 | 1.26 | 5.82 | 63.39 | |
| 189 | HD 81688 b | 184.02 | 1945 | 2.1 | 24.00 | 58.58 | |
| 190 | HD 40956 b | 578.6 | 1818 | 2 | 23.60 | 68.00 | |
| 191 | HD 173416 b | 323.6 | 1278 | 2 | 18.5 | 51.80 | |
| 192 | HD 37605 b | 55.013 | 2841 | 0.94 | 6.44 | 203.47 | |
| 193 | HIP 109600 b | 232.08 | 2496 | 0.87 | 3.30 | 98.60 | |
| 194 | HD 152079 b | 2919 | 4032 | 1.147 | 4.08 | 40.76 | |
| 195 | HD 171028 b | 550 | 1320 | 1.53 | 2.30 | 60.60 | |
| 196 | HD 23079 b | 730.6 | 1358 | 1.12 | 4.80 | 54.90 | |
| 197 | HD 217107 c | 4270 | 3470 | 1 | 11.00 | 35.70 | |
| 198 | HD 155233 b | 818.8 | 1828 | 1.69 | 10.00 | 40.50 | |
| 199 | HD 196885 A b | 1333 | 3780 | 1.28 | 14.70 | 53.90 | |
| 200 | HD 154857 c | 3452 | 4109 | 1.96 | 3.20 | 24.20 | |
| 201 | HD 43691 b | 37 | 821 | 1.32 | 12.49 | 130.06 | |
| 202 | HD 181342 b | 564.1 | 1367 | 1.69 | 7.20 | 44.10 | |
| 203 | HD 41004 A b | 963 | 1140 | 0.95 | 10.00 | 99.00 | |
| 204 | 47 UMa b | 1078 | 7175 | 1.03 | 6.5 | 48.40 | |
| 205 | HD 60532 c | 600.1 | 1960 | 1.5 | 4.66 | 46.10 | |
| 206 | TYC 1422-614-1 b | 198.4 | 3651 | 1.15 | 18.94 | 82.00 | |
| 207 | HD 133131 B b | 5769 | 1840 | 0.93 | 1.59 | 37.41 | |
| 208 | GJ 317 b | 692 | 3708 | 0.42 | 8.5 | 75.20 | |
| 209 | HD 154857 b | 408.6 | 4109 | 1.96 | 3.20 | 48.30 | |
| 210 | Kepler-432 c | 406.2 | 437 | 1.32 | 50.00 | 62.10 | |
| 211 | HD 290327 b | 2443 | 1986 | 0.84 | 1.6 | 41.30 | |
| 212 | HD 108863 b | 437.7 | 1488 | 1.59 | 5.1 | 47.40 | |
| 213 | mu Leo b | 357.8 | 3443 | 1.5 | 14.2 | 52.00 | |
| 214 | HIP 74890 b | 822.3 | 1429 | 1.74 | 6.5 | 36.50 | |
| 215 | HD 29021 b | 1362.3 | 1597 | 0.85 | 3.93 | 56.40 | |
| 216 | HD 212771 b | 380.7 | 849 | 1.56 | 5.8 | 50.00 | |
| 217 | HD 4732 c | 2732 | 2842 | 1.74 | 7.09 | 24.40 | |
| 218 | HD 4732 b | 360.2 | 2842 | 1.74 | 7.09 | 47.30 | |
| 219 | HD 73526 b | 188.9 | 5226 | 1.14 | 6.54 | 82.70 | |
| 220 | HD 98736 b | 968.8 | 4850 | 0.92 | 3.08 | 52.00 | |
| 221 | HD 82886 b | 705 | 1507 | 2.53 | 7.7 | 28.70 | |
| 222 | HD 62509 b (beta Gem) | 589.64 | 9100 | 2.1 | 20.6 | 41.00 | |
| 223 | HD 47366 b | 359.15 | 2719 | 2.19 | 14.7 | 39.01 | |
| 224 | HD 147873 c | 491.54 | 3995 | 1.38 | 2.60 | 47.90 | |
| 225 | GJ 328 b | 4100 | 3753 | 0.69 | 6.00 | 40.00 | |
| 226 | HD 145934 b | 2730 | 6135 | 1.748 | 7.8 | 22.90 | |
| 227 | GJ 876 b | 61.117 | 4600 | 0.32 | 2.96 | 214.00 | |
| 228 | HR 810 b (HD 17051 b) | 302.8 | 1976 | 1.34 | 10.4 | 57.10 | |
| 229 | HD 145457 b | 176.3 | 1389 | 1.23 | 9.7 | 70.60 | |
| 230 | HD 216437 b | 1334 | 6055 | 1.165 | 10.00 | 39.08 | |
| 231 | HD 159868 b | 1184.1 | 3400 | 1.19 | 5.8 | 37.92 | |
| 232 | HD 163607 c | 1272 | 4840 | 1.12 | 2.00 | 38.37 | |
| 233 | HD 180053 b | 213.72 | 2812 | 1.75 | 13.8 | 51.50 | |
| 234 | HD 13931 b | 4218 | 4394 | 1.3 | 3.31 | 23.30 | |
| 235 | HD 73526 c | 379.1 | 5226 | 1.14 | 6.54 | 65.10 | |
| 236 | NGC 2682 Sand 978 b | 511.21 | 1826 | 1.37 | 12.9 | 45.48 | |
| 237 | HD 4203 c | 6700 | 4715 | 1.25 | 3.93 | 22.20 | |
| 238 | HD 136418 b | 464.3 | 1040 | 1.48 | 5.00 | 44.70 | |
| 239 | HD 222155 b | 3999 | 4847 | 1.21 | 11.00 | 24.20 | |
| 240 | HD 147018 b | 44.236 | 2290 | 0.927 | 7.39 | 145.33 | |
| 241 | HIP 79431 b | 111.7 | 179 | 0.42 | 3.9 | 149.50 | |
| 242 | HD 192699 b | 340.94 | 1845 | 1.38 | 10.5 | 49.30 | |
| 243 | Kepler-48 e | 982 | 1135 | 0.88 | 3.00 | 45.83 | |
| 244 | HD 206610 b | 673.2 | 875 | 1.55 | 4.8 | 35.40 | |
| 245 | HD 8574 b | 227 | 3609 | 1.34 | 14.2 | 58.30 | |
| 246 | HD 65216 c | 5370 | 5371 | 0.874 | 2.84 | 26.00 | |
| 247 | 6 Lyn b (HD 45410 b) | 934.3 | 1826 | 1.44 | 9.31 | 32.80 | |
| 248 | HD 82943 c | 219.3 | 2300 | 1.08 | 7.88 | 43.60 | |
| 249 | HD 89307 b | 2199 | 4818 | 1.03 | 8.4 | 32.40 | |
| 250 | HD 164604 b | 641.5 | 3100 | 0.77 | 8.2 | 60.66 | |
| 251 | HD 70642 b | 2125 | 6300 | 1.078 | 3.99 | 30.40 | |
| 252 | HD 187123 c | 3810 | 3543 | 1 | 2.5 | 25.50 | |
| 253 | HD 20868 b | 380.85 | 1705 | 0.78 | 1.7 | 100.34 | |
| 254 | 24 Sex b | 452.8 | 1907 | 1.54 | 6.8 | 40.00 | |
| 255 | HD 190647 b | 1176 | 3500 | 1.069 | 2.00 | 37.51 | |
| 256 | ups And c | 241.258 | 7383 | 1.3 | 13.76 | 68.14 | |
| 257 | HIP 107773 b | 144.3 | 1674 | 2.42 | 12.00 | 42.70 | |
| 258 | HD 68988 b | 6.277 | 513 | 1.28 | 4.36 | 184.40 | |
| 259 | HD 210702 b | 354.1 | 1739 | 1.85 | 8.82 | 37.45 | |
| 260 | HD 98219 b | 433.8 | 1484 | 1.41 | 3.6 | 42.00 | |
| 261 | HD 33844 b | 551.4 | 2408 | 1.78 | 7.3 | 33.50 | |
| 262 | HD 12648 b | 133.6 | 1693 | 1.2 | 29.80 | 102.00 | |
| 263 | HD 4313 b | 356.21 | 911 | 1.63 | 3.7 | 40.30 | |
| 264 | HD 117207 b | 2621.75 | 6364 | 1.053 | 3.4 | 27.78 | |
| 265 | HD 159243 c | 248.4 | 767 | 1.125 | 12.40 | 56.60 | |
| 266 | Pr0211 b | 2.146 | 791 | 0.935 | 26.00 | 309.70 | |
| 267 | HD 47366 c | 682.85 | 2719 | 1.81 | 14.7 | 25.86 | |
| 268 | HD 152581 b | 686.5 | 1478 | 1.3 | 4.7 | 36.20 | |
| 269 | gam Cep b | 903.3 | 10,800 | 1.4 | 7.70 | 31.10 | |
