Anti-Aging Effects of Leontopodium alpinum (Edelweiss) Callus Culture Extract through Transcriptome Profiling
Abstract
1. Introduction
2. Materials and Methods
2.1. Production of Edelweiss Callus
2.2. Culture of Human Skin Cells
2.3. Assessment of Cell Metabolic Activity by MTT Assay
2.4. Assessment of Antioxidant Activity by DPPH Assay
2.5. Assessment of Antioxidant Activity by Hydrogen Peroxide (H2O2) Assay
2.6. Real-Time Reverse Transcription (RT)-PCR
2.7. Clinical Evaluation of LACCE as an Agent for Cosmetics in Vivo
2.8. Measurement of Facial Lifting and Improving Periorbital Wrinkles
2.9. Measurement of Skin Elasticity
2.10. Measurement of Dermal Density and Skin Thickness
2.11. Statistical Test
2.12. Preparation of Libraries for RNA-Seq and Next-Generation Sequencing
2.13. Mapping, Normalization, and Identification of Differentially-Expressed Genes
2.14. Gene Ontology (GO) Term Enrichment Analysis
3. Results
3.1. Preparation of LACCE from Edelweiss
3.2. In Vitro Evaluation of LACCE as an Anti-Aging Agent
3.3. In Vitro Evaluation of LACCE Extract as an Anti-Inflammatory Agent
3.4. In Vitro Evaluation of LACCE Extract Associated with the Moisturizing Effect
3.5. In Vitro Evaluation of LACCE Extract as an Anti-Wrinkle Agent
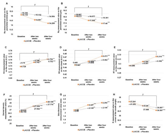
3.6. Clinical Evaluation of LACCE on Facial Lifting and Improving Periorbital Wrinkles, Skin Elasticity, Dermal Density, and Skin Thickness
3.7. Transcriptome Analysis of HaCaT Cells in Response to LACCE by RNA-Seq
3.8. Functional Roles of Up-Regulated Genes in Response to LACCE
4. Discussion
5. Conclusions
Supplementary Materials
Author Contributions
Funding
Conflicts of Interest
References
- Blöch, C.; Dickoré, W.; Samuel, R.; Stuessy, T. Molecular phylogeny of the edelweiss (Leontopodium, Asteraceae–Gnaphalieae). Edinburgh J. Bot. 2010, 67, 235–264. [Google Scholar] [CrossRef]
- Kala, C.P.; Ratajc, P. High altitude biodiversity of the Alps and the Himalayas: Ethnobotany, plant distribution and conservation perspective. Biodivers. Conserv. 2012, 21, 1115–1126. [Google Scholar] [CrossRef]
- Speroni, E.; Schwaiger, S.; Egger, P.; Berger, A.-T.; Cervellati, R.; Govoni, P.; Guerra, M.C.; Stuppner, H. In vivo efficacy of different extracts of Edelweiss (Leontopodium alpinum Cass.) in animal models. J. Ethnopharmacol. 2006, 105, 421–426. [Google Scholar] [CrossRef] [PubMed]
- Daniela, L.; Alla, P.; Maurelli, R.; Elena, D.; Giovanna, P.; Vladimir, K.; Roberto, D.T.; Chiara, D.L.; Saveria, P.; Liudmila, K. Anti-inflammatory effects of concentrated ethanol extracts of Edelweiss (Leontopodium alpinum Cass.) callus cultures towards human keratinocytes and endothelial cells. Mediat. Inflamm. 2012, 2012, 1–12. [Google Scholar] [CrossRef] [PubMed]
- Hornick, A.; Schwaiger, S.; Rollinger, J.M.; Vo, N.P.; Prast, H.; Stuppner, H. Extracts and constituents of Leontopodium alpinum enhance cholinergic transmission: Brain ACh increasing and memory improving properties. Biochem. Pharmacol. 2008, 76, 236–248. [Google Scholar] [CrossRef]
