Leonurine Exerts Anti-Inflammatory Effects in Lipopolysaccharide (LPS)-Induced Endometritis by Modulating Mouse JAK-STAT/PI3K-Akt/PPAR Signaling Pathways
Abstract
1. Introduction
2. Materials and Methods
2.1. Laboratory Animals
2.2. Grouping and Establishment of a Mouse Model of Endometritis
2.3. Cytokine Analyses
2.4. Library Preparation for Transcriptome Sequencing
2.5. Gene Ontology (GO) and Kyoto Encyclopedia of Genes and Genomes (KEGG) Enrichment Analysis of DEGs
2.6. Real-Time Quantitative PCR (RT–qPCR) Analysis
2.7. Statistical Analysis
3. Results
3.1. Effects of Leonurine on the Levels of Pro-Inflammatory Cytokines
3.2. Differential Gene Analysis
3.3. GO Enrichment Analysis of the DEGs
3.4. KEGG Enrichment Analysis of the DEGs
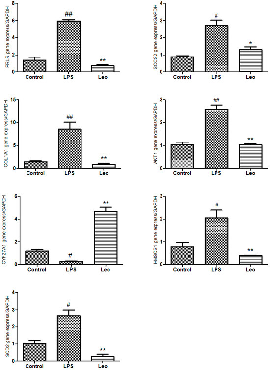
3.5. RT-qPCR Verified the Expression of Significantly Different Genes
4. Discussion
5. Conclusions
Supplementary Materials
Author Contributions
Funding
Institutional Review Board Statement
Informed Consent Statement
Data Availability Statement
Acknowledgments
Conflicts of Interest
References
- Denis-Robichaud, J.; Dubuc, J. Determination of Optimal Diagnostic Criteria for Purulent Vaginal Discharge and Cytological Endometritis in Dairy Cows. J. Dairy Sci. 2015, 98, 6848–6855. [Google Scholar] [CrossRef] [PubMed]
- Siemieniuch, M.J.; Kozdrowski, R.; Szóstek-Mioduchowska, A.Z.; Raś, A.; Nowak, M. Evidence for Increased Content of PGF2α, PGE2, and 6-Keto-PGF1α in Endometrial Tissue Cultures from Heavy Draft Mares in Anestrus with Endometritis. J. Equine Vet. Sci. 2019, 77, 107–113. [Google Scholar] [CrossRef] [PubMed]
- Nasreldin, N.; Ali, F.A.Z.; Abd-Elhafeez, H.H.; Hassan, M.; El-Zeftawy, M.; Senosy, W. Characterization of Immunological, Biochemical and Inflammatory Response of Clinical and Subclinical Endometritis in Ewes in the Subtropics. Anim. Reprod. Sci. 2020, 219, 106541. [Google Scholar] [CrossRef] [PubMed]
- Hussen, J.; Shawaf, T.; Al-Mubarak, A.I.A.; Humam, N.A.A.; Almathen, F.; Schuberth, H.-J. Leukocyte Populations in Peripheral Blood of Dromedary Camels with Clinical Endometritis. Anim. Reprod. Sci. 2020, 222, 106602. [Google Scholar] [CrossRef] [PubMed]
- England, G.C.W.; Rijsselaere, T.; Campbell, A.; Moxon, R.; Freeman, S.L. Normal and Abnormal Response to Sperm Deposition in Female Dogs: A Review and New Hypotheses for Endometritis. Theriogenology 2021, 159, 176–183. [Google Scholar] [CrossRef] [PubMed]
- Bulc, M.; Całka, J.; Meller, K.; Jana, B. Endometritis Affects Chemical Coding of the Dorsal Root Ganglia Neurons Supplying Uterus in the Sexually Mature Gilts. Res. Vet. Sci. 2019, 124, 417–425. [Google Scholar] [CrossRef] [PubMed]
- Wu, H.; Zhao, G.; Jiang, K.; Chen, X.; Zhu, Z.; Qiu, C.; Li, C.; Deng, G. Plantamajoside Ameliorates Lipopolysaccharide-Induced Acute Lung Injury via Suppressing NF-κB and MAPK Activation. Int. Immunopharmacol. 2016, 35, 315–322. [Google Scholar] [CrossRef]
