The UAE Cloud Seeding Program: A Statistical and Physical Evaluation
Abstract
1. Introduction
2. Materials and Methods
2.1. Rain Gauge Data
2.2. Target/Control Regression
2.3. Change Point Detection
2.4. Radar-Based Evaluation
- Instrumented range: 200 km
- Range gate: 100 m
- Min-max elevation angles: 0.5°–32.4°
- 3-dB-Beamwidth: 1°
- Volume scans interval: 6 min
3. Results
3.1. Time Series Analysis and Target/Control Regression
3.2. Change Point Detection
3.3. Inter-Comparison of Radar-Based Storm Properties
3.3.1. Case Study 1: 24 October 2018
3.3.2. Case Study 2: 14 August 2019
3.3.3. Storm Archive
4. Discussion
5. Conclusions
Author Contributions
Funding
Institutional Review Board Statement
Informed Consent Statement
Data Availability Statement
Acknowledgments
Conflicts of Interest
References
- Flossmann, A.I.; Manton, M.; Abshaev, A.; Bruintjes, R.; Murakami, M.; Prabhakaran, T.; Yao, Z. Review of advances in precipitation enhancement research. Bull. Am. Meteorol. Soc. 2019, 100, 1465–1480. [Google Scholar] [CrossRef]
- Rosenfeld, D.; Axisa, D.; Woodley, W.L.; Lahav, R. A quest for effective hygroscopic cloud seeding. J. Appl. Meteorol. Climatol. 2010, 49, 1548–1562. [Google Scholar] [CrossRef]
- Bruintjes, R.T. A review of cloud seeding experiments to enhance precipitation and some new prospects. Bull. Am. Meteorol. Soc. 1999, 80, 805–820. [Google Scholar] [CrossRef]
- Cooper, W.A.; Bruintjes, R.T.; Mather, G.K. Calculations pertaining to hygroscopic seeding with flares. J. Appl. Meteorol. 1997, 36, 1449–1469. [Google Scholar] [CrossRef]
- Bruintjes, R.T.; Salazar, V.; Semeniuk, T.A.; Buseck, P.; Breed, D.W.; Gunkelman, J. Evaluation of hygroscopic cloud seeding flares. J. Weather Modif. 2012, 44, 69–94. [Google Scholar]
- Cotton, W.R. Modification of precipitation from warm clouds—A review. Bull. Am. Meteorol. Soc. 1982, 63, 146–160. [Google Scholar] [CrossRef][Green Version]
- Pinsky, M.; Khain, A.; Shapiro, M. Collision efficiency of drops in a wide range of Reynolds numbers: Effects of pressure on spectrum evolution. J. Atmos. Sci. 2001, 58, 742–764. [Google Scholar] [CrossRef]
- Rosenfeld, D.; Gutman, G. Retrieving microphysical properties near the tops of potential rain clouds by multispectral analysis of AVHRR data. Atmos. Res. 1994, 34, 259–283. [Google Scholar] [CrossRef]
- Brenguier, J.-L.; Chaumat, L. Droplet spectra broadening in cumulus clouds. Part I: Broadening in adiabatic cores. J. Atmos. Sci. 2001, 58, 628–641. [Google Scholar] [CrossRef]
- Morrison, A.E.; Siems, S.T.; Manton, M.J.; Nazarov, A. On the analysis of a cloud seeding dataset over Tasmania. J. Appl. Meteorol. Climatol. 2009, 48, 1267–1280. [Google Scholar] [CrossRef]
- Wu, X.; Niu, S.; Jin, D.; Sun, H. Influence of natural rainfall variability on the evaluation of artificial precipitation enhancement. Sci. China Earth Sci. 2015, 58, 906–914. [Google Scholar] [CrossRef]
- Murty, B.V.R.; Biswas, K.R. Weather modification in India. J. Meteorol. Soc. Japan. Ser. II 1968, 46, 160–165. [Google Scholar] [CrossRef][Green Version]
- Gagin, A.; Neumann, J. The second Israeli randomized cloud seeding experiment: Evaluation of the results. J. Appl. Meteorol. Climatol. 1981, 20, 1301–1311. [Google Scholar] [CrossRef]
