Abstract
Trifolium repens is the most widely cultivated perennial legume forage in temperate region around the world. It has rich nutritional value and good palatability, seasonal complementarity with grasses, and can improve the feed intake and digestibility of livestock. However, flowering time and inflorescence development directly affects the quality and yield of T. repens, as well as seed production. The Squa promoter binding protein-like (SPL) gene family is a plant specific transcription factor family, which has been proved to play a critical role in regulating plant formation time and development of flowers. In this study, a total of 37 TrSPL genes were identified from the whole genome of T. repens and were divided into nine clades based on phylogenetic tree. Seventeen TrSPL genes have potential target sites for miR156. The conserved motif of squamosa promoter binding protein (SBP) contains two zinc finger structures and one NLS structure. Gene structure analysis showed that all TrSPL genes contained SBP domain, while ankyrin repeat region was just distributed in part of genes. 37 TrSPL genes were relatively dispersedly distributed on 16 chromosomes, and 5 pairs of segmental repeat genes were found, which indicated that segmental duplication was the main way of gene expansion. Furthermore, the gene expression profiling showed that TrSPL11, TrSPL13, TrSPL22, and TrSPL26 were highly expressed only in the early stage of inflorescence development, while TrSPL1 and TrSPL6 are highly expressed only in the mature inflorescence. Significantly, the expression of TrSPL4 and TrSPL12 increased gradually with the development of inflorescences. The results of this study will provide valuable clues for candidate gene selection and elucidating the molecular mechanism of T. repens flowering regulation.
1. Introduction
T. repens is the most important perennial legume forage in temperate regions originate from Europe [1]. As an allotetraploid plant, its two diploid ancestral species are Trifolium occidentale and Trifolium pallescens [2,3]. T. repens is mainly cultivated in perennial pasture together with other forage, and utilization through directly grazed or mechanically harvested into hay and silage [4]. It was a kind of high quality forage with rich protein and mineral content, good palatability, and high nitrogen fixation ability, which was beneficial to improve grassland quality, complement seasonal growth patterns of commonly forages, and promote the intake and digestibility of livestock [5,6]. However, flowering always reduces the number of axillary buds growing into branch stolons and leaf production [7], which leads to sharply dropped of the nutritional value and digestibility [8]. Therefore, delaying the flowering time and prolonging the vegetative growth period of T. repens will greatly improve the forage quality and yield [9]. Moreover, T. repens flowering at the suitable time and well-developed inflorescence are not only an important guarantee for seed production, but also increase the opportunity of resowing in the pasture under adverse conditions and enhancing the persistence [10,11]. Indeed, it is important to study the flowering time regulation and inflorescence development for future T. repens genetic improvement and breeding program; nevertheless, the molecular mechanism remain unknow due to the absence of omics data and limited availability of genome resource. The newly published genome article provides a possibility platform for the further study of T. repens [12].
Squa promoter binding protein–like (SPL) proteins are a plant-specific transcription factor family and operate on the characteristic genes of flower meristem, and participate in the formation and later development of flowers. The most leading feature of SPL proteins is that SBP-box (squamosa promoter binding protein) encodes a conserved protein domain with 76 amino acids [13]. The conserved SBP domain contains two zinc finger structures and one NLS structure, which are the structural basis for sequence-specific gene binding [14,15]. Although the SPL gene family had been widely studied in lots of species and the function of this kind of genes was also confirmed, there is no systematic exploration in T. repens. In snapdragon (Antirrhinum majus), SBP1 and SBP2 acted on the promoter region of flower meristem characteristic gene SQUAMOSA to control early flower development [16]. A total of 16 AtSPL genes were identified in Arabidopsis thaliana, and AtSPL3 directly activates LEAF, FRUITFULL, and APETALA1 to control the formation time of flowers [17]. Moreover, overexpressing AtSPL10 showed an early flowering phenotype, and the triple loss-of-function mutants with its homologous genes AtSPL2 and AtSPL11 showed flowering later than wild type [18]. In terms of inflorescence development, AtSPL8 showed significant functions in controlling pollen sac development and it is necessary for the normal development of spore tissue [19]. The loss of AtSPL9 and AtSPL15 function can lead to the change of inflorescence structure [20]. In rice (Oryza sativa), 19 OsSPL genes were identified [21], with the function of promoting the grain development to increase yield at the optimal expression level, and preventing the reversal of rice inflorescence during flowering [22,23]. There were 56 TaSPL genes in wheat (Triticum aestivum), and most of which regulated the development of inflorescence and spike [24]. In addition, 17 putative DgSPL genes were identified in orchardgrass (Dactylis glomerata), a common companion species of T. repens mixed grassland, which were mainly involved in vegetative to reproductive growth transition, flower development, and flowering regulation [25]. In Medicago truncatula, a total of 23 MtSPL genes were identified which are involved in the development of seed pods, especially the formation of thorns on pods [26].
It is critical to explore the white clover flowering time regulation and inflorescence development mechanism for its genetic improvement and utilization. Genome-wide identification, characterization, and expression profiling analysis of SPL gene family in T. repens will be an important basic work for providing valuable clues of candidate gene selection and breeding program. In this study, the TrSPL gene family was identified and comprehensively analyzed, including SBP conserved domain comparation, conserved motif composition, gene structure annotation, and chromosome location distribution. The evolution of TrSPL genes were preliminarily predicted by studying the intraspecific replication events, phylogenetic analysis and collinearity analysis with other plant species. Furthermore, an expression profiling analysis of TrSPL genes at different flower development stages were constructed.
2. Materials and Methods
2.1. Genome-Wide Identification of TrSPL Genes
The T. repens genome resource information came from previous study [12] and all files were provided by Stig Uggerhøj Andersen from Aarhus University. The hidden markov model (HMM) file of SBP domain (pf03110) was download from Pfam database [27] (pfam.xfam.org/, accessed on 5 March 2021). The downloaded HMM file was taken as the query sequence to search the protein sequence data of T. repens by using HMMER3.0. The obtained proteins were aligned by ClustaW (E-value < 1 × 10−20) and the SBP HMM file was rebuilt by hmmbuild in HMMER 3.0. Finally, SBP HMM of T. repens was used to identify SPL protein in T. repens genome, and the cut-off value was set to 0.01 [28]. In order to ensure that all candidate genes contain SBP domain, the NCBI Conserved Domain Search website was used for further confirmation (Conserved Domains Database (CDD) and Resources (nih.gov), accessed on 5 May 2021). The isoelectric point and relative molecular weight data were obtained using the Expasy website (Compute pI/MW—SIB Swiss Institute of Bioinformatics | Expasy, accessed on 5 May 2021). The subcellular localization information of TrSPL genes were analyzed and predicted online by BUSCA tool (BUSCA—Bologna Biocomputing Group (unibo.it), accessed on 6 May 2021). The psRNATarget website was used to predicted of miR156-targeted TrSPL genes (http://plantgrn.noble.org/psRNATarget/home, accessed on 2 May 2022). Cis acting element analysis was predicted and visualized by using online tools PlantCARE and TBtools software (http://bioinformatics.psb.ugent.be/webtools/plantcare/html/, accessed on 7 May 2021) [29].