- Marlot, L.; Batteau, M.; Escofet, M.-C.; Nuccio, S.; Coquoin, V.; De Vaumas, R.; Faure, K. Two-dimensional multi-heart cutting centrifugal partition chromatography–liquid chromatography for the preparative isolation of antioxidants from Edelweiss plant. J. Chromatogr. A 2017, 1504, 55–63. [Google Scholar] [CrossRef]
- Dobner, M.J.; Schwaiger, S.; Jenewein, I.H.; Stuppner, H. Antibacterial activity of Leontopodium alpinum (Edelweiss). J. Ethnopharmacol. 2003, 89, 301–303. [Google Scholar] [CrossRef]
- Ganzera, M.; Greifeneder, V.; Schwaiger, S.; Stuppner, H. Chemical profiling of Edelweiss (Leontopodium alpinum Cass.) extracts by micellar electrokinetic capillary chromatography. Fitoterapia 2012, 83, 1680–1686. [Google Scholar] [CrossRef]
- Wawrosch, C.; Schwaiger, S.; Stuppner, H.; Kopp, B. Lignan formation in hairy root cultures of Edelweiss (Leontopodium nivale ssp. alpinum (Cass.) Greuter). Fitoterapia 2014, 97, 219–223. [Google Scholar] [CrossRef]
- Safer, S.; Cicek, S.S.; Pieri, V.; Schwaiger, S.; Schneider, P.; Wissemann, V.; Stuppner, H. Metabolic fingerprinting of Leontopodium species (Asteraceae) by means of 1H NMR and HPLC–ESI-MS. Phytochemistry 2011, 72, 1379–1389. [Google Scholar] [CrossRef]
- Vasil, I.K.; Vasil, V. Totipotency and embryogenesis in plant cell and tissue cultures. In Vitro 1972, 8, 117–125. [Google Scholar] [CrossRef] [PubMed]
- Fay, M.F. Conservation of rare and endangered plants using in vitro methods. In Vitro Cell. Dev. Biol.-Plant 1992, 28, 1–4. [Google Scholar] [CrossRef]
- Irvani, N.; Solouki, M.; Omidi, M.; Zare, A.; Shahnazi, S.J.P.C. Callus induction and plant regeneration in Dorem ammoniacum D., an endangered medicinal plant. Plant Cell Tissue Organ Cult. 2010, 100, 293–299. [Google Scholar] [CrossRef]
- Trehan, S.; Michniak-Kohn, B.; Beri, K. Plant stem cells in cosmetics: Current trends and future directions. Fut. Sci. 2017, 3, FSO226. [Google Scholar] [CrossRef]
- Murashige, T.; Skoog, F. A revised medium for rapid growth and bio assays with tobacco tissue cultures. Physiol. Plant. 1962, 15, 473–497. [Google Scholar] [CrossRef]
- Mosmann, T. Rapid colorimetric assay for cellular growth and survival: Application to proliferation and cytotoxicity assays. J. Immunol. Methods 1983, 65, 55–63. [Google Scholar] [CrossRef]
- Van Meerloo, J.; Kaspers, G.J.; Cloos, J. Cell Sensitivity Assay: The MTT Assay. In Cancer Cell Culture; Springer Nature Switzerland AG: Basel, Switzerland, 2011; pp. 237–245. [Google Scholar]
- Blois, M.S. Antioxidant determinations by the use of a stable free radical. Nature 1958, 181, 1199. [Google Scholar] [CrossRef]
- Kucukural, A.; Yukselen, O.; Ozata, D.M.; Moore, M.J.; Garber, M. DEBrowser: Interactive differential expression analysis and visualization tool for count data. BMC Genom. 2019, 20, 6. [Google Scholar] [CrossRef]
- Eden, E.; Navon, R.; Steinfeld, I.; Lipson, D.; Yakhini, Z. GOrilla: A tool for discovery and visualization of enriched GO terms in ranked gene lists. BMC Bioinform. 2009, 10, 48. [Google Scholar] [CrossRef]