| 270 | 7 CMa b | 735.1 | 6791 | 1.34 | 8.20 | 34.30 | |
| 271 | HD 9446 c | 192.9 | 851 | 1 | 15.10 | 63.90 | |
| 272 | HD 4203 b | 437 | 4715 | 1.25 | 3.93 | 52.82 | |
| 273 | HD 160691 c | 4205.8 | 2987 | 1.08 | 3.34 | 21.79 | |
| 274 | kap CrB b (HD 142091 b) | 1285 | 3353 | 1.5 | 4.8 | 26.18 | |
| 275 | HD 131496 b | 896 | 1465 | 1.34 | 6.3 | 31.60 | |
| 276 | alf Ari b | 380.8 | 2320 | 1.5 | 17.80 | 41.10 | |
| 277 | HD 158038 b | 521 | 1465 | 1.65 | 4.7 | 33.90 | |
| 278 | HD 45350 b | 963.6 | 2265 | 1.02 | 9.10 | 58.00 | |
| 279 | HD 74156 b | 51.638 | 3408 | 1.238 | 12.8 | 108.00 | |
| 280 | HD 87883 b | 2754 | 3833 | 0.82 | 9.2 | 34.70 | |
| 281 | HD 233832 b | 2058 | 5569 | 0.71 | 5 | 38.29 | |
| 282 | 16 Cyg B b | 798.5 | 2899 | 1.08 | 10.6 | 50.50 | |
| 283 | HD 128311 b | 453.019 | 4566 | 0.828 | 9.37 | 55.60 | |
| 284 | HD 72490 b | 858 | 2922 | 1.21 | 6.43 | 33.50 | |
| 285 | HD 5319 b | 641 | 3574 | 1.51 | 7.18 | 31.60 | |
| 286 | HD 33844 c | 916 | 2408 | 1.78 | 7.3 | 25.40 | |
| 287 | HD 82943 b | 441.2 | 2300 | 1.08 | 7.88 | 66.00 | |
| 288 | ome Ser b | 277.02 | 4217 | 2.17 | 17 | 31.80 | |
| 289 | HD 167042 b | 420.77 | 1925 | 1.5 | 7.68 | 32.16 | |
| 290 | BD+48 740 b | 733 | 3492 | 1.09 | 21.7 | 54.00 | |
| 291 | HD 149143 b | 4.072 | 286 | 1.73 | 4.72 | 149.60 | |
| 292 | HD 160691 b | 643.25 | 2987 | 1.08 | 3.34 | 37.78 | |
| 293 | HD 142415 b | 386.3 | 1529 | 1.07 | 10.6 | 51.30 | |
| 294 | TAP 26 b | 10.79 | 72 | 1.04 | 51 | 149.00 | |
| 295 | HD 86081 b | 2.138 | 87 | 1.39 | 4.38 | 207.70 | |
| 296 | HD 23127 b | 1214 | 5959 | 1.42 | 11 | 27.50 | |
| 297 | 47 UMa d | 14002 | 7175 | 1.03 | 6.5 | 13.80 | |
| 298 | HD 4917 b | 400.5 | 3307 | 1.32 | 7 | 37.10 | |
| 299 | HD 221585 b | 1173 | 3983 | 1.19 | 4.04 | 27.90 | |
| 300 | HD 100655 b | 157.6 | 1599 | 2.28 | 11.2 | 35.20 | |
| 301 | HD 134987 b | 258.18 | 4195 | 1.07 | 3.3 | 49.50 | |
| 302 | HD 180902 b | 479 | 830 | 1.52 | 3.3 | 34.25 | |
| 303 | HD 42012 b | 857.5 | 4400 | 0.83 | 8.61 | 39.00 | |
| 304 | HD 129445 b | 1840 | 2153 | 0.99 | 7.3 | 38.00 | |
| 305 | BD+49 828 b | 2590 | 3134 | 1.52 | 11.6 | 18.80 | |
| 306 | HAT-P-11 c | 3407 | 3614 | 0.809 | 4.98 | 30.90 | |
| 307 | HD 200964 b | 606.3 | 1862 | 1.39 | 7.6 | 30.90 | |
| 308 | NGC 2682 Sand 364 b | 120.95 | 3729 | 1.35 | 15.93 | 56.94 | |
| 309 | HIP 109384 b | 499.48 | 2776 | 0.78 | 5.8 | 56.53 | |
| 310 | HD 4113 b | 526.62 | 2922 | 0.99 | 8.4 | 97.10 | |
| 311 | HD 27442 b | 428.1 | 1096 | 1.23 | 6.5 | 32.20 | |
| 312 | HD 222076 b | 871 | 2330 | 1.07 | 5.9 | 31.90 | |
| 313 | HD 6718 b | 2496 | 2028 | 0.96 | 1.79 | 24.10 | |
| 314 | eps Eri b | 2502 | 8784 | 0.83 | 11.7 | 18.50 | |
| 315 | HD 30856 b | 847 | 1294 | 1.17 | 5.2 | 29.90 | |
| 316 | HD 28678 b | 380.2 | 1294 | 1.53 | 6.1 | 32.90 | |
| 317 | GJ 317 c | 5312 | 2535 | 0.42 | 8.50 | 30.00 | |
| 318 | psi 1 Dra B b | 3117 | 6233 | 1.19 | 7.05 | 21.00 | |
| 319 | HD 48265 b | 778.51 | 3834 | 1.312 | 3.38 | 28.65 | |
| 320 | HD 102329 c | 1123 | 2421 | 1.3 | 3.3 | 27.40 | |
| 321 | HD 121504 b | 63.33 | 1496 | 1.18 | 11.6 | 55.80 | |
| 322 | omi CrB b | 187.83 | 3504 | 2.13 | 16.4 | 32.25 | |
| 323 | HD 33142 b | 326.6 | 1294 | 1.78 | 8.3 | 30.40 | |
| 324 | HD 188015 b | 461.2 | 1322 | 1.09 | 4.3 | 37.60 | |
| 325 | HD 190360 b | 2868 | 4346 | 0.98 | 3.1 | 23.39 | |
| 326 | HD 27631 b | 2198 | 5550 | 0.944 | 5.29 | 24.51 | |
| 327 | HD 132563 b | 1544 | 3645 | 1.081 | 12.7 | 26.70 | |
| 328 | HD 177830 b | 406.6 | 5180 | 1.47 | 3.85 | 31.60 | |
| 329 | HD 20782 b | 597.06 | 4111 | 1.02 | 2.34 | 118.43 | |
| 330 | HD 10442 b | 1032.3 | 3386 | 1.01 | 5.98 | 29.90 | |
| 331 | HD 216536 b | 148.6 | 2756 | 1.36 | 23 | 50.00 | |
| 332 | BD+14 4559 b | 268.94 | 1265 | 0.86 | 11.43 | 55.21 | |
| 333 | HD 50499 b | 2483.7 | 7268 | 1.31 | 10 | 18.94 | |
| 334 | HD 220773 b | 3724.7 | 3311 | 1.16 | 6.57 | 20.00 | |
| 335 | HD 133131 A b | 649 | 4460 | 0.95 | 9.38 | 36.52 | |
| 336 | HIP 5158 b | 345.72 | 1901 | 0.78 | 2.47 | 59.00 | |
| 337 | HD 5608 b | 792.6 | 3190 | 1.55 | 6.3 | 23.50 | |
| 338 | HD 208897 b | 352.7 | 2760 | 1.25 | 18.13 | 34.70 | |
| 339 | HD 116029 b | 670 | 1487 | 0.83 | 6.9 | 36.60 | |
| 340 | HD 99706 b | 868 | 2418 | 1.7 | 4.2 | 22.40 | |
| 341 | HIP 67851 b | 88.9 | 4017 | 1.63 | 8.9 | 45.50 | |
| 342 | XO-2 S c | 120.8 | 384 | 0.98 | 3.1 | 57.68 | |
| 343 | HD 2952 b | 311.6 | 3219 | 1.97 | 12.4 | 26.30 | |
| 344 | HD 205739 b | 279.8 | 1209 | 1.22 | 8.67 | 42.00 | |
| 345 | HD 19994 b | 466.2 | 3367 | 1.365 | 14 | 29.30 | |
| 346 | HD 79498 b | 1966.1 | 2661 | 1.06 | 5.13 | 26.00 | |
| 347 | HD 141399 c | 201.99 | 2566 | 1.07 | 4.8 | 44.20 | |
| 348 | HD 231701 b | 141.6 | 1095 | 1.52 | 5.9 | 39.00 | |
| 349 | 8 UMi b | 93.4 | 1888 | 1.44 | 17.2 | 46.10 | |
| 350 | HD 217107 b | 7.127 | 3470 | 1 | 11 | 139.20 | |
| 351 | HD 148427 b | 331.5 | 2748 | 1.64 | 7 | 27.70 | |
| 352 | HD 108874 b | 395.8 | 2850 | 1 | 4.1 | 37.00 | |