2.2. Phylogenetic Analyses and Classification of TrSPL Genes
Genes and protein sequences of A. thaliana, M. truncatula, Trifolium pratense, and G. max SPL gene family are downloaded from TAIR (https://www.arabidopsis.org/download/index-auto.jsp?dir=%2Fdownload_files%2FSequences%2FAraport11_blastsets, accessed on 10 June 2021), the M. truncatula Genome Database (http://www.medicagogenome.org/, accessed on 10 June 2021), Ensembl website (https://plants.ensembl.org/index.html, accessed on 10 June 2021), and the G. max Genome Database (https://www.soybase.org/, accessed on 15 June 2021), respectively. Multiple sequence alignment of SPL protein sequences was performed by Log-Expectation (MUSCLE) in MEGA v6.0 [30]. Eventually, the phylogenetic tree was constructed by the neighbor-joining method of MEGA v6.0 software, and the bootstrap replications value was 1000.0.
2.3. Gene Structure and Motif Analysis of TrSPL Genes
Jalview software for SBP conservative sequence alignment of T. repens (http://www.jalview.org/, accessed on 10 September 2021), two zinc finger structures and one NLS structure are marked in the figure. The conserved motifs of T. repens are analyzed by MEME Suite 5.14 (Introduction—MEME Suite (meme-suite.org), accessed on 11 September 2021) [31], and the details of each conserved motif are also derived from the same website. The maximum number of motifs are set as 10. The program Visualize MEME/MAST Motif Pattern of Tbtools software was employed for conservative motif visual analysis. Gene structure analysis used the gene sequence file of TrSPL genes to analyze and visualize in TBtools software Visualize Gene Structure function, showing the CDS sequence, SBP conserved domain, and ANK conserved domain and intron.
2.4. Chromosomal Locations and Synteny Analysis of TrSPL Genes
The chromosome location information of TrSPL genes were obtained from the genome annotation file. The Gene Location Visualize From GTF/GFF function of Tbtools software was used for gene chromosome mapping and visual analysis. The intraspecific collinearity circle map of TrSPL genes were analyzed by using the Dual Synergy Plot for McscanX function of TBtools and visualized by the Advanced Circos function. The genome data of A. thaliana were downloaded from TAIR (https://www.arabidopsis.org/download/index-auto.jsp?dir=%2Fdownload_files%2FSequences%2FAraport11_blastsets, accessed on 13 September 2021). The genome data of M. truncatula were downloaded from the M. truncatula Genome Database (http://www.medicagogenome.org/, accessed on 10 October 2021). The genome data of Trifolium pratense were downloaded from Ensembl website (https://plants.ensembl.org/index.html, accessed on 15 October 2021). The genome data of G. max were downloaded from the G. max Genome Database (https://www.soybase.org/, accessed on 19 October 2021). Drawing with Dual Synteny Ploter function of TBtools.
2.5. Material Culture, Sampling and qRT-PCR
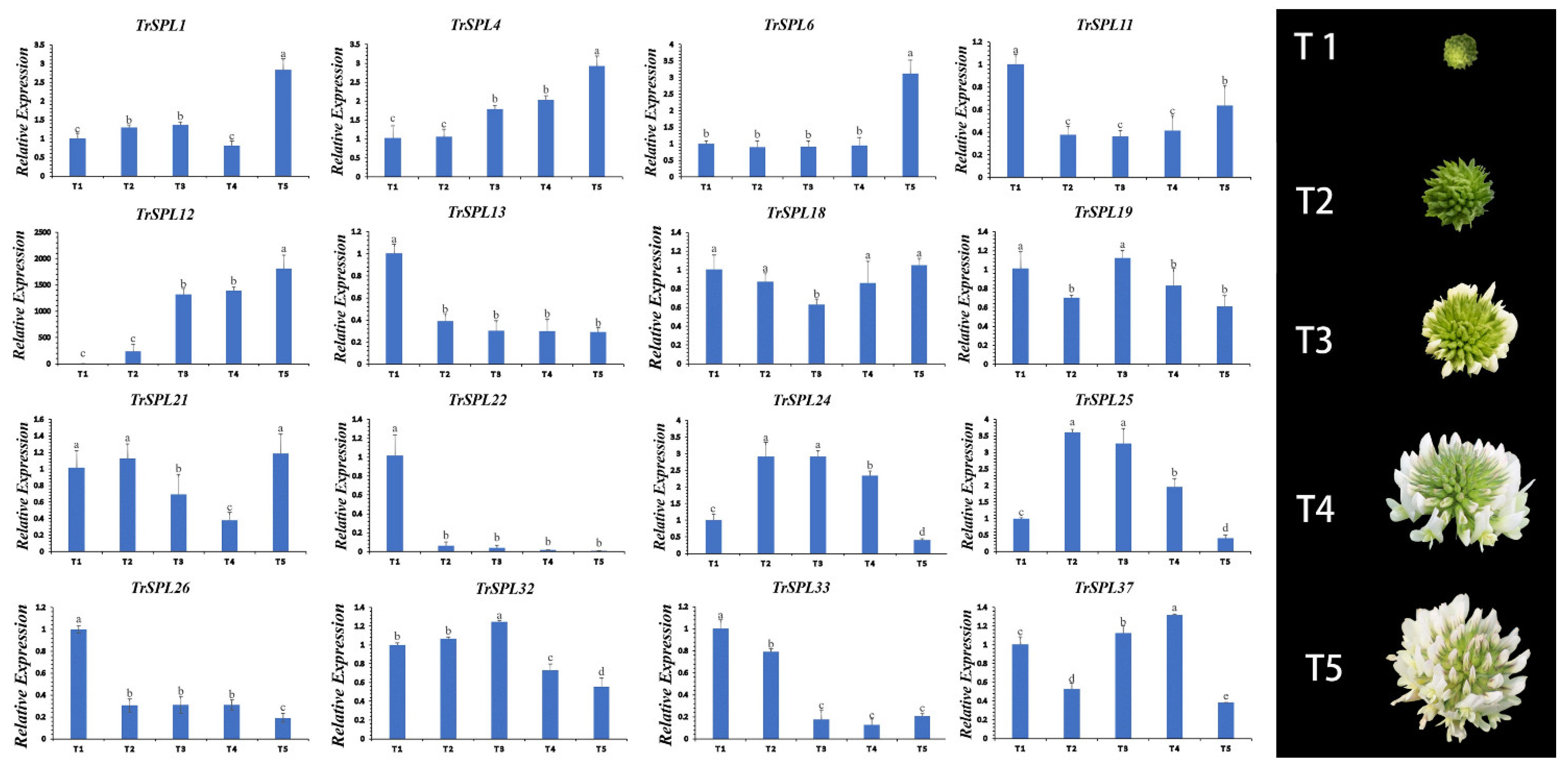
T. repens Seed Haifa is provided by Beijing MAMMOTH SEED company, with the registration number of 249. The same genotype material Haifa is used for asexual propagation by cutting in pot (the diameter is 16.5 cm, the height is 10 cm, and the bottom diameter is 12 cm). The growth environment of T. repens is a growth chamber with a Photoperiod of 14 h at 22 °C and a dark period of 10h at 20 °C. T. repens after flowering, fresh inflorescences in different developmental states are taken and stored in the freezing tube. (T1, Immature inflorescence; T2, Inflorescences in which no floret was open; T3, Inflorescences in which outermost circle of florets were open; T4, Inflorescences in which 50% of florets were open; and T5, Mature inflorescence). Three biological replicates per sample. The fresh sample was immediately put into liquid nitrogen and long-term preservation in a −80 °C refrigerator. Total RNA was extracted using the Hipure HP Plant RNA Mini Kit (Magen). The obtained RNA was reverse transcribed into cDNA using the MonScriptTM RTIII ALL-in-One Mix with dsDNase (Monad) kit. Primer design used primer5 software and Tr β- Actin as internal parameter [32]. All primers and internal paramenter information have been given in the attachment (Table S1). qRT-PCR was performed with Bio-Rad CFX96 instrument, and used SYBR® green real-time PCR master Mix test kit. The qRT-PCR procedure as follow:30 s at 95 °C, denaturation (95 °C for 10s), anneal/extension (55 °C for 30 s), for 40 cycles, melting curve detection (65–95 °C). Each gene performed three biological and three technical repeats at each inflorescence development stage. 2(−ΔΔCt) analysis method was used to calculate the relative expression of 16 TrSPL genes, and finally the expression maps of 16 TrSPL genes in five different flower development stages were obtained.