- Moretti, U.; Velo, G. Cosmetovigilance: The ’beautiful’ risk. Drug Saf. 2008, 31, 437–440. [Google Scholar] [CrossRef]
- Millikan, L.E. Cosmetology, cosmetics, cosmeceuticals: Definitions and regulations. Clin. Dermatol. 2001, 19, 371–374. [Google Scholar] [CrossRef]
- Schwaiger, S.; Cervellati, R.; Seger, C.; Ellmerer, E.P.; About, N.; Renimel, I.; Godenir, C.; André, P.; Gafner, F.; Stuppner, H. Leontopodic acid—A novel highly substituted glucaric acid derivative from edelweiss (Leontopodium alpinum Cass.) and its antioxidative and DNA protecting properties. Tetrahedron 2005, 61, 4621–4630. [Google Scholar] [CrossRef]
- Dobner, M.J.; Sosa, S.; Schwaiger, S.; Altinier, G.; Della Loggia, R.; Kaneider, N.C.; Stuppner, H. Anti-inflammatory activity of Leontopodium alpinum and its constituents. Planta Med. 2004, 70, 502–508. [Google Scholar] [CrossRef] [PubMed]
- Candi, E.; Schmidt, R.; Melino, G. The cornified envelope: A model of cell death in the skin. Nat. Rev. Mol. Cell Biol. 2005, 6, 328. [Google Scholar] [CrossRef] [PubMed]
- Eckhart, L.; Lippens, S.; Tschachler, E.; Declercq, W. Cell death by cornification. Biochim. Biophys. Acta (BBA) Mol. Cell Res. 2013, 1833, 3471–3480. [Google Scholar] [CrossRef] [PubMed]
- Doles, J.; Storer, M.; Cozzuto, L.; Roma, G.; Keyes, W.M. Age-associated inflammation inhibits epidermal stem cell function. Genes Dev. 2012, 26, 2144–2153. [Google Scholar] [CrossRef] [PubMed]
- Nanashima, N.; Ito, K.; Ishikawa, T.; Nakano, M.; Nakamura, T. Damage of hair follicle stem cells and alteration of keratin expression in external radiation-induced acute alopecia. Int. J. Mol. Med. 2012, 30, 579–584. [Google Scholar] [CrossRef]
- Giroux, V.; Lento, A.A.; Islam, M.; Pitarresi, J.R.; Kharbanda, A.; Hamilton, K.E.; Whelan, K.A.; Long, A.; Rhoades, B.; Tang, Q. Long-lived keratin 15+ esophageal progenitor cells contribute to homeostasis and regeneration. J. Clin. Investig. 2017, 127, 2378–2391. [Google Scholar] [CrossRef]
- Ito, M.; Liu, Y.; Yang, Z.; Nguyen, J.; Liang, F.; Morris, R.J.; Cotsarelis, G. Stem cells in the hair follicle bulge contribute to wound repair but not to homeostasis of the epidermis. Nat. Med. 2005, 11, 1351. [Google Scholar] [CrossRef]
- Pinto, J.A.; Rolfo, C.; Raez, L.E.; Prado, A.; Araujo, J.M.; Bravo, L.; Fajardo, W.; Morante, Z.D.; Aguilar, A.; Neciosup, S.P. In silico evaluation of DNA damage inducible transcript 4 gene (DDIT4) as prognostic biomarker in several malignancies. Sci. Rep. 2017, 7, 1526. [Google Scholar] [CrossRef]
- Molitoris, J.K.; McColl, K.S.; Swerdlow, S.; Matsuyama, M.; Lam, M.; Finkel, T.H.; Matsuyama, S.; Distelhorst, C.W. Glucocorticoid elevation of dexamethasone-induced gene 2 (Dig2/RTP801/REDD1) protein mediates autophagy in lymphocytes. J. Biol. Chem. 2011, 286, 30181–30189. [Google Scholar] [CrossRef] [PubMed]
- Wang, Z.; Malone, M.H.; Thomenius, M.J.; Zhong, F.; Xu, F.; Distelhorst, C.W. Dexamethasone-induced gene 2 (dig2) is a novel pro-survival stress gene induced rapidly by diverse apoptotic signals. J. Biol. Chem. 2003, 278, 27053–27058. [Google Scholar] [CrossRef] [PubMed]