| 353 | HIP 14810 c | 147.747 | 1112 | 0.81 | 3.29 | 50.91 | |
| 354 | HD 116029 c | 907 | 2252 | 1.33 | 5 | 20.70 | |
| 355 | HD 94834 b | 1576 | 3100 | 1.11 | 6.32 | 20.70 | |
| 356 | HD 216435 b | 1391 | 1560 | 1.25 | 6.69 | 20.00 | |
| 357 | HD 95089 b | 507 | 2422 | 1.54 | 7.6 | 25.00 | |
| 358 | WASP-47 c | 588.5 | 494 | 1.04 | 3.7 | 30.00 | |
| 359 | HD 142 b | 349.7 | 5067 | 1.232 | 11.2 | 33.20 | |
| 360 | HD 210277 b | 442.1 | 433 | 1.01 | 6.1 | 38.90 | |
| 361 | HD 148164 b | 328.55 | 4383 | 1.21 | 5.62 | 39.60 | |
| 362 | HD 30562 b | 1157 | 3691 | 1.12 | 7.58 | 33.70 | |
| 363 | HD 200964 c | 852.5 | 1862 | 1.39 | 7.6 | 21.50 | |
| 364 | HD 147513 b | 528.4 | 1690 | 1.07 | 5.7 | 29.30 | |
| 365 | HD 143105 b | 2.197 | 422 | 1.51 | 10.6 | 144.00 | |
| 366 | HD 52265 b | 119.27 | 509 | 1.204 | 10.1 | 42.97 | |
| 367 | HD 73534 b | 1770 | 1765 | 1.4 | 3.36 | 16.20 | |
| 368 | HD 65216 b | 613.1 | 5371 | 0.88 | 2.84 | 33.70 | |
| 369 | HD 141399 d | 1069.8 | 2566 | 1.07 | 4.8 | 22.63 | |
| 370 | HD 28254 b | 1116 | 1989 | 1.06 | 2.19 | 37.30 | |
| 371 | HD 100777 b | 383.7 | 857 | 1 | 1.7 | 34.90 | |
| 372 | HD 5319 c | 886 | 3574 | 1.56 | 7.18 | 18.80 | |
| 373 | HD 75784 b | 341.7 | 3694 | 1.41 | 4.63 | 26.70 | |
| 374 | HD 130322 b | 10.709 | 5178 | 0.92 | 14.6 | 112.50 | |
| 375 | HD 114386 b | 937.7 | 1550 | 0.6 | 10.2 | 34.30 | |
| 376 | HD 159243 b | 12.62 | 767 | 1.125 | 12.4 | 91.10 | |
| 377 | HD 14787 b | 676.6 | 3287 | 1.43 | 5.3 | 20.70 | |
| 378 | HD 220689 b | 2266.4 | 5200 | 1.016 | 4.85 | 17.12 | |
| 379 | HD 9174 b | 1179 | 1723 | 1.03 | 2.2 | 20.80 | |
| 380 | BD+15 2940 b | 137.48 | 2362 | 1.1 | 17.89 | 42.70 | |
| 381 | HD 114783 b | 493.7 | 3208 | 0.853 | 6.3 | 31.90 | |
| 382 | HIP 91258 b | 5.05 | 146 | 0.97 | 5.97 | 130.90 | |
| 383 | BD+15 2375 b | 153.22 | 4103 | 1.08 | 22.82 | 38.30 | |
| 384 | HD 60532 b | 201.9 | 1960 | 1.5 | 4.66 | 29.10 | |
| 385 | rho CrB b | 39.846 | 3360 | 0.889 | 2.57 | 67.28 | |
| 386 | gam Lib b | 415.2 | 5234 | 1.47 | 16.41 | 22.00 | |
| 387 | HD 219415 b | 2093.3 | 2653 | 1 | 8.8 | 18.20 | |
| 388 | HD 154345 b | 3538 | 6511 | 0.88 | 4 | 17.00 | |
| 389 | HD 108874 c | 1624 | 2850 | 1 | 4.1 | 18.20 | |
| 390 | HD 1605 b | 577.9 | 3281 | 1.31 | 6.4 | 19.80 | |
| 391 | HD 185269 b | 6.838 | 749 | 1.28 | 10.1 | 91.00 | |
| 392 | HD 10647 b | 989.2 | 4748 | 1.11 | 8.92 | 18.10 | |
| 393 | HD 113538 c | 1818 | 3771 | 0.585 | 3.5 | 22.60 | |
| 394 | HD 86226 b | 1695 | 4680 | 1.06 | 6.88 | 15.30 | |
| 395 | HD 102956 b | 6.495 | 1164 | 1.59 | 6 | 73.40 | |
| 396 | HD 285507 b | 6.088 | 194 | 0.734 | 15 | 125.80 | |
| 397 | HD 179949 b | 3.093 | 735 | 1.21 | 7.7 | 112.60 | |
| 398 | HD 25171 b | 1802.3 | 4100 | 1.076 | 2.4 | 14.56 | |
| 399 | GJ 849 b | 1924 | 6210 | 0.49 | 3.72 | 23.96 | |
| 400 | BD+48 738 b | 392.6 | 2480 | 0.74 | 16 | 31.90 | |
| 401 | 24 Boo b | 30.35 | 4808 | 0.99 | 26.51 | 59.90 | |
| 402 | HD 96063 b | 361.1 | 1398 | 1.02 | 5.4 | 25.90 | |
| 403 | HD 128356 b | 298.2 | 2633 | 0.65 | 3.9 | 36.90 | |
| 404 | 7 Cma c | 996 | 6791 | 1.34 | 8.2 | 14.90 | |
| 405 | HD 17674 b | 623.8 | 6709 | 0.98 | 8.24 | 21.10 | |
| 406 | HD 13908 b | 19.382 | 1589 | 1.29 | 9.6 | 55.30 | |
| 407 | 24 Sex c | 883 | 1907 | 1.54 | 6.8 | 14.50 | |
| 408 | HD 155358 b | 194.3 | 3723 | 0.92 | 6.14 | 32.00 | |
| 409 | HD 148156 b | 1027 | 2168 | 1.22 | 3.69 | 17.50 | |
| 410 | Kepler-68 d | 625 | 1207 | 1.19 | 4 | 19.06 | |
| 411 | HD 38529 b | 14.31 | 3745 | 1.477 | 11.8 | 56.10 | |
| 412 | HD 187085 b | 1019.74 | 5811 | 1.189 | 5.51 | 15.39 | |
| 413 | 55 Cancri b | 14.652 | 8476 | 0.905 | 3.5 | 71.40 | |
| 414 | HD 114729 b | 1121.79 | 6500 | 0.936 | 3.93 | 16.91 | |
| 415 | HD 155358 c | 391.9 | 3723 | 0.92 | 6.14 | 24.90 | |
| 416 | HD 134987 c | 5000 | 4195 | 1.07 | 3.3 | 9.30 | |
| 417 | GJ 179 b | 2288 | 3626 | 0.357 | 9.51 | 25.80 | |
| 418 | HD 4208 b | 832.97 | 6562 | 0.883 | 6.36 | 19.03 | |
| 419 | HD 197037 b | 1035.7 | 3924 | 1.11 | 8 | 15.50 | |
| 420 | HIP 65407 c | 67.3 | 1517 | 0.93 | 7.5 | 41.50 | |
| 421 | HD 163607 b | 75.22 | 4840 | 1.12 | 2 | 52.34 | |
| 422 | HD 109246 b | 68.27 | 1120 | 1.01 | 7.7 | 38.20 | |
| 423 | HD 159868 c | 351 | 3400 | 1.19 | 5.8 | 20.00 | |
| 424 | HD 156411 b | 842.2 | 2231 | 1.25 | 2.94 | 14.00 | |
| 425 | HD 192263 b | 24.356 | 4799 | 0.807 | 12.42 | 59.30 | |
| 426 | HD 207832 c | 1155.7 | 2722 | 0.94 | 8.43 | 15.30 | |
| 427 | GJ 876 c | 30.088 | 4600 | 0.32 | 2.96 | 88.34 | |
| 428 | HD 224693 b | 26.73 | 562 | 1.33 | 4.07 | 40.20 | |
| 429 | HD 9446 b | 30.052 | 851 | 1 | 15.1 | 46.60 | |
| 430 | HD 32963 b | 2372 | 5838 | 1.03 | 2.64 | 11.10 | |
| 431 | HD 209458 b | 3.525 | 1885 | 1.23 | 14.9 | 85.10 | |
| 432 | HD 37124 d | 1862 | 4810 | 0.85 | 4.03 | 12.80 | |
| 433 | GJ 832 b | 3660 | 5570 | 0.45 | 1.6 | 15.40 | |
| 434 | ups And b | 4.617 | 7383 | 1.3 | 13.76 | 70.51 | |
| 435 | HD 96167 b | 498.9 | 1832 | 1.31 | 4.6 | 20.80 | |