- Wu, H.; Zhao, G.; Jiang, K.; Chen, X.; Zhu, Z.; Qiu, C.; Deng, G. Puerarin Exerts an Antiinflammatory Effect by Inhibiting NF-kB and MAPK Activation in Staphylococcus Aureus-Induced Mastitis: Puerarin Exerts Antiinflammatory Effect in S. Aureus-Induced Mastitis. Phytother. Res. 2016, 30, 1658–1664. [Google Scholar] [CrossRef]
- Liang, Y.; Shen, T.; Ming, Q.; Han, G.; Zhang, Y.; Liang, J.; Zhu, D. Alpinetin Ameliorates Inflammatory Response in LPS-Induced Endometritis in Mice. Int. Immunopharmacol. 2018, 62, 309–312. [Google Scholar] [CrossRef]
- Sayed, M.A.; Alam, M.A.; Islam, M.S.; Ali, M.T.; Ullah, M.E.; Shibly, A.Z.; Ali, M.A.; Hasan-Olive, M.M. Leonurus sibiricus L. (Honeyweed): A Review of Its Phytochemistry and Pharmacology. Asian Pac. J. Trop. Biomed. 2016, 6, 1076–1080. [Google Scholar] [CrossRef]
- Miao, L.-L.; Zhou, Q.-M.; Peng, C.; Liu, Z.-H.; Xiong, L. Leonurus Japonicus (Chinese Motherwort), an Excellent Traditional Medicine for Obstetrical and Gynecological Diseases: A Comprehensive Overview. Biomed. Pharmacother. 2019, 117, 109060. [Google Scholar] [CrossRef] [PubMed]
- Sun, K.; Luo, J.; Guo, J.; Yao, X.; Jing, X.; Guo, F. The PI3K/AKT/mTOR Signaling Pathway in Osteoarthritis: A Narrative Review. Osteoarthr. Cartil. 2020, 28, 400–409. [Google Scholar] [CrossRef] [PubMed]
- Xu, D.; Chen, M.; Ren, X.; Ren, X.; Wu, Y. Leonurine Ameliorates LPS-Induced Acute Kidney Injury via Suppressing ROS-Mediated NF-κB Signaling Pathway. Fitoterapia 2014, 97, 148–155. [Google Scholar] [CrossRef] [PubMed]
- Li, N.; Xu, Q.; Liu, Q.; Pan, D.; Jiang, Y.; Liu, M.; Liu, M.; Xu, H.; Lin, C. Leonurine Attenuates Fibroblast-like Synoviocyte-Mediated Synovial Inflammation and Joint Destruction in Rheumatoid Arthritis. Rheumatology 2017, 56, 1417–1427. [Google Scholar] [CrossRef] [PubMed]
- Song, X.; Wang, T.; Zhang, Z.; Jiang, H.; Wang, W.; Cao, Y.; Zhang, N. Leonurine Exerts Anti-Inflammatory Effect by Regulating Inflammatory Signaling Pathways and Cytokines in LPS-Induced Mouse Mastitis. Inflammation 2015, 38, 79–88. [Google Scholar] [CrossRef] [PubMed]
- Wang, X.; Liao, X.; Yu, T.; Gong, Y.; Zhang, L.; Huang, J.; Yang, C.; Han, C.; Yu, L.; Zhu, G.; et al. Analysis of Clinical Significance and Prospective Molecular Mechanism of Main Elements of the JAK/STAT Pathway in Hepatocellular Carcinoma. Int. J. Oncol. 2019, 55, 805–822. [Google Scholar] [CrossRef] [PubMed]
- Bole-Feysot, C.; Goffin, V.; Edery, M.; Binart, N.; Kelly, P.A. Prolactin (PRL) and Its Receptor: Actions, Signal Transduction Pathways and Phenotypes Observed in PRL Receptor Knockout Mice. Endocr. Rev. 1998, 19, 225–268. [Google Scholar] [CrossRef] [PubMed]
- Brant, F.; Miranda, A.S.; Esper, L.; Gualdrón-López, M.; Cisalpino, D.; De Souza, D.D.G.; Rachid, M.A.; Tanowitz, H.B.; Teixeira, M.M.; Teixeira, A.L.; et al. Suppressor of Cytokine Signaling 2 Modulates the Immune Response Profile and Development of Experimental Cerebral Malaria. Brain. Behav. Immun. 2016, 54, 73–85. [Google Scholar] [CrossRef] [PubMed]