3. Results
3.1. Genome-Wide Identification of T. repens SPL Genes
Based on the T. repens genome resources, putative TrSPL genes were preliminarily identified by performing HMM (hidden Markov model) search (SBP domain, PF03110) from Pfam database. Subsequently, 38 TrSPL genes were identified after removing redundant sequences preliminarily. However, owing to the incomplete of SBP structure in gene chr13.jg763.t1, 37 genes with highly conserved SBP domain were retained (Table 1). According to the phylogenetic tree group numbering sequence of T. repens and A. thaliana (Figure 1), 37 TrSPL genes were named as TrSPL1–TrSPL37, respectively (Table S2). The isoelectric point (PI) of 40.5% of proteins was less than 7, with the lowest PI of TrSPL5 was 5.72, and the highest PI of TrSPL14 and TrSPL33 was 9.41. The protein sequence length (aa) of all TrSPL proteins ranged from 1053 (TrSPL6) to 124 (TrSPL12) amino acids with an average of 474. The relative molecular weight (MW) ranged from 116204.16 Da to 14269.05 Da and the corresponding gene was consistent with the length of protein sequence. Subcellular localization results showed that 37 SPL genes in T. repens were located in the nucleus (30 genes), chloroplast (2 genes), plasma membrane (2 genes), and endomembrane system (3 genes), respectively. The basic data of TrSPL gene family varied widely, which indicated that diverse function of these genes.
Table 1.
The basic information and subcellular localization of all identified SPL genes in T. repens.
Figure 1.
Phylogenetic analysis of SPL proteins in A. thaliana and T. repens. Phylogenetic trees were plotted using the neighbor-joining (NJ) method with a bootstrap value of 1000. Fifty-three genes were divided into nine clades (I–IX) and identified with different colors. The black circle represents T. repens, and the black pentacle represents A. thaliana.
3.2. Phylogenetic Analyses and Classification of the TrSPL Gene Family
For the classification of the TrSPL gene family, a Neighbor-joining (NJ) tree (with 1,000 bootstraps) of 16 A. thaliana SPL genes and 37 identified TrSPL genes was constructed (Figure 1). The results showed that 53 genes were divided into 9 clades, and all 16 SPL genes in A. thaliana were distributed in 8 main SPL evolution clades named as I to VIII [33,34]. There were two TrSPL genes grouped into T. repens-specific clade named in IX, which indicated that potentially emerged after the divergence between two species. Moreover, in order to explore the evolutionary relationship of SPL gene families among the related species of T. repens, 24 SPL genes of red clover (Trifolium pratense) and 23 SPL genes of M. truncatula were analyzed together with white clover and A. thaliana (Figure 2). A total of 100 SPL genes were divided into 7 clades (I–VII), and each evolutionary clade contained all 4 species. The results showed that SPL gene distance between three legumes species were closer, while farther than A. thaliana. Multi species phylogenetic tree revealed that SPL gene family was relatively conservative in evolutionary direction.
Figure 2.
Phylogenetic analysis of SPL proteins in A. thaliana, T. repens Trifolium pratense, and M. truncatula. Phylogenetic trees were plotted using the neighbor-joining (NJ) method with a bootstrap value of 1000. A total of 100 genes were divided into 7 clades (I–VII) and identified with different colors. The black circle, pentacle, square and triangle represent T. repens, A. thaliana, Trifolium pratense, and M. truncatula respectively.
SPL transcription factors are targeted for cleavage and/or translational repression by microRNA156s [35].The miR156/SPL module is involved in the regulation of flowering time, inflorescence development and yield improvement [17,36,37]. Among 37 TrSPL genes, 17 TrSPL genes contain miR156 complementary recognition sites, which may be regulated by miR156 targeting (Table S3).
Cis-acting elements are important in regulating gene expression. Analysis cis acting elements of 37 TrSPL genes (upstream 2000 bp) showed that TrSPL genes contained a large number of action elements in response to light (light response element, circadian rhythm regulation element, and phytochrome down-regulation response element) and hormones (abscisic acid response element, gibberellin response element, plant auxin response element, salicylic acid response element, and methyl jasmonate response element). In addition, there were some other elements in response to external stress, such as low temperature response element, defense and stress response element, and wounding response element. (Table S3; Figure S1).
3.3. Sequence Feature and Gene Structure of TrSPL Genes
The full-length protein sequence of T. repens SPL genes were used for sequence alignment. The SBP domain was highly conserved in the TrSPL gene family (Figure 3). All SBP domains contained two zinc finger structures and a nuclear localization signal (NLS), along with absence of some small fragments from TrSPL12, TrSPL 20, TrSPL 34, and TrSPL 35. Besides, the motif of first TrSPL gene zinc finger for clade I (Cys-Cys-Cys-Cys) was different from that in the other clades (Cys-Cys-Cys-His), which was consistent with M. truncatula and other species [26,38,39].
Figure 3.
Sequence alignment and logo of SBP domain from T. repens. Two Zn-finger structures (Zn-1, Cys3 His; Zn-2, Cys2HisCys) and one NLS structure have been marked.
In order to analyze the diversity and similarity of TrSPL gene structure, 10 kinds of motifs were identified in the MEME website (Figure 4). Among them, motif 1 and motif 2 contained a complete SBP domain and the length of motif ranges from 21 to 50. TrSPL12 and TrSPL35 only contained one motif, whereas TrSPL6 contained 11 motifs. The most conserved part was motif 1 in all TrSPL genes. Motif1, motif 2, and motif10 were found in 67 percent of TrSPL genes. Motifs 4–7 only appeared in TrSPL3–TrSPL9 (in the same clade) which reveal that these motifs were the main factors for the evolution and even functional conservation of this branch. TrSPL genes in same branch have similar conserved motifs, indicating they may be having similar function. Sequence information for each motif is provided in Table S4. In the analysis of gene structure, TrSPL3–TrSPL9 have Ankyrin repeat regions (Ank-2 and Ank-2 superfamily), which could be involved in protein-protein interaction [40]. All TrSPL genes had at least one intron and TrSPL34 had the most introns (with 20 introns).