| 436 | HD 8535 b | 1313 | 2220 | 1.13 | 2.49 | 11.80 | |
| 437 | HD 37124 b | 154.378 | 4810 | 0.85 | 4.03 | 28.50 | |
| 438 | HD 211810 b | 1558 | 4052 | 1.03 | 2.55 | 15.60 | |
| 439 | Kepler-65 e | 258.7 | 2229 | 1.248 | 6.05 | 19.10 | |
| 440 | HD 27894 b | 18.02 | 4748 | 0.8 | 2.04 | 59.80 | |
| 441 | HD 170469 b | 1145 | 2544 | 1.1 | 4.18 | 12.00 | |
| 442 | HD 141399 e | 5000 | 2566 | 1.07 | 4.8 | 8.80 | |
| 443 | HD 45364 c | 342.85 | 1583 | 0.82 | 1.417 | 21.92 | |
| 444 | HD 37124 c | 885.5 | 4810 | 0.85 | 4.03 | 15.40 | |
| 445 | HD 216770 b | 118.45 | 827 | 0.9 | 7.8 | 30.90 | |
| 446 | HD 63765 b | 358 | 3934 | 0.865 | 3.41 | 20.90 | |
| 447 | HD 181433 c | 962 | 1757 | 0.78 | 1.06 | 16.20 | |
| 448 | HD 34445 b | 1056.7 | 6830 | 1.07 | 3.43 | 12.01 | |
| 449 | HD 11964 b | 1945 | 4378 | 1.08 | 3.1 | 9.41 | |
| 450 | HD 330075 b | 3.388 | 204 | 0.7 | 2 | 107.00 | |
| 451 | HD 103720 b | 4.556 | 3353 | 0.794 | 13.1 | 89.00 | |
| 452 | WASP-94 B b | 2.008 | 625 | 1.24 | 7.16 | 86.48 | |
| 453 | HD 175541 b | 297.3 | 3685 | 1.65 | 5.6 | 14.00 | |
| 454 | HD 43197 b | 327.8 | 1943 | 0.96 | 1.44 | 32.40 | |
| 455 | BD-10 3166 b | 3.488 | 414 | 1.47 | 5.7 | 60.90 | |
| 456 | HD 44219 b | 472.3 | 1988 | 1 | 2.39 | 19.40 | |
| 457 | HIP 14810 d | 981.8 | 1112 | 0.81 | 3.29 | 12.17 | |
| 458 | HD 207832 b | 161.97 | 2722 | 0.94 | 8.43 | 22.10 | |
| 459 | Pr0201 b | 4.426 | 101 | 1.24 | 26 | 58.10 | |
| 460 | HD 181433 d | 2172 | 1757 | 0.78 | 1.06 | 11.30 | |
| 461 | 47 UMa c | 2391 | 7175 | 1.03 | 6.5 | 8.00 | |
| 462 | BD-11 4672 b | 1667 | 3271 | 0.571 | 2.9 | 13.40 | |
| 463 | HIP 57274 d | 431.7 | 1004 | 0.73 | 3.15 | 18.20 | |
| 464 | HD 187123 b | 3.097 | 3810 | 1 | 2.5 | 14.91 | |
| 465 | HD 160691 e | 310.55 | 2987 | 1.08 | 3.34 | 14.91 | |
| 466 | HD 7449 b | 1255.5 | 4452 | 1.053 | 4.21 | 21.90 | |
| 467 | HD 99109 b | 439.3 | 2575 | 0.93 | 6.28 | 14.10 | |
| 468 | HD 31253 b | 466 | 4461 | 1.23 | 4.23 | 12.00 | |
| 469 | HD 210193 b | 649.9 | 3161 | 1.04 | 2.9 | 11.40 | |
| 470 | HD 2638 b | 3.444 | 401 | 0.93 | 3.3 | 67.40 | |
| 471 | HD 164509 b | 282.4 | 2153 | 1.13 | 4.9 | 14.20 | |
| 472 | HD 114613 b | 3827 | 5637 | 1.364 | 3.9 | 5.52 | |
| 473 | HD 30669 b | 1684 | 3799 | 0.92 | 3.6 | 8.60 | |
| 474 | HD 45652 b | 43.6 | 484 | 0.83 | 8.9 | 33.10 | |
| 475 | 51 Peg b | 4.231 | 3278 | 1.12 | 11.8 | 57.30 | |
| 476 | GJ 3512 b | 203.59 | 867 | 0.123 | 3.27 | 71.84 | |
| 477 | NGC 2682 YBP 401 b | 4.087 | 2493 | 1.14 | 12.74 | 49.06 | |
| 478 | HD 141399 b | 94.44 | 2566 | 1.07 | 4.8 | 19.23 | |
| 479 | HD 212301 b | 2.246 | 723 | 1.27 | 6.7 | 59.50 | |
| 480 | HD 208487 c | 909 | 2650 | 1.05 | 4.4 | 10.10 | |
| 481 | HD 102195 b | 4.114 | 435 | 0.87 | 6.1 | 63.00 | |
| 482 | HD 6434 b | 22.017 | 5444 | 0.89 | 7.77 | 35.00 | |
| 483 | DMPP-2 b | 5.207 | 4508 | 1.44 | 17.35 | 40.26 | |
| 484 | HIP 65407 b | 28.125 | 1517 | 0.93 | 7.5 | 30.50 | |
| 485 | HD 133131A c | 3568 | 4460 | 0.95 | 9.38 | 6.89 | |
| 486 | HD 75289 b | 3.51 | 335 | 1.15 | 7.44 | 54.00 | |
| 487 | HD 126614A b | 1244 | 4029 | 1.26 | 3.99 | 7.30 | |
| 488 | HD 208487 b | 129.97 | 2650 | 1.05 | 4.4 | 19.30 | |
| 489 | HIP 57274 c | 32.03 | 1004 | 0.73 | 3.15 | 32.40 | |
| 490 | HD 11506 c | 223.41 | 3574 | 1.24 | 4.8 | 12.10 | |
| 491 | NGC 2682 YBP 1514 b | 5.118 | 1506 | 0.96 | 14.6 | 52.29 | |
| 492 | HD 108147 b | 10.901 | 1065 | 1.27 | 9.2 | 36.00 | |
| 493 | HD 181720 b | 956 | 2239 | 1.03 | 1.37 | 8.40 | |
| 494 | HD 63454 b | 2.818 | 2215 | 0.84 | 6.84 | 64.19 | |
| 495 | HD 83443 b | 2.986 | 1455 | 0.9 | 9 | 58.10 | |
| 496 | HD 34445 g | 5700 | 6830 | 1.07 | 3.43 | 4.08 | |
| 497 | HD 93083 b | 143.58 | 383 | 0.7 | 2 | 18.30 | |
| 498 | HD 103774 b | 5.888 | 2734 | 1.335 | 11.43 | 34.30 | |
| 499 | HD 149026 b | 2.877 | 277 | 1.3 | 3.8 | 43.30 | |
| 500 | HD 113538 b | 663.2 | 3771 | 0.585 | 3.5 | 12.20 | |
| 501 | HIP 12961 b | 57.435 | 2226 | 0.69 | 3.9 | 24.70 | |
| 502 | HD 102843 b | 3090 | 3009 | 0.95 | 1.6 | 5.24 | |
| 503 | HD 47186 c | 1353.6 | 1583 | 0.99 | 0.91 | 6.65 | |
| 504 | NGC 2682 YBP 1194 b | 6.958 | 1889 | 1.01 | 11.55 | 37.72 | |
| 505 | HD 219134 h | 2247 | 6837 | 0.794 | 2.223 | 6.10 | |
| 506 | HD 38283 b | 363.2 | 3013 | 1.085 | 4.3 | 10.00 | |
| 507 | HD 164922 b | 1201 | 7017 | 0.874 | 2.63 | 7.15 | |
| 508 | HD 33283 b | 18.179 | 738 | 1.24 | 3.6 | 25.20 | |
| 509 | HD 564 b | 492.3 | 4008 | 0.961 | 2.9 | 8.79 | |
| 510 | HD 215497 c | 567.94 | 1855 | 0.872 | 1.75 | 10.10 | |
| 511 | BD-08 2823 c | 237.6 | 1826 | 0.74 | 4.3 | 13.40 | |
| 512 | GJ 649 b | 598.3 | 3702 | 0.54 | 4.2 | 12.40 | |
| 513 | GJ 1148 b | 41.38 | 6158 | 0.344 | 3.71 | 38.37 | |
| 514 | HD 101930 b | 70.46 | 382 | 0.74 | 1.8 | 18.10 | |
| 515 | HD 88133 b | 3.415 | 185 | 1.20 | 5.3 | 35.70 | |
| 516 | HD 7199 b | 615 | 2579 | 0.89 | 2.63 | 7.80 | |
| 517 | HD 109749 b | 5.24 | 537 | 1.23 | 2.77 | 28.30 | |
| 518 | HD 168746 b | 6.404 | 880 | 1.07 | 9.8 | 28.60 | |