- Esper, L.; Roman-Campos, D.; Lara, A.; Brant, F.; Castro, L.L.; Barroso, A.; Araujo, R.R.S.; Vieira, L.Q.; Mukherjee, S.; Gomes, E.R.M.; et al. Role of Socs2 in Modulating Heart Damage and Function in a Murine Model of Acute Chagas Disease. Am. J. Pathol. 2012, 181, 130–140. [Google Scholar] [CrossRef]
- Machado, F.S.; Aliberti, J. Impact of Lipoxin-Mediated Regulation on Immune Response to Infectious Disease. Immunol. Res. 2006, 35, 209–218. [Google Scholar] [CrossRef]
- Machado, F.S.; Johndrow, J.E.; Esper, L.; Dias, A.; Bafica, A.; Serhan, C.N.; Aliberti, J. Anti-Inflammatory Actions of Lipoxin A4 and Aspirin-Triggered Lipoxin Are SOCS-2 Dependent. Nat. Med. 2006, 12, 330–334. [Google Scholar] [CrossRef]
- Cramer, A.; De Lima Oliveira, B.C.; Leite, P.G.; Rodrigues, D.H.; Brant, F.; Esper, L.; Pimentel, P.M.O.; Rezende, R.M.; Rachid, M.A.; Teixeira, A.L.; et al. Role of Socs2 in the Regulation of Immune Response and Development of the Experimental Autoimmune Encephalomyelitis. Mediat. Inflamm. 2019, 2019, 1–11. [Google Scholar] [CrossRef]
- West, A.P.; Brodsky, I.E.; Rahner, C.; Woo, D.K.; Erdjument-Bromage, H.; Tempst, P.; Walsh, M.C.; Choi, Y.; Shadel, G.S.; Ghosh, S. TLR Signalling Augments Macrophage Bactericidal Activity through Mitochondrial ROS. Nature 2011, 472, 476–480. [Google Scholar] [CrossRef] [PubMed]
- Sun, Y.; Liu, B.; Xie, J.; Jiang, X.; Xiao, B.; Hu, X.; Xiang, J. Aspirin Attenuates Liver Fibrosis by Suppressing TGF-β1/Smad Signaling. Mol. Med. Rep. 2022, 25, 181. [Google Scholar] [CrossRef]
- Jiang, K.; Yang, J.; Song, C.; He, F.; Yang, L.; Li, X. Enforced Expression of miR-92b Blunts E. Coli Lipopolysaccharide-Mediated Inflammatory Injury by Activating the PI3K/AKT/β-Catenin Pathway via Targeting PTEN. Int. J. Biol. Sci. 2021, 17, 1289–1301. [Google Scholar] [CrossRef] [PubMed]
- Jiang, K.; Cai, J.; Jiang, Q.; Loor, J.J.; Deng, G.; Li, X.; Yang, J. Interferon-Tau Protects Bovine Endometrial Epithelial Cells against Inflammatory Injury by Regulating the PI3K/AKT/β-Catenin/FoxO1 Signaling Axis. J. Dairy Sci. 2024, 107, 555–572. [Google Scholar] [CrossRef]
- Wagner, K.-D.; Wagner, N. Peroxisome Proliferator-Activated Receptor β/Delta (PPARβ/δ) Acts as Regulator of Metabolism Linked to Multiple Cellular Functions. Pharmacol. Ther. 2010, 125, 423–435. [Google Scholar] [CrossRef] [PubMed]
- Yang, J.; Xiang, D.; Xiang, D.; He, W.; Liu, Y.; Lan, L.; Li, G.; Jiang, C.; Ren, X.; Liu, D.; et al. Baicalin Protects Against 17α-Ethinylestradiol-Induced Cholestasis via the Sirtuin 1/Hepatic Nuclear Receptor-1α/Farnesoid X Receptor Pathway. Front. Pharmacol. 2020, 10, 1685. [Google Scholar] [CrossRef] [PubMed]
- Van Der Meer, D.L.M.; Degenhardt, T.; Väisänen, S.; De Groot, P.J.; Heinäniemi, M.; De Vries, S.C.; Müller, M.; Carlberg, C.; Kersten, S. Profiling of Promoter Occupancy by PPARα in Human Hepatoma Cells via ChIP-Chip Analysis. Nucleic Acids Res. 2010, 38, 2839–2850. [Google Scholar] [CrossRef]