- Mather, G.; Terblanche, D.; Steffens, F.; Fletcher, L. Results of the South African cloud-seeding experiments using hygroscopic flares. J. Appl. Meteorol. 1997, 36, 1433–1447. [Google Scholar] [CrossRef]
- Bigg, E. An independent evaluation of a South African hygroscopic cloud seeding experiment, 1991–1995. Atmos. Res. 1997, 43, 111–127. [Google Scholar] [CrossRef]
- Silverman, B.A. An independent statistical reevaluation of the South African hygroscopic flare seeding experiment. J. Appl. Meteorol. 2000, 39, 1373–1378. [Google Scholar] [CrossRef]
- Silverman, B.A.; Sukarnjanaset, W. Results of the Thailand warm-cloud hygroscopic particle seeding experiment. J. Appl. Meteorol. 2000, 39, 1160–1175. [Google Scholar] [CrossRef]
- Friedrich, K.; Ikeda, K.; Tessendorf, S.A.; French, J.R.; Rauber, R.M.; Geerts, B.; Xue, L.; Rasmussen, R.M.; Blestrud, D.R.; Kunkel, M.L. Quantifying snowfall from orographic cloud seeding. Proc. Natl. Acad. Sci. USA 2020, 117, 5190–5195. [Google Scholar] [CrossRef] [PubMed]
- Jung, E.; Albrecht, B.A.; Jonsson, H.H.; Chen, Y.-C.; Seinfeld, J.H.; Sorooshian, A.; Metcalf, A.R.; Song, S.; Fang, M.; Russell, L.M. Precipitation effects of giant cloud condensation nuclei artificially introduced into stratocumulus clouds. Atmos. Chem. Phys. 2015, 15, 5645–5658. [Google Scholar] [CrossRef]
- Ryan, B.F.; King, W.D. A critical review of the Australian experience in cloud seeding. Bull. Am. Meteorol. Soc. 1997, 78, 239–254. [Google Scholar] [CrossRef][Green Version]
- Rangno, A.L.; Robbs, P.V. A new look at the Israeli cloud seeding experiments. J. Appl. Meteorol. Climatol. 1995, 34, 1169–1193. [Google Scholar] [CrossRef]
- Goldreich, Y.; Kaner, M. Advertent/Inadvertent effect on ‘rainfall center’displacement in Northern Israel. Atmos. Environ. Part. B Urban. Atmos. 1991, 25, 301–309. [Google Scholar] [CrossRef]
- Schickedanz, P.T.; Huff, F.A. The design and evaluation of rainfall modification experiments. J. Appl. Meteorol. Climatol. 1971, 10, 502–514. [Google Scholar] [CrossRef][Green Version]
- Tessendorf, S.A.; Bruintjes, R.T.; Weeks, C.; Wilson, J.W.; Knight, C.A.; Roberts, R.D.; Peter, J.R.; Collis, S.; Buseck, P.R.; Freney, E. The Queensland cloud seeding research program. Bull. Am. Meteorol. Soc. 2012, 93, 75–90. [Google Scholar] [CrossRef]
- Gabriel, K.R. Parallels between statistical issues in medical and meteorological experimentation. J. Appl. Meteorol. 2000, 39, 1822–1836. [Google Scholar] [CrossRef]
- Griffith, D.; Yorty, D.; Beall, S. Target/control analyses for Santa Barbara county’s operational winter cloud seeding program. J. Weather Modif. 2015, 47, 10. [Google Scholar]
- Dennis, A.S. Weather Modification by Cloud Seeding; Academic Press: Cambridge, MA, USA, 1980; Volume 24. [Google Scholar]
- Griffith, C.G.; Woodley, W.L.; Grube, P.G.; Martin, D.W.; Stout, J.; Sikdar, D.N. Rain estimation from geosynchronous satellite imagery—Visible and infrared studies. Mon. Weather Rev. 1978, 106, 1153–1171. [Google Scholar] [CrossRef]
- Griffith, C.G.; Woodley, W.; Augustine, J.A. The Estimation of Convective, Summertime Rainfall in the United States High Planes from Thermal Infrared, Geostationary Satellite Imagery; National Oceanic & Atmospheric Administration: Washington, DC, USA, 1980.