| 519 | HD 204941 b | 1733 | 2180 | 0.74 | 1.31 | 5.90 | |
| 520 | HD 16141 b | 75.523 | 1220 | 1.11 | 3.24 | 12.00 | |
| 521 | XO-2S b | 18.157 | 384 | 0.98 | 3.1 | 20.64 | |
| 522 | HD 46375 b | 3.024 | 516 | 1 | 2.59 | 35.20 | |
| 523 | HD 126525 b | 960.4 | 4323 | 0.897 | 2.5 | 5.26 | |
| 524 | Kepler-25 d | 122.4 | 2945 | 1.19 | 6.14 | 9.67 | |
| 525 | HD 76700 b | 3.971 | 1244 | 1.13 | 6.2 | 27.60 | |
| 526 | HD 3651 b | 62.218 | 7376 | 0.882 | 6.3 | 15.90 | |
| 527 | HD 137388 b | 330 | 2054 | 0.86 | 2.39 | 7.90 | |
| 528 | GJ 1148 c | 532.58 | 6158 | 0.344 | 3.71 | 11.34 | |
| 529 | HD 218566 b | 225.7 | 5053 | 0.85 | 3.48 | 8.30 | |
| 530 | HD 8326 b | 158.991 | 3152 | 0.8 | 2.4 | 9.36 | |
| 531 | HD 21411 b | 84.288 | 3217 | 0.89 | 3.5 | 11.48 | |
| 532 | HD 10180 h | 2222 | 2428 | 1.06 | 1.27 | 3.04 | |
| 533 | HD 220197 b | 1728 | 1887 | 0.91 | 2.62 | 3.78 | |
| 534 | HD 117618 b | 25.827 | 6264 | 1.17 | 6.16 | 12.80 | |
| 535 | HD 45364 b | 226.93 | 1583 | 0.82 | 1.417 | 7.22 | |
| 536 | HD 104067 b | 55.806 | 2272 | 0.791 | 4.6 | 11.56 | |
| 537 | HD 102117 b | 20.8 | 2299 | 0.95 | 3.3 | 12.00 | |
| 538 | 55 Cancri c | 44.418 | 8476 | 0.905 | 3.53 | 10.18 | |
| 539 | BD-06 1339 c | 125.94 | 2955 | 0.7 | 4.3 | 9.10 | |
| 540 | HD 34445 c | 214.67 | 6830 | 1.07 | 3.43 | 5.45 | |
| 541 | HD 27894 c | 36.07 | 4748 | 0.8 | 2.04 | 11.57 | |
| 542 | HD 177830 c | 110.9 | 5180 | 1.47 | 3.85 | 5.10 | |
| 543 | 55 Cancri f | 262 | 8476 | 0.905 | 6.343 | 4.87 | |
| 544 | HD 85390 b | 788 | 2374 | 0.76 | 1.15 | 3.82 | |
| 545 | HD 49674 b | 4.948 | 452 | 1 | 5.55 | 14.00 | |
| 546 | HD 34445 f | 676.8 | 6830 | 1.07 | 3.43 | 2.74 | |
| 547 | GJ 15A c | 7600 | 7310 | 0.38 | 3.08 | 2.50 | |
| 548 | HD 206255 b | 96.045 | 3099 | 1.42 | 2.3 | 3.92 | |
| 549 | GJ 433 c | 5094 | 7305 | 0.48 | 2.1 | 1.75 | |
| 550 | HD 103197 b | 47.84 | 2235 | 0.9 | 1.4 | 5.90 | |
| 551 | HD 34445 d | 117.87 | 6830 | 1.07 | 3.43 | 3.81 | |
| 552 | GJ 163 d | 604 | 3068 | 0.4 | 2.02 | 4.42 | |
| 553 | HD 134060 c | 1291.56 | 4083 | 1.095 | 1.64 | 1.65 | |
| 554 | HD 147379 b (GJ 617A) | 86.78 | 2185 | 0.6 | 3.87 | 5.83 | |
| 555 | HD 179079 b | 14.476 | 1580 | 1.15 | 3.88 | 6.64 | |
| 556 | HD 10180 e | 49.747 | 2428 | 1.06 | 1.27 | 4.19 | |
| 557 | HD 99492 b | 17.054 | 6756 | 0.85 | 4.33 | 6.98 | |
| 558 | HD 11964 c | 37.91 | 4378 | 1.08 | 3.1 | 4.65 | |
| 559 | rho CrB c | 102.54 | 3360 | 0.889 | 2.57 | 3.74 | |
| 560 | HD 38677 b (DMPP-1 b) | 18.57 | 763 | 1.21 | 1.1 | 5.16 | |
| 561 | HD 192310 c | 525.8 | 2348 | 0.8 | 0.92 | 2.27 | |
| 562 | HD 109271 c | 30.93 | 2683 | 1.047 | 2.05 | 4.90 | |
| 563 | HD 10180 f | 122.72 | 2428 | 1.06 | 1.27 | 2.98 | |
| 564 | GJ 3293 b | 30.599 | 2300 | 0.42 | 2.78 | 8.60 | |
| 565 | 61 Vir d (HD 115617 d) | 123 | 1571 | 0.942 | 2.17 | 3.25 | |
| 566 | HD 47186 b | 4.085 | 1583 | 0.99 | 0.91 | 9.12 | |
| 567 | Kepler-19 d | 62.95 | 867 | 0.936 | 2.9 | 4.00 | |
| 568 | HD 16417 b | 17.24 | 3874 | 1.2 | 2.6 | 5.00 | |
| 569 | HD 10180 g | 602 | 2428 | 1.06 | 1.27 | 1.59 | |
| 570 | GJ 436 b | 2.644 | 1645 | 0.41 | 5.26 | 18.10 | |
| 571 | HD 219134 d | 46.71 | 6837 | 0.794 | 2.223 | 4.40 | |
| 572 | GJ 3293 c | 122.6 | 2300 | 0.42 | 2.78 | 4.89 | |
| 573 | HD 219828 b | 3.835 | 5169 | 1.23 | 1.64 | 7.53 | |
| 574 | HD 190360 c | 17.119 | 4346 | 0.98 | 3.1 | 5.20 | |
| 575 | Kepler-20 g | 34.94 | 2262 | 0.948 | 5.39 | 4.10 | |
| 576 | HD 213885 c | 4.785 | 3728 | 1.068 | 5 | 7.26 | |
| 577 | GJ 96 b | 73.94 | 1896 | 0.6 | 3.37 | 4.69 | |
| 578 | HIP 71135 b | 87.19 | 3009 | 0.66 | 3.1 | 3.71 | |
| 579 | GJ 687 b | 38.14 | 6077 | 0.413 | 6.62 | 6.40 | |
| 580 | HD 125612 c | 4.155 | 2016 | 1.091 | 3.7 | 6.46 | |
| 581 | HD 90156 b | 49.77 | 1607 | 0.84 | 1.23 | 3.69 | |
| 582 | 61 Vir c (HD 115617 c) | 38.021 | 1571 | 0.942 | 2.17 | 3.62 | |
| 583 | HD 69830 d | 197 | 826 | 0.86 | 0.81 | 2.20 | |
| 584 | HD 64114 b | 45.791 | 2633 | 0.95 | 1.6 | 3.33 | |
| 585 | HD 204313 c | 34.905 | 4748 | 1.03 | 1.32 | 3.42 | |
| 586 | HD 21693 c | 53.736 | 4106 | 0.8 | 2.05 | 3.44 | |
| 587 | HD 109271 b | 7.854 | 2683 | 1.047 | 2.05 | 5.60 | |
| 588 | HD 192310 b | 74.72 | 2348 | 0.8 | 0.92 | 3.00 | |
| 589 | HD 34445 e | 49.175 | 6830 | 1.07 | 3.43 | 2.75 | |
| 590 | GJ 4276 b | 13.352 | 774 | 0.406 | 2.46 | 8.79 | |
| 591 | HD 164595 b | 40 | 809 | 0.99 | 2.3 | 3.05 | |
| 592 | HD 77338 b | 5.736 | 2636 | 0.93 | 1.74 | 6.00 | |
| 593 | HD 4308 b | 15.56 | 680 | 0.93 | 1.3 | 4.10 | |
| 594 | HD 102365 b | 122.1 | 4545 | 0.85 | 2.53 | 2.30 | |
| 595 | GJ 581 b | 5.368 | 6509 | 0.31 | 2.91 | 12.35 | |
| 596 | GJ 876 e | 124.26 | 4600 | 0.32 | 2.96 | 3.42 | |
| 597 | HD 20003 c | 33.924 | 4063 | 0.875 | 1.65 | 3.15 | |
| 598 | HD 42618 b | 149.61 | 6967 | 1.015 | 2.34 | 1.89 | |
| 599 | HD 51608 c | 95.945 | 4158 | 0.8 | 1.6 | 2.36 | |
| 600 | BD-08 2823 b | 5.6 | 1826 | 0.74 | 4.3 | 6.50 | |
| 601 | HD 31527 c | 51.205 | 4135 | 0.96 | 1.41 | 2.51 | |