- O’Neill, L.M.; Guo, C.-A.; Ding, F.; Phang, Y.X.; Liu, Z.; Shamsuzzaman, S.; Ntambi, J.M. Stearoyl-CoA Desaturase-2 in Murine Development, Metabolism, and Disease. Int. J. Mol. Sci. 2020, 21, 8619. [Google Scholar] [CrossRef]
- Bueno-Silva, B.; Bueno, M.R.; Kawamoto, D.; Casarin, R.C.; Pingueiro, J.M.S.; Alencar, S.M.; Rosalen, P.L.; Mayer, M.P.A. Anti-Inflammatory Effects of (3S)-Vestitol on Peritoneal Macrophages. Pharmaceuticals 2022, 15, 553. [Google Scholar] [CrossRef] [PubMed]








| Genes | Forward Primer | Reverse Primer |
|---|---|---|
| GAPDH | GAAGGTGGTGAAGCAGGCATCT | CGGCATCGAAGGTGGAAGAGTG |
| Prlr | ACTCACTCCTCTCCTGCGTTCT | TGCGATGCTCACCTCCACAGA |
| Socs2 | CCACCTCGCCACATTCCATCTT | GCCGTCAATCATCTCAGCAAGC |
| Col1a1 | GCTCGTGGATTGCCTGGAACA | CAGCACCAACAGCACCATCGT |
| Akt1 | TGGACTTCCGATCAGGCTCACC | TGGCGACGATGACCTCCTTCTT |
| Cyp27a1 | AAGGACCACCGAGACCACAAGG | GTGATGGCTTCCAAGGCAAGGT |
| Hmgcs1 | TGGTTCCCTGGCTTCTGTCCTG | TCCTGGTGTGGCGTCTTGTGT |
| Scd2 | TCCTGCTGATGTGCTTCGTCCT | AGGCGTGGTGGTAGTTGTGGAA |
Disclaimer/Publisher’s Note: The statements, opinions and data contained in all publications are solely those of the individual author(s) and contributor(s) and not of MDPI and/or the editor(s). MDPI and/or the editor(s) disclaim responsibility for any injury to people or property resulting from any ideas, methods, instructions or products referred to in the content. |
© 2024 by the authors. Licensee MDPI, Basel, Switzerland. This article is an open access article distributed under the terms and conditions of the Creative Commons Attribution (CC BY) license (https://creativecommons.org/licenses/by/4.0/).
Share and Cite
Shao, Y.; Luo, Y.; Sun, Y.; Jiang, J.; Li, Z.; Wang, Z.; Wang, M.; Gu, X. Leonurine Exerts Anti-Inflammatory Effects in Lipopolysaccharide (LPS)-Induced Endometritis by Modulating Mouse JAK-STAT/PI3K-Akt/PPAR Signaling Pathways. Genes 2024, 15, 857. https://doi.org/10.3390/genes15070857
Shao Y, Luo Y, Sun Y, Jiang J, Li Z, Wang Z, Wang M, Gu X. Leonurine Exerts Anti-Inflammatory Effects in Lipopolysaccharide (LPS)-Induced Endometritis by Modulating Mouse JAK-STAT/PI3K-Akt/PPAR Signaling Pathways. Genes. 2024; 15(7):857. https://doi.org/10.3390/genes15070857
Chicago/Turabian StyleShao, Yongbin, Yan Luo, Yaoqiang Sun, Jingbo Jiang, Zhiyuan Li, Zhen Wang, Mengmeng Wang, and Xinli Gu. 2024. "Leonurine Exerts Anti-Inflammatory Effects in Lipopolysaccharide (LPS)-Induced Endometritis by Modulating Mouse JAK-STAT/PI3K-Akt/PPAR Signaling Pathways" Genes 15, no. 7: 857. https://doi.org/10.3390/genes15070857
APA StyleShao, Y., Luo, Y., Sun, Y., Jiang, J., Li, Z., Wang, Z., Wang, M., & Gu, X. (2024). Leonurine Exerts Anti-Inflammatory Effects in Lipopolysaccharide (LPS)-Induced Endometritis by Modulating Mouse JAK-STAT/PI3K-Akt/PPAR Signaling Pathways. Genes, 15(7), 857. https://doi.org/10.3390/genes15070857