- Gabriel, K.R.; Petrondas, D. On using historical comparisons in evaluating cloud seeding operations. J. Appl. Meteorol. Climatol. 1983, 22, 626–631. [Google Scholar] [CrossRef]
- Woodley, W.L.; Solak, M.E. Results of operational seeding over the watershed of San Angelo, Texas. J. Weather Modif. 1990, 22, 30–42. [Google Scholar]
- Fluek, J. Evaluation of operational weather modification projects. J. Weather Modif. 1976, 8, 42–56. [Google Scholar]
- Solak, M.E.; Yorty, D.P.; Griffith, D.A. Estimations of downwind cloud seeding effects in Utah. J. Weather Modif. 2003, 35, 52–58. [Google Scholar]
- Nirel, R.; Rosenfeld, D. Estimation of the effect of operational seeding on rain amounts in Israel. J. Appl. Meteorol. Climatol. 1995, 34, 2220–2229. [Google Scholar] [CrossRef]
- Meischner, P. Weather Radar: Principles and Advanced Applications; Springer Science & Business Media: Berlin, Germany, 2005. [Google Scholar]
- Goudenhoofdt, E.; Delobbe, L. Statistical characteristics of convective storms in Belgium derived from volumetric weather radar observations. J. Appl. Meteorol. Climatol. 2013, 52, 918–934. [Google Scholar] [CrossRef]
- Reinking, R.F.; Martner, B.E. Feeder-cell ingestion of seeding aerosol from cloud base determined by tracking radar chaff. J. Appl. Meteorol. Climatol. 1996, 35, 1402–1415. [Google Scholar] [CrossRef]
- Terblanche, D.E.; Mittermaier, M.P.; Burger, R.P.; De Waal, K.J.; Ncipha, X.G. The South African rainfall enhancement programme: 1997–2001. Water SA 2005, 31, 291–298. [Google Scholar] [CrossRef]
- Jing, X.; Geerts, B.; Boe, B. The extra-area effect of orographic cloud seeding: Observational evidence of precipitation enhancement downwind of the target mountain. J. Appl. Meteorol. Climatol. 2016, 55, 1409–1424. [Google Scholar] [CrossRef]
- Wang, F.; Li, Z.; Jiang, Q.; Wang, G.; Jia, S.; Duan, J.; Zhou, Y. Evaluation of hygroscopic cloud seeding in liquid-water clouds: A feasibility study. Atmos. Chem. Phys. 2019, 19, 14967–14977. [Google Scholar] [CrossRef]
- Semeniuk, T.; Bruintjes, R.; Salazar, V.; Breed, D.; Jensen, T.; Buseck, P. Individual aerosol particles in ambient and updraft conditions below convective cloud bases in the Oman mountain region. J. Geophys. Res. Atmos. 2014, 119, 2511–2528. [Google Scholar] [CrossRef]
- Wehbe, Y.; Tessendorf, S.A.; Weeks, C.; Bruintjes, R.; Xue, L.; Rasmussen, R.M.; Lawson, P.; Woods, S.; Temimi, M. Analysis of aerosol-cloud interactions and their implications for precipitation formation using aircraft observations over the United Arab Emirates. Atmos. Chem. Phys. Discuss. 2021, 1–28. [Google Scholar] [CrossRef]
- Chen, S.; Xue, L.; Yau, M.-K. Impact of hygroscopic CCN and turbulence on cloud droplet growth: A parcel-DNS approach. Atmos. Chem. Phys. Discuss. 2019, 2019, 1–17. [Google Scholar]