| 602 | HD 20781 e | 85.507 | 4093 | 0.7 | 1.45 | 2.60 | |
| 603 | CoRoT-7 c | 3.7 | 109+25 | 0.9 | 1.96 | 6.01 | |
| 604 | LSPM J2116+0234 b | 14.44 | 882 | 0.43 | 4.14 | 6.26 | |
| 605 | HD 10180 c | 5.76 | 2428 | 1.06 | 1.27 | 4.50 | |
| 606 | HD 125595 b | 9.674 | 2075 | 0.756 | 3.22 | 4.79 | |
| 607 | GJ 378 b | 3.822 | 880 | 0.56 | 4.86 | 7.96 | |
| 608 | HD 211970 b | 25.201 | 3102 | 0.61 | 2.7 | 4.02 | |
| 609 | HD 164922 c | 75.765 | 7017 | 0.874 | 2.63 | 2.22 | |
| 610 | HD 51608 b | 14.073 | 4158 | 0.8 | 1.6 | 3.95 | |
| 611 | HIP 35173 b | 41.516 | 3269 | 0.79 | 2 | 2.80 | |
| 612 | HIP 54373 c | 15.144 | 3064 | 0.57 | 4.2 | 4.84 | |
| 613 | HD 45184 b | 5.885 | 4160 | 1.03 | 2.15 | 4.26 | |
| 614 | HD 180617 b | 105.9 | 6100 | 0.45 | 2.66 | 2.85 | |
| 615 | HD 31527 d | 271.7 | 4135 | 0.96 | 1.41 | 1.25 | |
| 616 | HD 69830 c | 31.56 | 826 | 0.86 | 0.81 | 2.66 | |
| 617 | HD 24085 b | 2.046 | 3162 | 1.22 | 2 | 5.40 | |
| 618 | HD 10180 d | 16.357 | 2428 | 1.06 | 1.27 | 2.86 | |
| 619 | HD 20003 b | 11.848 | 4053 | 0.875 | 1.65 | 3.84 | |
| 620 | HIP 57274 b | 8.135 | 1004 | 0.73 | 3.15 | 4.64 | |
| 621 | HD 103949 b | 120.88 | 3064 | 0.77 | 1.4 | 1.77 | |
| 622 | GJ 674 b | 4.694 | 820 | 0.35 | 3.27 | 8.70 | |
| 623 | GJ 422 b | 20.129 | 5200 | 0.35 | 4.5 | 4.47 | |
| 624 | HD 219134 g | 94.2 | 6837 | 0.794 | 2.223 | 1.80 | |
| 625 | HD 136352 c | 27.582 | 3993 | 0.81 | 1.35 | 2.65 | |
| 626 | HD 20781 d | 29.158 | 4093 | 0.7 | 1.45 | 2.82 | |
| 627 | GJ 163 b | 8.632 | 3068 | 0.4 | 2.02 | 6.13 | |
| 628 | HD 160691 d | 9.639 | 2987 | 1.08 | 3.34 | 3.06 | |
| 629 | GJ 3138 d | 257.8 | 2932 | 0.681 | 2.6 | 1.47 | |
| 630 | HD 31527 b | 16.554 | 4135 | 0.96 | 1.41 | 2.72 | |
| 631 | HD 69830 b | 8.667 | 826 | 0.86 | 0.81 | 3.51 | |
| 632 | HD 134060 b | 3.27 | 4083 | 1.095 | 1.64 | 4.61 | |
| 633 | DMPP-1 c (HD 38677 c) | 6.584 | 763 | 1.21 | 1.1 | 2.88 | |
| 634 | HD 40307 d | 20.432 | 1912 | 0.77 | 1.16 | 2.75 | |
| 635 | HD 176986 c | 16.819 | 4821 | 0.789 | 2.5 | 2.63 | |
| 636 | HD 285968 b (GJ 176 b) | 8.776 | 4832 | 0.485 | 2.95 | 4.49 | |
| 637 | GJ 685 b | 24.16 | 1605 | 0.55 | 1.5 | 3.00 | |
| 638 | HD 175607 b | 29.01 | 3390 | 0.71 | 2 | 2.37 | |
| 639 | HD 219134 f | 22.805 | 6837 | 0.794 | 2.223 | 2.30 | |
| 640 | HD 45184 c | 13.135 | 4160 | 1.03 | 2.15 | 2.36 | |
| 641 | HD 7924 b | 5.398 | 4775 | 0.832 | 2.5 | 3.59 | |
| 642 | HIP 54373 b | 7.76 | 3064 | 0.57 | 3.1 | 4.19 | |
| 643 | HD 136352 d | 107.6 | 3993 | 0.81 | 1.35 | 1.35 | |
| 644 | HD 39855 b | 3.25 | 2271 | 0.87 | 1.8 | 4.08 | |
| 645 | BD-06 1339 b | 3.873 | 2955 | 0.7 | 4.3 | 4.40 | |
| 646 | GJ 229A b | 526.115 | 7262 | 0.58 | 2.4 | 1.37 | |
| 647 | HD 26965 b | 42.378 | 5550 | 0.78 | 2.6 | 1.81 | |
| 648 | HD 97658 b | 9.494 | 2016 | 0.78 | 2.78 | 2.90 | |
| 649 | GJ 3082 b | 11.949 | 2678 | 0.47 | 2.5 | 3.94 | |
| 650 | GJ 3634 b | 2.646 | 462 | 0.45 | 2 | 5.59 | |
| 651 | HD 21693 b | 22.679 | 4106 | 0.8 | 2.05 | 2.20 | |
| 652 | 55 Cancri e | 0.737 | 8476 | 0.905 | 5.95 | 5.97 | |
| 653 | GJ 676 A e | 35.39 | 3535 | 0.73 | 2.46 | 2.00 | |
| 654 | HD 7924 c | 15.299 | 4775 | 0.832 | 2.5 | 2.31 | |
| 655 | Wolf 1061 d (GJ 628 d) | 217.21 | 4136 | 0.294 | 2.34 | 2.23 | |
| 656 | HD 181433 b | 9.374 | 1757 | 0.78 | 1.06 | 2.57 | |
| 657 | GJ 3293 d | 48.135 | 2300 | 0.42 | 2.78 | 2.42 | |
| 658 | GJ 180 d | 106.3 | 6182 | 0.43 | 3.1 | 2.08 | |
| 659 | K2-18 c | 8.962 | 758 | 0.359 | 2.89 | 4.63 | |
| 660 | GJ 1265 b | 3.651 | 782 | 0.178 | 3 | 9.89 | |
| 661 | GJ 229A c | 121.995 | 7262 | 0.58 | 2.4 | 1.93 | |
| 662 | GJ 3942 b | 6.905 | 1203 | 0.63 | 2.36 | 3.29 | |
| 663 | GJ 686 b | 15.532 | 7442 | 0.42 | 2.9 | 3.29 | |
| 664 | Kapteyn c (GJ 191 c) | 121.54 | 3750 | 0.281 | 2 | 2.27 | |
| 665 | HD 3167 d | 8.509 | 152 | 0.87 | 3.16 | 2.39 | |
| 666 | GJ 876 d | 1.938 | 4600 | 0.32 | 2.96 | 6.56 | |
| 667 | GJ 163 c | 25.63 | 3068 | 0.4 | 2.02 | 2.75 | |
| 668 | HD 40307 c | 9.618 | 1912 | 0.77 | 1.16 | 2.45 | |
| 669 | GJ 3341 b | 14.207 | 1456 | 0.47 | 2.86 | 3.04 | |
| 670 | GJ 536 b | 8.708 | 4677 | 0.506 | 2.91 | 3.12 | |
| 671 | GJ 180 b | 17.133 | 6182 | 0.43 | 3.1 | 3.25 | |
| 672 | HD 1461 b | 5.773 | 3725 | 1.02 | 2.26 | 2.28 | |
| 673 | HD 7924 d | 24.451 | 4775 | 0.832 | 2.5 | 1.65 | |
| 674 | HD 215497 b | 3.934 | 1855 | 0.872 | 1.75 | 3.00 | |
| 675 | GJ 3998 c | 13.74 | 869 | 0.5 | 2 | 2.67 | |
| 676 | GJ 357 d | 55.66 | 7779 | 0.342 | 2.66 | 2.09 | |
| 677 | GJ 433 b | 7.371 | 7305 | 0.48 | 2.1 | 2.86 | |
| 678 | HD 176986 b | 6.49 | 4821 | 0.789 | 2.5 | 2.56 | |
| 679 | GJ 667 C b | 7.2 | 2201 | 0.33 | 1.84 | 3.90 | |
| 680 | GJ 581 c | 12.919 | 6509 | 0.31 | 2.91 | 3.28 | |
| 681 | HD 1461 c | 13.505 | 3725 | 1.02 | 2.26 | 1.49 | |
| 682 | HD 20781 c | 13.89 | 4093 | 0.7 | 1.45 | 1.81 | |
| 683 | GJ 433 d | 36.059 | 7305 | 0.48 | 2.1 | 1.46 | |
| 684 | 61 Vir b (HD 115617 b) | 4.215 | 1571 | 0.942 | 2.17 | 2.12 | |
| 685 | GJ 832 c | 35.67 | 5570 | 0.45 | 1.6 | 1.79 | |