Figure 4.
Analysis of conserved motifs and gene structure under the phylogenetic tree of T. repens SPL gene family. (a) A phylogenetic tree was constructed using the full-length protein sequence of T. repens SPL gene family. Different evolutionary clades were marked with different colors. (b) Conserved motifs predicted in TrSPL proteins. The 10 motifs are represented by squares of different colors. (c) Exons and introns are represented by colored squares and black lines. The SBP conserved domain and Ankyrin repeat region were clearly marked and 0, 1, and 2 indicate intron phase.
3.4. Chromosomal Locations and Synteny Analysis of TrSPL Genes
Thirty-seven TrSPL genes were accurately mapped onto T. repens chromosomes (Figure 5, Table S5). TrSPL genes were relatively evenly distributed on all 16 chromosomes, and the number of TrSPL gene on each chromosome ranged from one (Chr6O, chr8O, chr5P, and chr7P) to four (chr3O, chr2P, and chr3P).
Figure 5.
Distribution of TrSPL genes on chromosomes. The leftmost scale shows the length of chromosomes. Chromosomes are represented by blue bars.
Gene duplication event is an important way to produce new genes with similar or different functions. We visualized the intraspecific replication events of TrSPL genes in Figure 6. A total of five pairs of segmental duplication genes were found, while there was no tandem duplication in the TrSPL gene family (Table S6), indicating that segmental duplication plays a very important role in TrSPL gene family expansion.
Figure 6.
Segmental repeat analysis of SPL genes in T. repens genome. The 16 chromosomes form a circle, and the red lines represent the syntenic region of the 37 TrSPL genes. All synteny block produced by doubling the genome are indicated by gray lines.
To further explore the evolution of the TrSPL gene family, four comparative syntenic maps consisted of A. thaliana, Trifolium pratense, M. truncatula, and Glycine max were constructed based on collinearity analysis (Figure 7). The number of homologous pairs between T. repens and other 4 species was 10 (A. thaliana), 14 (Red clover), 28 (M. truncatula), and 42 (soybean). The details of homologous pairs are given in Table S7. The comparison results showed that there are more homologous genes between T. repens and leguminosae species.
Figure 7.
Collinearity analysis of SPL gene families between T. repens and representative species. The red line showed the collinearity of SPL gene family in T. repens and corresponding representative species. Other collinearity between genomes is indicated by gray lines.
3.5. Expression Patterns of TrSPL Genes in Different Inflorescence Development Stage
In order to further forecast the function of TrSPL genes, 16 representative TrSPL genes were selected based on phylogenetic tree (Figure 1). By constructing expression profiles in five different inflorescence development stages, preliminarily predicted function of genes was detected (Figure 8). TrSPL11, TrSPL13, TrSPL22, and TrSPL26 had high expression only in the first development stage (T1) and expression decreased in subsequent stages. TrSPL33 was highly expressed at T1 and T2, and decreased sharply at three stages after florets bloom. These results suggested that these genes may play an important role in the early development of T. repens inflorescence. Of course, some genes, such as TrSPL1 and TrSPL6, were highly expressed only at inflorescence maturity (T5). With the development of inflorescence, the expression level of TrSPL4 and TrSPL12 gradually increased and reached the highest at inflorescence maturity (T5). It was worth noting that the relative expression of TrSPL12 was the highest among the 16 genes, which may be closely related to the regulation of inflorescence development. The expression level of TrSPL24 and TrSPL25 increased sharply at T2 stage, and then decreased gradually with the development of inflorescences. The gene expression profile of TrSPL genes provided important information to determine the potential regulatory function of T. repens SPL gene family in inflorescence development.
Figure 8.
Expression profiles of 16 selected TrSPL genes at 5 different flower development stages in T. repens. T1, Immature inflorescence; T2, Inflorescences in which no floret was open; T3, Inflorescences in which outermost circle of florets were open; T4, Inflorescences in which 50% of florets were open; and T5, Mature inflorescence. The vertical bar is the standard deviation. The letters indicate differences.
4. Discussion
T. repens is high-quality leguminous forage, and has important economic value in temperate agricultural system [41]. However, flowering directly affects the quality and yield of T. repens, and inflorescence development directly affects seed production. The SPL gene family is a plant-specific transcription factor family containing a highly conserved SBP domain (76 amino acids), which can bind DNA in a sequence-specific manner and regulate transcription. SPL genes can specifically bind related motifs in SQUAMOSA promoter of snapdragon and AP1 promoter of A. thaliana, which have been proved to play an important role in regulating plant growth and development [16,42,43]. In this study, 37 TrSPL genes were identified in T. repens, and much more than 16 in A. thaliana, 19 in rice [21], 14 in barley (Hordeum vulgare) [38], and 27 in apple (Malus domestica) [44], but fewer than 56 in wheat [24], 57 in mustard (Brassica juncea) [45], 48 in walnut (Juglans regia) [46], 77 in euphorbiaceae [39], and 58 in oilseed rape (Brassica napus) [47]. Generally, the number of SPL genes are partly affected by the genome size and heterologous polyploidization events. Although the genomes of A. thaliana (125 Mb) [48], rice (389 Mb) [49], and apple (632.4 Mb) [50] are much smaller than T. repens (1174 Mb) [12], the genome of B. juncea (1056.53 Mb) [45,51] and B. juncea (1033 Mb) [52] were also smaller than T. repens. T. repens is an allotetraploid leguminous forage which was predicted that heterologous polyploidization event occurred in the last great glacier period [53]. Interestingly, B. juncea and Brassica napus are also allotetraploid species. Similar to T. repens, they were formed by heterologous polyploidization events through natural hybridization of two diploid ancestral species [51,54]. This may be the main reason why they have a large number of SPL genes. Additionally, five pairs of segmental repeat genes were found while no tandem repeat gene pairs, which indicated that segmental repeat is more conducive to the evolution and population expansion of T. repens SPL gene family.
The isoelectric point, relative molecular weight and protein sequence length analysis of TrSPL genes showed that rich variation within this gene family. A large number of cis-acting elements related to light, hormone and stress response were found, which speculated that the functions of this gene family in T. repens are diverse and may play a regulatory role in this physiological process. Furthermore, the TrSPL gene showed similar gene structure and conserved motifs in the same clade, but there were significant differences among clades. Ankyrin repeat regions were only found in TrSPL3–TrSPL9, indicating that these genes in this clade may play an important role in protein-protein interaction [40]. Owing to the ancestor, SPL originally formed into two different lineages, named clade I and clade II [55]. Therefore, TrSPL1–TrSPL9 may belong to clade I due to having more exons and longer protein sequences. Based on the phylogenetic trees of SPL gene families of white clover, red clover, M. truncatula, and A. thaliana further reveal the phylogenetic relationship between them. Moreover, collinearity analysis has been performed between T. repens and T. pratense, M. trunculata, A. thaliana or G. max. There were only ten pairs of homologous between T. repens and A. thaliana, while more homologous were found in leguminous species, indicating that the evolution of SPL gene in leguminous also had high conservation and homology.