- Wehbe, Y.; Ghebreyesus, D.; Temimi, M.; Milewski, A.; Al Mandous, A. Assessment of the consistency among global precipitation products over the United Arab Emirates. J. Hydrol. Reg. Stud. 2017, 12, 122–135. [Google Scholar] [CrossRef]
- Mazroui, A.A.; Farrah, S. The UAE seeks leading position in global rain enhancement research. J. Weather Modif. 2017, 49, 1. [Google Scholar]
- Wehbe, Y.; Temimi, M. A remote sensing-based assessment of water resources in the Arabian Peninsula. Remote Sens. 2021, 13, 247. [Google Scholar] [CrossRef]
- Wehbe, Y.; Temimi, M.; Ghebreyesus, D.T.; Milewski, A.; Norouzi, H.; Ibrahim, E. Consistency of precipitation products over the Arabian Peninsula and interactions with soil moisture and water storage. Hydrol. Sci. J. 2018, 63, 408–425. [Google Scholar] [CrossRef]
- Reid, J.; Westphal, D.; Reid, E.; Walker, A.; Liu, M.; Miller, S.; Kuciauskas, A. The United Arab Emirates Unified Aerosol Experiment (UAE2); Naval Research Lab Monterey CA Marine, Meteorology Division: Monterey, CA, USA, 2006. [Google Scholar]
- Wu, X.; Yan, N.; Yu, H.; Niu, S.; Meng, F.; Liu, W.; Sun, H. Advances in the evaluation of cloud seeding: Statistical evidence for the enhancement of precipitation. Earth Space Sci. 2018, 5, 425–439. [Google Scholar] [CrossRef]
- Wehbe, Y.; Temimi, M.; Adler, R.F. Enhancing precipitation estimates through the fusion of weather radar, satellite retrievals, and surface parameters. Remote Sens. 2020, 12, 1342. [Google Scholar] [CrossRef]
- Griffith, D.A.; Solak, M.E.; Almy, R.B.; Gibbs, D. The santa barbara cloud seeding project in coastal southern California, summary of results and their implications. J. Weather Modif. 2005, 37, 21–27. [Google Scholar]
- Page, E.S. Continuous inspection schemes. Biometrika 1954, 41, 100–115. [Google Scholar] [CrossRef]
- Pranuthi, G.; Dubey, S.; Tripathi, S.; Chandniha, S. Trend and change point detection of precipitation in urbanizing Districts of Uttarakhand in India. Indian J. Sci. Technol. 2014, 7, 1573–1582. [Google Scholar] [CrossRef]
- Gallagher, C.; Lund, R.; Robbins, M. Changepoint detection in daily precipitation data. Environmetrics 2012, 23, 407–419. [Google Scholar] [CrossRef]
- Fischer, T.; Gemmer, M.; Liu, L.; Su, B. Change-points in climate extremes in the Zhujiang River Basin, South China, 1961–2007. Clim. Chang. 2012, 110, 783–799. [Google Scholar] [CrossRef]
- Yousef, L.A.; Temimi, M.; Wehbe, Y.; Al Mandous, A. Total cloud cover climatology over the United Arab Emirates. Atmos. Sci. Lett. 2019, 20, e883. [Google Scholar] [CrossRef]
- Hamed, K.H.; Rao, A.R. A modified Mann-Kendall trend test for autocorrelated data. J. Hydrol. 1998, 204, 182–196. [Google Scholar] [CrossRef]
- Nicoll, K.; Airey, M.; Harrison, R.G.; Marlton, G. Rainfall in the desert: Anatomy of rainfall events in the United Arab Emirates. In Proceedings of the 23rd EGU General Assembly, Held Online, 19–30 April 2021. [Google Scholar]