| 686 | Kapteyn b (GJ 191 b) | 48.616 | 3750 | 0.281 | 2 | 2.25 | |
| 687 | HD 136352 b | 11.582 | 3993 | 0.81 | 1.35 | 1.59 | |
| 688 | HD 20794 d | 90.309 | 2610 | 0.7 | 0.82 | 0.85 | |
| 689 | GJ 676 A d | 3.601 | 3535 | 0.73 | 2.46 | 2.40 | |
| 690 | GJ 3138 c | 5.974 | 2932 | 0.681 | 2.6 | 1.93 | |
| 691 | HD 38677 e (DMPP-1 e) | 5.516 | 763 | 1.21 | 1.1 | 1.30 | |
| 692 | GJ 667 C c | 28.1 | 2201 | 0.33 | 1.84 | 1.90 | |
| 693 | HD 40307 b | 4.312 | 1912 | 0.77 | 1.16 | 1.94 | |
| 694 | HD 219134 b | 3.093 | 6837 | 0.794 | 2.223 | 1.90 | |
| 695 | HD 219134 c | 6.765 | 6837 | 0.794 | 2.223 | 1.40 | |
| 696 | GJ 357 c | 9.125 | 7779 | 0.342 | 2.66 | 2.13 | |
| 697 | Wolf 1061 c (GJ 628 c) | 17.872 | 4136 | 0.294 | 2.34 | 2.70 | |
| 698 | HD 38677 d (DMPP-1 d) | 2.882 | 763 | 1.21 | 1.1 | 1.33 | |
| 699 | GJ 3293 e | 13.254 | 2300 | 0.42 | 2.78 | 1.66 | |
| 700 | GJ 15A b | 11.441 | 7310 | 0.38 | 3.08 | 1.68 | |
| 701 | HD 20794 b | 18.315 | 2610 | 0.7 | 0.82 | 0.83 | |
| 702 | GJ 3998 b | 2.65 | 869 | 0.5 | 2 | 1.82 | |
| 703 | HD 20794 c | 40.114 | 2610 | 0.7 | 0.82 | 0.56 | |
| 704 | HD 20781 b | 5.314 | 4093 | 0.7 | 1.45 | ||
| 705 | Wolf 1061 b (GJ 628 b) | 4.887 | 4136 | 0.294 | 2.34 | ||
| 706 | GJ 3138 b | 1.22 | 2932 | 0.681 | 2.6 | ||
| 707 | GJ 581 e | 3.153 | 6509 | 0.31 | 2.91 | 1.55 | |
| 708 | HD 10180 b | 1.178 | 2428 | 1.06 | 1.27 |
References
- Archive: NASA Exoplanet Archive. 2021. Available online: https://exoplanetarchive.ipac.caltech.edu/ (accessed on 30 June 2022).
- Mordasini, C. Planetary Population Synthesis. In Handbook of Exoplanets; Deeg, H.J., Belmonte, J.A., Eds.; Springer International Publishing: Cham, Switzerland, 2018; pp. 2425–2474. [Google Scholar] [CrossRef]
- Emsenhuber, A.; Mordasini, C.; Burn, R.; Alibert, Y.; Benz, W.; Asphaug, E. The New Generation Planetary Population Synthesis (NGPPS). II. Planetary population of solar-like stars and overview of statistical results. Astron. Astrophys. 2021, 656, A70. [Google Scholar] [CrossRef]
- Yakovlev, O.Y.; Ananyeva, V.I.; Ivanova, A.E.; Tavrov, A.V. Comparison of the mass distributions of short-period exoplanets detected by transit and RV methods. Mon. Not. R. Astron. Soc. 2022, 509, L17–L20. [Google Scholar] [CrossRef]
- Dressing, C.D.; Charbonneau, D. The occurrence of potentially habitable planets orbiting M dwarfs estimated from the full Kepler dataset and an empirical measurement of the detection sensitivity. Astrophys. J. 2015, 807, 45. [Google Scholar] [CrossRef]
- Kunimoto, M.; Matthews, J.M. Searching the Entirety of Kepler Data. II. Occurrence Rate Estimates for FGK Stars. Astron. J. 2020, 159, 248. [Google Scholar] [CrossRef]
- Pinamonti, M.; Sozzetti, A.; Maldonado, J.; Affer, L.; Micela, G.; Bonomo, A.S.; Sánchez, R.Z. HADES RV Programme with HARPS-N at TNG. XV. Planetary occurrence rates around early-M dwarfs. Astron. Astrophys. 2022, A65, 21. [Google Scholar] [CrossRef]
- Ananyeva, V.I.; Ivanova, A.E.; Venkstern, A.A.; Tavrov, A.V.; Korablev, O.I.; Bertaux, J.L. The Dependence of the Mass Distribution of Exoplanets on the Spectral Class of Host Stars. Sol. Syst. Res. 2020, 54, 175–186. [Google Scholar] [CrossRef]
- Butler, R.P.; Wright, J.T.; Marcy, G.W.; Fischer, D.A.; Vogt, S.S.; Tinney, C.G.; Penny, A.J. Catalog of Nearby Exoplanets. Astrophys. J. 2006, 646, 505. [Google Scholar] [CrossRef]
- Marchi, S. Extrasolar Planet Taxonomy: A New Statistical Approach. Astrophys. J. 2007, 666, 475. [Google Scholar] [CrossRef]
- Tabachnik, S.; Tremaine, S. Maximum-likelihood method for estimating the mass and period distributions of extrasolar planets. Mon. Not. R. Astron. Soc. 2002, 335, 151–158. [Google Scholar] [CrossRef]
- Marcy, G.; Butler, R.P.; Fischer, D.; Vogt, S.; Wright, J.T.; Tinney, C.G.; Jones, H.R. Observed Properties of Exoplanets: Masses, Orbits, and Metallicities. Prog. Theor. Phys. Suppl. 2005, 158, 24–42. [Google Scholar] [CrossRef]
- Cumming, A.; Butler, R.P.; Marcy, G.W.; Vogt, S.S.; Wright, J.T.; Fischer, D.A. The Keck Planet Search: Detectability and the Minimum Mass and Orbital Period Distribution of Extrasolar Planets. Publ. Astron. Soc. Pac. 2008, 120, 531. [Google Scholar] [CrossRef]
- Howard, A.W.; Marcy, G.W.; Johnson, J.A.; Fischer, D.A.; Wright, J.T.; Isaacson, H.; Valenti, J.A.; Anderson, J.; Lin, D.N.C.; Ida, S. The occurrence and mass distribution of close-in super-Earths, Neptunes, and Jupiters. Science 2010, 330, 653–655. [Google Scholar] [CrossRef] [PubMed]
- Jiang, G.; Yeh, L.C.; Chang, Y.C.; Hung, W.L. On the Fundamental Mass-Period Functions of Extrasolar Planets. Astrophys. J. Suppl. Ser. 2010, 186, 48. [Google Scholar] [CrossRef]
- Tuomi, M.; Jones, H.R.A.; Butler, R.P.; Arriagada, P.; Vogt, S.S.; Burt, J.; Barnes, J.R. Frequency of planets orbiting M dwarfs in the Solar neighbourhood. Astrophys. J. Suppl. Ser. 2019, 1906, 04644. Available online: https://arxiv.org/pdf/1906.04644.pdf (accessed on 20 April 2022).