Generally, genes in the same branch of the phylogenetic tree have the similar function. Gene expression patterns can provide crucial information for determining gene function prediction [56]. The expression of SPL genes has high specificity in flowering regulation. Most M. trunculata SPL genes were highly expressed in flowers, pods, and seeds, but less so in roots, stems, and leaves [26]. In wheat, most TaSPL genes were found to regulate the development of inflorescence and spike. Some genes (TaSPL034, TaSPL035, TaSPL037 TaSPL044, and TaSPL052) are only expressed in inflorescences, but almost not expressed in roots, stems, and leaves [24]. More than half of OsSPL genes were expressed in young panicles of rice [21]. In Prunus mume, most of the SPL genes showed high transcript levels in flower buds and young fruit. The expression of PmSBP7 in pistil is 12 times higher than that in other tissues [57]. In this study, Previous studies have shown that the A. thaliana SPL gene in clade V (AtSPL3) and clade VI (AtSPL2, AtSPL10, and AtSPL11) could regulate flowering time [18,58], and it was speculated that TrSPL19-25 located in the same clade may have similar functions in regulating the flowering time of T. repens. Interestingly, the light response elements were detected in all of these genes. Similarly, the A. thaliana SPL genes (AtSPL8, AtSPL9, and AtSPL15) in clade III and clade VIII have been proved to affect inflorescences development [19,20], and TrSPL10 to 14 and TrSPL32 to 35 (assigned into clade III and clade VIII) were possible relevance to inflorescences development of T. repens. Among these genes, TrSPL11 and TrSPL13 was highly expressed only at T1 stage, and TrSPL33 was highly expressed at T1 and T2 stages, indicating that these genes play an important regulatory role in the early development of T. repens inflorescences. Specially, with the development of T. repens inflorescences, the expression of TrSPL12 gradually increased and peaked at T5, indicating that TrSPL12 may play an important effect with the development of inflorescences. TrSPL22 was highly expressed only at the beginning of inflorescence development, but almost not at other stages. In brief, TrSPL gene family is such important in T. repens flowering regulation, especially in inflorescence development.
In this study, except for regulating flowering time and inflorescence development, the discovery of hormones and external stress responsive elements also indicates the diversity of TrSPL gene family functions. AtSPL6 can bind to the nuclear localization immune receptor to activate the defense transcriptome and generate defense signals against pathogens [59]. AtSPL genes (AtSPL1, AtSPL12, and AtSPL14) have been proved to be involved in regulating the development and its sensitivity to fumonisin B1 of A. thaliana. Similarly, Vpsbp5 in the same clade has also been proved to prevent powdery mildew in grapes [60]. In the same branch, methyl jasmonate response elements and salicylic acid response elements were found upstream of some TrSPL genes. Salicylic acid and methyl jasmonate are important immune hormones in plants [61]. The results showed that TrSPL genes in cade II and IV may play an important role in enhancing pathogen defense response in T. repens. Previous reports have indicated that SPL gene family is also involved in abiotic stress response [62,63,64,65]. Both low-temperature response elements and stress response elements were found upstream of TrSPL21, TrSPL25, and TrSPL28.
5. Conclusions
T. repens is the most widely cultivated perennial legume forage in temperate regions around the world. However, flowering time and inflorescence development directly affects the quality and yield, as well as seed production. The SPL gene family is a plant specific transcription factor family, which has been proved to play a critical role in regulating plant formation time and development of flowers. In this study, a total of 37 TrSPL genes were identified from the whole genome of T. repens and were divided into nine clades based on phylogenetic tree. Seventeen TrSPL genes have potential target sites for miR156. The basic information of 37 TrSPL genes was obtained, including isoelectric point (PI), relative molecular weight (MW), protein sequence length (aa), and subcellular localization. The result of cis acting element analysis showed that a large number of action elements in response to light were identified and potential flowering regulation function was predicted. Moreover, 37 TrSPL genes were relatively dispersedly distributed on 16 chromosomes, and 5 pairs of segmental repeat genes were found, which indicated that segmental duplication was the main way of TrSPL gene expansion. Furthermore, the gene expression profiling showed that TrSPL11, TrSPL13, TrSPL2,2 and TrSPL26 were highly expressed only in the early stage of inflorescence development, while TrSPL1 and TrSPL6 are highly expressed only in the mature inflorescence. The results of this study will provide valuable clues for candidate gene selection and elucidating the molecular mechanism of T. repens flowering regulation.
Supplementary Materials
The following supporting information can be downloaded at https://www.mdpi.com/article/10.3390/genes13050900/s1. Table S1: The name and sequence information of primers involved in this study. Table S2: Cis acting element analysis of 37 SPL genes in white clover. Table S3: The miR156 target information of TrSPL genes. Table S4: Analysis of conserved motifs of SPL protein in White clover. Table S5: Specific location information of TrSPL genes on chromosome. Table S6: Segmental duplication analysis of SPL genes in white clover genome. Table S7: Orthologous relationships table of white clover and A. thaliana. Figure S1: Analysis of 2000 bp cis acting element upstream of TrSPL genes. Different action elements are represented by blocks of different colors.
Author Contributions
Conceptualization, J.M. and F.W.; Data curation, J.M. and R.H.; Formal analysis, J.M., Z.Y., R.H. and F.W.; Funding acquisition, X.Z.; Investigation, G.N., S.M. and J.F.; Methodology, G.N., S.M., J.F. and X.Z.; Project administration, X.Z.; Resources, Z.Y. and X.Z.; Software, J.M. and Z.Y.; Supervision, G.N.; Validation, J.M.; Visualization, J.M. and X.Z.; Writing—original draft, J.M. and G.N.; Writing—review and editing, J.M., G.N. and X.Z. All authors have read and agreed to the published version of the manuscript.
Funding
This work was supported by the China Agriculture Research System of MOF and MARA, the Sichuan Province Breeding Research grant (2021YFYZ0013) and Application Foundation Project of Sichuan Science and Technology Department (22NSFSC3268).
Institutional Review Board Statement
Not applicable.
Informed Consent Statement
Not applicable.
Data Availability Statement
All data generated or analyzed during this study are included in this article and its attached documents. The T. repens genome resources were downloaded from the EMBL/GenBank data libraries (Bioproject PRJNA523044, https://www.ncbi.nlm.nih.gov/genbank/, accessed on 5 March 2021) (Griffiths et al., 2019). The genome data used for comparative syntenic analysis were obtained from open database. The genome data of A. thaliana were downloaded from TAIR (https://www.arabidopsis.org/download/index-auto.jsp?dir=%2Fdownload_files%2FSequences%2FAraport11_blastsets, accessed on 10 June 2021). The genome data of M. truncatula were downloaded from the M. truncatula Genome Database (http://www.medicagogenome.org/, accessed on 10 June 2021). The genome data of Trifolium pratense were downloaded from Ensembl website (https://plants.ensembl.org/index.html, accessed on 10 June 2021). The genome data of G. max were downloaded from the G. max Genome Database (https://www.soybase.org/, accessed on 15 June 2021).