- Singh, A.; Azad, M.; Shymko, M.D.; Henson, E.S.; Katyal, S.; Eisenstat, D.D.; Gibson, S.B. The BH3 only Bcl-2 family member BNIP3 regulates cellular proliferation. PLoS ONE 2018, 13, e0204792. [Google Scholar] [CrossRef] [PubMed]
- Moriyama, M.; Moriyama, H.; Uda, J.; Kubo, H.; Nakajima, Y.; Goto, A.; Morita, T.; Hayakawa, T. BNIP3 upregulation via stimulation of ERK and JNK activity is required for the protection of keratinocytes from UVB-induced apoptosis. Cell Death Dis. 2017, 8, e2576. [Google Scholar] [CrossRef]
- Hong, S.; Kim, M.-M. IGFBP-3 plays an important role in senescence as an aging marker. Environ. Toxicol. Pharmacol. 2018, 59, 138–145. [Google Scholar] [CrossRef]
- Baege, A.C.; Disbrow, G.L.; Schlegel, R. IGFBP-3, a marker of cellular senescence, is overexpressed in human papillomavirus-immortalized cervical cells and enhances IGF-1-induced mitogenesis. J. Virol. 2004, 78, 5720–5727. [Google Scholar] [CrossRef]
- Tripp, B.C.; Smith, K.; Ferry, J.G. Carbonic anhydrase: New insights for an ancient enzyme. J. Biol. Chem. 2001, 276, 48615–48618. [Google Scholar] [CrossRef]
- Supuran, C.T. Carbonic anhydrases—An overview. Curr. Pharm. Design 2008, 14, 603–614. [Google Scholar] [CrossRef]
- Barker, H.; Aaltonen, M.; Pan, P.; Vähätupa, M.; Kaipiainen, P.; May, U.; Prince, S.; Uusitalo-Järvinen, H.; Waheed, A.; Pastoreková, S. Role of carbonic anhydrases in skin wound healing. Exp. Mol. Med. 2017, 49, e334. [Google Scholar] [CrossRef]
- Pollard, A.; Shephard, F.; Freed, J.; Liddell, S.; Chakrabarti, L. Mitochondrial proteomic profiling reveals increased carbonic anhydrase II in aging and neurodegeneration. Aging (Albany NY) 2016, 8, 2425. [Google Scholar] [CrossRef]
- Schmidt, M.O.; Garman, K.A.; Lee, Y.G.; Zuo, C.; Beck, P.J.; Tan, M.; Aguilar-Pimentel, J.A.; Ollert, M.; Schmidt-Weber, C.; Fuchs, H. The role of fibroblast growth factor-binding protein 1 in skin carcinogenesis and inflammation. J. Investig. Dermatol. 2018, 138, 179–188. [Google Scholar] [CrossRef] [PubMed]
- Kurtz, A.; Aigner, A.; Cabal-Manzano, R.H.; Butler, R.E.; Hood, D.R.; Sessions, R.B.; Czubayko, F.; Wellstein, A. Differential regulation of a fibroblast growth factor-binding protein during skin carcinogenesis and wound healing. Neoplasia 2004, 6, 595–602. [Google Scholar] [CrossRef] [PubMed][Green Version]
- Tassi, E.; McDonnell, K.; Gibby, K.A.; Tilan, J.U.; Kim, S.E.; Kodack, D.P.; Schmidt, M.O.; Sharif, G.M.; Wilcox, C.S.; Welch, W.J. Impact of Fibroblast Growth Factor-Binding Protein–1 Expression on Angiogenesis and Wound Healing. Am. J. Pathol. 2011, 179, 2220–2232. [Google Scholar] [CrossRef] [PubMed]
- Chung, M.J.; Hogstrand, C.; Lee, S.-J. Cytotoxicity of nitric oxide is alleviated by zinc-mediated expression of antioxidant genes. Exp. Biol. Med. 2006, 231, 1555–1563. [Google Scholar] [CrossRef] [PubMed]
- Marionnet, C.; Pierrard, C.; Lejeune, F.; Sok, J.; Thomas, M.; Bernerd, F. Different oxidative stress response in keratinocytes and fibroblasts of reconstructed skin exposed to non extreme daily-ultraviolet radiation. PLoS ONE 2010, 5, e12059. [Google Scholar] [CrossRef]