- Petigura, E.A.; Howard, A.W.; Marcy, G.W. Prevalence of Earth-size planets orbiting Sun-like stars. Proc. Natl. Acad. Sci. USA 2013, 110, 19273–19278. [Google Scholar] [CrossRef]
- Akeson, R.L.; Chen, X.; Ciardi, D.; Crane, M.; Good, J.; Harbut, M.; Zhang, A. The NASA exoplanet archive: Data and tools for exoplanet research. Publ. Astron. Soc. Pac. 2013, 125, 989–999. Available online: https://iopscience.iop.org/article/10.1086/672273/pdf (accessed on 24 June 2022). [CrossRef]
- Sturges, H.A. The choice of a class interval. J. Am. Stat. Assoc. 1926, 21, 65–66. Available online: https://www.jstor.org/stable/2965501?origin=JSTOR-pdf#metadata_info_tab_contents (accessed on 24 June 2022). [CrossRef]
- Ivanova, A.E.; Yakovlev, O.Y.; Ananyeva, V.I.; Shashkova, I.A.; Tavrov, A.V.; Bertaux, J.L. The ‘‘Detectability Window’’ Method to Take into Account Observational Selection in the Statistics of Exoplanets Discovered through Radial Velocity Measurements. Astron. Lett. 2021, 47, 43–49. [Google Scholar] [CrossRef]
- Rickman, E.L.; Ségransan, D.; Marmier, M.; Udry, S.; Bouchy, F.; Lovis, C.; Wyttenbach, A. The CORALIE survey for southern extrasolar planets. XVIII. Three new massive planets and two low-mass brown dwarfs at greater than 5 AU separation. Astron. Astrophys. 2019, 625, A71. [Google Scholar] [CrossRef]
- Feng, F.; Butler, R.P.; Shectman, S.A.; Crane, J.D.; Vogt, S.; Chambers, J.; Thompson, I.B. Search for Nearby Earth Analogs. II. Detection of Five New Planets, Eight Planet Candidates, and Confirmation of Three Planets around Nine Nearby M Dwarfs. Astrophys. J. Suppl. Ser. 2020, 246, 11. [Google Scholar] [CrossRef]
- Ma, B.; Ge, J.; Muterspaugh, M.; Singer, M.A.; Henry, G.W.; González Hernández, J.I.; Ealey, B. The first super-Earth detection from the high cadence and high radial velocity precision Dharma Planet Survey. Mon. Not. R. Astron. Soc. 2018, 480, 2411–2422. [Google Scholar] [CrossRef]
- Jorissen, A.; Mayor, M.; Udry, S. The distribution of exoplanet masses. Astron. Astrophys. 2001, 379, 3. [Google Scholar] [CrossRef]
- Ananyeva, V.I.; Tavrov, A.V.; Venkstern, A.A.; Churbanov, D.V.; Shashkova, I.A.; Korablev, O.I.; Bertaux, J.L. The Distribution of Giant Exoplanets over True and Minimum masses: Accounting for Observational Selection. Sol. Syst. Res. 2019, 53, 124–137. [Google Scholar] [CrossRef]
- Ivanova, A.E.; Ananyeva, V.I.; Venkstern, A.A.; Shashkova, I.A.; Yudaev, A.V.; Tavrov, A.V.; Bertaux, J.L. The mass distribution of transiting exoplanets corrected for observational selection effects. Astron. Lett. 2019, 45, 687–694. [Google Scholar] [CrossRef]
- Szabó, G.M.; Kiss, L.L. A short-period censor of sub-jupiter mass exoplanets with low density. Astrophys. J. Lett. 2011, 727, L44. [Google Scholar] [CrossRef]
- Mazeh, T.; Holczer, T.; Faigler, S. Dearth of short-period Neptunian exoplanets: A desert in period-mass and period-radius planes. Astron. Astrophys. 2016, 589, A75. [Google Scholar] [CrossRef]
- Boss, A. Giant Planet Formation by Gravitational Instability. Science 1997, 276, 5320. [Google Scholar] [CrossRef]
- Pollack, J.B.; Hubickyj, O.; Bodenheimer, P.; Lissauer, J.J.; Podolak, M.; Greenzweig, Y. Formation of the Giant Planets by Concurrent Accretion of Solids and Gas. Icarus 1996, 124, 1. [Google Scholar] [CrossRef]
- Moe, M.; Kratter, K.M. Impact of binary stars on planet statistics–I. Planet occurrence rates and trends with stellar mass. Mon. Not. R. Astron. Soc. 2021, 507, 3. [Google Scholar] [CrossRef]
- Fernandes, R.B.; Mulders, G.D.; Pascucci, I.; Mordasini, C.; Emsenhuber, A. Hints for a turnover at the snow line in the giant planet occurrence rate. Astrophys. J. 2019, 874, 81. [Google Scholar] [CrossRef]
- Mulders, G.D.; Pascucci, I.; Apai, D.; Ciesla, F.J. The Exoplanet Population Observation Simulator. I. Inn. Edges Planet. Syst. Astron. J. 2018, 156, 1. [Google Scholar] [CrossRef]
- Petigura, E.A.; Marcy, G.W.; Winn, J.N.; Weiss, L.M.; Fulton, B.J.; Howard, A.W.; Johnson, J. A The California-Kepler Survey. IV. Metal-rich Stars Host a Greater Diversity of Planets. Astron. J. 2018, 155, 2. [Google Scholar] [CrossRef]
- Bertaux, J.-L.; Ivanova, A. A numerical inversion of m sin i exoplanet distribution: The sub-Saturn desert is more depleted than observed and hint of a Uranus mass gap. Mon. Not. R. Astron. Soc. 2022, 512, 4. [Google Scholar] [CrossRef]
- Ho, S.; Turner, E.L. The Posterior distribution of sin (i) values for exoplanets with Mt sin (i) determined from radial velocity data. Astrophys. J. 2011, 739, 26. [Google Scholar] [CrossRef]













| Parameters, Approximation Coefficients | Low-Mass Planets | Intermediate Masses | Massive Planets |
|---|---|---|---|
| m, mass domain, MJ | 0.011–0.12 | 0.12–1.2 | 1.2–13 |
| δ, in Equation (5a) | 2 | 2 | 2 |
| γ, in Equation (5b) | 0.75 | 1.6 | 2 |
| Planets numbers | 122 | 185 | 355 |
| α, in approx. by N(m) de-biased by W * | −2 | −0.7…−0.8 | −1.7…−2 ** |
| α, in approx. by N(m) de-biased by V *** | −3 | −0.8…−1.0 | −2 |
Disclaimer/Publisher’s Note: The statements, opinions and data contained in all publications are solely those of the individual author(s) and contributor(s) and not of MDPI and/or the editor(s). MDPI and/or the editor(s) disclaim responsibility for any injury to people or property resulting from any ideas, methods, instructions or products referred to in the content. |
© 2023 by the authors. Licensee MDPI, Basel, Switzerland. This article is an open access article distributed under the terms and conditions of the Creative Commons Attribution (CC BY) license (https://creativecommons.org/licenses/by/4.0/).
Share and Cite
Ananyeva, V.; Ivanova, A.; Shashkova, I.; Yakovlev, O.; Tavrov, A.; Korablev, O.; Bertaux, J.-L. Exoplanets Catalogue Analysis: The Distribution of Exoplanets at FGK Stars by Mass and Orbital Period Accounting for the Observational Selection in the Radial Velocity Method. Atmosphere 2023, 14, 353. https://doi.org/10.3390/atmos14020353
Ananyeva V, Ivanova A, Shashkova I, Yakovlev O, Tavrov A, Korablev O, Bertaux J-L. Exoplanets Catalogue Analysis: The Distribution of Exoplanets at FGK Stars by Mass and Orbital Period Accounting for the Observational Selection in the Radial Velocity Method. Atmosphere. 2023; 14(2):353. https://doi.org/10.3390/atmos14020353
Chicago/Turabian StyleAnanyeva, Vladislava, Anastasiia Ivanova, Inna Shashkova, Oleg Yakovlev, Alexander Tavrov, Oleg Korablev, and Jean-Loup Bertaux. 2023. "Exoplanets Catalogue Analysis: The Distribution of Exoplanets at FGK Stars by Mass and Orbital Period Accounting for the Observational Selection in the Radial Velocity Method" Atmosphere 14, no. 2: 353. https://doi.org/10.3390/atmos14020353
APA StyleAnanyeva, V., Ivanova, A., Shashkova, I., Yakovlev, O., Tavrov, A., Korablev, O., & Bertaux, J.-L. (2023). Exoplanets Catalogue Analysis: The Distribution of Exoplanets at FGK Stars by Mass and Orbital Period Accounting for the Observational Selection in the Radial Velocity Method. Atmosphere, 14(2), 353. https://doi.org/10.3390/atmos14020353