Acknowledgments
We gratefully acknowledge Stig Uggerhøj Andersen from Aarhus University for providing T. repens genomic resources.
Conflicts of Interest
The authors declare no conflict of interest.
Abbreviations
| SPL | Squa promoter binding protein–like |
| SBP | Squamosa promoter binding protein |
| CDS | Coding sequence |
| HMM | Hidden Markov model |
| MW | Molecular weight |
| PI | Isoelectric point |
| NLS | Nuclear localization signal |
References
- Daday, H. Gene frequencies in wild populations of Trifolium repens L. Heredity 1958, 12, 169–184. [Google Scholar] [CrossRef] [Green Version]
- Coombe, D. Trifolium occidentale, a new species related to T. repens L. Watsonia 1961, 5, 68–87. [Google Scholar]
- Raffl, C.; Holderegger, R.; Parson, W.; Erschbamer, B. Patterns in genetic diversity of Trifolium pallescens populations do not reflect chronosequence on alpine glacier forelands. Heredity 2008, 100, 526–532. [Google Scholar] [CrossRef] [Green Version]
- Birte, B.; Bernadette, J.; Đura, K.; John, H. Legume Seed Production Meeting Market Requirements and Economic Impacts. Crit. Rev. Plant Sci. 2014, 34, 412–427. [Google Scholar] [CrossRef]
- Abberton, M.T.; Marshall, A.H. Progress in breeding perennial clovers for temperate agriculture. J. Agric. Sci. 2005, 143, 117–135. [Google Scholar] [CrossRef]
- Caradus, J.; Woodfield, D.; Stewart, A. Overview and vision for white clover. NZGA Res. Pract. Ser. 1995, 6, 1–6. [Google Scholar] [CrossRef]
- Gibson, P.; Cope, W. White clover. Clover Sci. Technol. 1985, 25, 471–490. [Google Scholar]
- Kilcher, M.R. Plant Development, Stage of Maturity and Nutrient Composition. J. Range Manag. 1981, 34, 363. [Google Scholar] [CrossRef] [Green Version]
- Fiorella, D.B.N.; Toshihiko, Y. Molecular Regulation of Flowering Time in Grasses. Agronomy 2017, 7, 17. [Google Scholar] [CrossRef]
- Christian, J. Flowering time regulation: Agrochemical control of flowering. Nat. Plants 2017, 3, 17045. [Google Scholar] [CrossRef]
- Pederson, G.A.; Brink, G.E. Seed Production of White Clover Cultivars and Naturalized Populations when Grown in a Pasture. Crop Sci. 2000, 40, 1109–1114. [Google Scholar] [CrossRef] [Green Version]
- Griffiths, A.G.; Moraga, R.; Tausen, M.; Gupta, V.; Bilton, T.P.; Campbell, M.A.; Ashby, R.; Nagy, I.; Khan, A.; Larking, A.; et al. Breaking Free: The Genomics of Allopolyploidy-Facilitated Niche Expansion in White Clover. Plant Cell 2019, 31, 1466–1487. [Google Scholar] [CrossRef] [Green Version]
- Cardon, G.; Hohmann, S.; Klein, J.; Nettesheim, K.; Saedler, H.; Huijser, P. Molecular characterisation of the Arabidopsis SBP-box genes. Gene 1999, 237, 91–104. [Google Scholar] [CrossRef]
- Birkenbihl, R.P.; Jach, G.; Saedler, H.; Huijser, P. Functional dissection of the plant-specific SBP-domain: Overlap of the DNA-binding and nuclear localization domains. J. Mol. Biol. 2005, 352, 585–596. [Google Scholar] [CrossRef] [Green Version]
- Yamasaki, K.; Kigawa, T.; Inoue, M.; Tateno, M.; Yamasaki, T.; Yabuki, T.; Aoki, M.; Seki, E.; Matsuda, T.; Nunokawa, E. A novel zinc-binding motif revealed by solution structures of DNA-binding domains of Arabidopsis SBP-family transcription factors. J. Mol. Biol. 2004, 337, 49–63. [Google Scholar] [CrossRef]
- Klein, J.; Saedler, H.; Huijser, P. A new family of DNA binding proteins includes putative transcriptional regulators of the Antirrhinum majus floral meristem identity gene SQUAMOSA. Mol. Gen. Genet. MGG 1996, 250, 7–16. [Google Scholar]
- Yamaguchi, A.; Wu, M.-F.; Yang, L.; Wu, G.; Poethig, R.S.; Wagner, D. The MicroRNA-Regulated SBP-Box Transcription Factor SPL3 Is a Direct Upstream Activator of LEAFY, FRUITFULL, and APETALA1. Dev. Cell 2009, 17, 268–278. [Google Scholar] [CrossRef] [Green Version]
- Tao, Y.; Bong Soo, P.; Hui-Zhu, M.; Jun Sung, S.; Naohiko, O.; Ying, L.; Niu, Y.; Nur Fatimah Binte, M.; Chung-Hao, H.; Nam-Hai, C. Regulation of flowering time by SPL10/MED25 module in Arabidopsis. New Phytol. 2019, 224, 493–504. [Google Scholar] [CrossRef]
- Unte, U.S.; Sorensen, A.-M.; Pesaresi, P.; Gandikota, M.; Leister, D.; Saedler, H.; Huijser, P. SPL8, an SBP-box gene that affects pollen sac development in Arabidopsis. Plant Cell 2003, 15, 1009–1019. [Google Scholar] [CrossRef] [Green Version]
- Schwarz, S.; Grande, A.V.; Bujdoso, N.; Saedler, H.; Huijser, P. The microRNA regulated SBP-box genes SPL9 and SPL15 control shoot maturation in Arabidopsis. Plant Mol. Biol. 2008, 67, 183–195. [Google Scholar] [CrossRef] [Green Version]
- Xie, K.; Wu, C.; Xiong, L. Genomic organization, differential expression, and interaction of SQUAMOSA promoter-binding-like transcription factors and microRNA156 in rice. Plant Physiol. 2006, 142, 280–293. [Google Scholar] [CrossRef] [Green Version]
- Francesca, G.; Fabio, F. SPL transcription factors prevent inflorescence reversion in rice. Mol. Plant 2021, 14, 1041–1043. [Google Scholar] [CrossRef]
- Lei, W.; Qifa, Z. Boosting Rice Yield by Fine-Tuning SPL Gene Expression. Trends Plant Sci. 2017, 22, 643–646. [Google Scholar] [CrossRef]
- Ting, Z.; Yue, L.; Liting, M.; Xiaoying, W.; Dazhong, Z.; Yucui, H.; Qin, D.; Lingjian, M. Genome-wide identification, phylogeny and expression analysis of the SPL gene family in wheat. BMC Plant Biol. 2020, 20, 420. [Google Scholar] [CrossRef]