- Avecilla, V.; Doke, M.; Felty, Q. Contribution of Inhibitor of DNA Binding/Differentiation-3 and Endocrine Disrupting Chemicals to Pathophysiological Aspects of Chronic Disease. BioMed. Res. Int. 2017, 2017, 1–22. [Google Scholar] [CrossRef]
- Shi, Y.; Reitmaier, B.; Regenbogen, J.; Slowey, R.M.; Opalenik, S.R.; Wolf, E.; Goppelt, A.; Davidson, J.M. CARP, a cardiac ankyrin repeat protein, is up-regulated during wound healing and induces angiogenesis in experimental granulation tissue. Am. J. Pathol. 2005, 166, 303–312. [Google Scholar] [CrossRef]
- Samaras, S.E.; Almodóvar-García, K.; Wu, N.; Yu, F.; Davidson, J.M. Global deletion of Ankrd1 results in a wound-healing phenotype associated with dermal fibroblast dysfunction. Am. J. Pathol. 2015, 185, 96–109. [Google Scholar] [CrossRef]
- Zhang, C.-S.; Liu, Q.; Li, M.; Lin, S.-Y.; Peng, Y.; Wu, D.; Li, T.Y.; Fu, Q.; Jia, W.; Wang, X. RHOBTB3 promotes proteasomal degradation of HIFα through facilitating hydroxylation and suppresses the Warburg effect. Cell Res. 2015, 25, 1025. [Google Scholar] [CrossRef]
- Lu, J.; Pan, Q.; Rong, L.; Liu, S.-L.; Liang, C. The IFITM proteins inhibit HIV-1 infection. J. Virol. 2011, 85, 2126–2137. [Google Scholar] [CrossRef]
- Liu, X.; Duan, X.; Holmes, J.A.; Li, W.; Lee, S.H.; Tu, Z.; Zhu, C.; Salloum, S.; Lidofsky, A.; Schaefer, E.A. A Long Noncoding RNA Regulates Hepatitis C Virus Infection Through Interferon Alpha–Inducible Protein 6. Hepatology 2019, 69, 1004–1019. [Google Scholar] [CrossRef] [PubMed]
- Richardson, R.B.; Ohlson, M.B.; Eitson, J.L.; Kumar, A.; McDougal, M.B.; Boys, I.N.; Mar, K.B.; Pamela, C.; Douglas, C.; Konopka, G. A CRISPR screen identifies IFI6 as an ER-resident interferon effector that blocks flavivirus replication. Nat. Microbiol. 2018, 3, 1214. [Google Scholar] [CrossRef] [PubMed]






| Purpose | Formulation |
|---|---|
| The decreased rate | Rate of decrease (%) = (measurement prior to sample use − measurement after sample use)/measurement prior to sample use × 100 |
| The increased rate | Rate of increase (%) = (measurement after product use − measurement before product use)/measurement before product use × 100 |
| After 2 Weeks | After 4 Weeks | |||
|---|---|---|---|---|
| Rates of decrease (%) | LACCE | Ra | 3.654 | 6.118 |
| Rq | 3.583 | 6.189 | ||
| Placebo | Ra | 1.330 | 2.490 | |
| Rq | 1.537 | 2.681 | ||
| After 2 Weeks | After 4 Weeks | |||
|---|---|---|---|---|
| Rates of increase (%) | LACCE | R2 | 1.923 | 3.296 |
| R5 | 2.460 | 5.816 | ||
| R7 | 3.040 | 6.756 | ||
| Placebo | R2 | 1.081 | 1.621 | |
| R5 | 1.113 | 2.895 | ||
| R7 | 1.689 | 3.378 | ||
| After 2 Weeks | After 4 Weeks | |||
|---|---|---|---|---|
| Rates of increase (%) | Dermal density | LACCE | 3.062 | 5.466 |
| Placebo | 2.249 | 3.118 | ||
| Skin thickness | LACCE | 7.067 | 10.192 | |
| Placebo | 4.146 | 4.829 | ||
| Sample | Condition | Accession Number | Total Reads (bp) | Total Reads | Guanine-Cytosine GC(%) |
|---|---|---|---|---|---|