- Dixon, M.; Wiener, G. TITAN: Thunderstorm identification, tracking, analysis, and nowcasting—A radar-based methodology. J. Atmos. Ocean. Technol. 1993, 10, 785–797. [Google Scholar] [CrossRef]
- Han, L.; Fu, S.; Zhao, L.; Zheng, Y.; Wang, H.; Lin, Y. 3D convective storm identification, tracking, and forecasting—An enhanced TITAN algorithm. J. Atmos. Ocean. Technol. 2009, 26, 719–732. [Google Scholar] [CrossRef]
- Branch, O.; Behrendt, A.; Gong, Z.; Schwitalla, T.; Wulfmeyer, V. Convection initiation over the Eastern Arabian Peninsula. Meteorol. Z. 2020, 29, 67–77. [Google Scholar] [CrossRef]
- Kumar, K.N.; Suzuki, K. Assessment of seasonal cloud properties in the United Arab Emirates and adjoining regions from geostationary satellite data. Remote Sens. Environ. 2019, 228, 90–104. [Google Scholar] [CrossRef]
- Breed, D.; Bruintjes, R.; Salazar, V.; Jensen, T. NCAR Feasibility Studies for Weather Modification Programs Over the Past 10 Years; Technical Report; Research Applications Laboratory: Boulder, CO, USA, 2007. [Google Scholar]
- Wehbe, Y.; Temimi, M.; Weston, M.; Chaouch, N.; Branch, O.; Schwitalla, T.; Wulfmeyer, V.; Zhan, X.; Liu, J.; Al Mandous, A. Analysis of an extreme weather event in a hyper-arid region using WRF-Hydro coupling, station, and satellite data. Nat. Hazards Earth Syst. Sci. 2019, 19, 1129–1149. [Google Scholar] [CrossRef]
- Ouarda, T.B.; Charron, C.; Kumar, K.N.; Marpu, P.R.; Ghedira, H.; Molini, A.; Khayal, I. Evolution of the rainfall regime in the United Arab Emirates. J. Hydrol. 2014, 514, 258–270. [Google Scholar] [CrossRef]
- Athar, H. Teleconnections and variability in observed rainfall over Saudi Arabia during 1978–2010. Atmos. Sci. Lett. 2015, 16, 373–379. [Google Scholar] [CrossRef]
- Niranjan Kumar, K.; Ouarda, T. Precipitation variability over UAE and global SST teleconnections. J. Geophys. Res. Atmos. 2014, 119, 10313–10322. [Google Scholar] [CrossRef]
- Gagin, A.; Rosenfeld, D.; Lopez, R. The relationship between height and precipitation characteristics of summertime convective cells in South Florida. J. Atmos. Sci. 1985, 42, 84–94. [Google Scholar] [CrossRef][Green Version]
- Filioglou, M.; Giannakaki, E.; Backman, J.; Kesti, J.; Hirsikko, A.; Engelmann, R.; O’Connor, E.; Leskinen, J.T.; Shang, X.; Korhonen, H. Optical and geometrical aerosol particle properties over the United Arab Emirates. Atmos. Chem. Phys. 2020, 20, 8909–8922. [Google Scholar] [CrossRef]
- Orikasa, N.; Murakami, M.; Tajiri, T.; Zaizen, Y.; Shinoda, T. In Situ Measurements of Cloud and Aerosol Microphysical Properties in Summertime Convective Clouds over Eastern United Arab Emirates. SOLA 2020, 16, 185–191. [Google Scholar] [CrossRef]