- Guangyan, F.; Jiating, H.; Zhongfu, Y.; Qiuxu, L.; Yang, S.; Xiaoheng, X.; Gang, N.; Linkai, H.; Wei, L.; Xinquan, Z. Genome-wide identification, phylogenetic analysis, and expression analysis of the SPL gene family in orchardgrass (Dactylis glomerata L.). Genomics 2021, 113, 2413–2425. [Google Scholar] [CrossRef]
- Wang, H.F.; Lu, Z.C.; Xu, Y.T.; Kong, L.C.; Shi, J.J.; Liu, Y.F.; Fu, C.X.; Wang, X.S.; Wang, Z.Y.; Zhou, C.E.; et al. Genome-wide characterization of SPL family in Medicago truncatula reveals the novel roles of miR156/SPL module in spiky pod development. BMC Genom. 2019, 20, 14. [Google Scholar] [CrossRef]
- Finn, R.D.; Bateman, A.; Clements, J.; Coggill, P.; Eberhardt, R.Y.; Eddy, S.R.; Heger, A.; Hetherington, K.; Holm, L.; Mistry, J. Pfam: The protein families database. Nucleic Acids Res. 2014, 42, D222–D230. [Google Scholar] [CrossRef] [Green Version]
- Finn, R.D.; Clements, J.; Eddy, S.R. HMMER web server: Interactive sequence similarity searching. Nucleic Acids Res. 2011, 39, W29–W37. [Google Scholar] [CrossRef] [Green Version]
- Chen, C.; Chen, H.; Zhang, Y.; Thomas, H.R.; Frank, M.H.; He, Y.; Xia, R. TBtools: An Integrative Toolkit Developed for Interactive Analyses of Big Biological Data. Mol. Plant 2020, 13, 1194–1202. [Google Scholar] [CrossRef]
- Tamura, K.; Stecher, G.; Peterson, D.; Filipski, A.; Kumar, S. MEGA6: Molecular evolutionary genetics analysis version 6.0. Mol. Biol. Evol. 2013, 30, 2725–2729. [Google Scholar] [CrossRef] [Green Version]
- Bailey, T.L.; Boden, M.; Buske, F.A.; Frith, M.; Grant, C.E.; Clementi, L.; Ren, J.; Li, W.W.; Noble, W.S. MEME SUITE: Tools for motif discovery and searching. Nucleic Acids Res. 2009, 37, W202–W208. [Google Scholar] [CrossRef]
- Jia, T.; Hou, J.; Iqbal, M.Z.; Zhang, Y.; Cheng, B.; Feng, H.; Li, Z.; Liu, L.; Zhou, J.; Feng, G.; et al. Overexpression of the white clover TrSAMDC1 gene enhanced salt and drought resistance in Arabidopsis thaliana. Plant Physiol. Biochem. 2021, 165, 147–160. [Google Scholar] [CrossRef]
- Preston, J.C.; Hileman, L.C. Functional evolution in the plant SQUAMOSA-PROMOTER BINDING PROTEIN-LIKE (SPL) gene family. Front. Plant Sci. 2013, 4, 13. [Google Scholar] [CrossRef] [Green Version]
- Salinas, M.; Xing, S.; Höhmann, S.; Berndtgen, R.; Huijser, P. Genomic organization, phylogenetic comparison and differential expression of the SBP-box family of transcription factors in tomato. Planta 2012, 235, 1171–1184. [Google Scholar] [CrossRef]
- Wang, H.; Wang, H. The miR156/SPL module, a regulatory hub and versatile toolbox, gears up crops for enhanced agronomic traits. Mol. Plant 2015, 8, 677–688. [Google Scholar] [CrossRef] [Green Version]
- Cui, L.; Zheng, F.; Wang, J.; Zhang, C.; Xiao, F.; Ye, J.; Li, C.; Ye, Z.; Zhang, J. miR156a-targeted SBP-Box transcription factor SlSPL13 regulates inflorescence morphogenesis by directly activating SFT in tomato. Plant Biotechnol. J. 2020, 18, 1670–1682. [Google Scholar] [CrossRef] [Green Version]
- Wang, S.; Wu, K.; Yuan, Q.; Liu, X.; Liu, Z.; Lin, X.; Zeng, R.; Zhu, H.; Dong, G.; Qian, Q. Control of grain size, shape and quality by OsSPL16 in rice. Nat. Genet. 2012, 44, 950–954. [Google Scholar] [CrossRef]
- Tong, T.; Fang, Y.X.; Zhang, Z.L.; Zheng, J.J.; Lu, X.L.; Zhang, X.Q.; Xue, D.W. Genome-wide identification, phylogenetic and expression analysis of SBP-box gene family in barley (Hordeum vulgare L.). Plant Growth Regul. 2020, 90, 137–149. [Google Scholar] [CrossRef]
- Li, J.; Gao, X.Y.; Sang, S.Y.; Liu, C.N. Genome-wide identification, phylogeny, and expression analysis of the SBP-box gene family in Euphorbiaceae. BMC Genom. 2019, 20, 912–915. [Google Scholar] [CrossRef]
- Riese, M.; Hoehmann, S.; Saedler, H.; Muenster, T.; Huijser, P. Comparative analysis of the SBP-box gene families in P-patens and seed plants. Gene 2007, 401, 28–37. [Google Scholar] [CrossRef] [Green Version]
- Frame, J.; Charlton, J.; Laidlaw, A.S. Temperate Forage Legumes; Cab International: London, UK, 1998. [Google Scholar]
- Huijser, P.; Klein, J.; Lönnig, W.; Meijer, H.; Saedler, H.; Sommer, H. Bracteomania, an inflorescence anomaly, is caused by the loss of function of the MADS-box gene squamosa in Antirrhinum majus. EMBO J. 1992, 11, 1239–1249. [Google Scholar] [CrossRef]
- Mandel, M.A.; Cindy, G.-B.; Beth, S.; Martin, F.Y. Molecular characterization of the Arabidopsis floral homeotic gene APETALA1. Nature 1992, 360, 273–277. [Google Scholar] [CrossRef]
- Li, J.; Hou, H.; Li, X.; Xiang, J.; Yin, X.; Gao, H.; Zheng, Y.; Bassett, C.L.; Wang, X. Genome-wide identification and analysis of the SBP-box family genes in apple (Malus × domestica Borkh.). Plant Physiol. Biochem. 2013, 70, 100–114. [Google Scholar] [CrossRef]
- Li, M.Y.; He, Q.; Zhang, Y.; Sun, B.; Luo, Y.; Zhang, Y.; Chen, Q.; Wang, Y.; Zhang, F.; Zhang, Y.T.; et al. New insights into the evolution of the SBP-box family and expression analysis of genes in the growth and development of Brassica juncea. Biotechnol. Biotechnol. Equip. 2020, 34, 810–824. [Google Scholar] [CrossRef]
- Zhou, L.; Quan, S.W.; Ma, L.; Xu, H.; Yang, J.P.; Niu, J.X. Molecular characterization of SBP-box gene family during floral induction in walnut (Juglans regia L.). Tree Genet. Genomes 2019, 16, 12. [Google Scholar] [CrossRef]