| C1 | Control sample replicate 1 | SRR9127735 | 3,875,300,108 | 38,369,308 | 50.05 |
| C2 | Control sample replicate 2 | SRR9127736 | 3,310,443,872 | 32,776,672 | 49.9 |
| C3 | Control sample replicate 3 | SRR9127737 | 3,820,715,264 | 37,828,864 | 49.94 |
| T1 | LACCE-treated sample replicate 1 | SRR9127738 | 4,306,640,000 | 42,640,000 | 50.31 |
| T2 | LACCE-treated sample replicate 2 | SRR9127733 | 3,919,963,924 | 38,811,524 | 50.53 |
| T3 | LACCE-treated sample replicate 3 | SRR9127734 | 4,102,275,590 | 40,616,590 | 50.17 |
| Gene Expression | Accession Number | Gene Function | Gene Symbol | log2 (Fold Change) | p-Value |
|---|---|---|---|---|---|
| Down-regulated | NM_002167.4 | inhibitor of DNA binding 3, HLH protein | ID3 | −1.352225574 | 1.33E-07 |
| Down-regulated | NM_014391.2 | ankyrin repeat domain 1 | ANKRD1 | −3.246186082 | 2.88E-07 |
| Down-regulated | NM_014899.3 | Rho related BTB domain containing 3 | RHOBTB3 | −1.143226842 | 2.39E-06 |
| Down-regulated | NR_003286.4 | RNA, 18S ribosomal N5 | RNA18SN5 | −2.579638571 | 3.86E-211 |
| Up-regulated | NM_000067.2 | carbonic anhydrase 2 | CA2 | 1.410938268 | 1.2145E-06 |
| Up-regulated | NM_000598.4 | insulin like growth factor binding protein 3 | IGFBP3 | 1.073197686 | 5.02E-16 |
| Up-regulated | NM_002275.3 | keratin 15 | KRT15 | 1.785827844 | 1.96E-23 |
| Up-regulated | NM_004052.3 | BCL2 interacting protein 3 | BNIP3 | 1.614937875 | 6.09E-09 |
| Up-regulated | NM_005130.4 | fibroblast growth factor binding protein 1 | FGFBP1 | 1.668660016 | 2.60E-24 |
| Up-regulated | NM_019058.3 | DNA damage inducible transcript 4 | DDIT4 | 1.192362381 | 5.33E-09 |
© 2020 by the authors. Licensee MDPI, Basel, Switzerland. This article is an open access article distributed under the terms and conditions of the Creative Commons Attribution (CC BY) license (http://creativecommons.org/licenses/by/4.0/).
Share and Cite
Cho, W.K.; Kim, H.-I.; Kim, S.-Y.; Seo, H.H.; Song, J.; Kim, J.; Shin, D.S.; Jo, Y.; Choi, H.; Lee, J.H.; et al. Anti-Aging Effects of Leontopodium alpinum (Edelweiss) Callus Culture Extract through Transcriptome Profiling. Genes 2020, 11, 230. https://doi.org/10.3390/genes11020230
Cho WK, Kim H-I, Kim S-Y, Seo HH, Song J, Kim J, Shin DS, Jo Y, Choi H, Lee JH, et al. Anti-Aging Effects of Leontopodium alpinum (Edelweiss) Callus Culture Extract through Transcriptome Profiling. Genes. 2020; 11(2):230. https://doi.org/10.3390/genes11020230
Chicago/Turabian StyleCho, Won Kyong, Hye-In Kim, Soo-Yun Kim, Hyo Hyun Seo, Jihyeok Song, Jiyeon Kim, Dong Sun Shin, Yeonhwa Jo, Hoseong Choi, Jeong Hun Lee, and et al. 2020. "Anti-Aging Effects of Leontopodium alpinum (Edelweiss) Callus Culture Extract through Transcriptome Profiling" Genes 11, no. 2: 230. https://doi.org/10.3390/genes11020230
APA StyleCho, W. K., Kim, H.-I., Kim, S.-Y., Seo, H. H., Song, J., Kim, J., Shin, D. S., Jo, Y., Choi, H., Lee, J. H., & Moh, S. H. (2020). Anti-Aging Effects of Leontopodium alpinum (Edelweiss) Callus Culture Extract through Transcriptome Profiling. Genes, 11(2), 230. https://doi.org/10.3390/genes11020230