- Geresdi, I.; Chen, S.; Wehbe, Y.; Bruintjes, R.; Lee, J.; Tessendorf, S.; Weeks, C.; Sarkadi, N.; Rasmussen, R.M.; Grabowski, W.; et al. Sensitivity of the efficiency of hygroscopic seeding on the size distribution and chemical composition of the seeding material. In Proceedings of the 101st American Meteorological Society Annual Meeting, Held Online, 10–15 January 2021. [Google Scholar]








| Area | Gauge Name | Lat (°N) × Lon (°E) | Elevation (m) |
|---|---|---|---|
| Control Area | Dubai Airport | 25.25 × 55.37 | 19 |
| Sharjah Airport | 25.35 × 55.4 | 34 | |
| Ras Al Khaimah | 23.58 × 54.75 | 1 | |
| Umm Al Quwain | 25.6 × 55.58 | 20 | |
| Target Area 1 | Masafi | 25.3 × 56.17 | 516 |
| Al Malaiha | 25.13 × 55.88 | 150 | |
| Falaj Al Moalla | 25.51 × 56.32 | 105 | |
| Target Area 2 | Al Shiweb | 24.78 × 55.80 | 306 |
| Al Faqa | 24.72 × 55.62 | 215 | |
| Swiehan | 24.47 × 55.33 | 179 |
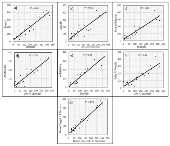
| Control | Target | CC | R2 | Regression (1980–2002) | MRC * (2010–2019) |
|---|---|---|---|---|---|
| Sharjah | Masafi | 0.94 | 0.88 | (5) y = 1.22x + 17.07 | 30.8% |
| Umm Al Quwain | Al Malaiha | 0.90 | 0.84 | (6) y = 0.98x + 17.17 | 5.6% |
| Umm Al Quwain | Falaj Al Moalla | 0.90 | 0.82 | (7) y = 1.01x + 18.64 | 15.4% |
| Sharjah | Falaj Al Moalla | 0.95 | 0.84 | (8) y = 1.05x + 16.87 | 13.6% |
| Ras Al Khaimah | Masafi | 0.90 | 0.81 | (9) y = 1.00x + 28.45 | 30.0% |
| Sharjah | Al Malaiha | 0.95 | 0.91 | (10) y = 1.05x + 09.95 | 7.9% |
| Mean Control | Mean Target 1 | 0.97 | 0.95 | (11) y = 1.13x + 10.5 | 22.8% |
Publisher’s Note: MDPI stays neutral with regard to jurisdictional claims in published maps and institutional affiliations. |
© 2021 by the authors. Licensee MDPI, Basel, Switzerland. This article is an open access article distributed under the terms and conditions of the Creative Commons Attribution (CC BY) license (https://creativecommons.org/licenses/by/4.0/).
Share and Cite
Al Hosari, T.; Al Mandous, A.; Wehbe, Y.; Shalaby, A.; Al Shamsi, N.; Al Naqbi, H.; Al Yazeedi, O.; Al Mazroui, A.; Farrah, S. The UAE Cloud Seeding Program: A Statistical and Physical Evaluation. Atmosphere 2021, 12, 1013. https://doi.org/10.3390/atmos12081013
Al Hosari T, Al Mandous A, Wehbe Y, Shalaby A, Al Shamsi N, Al Naqbi H, Al Yazeedi O, Al Mazroui A, Farrah S. The UAE Cloud Seeding Program: A Statistical and Physical Evaluation. Atmosphere. 2021; 12(8):1013. https://doi.org/10.3390/atmos12081013
Chicago/Turabian StyleAl Hosari, Taha, Abdulla Al Mandous, Youssef Wehbe, Abdeltawab Shalaby, Noor Al Shamsi, Hajer Al Naqbi, Omar Al Yazeedi, Alya Al Mazroui, and Sufian Farrah. 2021. "The UAE Cloud Seeding Program: A Statistical and Physical Evaluation" Atmosphere 12, no. 8: 1013. https://doi.org/10.3390/atmos12081013
APA StyleAl Hosari, T., Al Mandous, A., Wehbe, Y., Shalaby, A., Al Shamsi, N., Al Naqbi, H., Al Yazeedi, O., Al Mazroui, A., & Farrah, S. (2021). The UAE Cloud Seeding Program: A Statistical and Physical Evaluation. Atmosphere, 12(8), 1013. https://doi.org/10.3390/atmos12081013