- Cheng, H.T.; Hao, M.Y.; Wang, W.X.; Mei, D.S.; Tong, C.B.; Wang, H.; Liu, J.; Fu, L.; Hu, Q. Genomic identification, characterization and differential expression analysis of SBP-box gene family in Brassica napus. BMC Plant Biol. 2016, 16, 196. [Google Scholar] [CrossRef] [Green Version]
- Schneeberger, K.; Ossowski, S.; Ott, F.; Klein, J.D.; Wang, X.; Lanz, C.; Smith, L.M.; Cao, J.; Fitz, J.; Warthmann, N. Reference-guided assembly of four diverse Arabidopsis thaliana genomes. Proc. Natl. Acad. Sci. USA 2011, 108, 10249–10254. [Google Scholar] [CrossRef] [Green Version]
- Takuji, S.; International Rice Genome Sequencing Project. The map-based sequence of the rice genome. Nature 2005, 436, 793–800. [Google Scholar] [CrossRef]
- Xuewei, L.; Ling, K.; Jing, Z.; Yinpeng, X.; Liping, W.; Yan, Y.; Na, W.; Jidi, X.; Cuiying, L.; Wen, W.; et al. Improved hybrid de novo genome assembly of domesticated apple (Malus × domestica). GigaScience 2016, 5, 35. [Google Scholar] [CrossRef] [Green Version]
- Kang, L.; Qian, L.; Zheng, M.; Chen, L.; Chen, H.; Yang, L.; You, L.; Yang, B.; Yan, M.; Gu, Y. Genomic insights into the origin, domestication and diversification of Brassica juncea. Nat. Genet. 2021, 53, 1392–1402. [Google Scholar] [CrossRef]
- Jia-Ming, S.; Zhilin, G.; Jianlin, H.; Chaocheng, G.; Zhiquan, Y.; Shuo, W.; Dongxu, L.; Bo, W.; Shaoping, L.; Run, Z.; et al. Eight high-quality genomes reveal pan-genome architecture and ecotype differentiation of Brassica napus. Nat. Plants 2020, 6, 34–45. [Google Scholar] [CrossRef]
- Warren, M.W.; Nicholas, W.E.; Helal, A.A.; Isabelle, M.V.; Hussain, S.W. Experimental evidence for the ancestry of allotetraploid Trifolium repens and creation of synthetic forms with value for plant breeding. BMC Plant Biol. 2012, 12, 55. [Google Scholar] [CrossRef] [Green Version]
- Chalhoub, B.; Denoeud, F.; Liu, S.; Parkin, I.A.P.; Tang, H.; Wang, X.; Chiquet, J.; Belcram, H.; Tong, C.; Samans, B.; et al. Early allopolyploid evolution in the post-Neolithic Brassica napus oilseed genome. Science 2014, 345, 950–953. [Google Scholar] [CrossRef] [Green Version]
- Hua, Z.; Weilong, K.; Ziyun, G.; Xinyi, F.; Xiaoxiao, D.; Chang, L.; Yangsheng, L. Evolutionary Analyses Reveal Diverged Patterns of SQUAMOSA Promoter Binding Protein-Like (SPL) Gene Family in Oryza Genus. Front. Plant Sci. 2019, 10, 565. [Google Scholar] [CrossRef]
- Zhou, Q.; Zhang, S.S.; Chen, F.; Liu, B.J.; Wu, L.; Li, F.; Zhang, J.Q.; Bao, M.Z.; Liu, G.F. Genome-wide identification and characterization of the SBP-box gene family in Petunia. BMC Genom. 2018, 19, 193. [Google Scholar] [CrossRef] [PubMed]
- Xu, Z.D.; Sun, L.D.; Zhou, Y.Z.; Yang, W.R.; Cheng, T.R.; Wang, J.; Zhang, Q.X. Identification and expression analysis of the SQUAMOSA promoter-binding protein (SBP)-box gene family in Prunus mume. Mol. Genet. Genom. 2015, 290, 1701–1715. [Google Scholar] [CrossRef] [PubMed]
- Cardon, G.H.; Hohmann, S.; Nettesheim, K.; Saedler, H.; Huijser, P. Functional analysis of the Arabidopsis thaliana SBP-box gene SPL3: A novel gene involved in the floral transition. Plant J. Cell Mol. Biol. 1997, 12, 367–377. [Google Scholar] [CrossRef] [PubMed]
- Meenu, S.P.; Shisong, M.; Tessa, M.B.-S.; Kirk, C.; Peter, H.; Savithramma, P.D.-K. Novel positive regulatory role for the SPL6 transcription factor in the N TIR-NB-LRR receptor-mediated plant innate immunity. PLoS Pathog. 2013, 9, e1003235. [Google Scholar] [CrossRef] [Green Version]
- Hongmin, H.; Qin, Y.; Xiping, W.; Hui, X. A SBP-Box Gene VpSBP5 from Chinese Wild Vitis Species Responds to Erysiphe necator and Defense Signaling Molecules. Plant Mol. Biol. Rep. 2013, 31, 1261–1270. [Google Scholar] [CrossRef]
- Nomoto, M.; Skelly, M.J.; Itaya, T.; Mori, T.; Suzuki, T.; Matsushita, T.; Tokizawa, M.; Kuwata, K.; Mori, H.; Yamamoto, Y.Y. Suppression of MYC transcription activators by the immune cofactor NPR1 fine-tunes plant immune responses. Cell Rep. 2021, 37, 110125. [Google Scholar] [CrossRef]
- Anna, S.; Simone, A.; Karen, H.; Bikram Datt, P.; Wolf-Rüdiger, S.; Isabel, B. Arabidopsis miR156 Regulates Tolerance to Recurring Environmental Stress through SPL Transcription Factors. Plant Cell 2014, 26, 1792–1807. [Google Scholar] [CrossRef] [Green Version]
- Hu-De, M.; Li-Juan, Y.; Zhan-Jie, L.; Yan, Y.; Ran, H.; Hui, L.; Meng, M. Genome-wide analysis of the SPL family transcription factors and their responses to abiotic stresses in maize. Plant Gene 2016, 6, 1–12. [Google Scholar] [CrossRef] [Green Version]
- Sergei, A.F.; Mitra, A.; Valerie, N.F.; Molly, M. Identification of transcription factors from NF-Y, NAC, and SPL families responding to osmotic stress in multiple tomato varieties. Plant Sci. 2018, 274, 441–450. [Google Scholar] [CrossRef]
- Jianwen, W.; Youju, Y.; Meng, X.; Liguo, F.; Li-an, X. Roles of the SPL gene family and miR156 in the salt stress responses of tamarisk (Tamarix chinensis). BMC Plant Biol. 2019, 19, 370. [Google Scholar] [CrossRef] [Green Version]
Publisher’s Note: MDPI stays neutral with regard to jurisdictional claims in published maps and institutional affiliations. |
© 2022 by the authors. Licensee MDPI, Basel, Switzerland. This article is an open access article distributed under the terms and conditions of the Creative Commons Attribution (CC BY) license (https://creativecommons.org/licenses/by/4.0/).







