Abstract
The introduction of novel drugs (PD-1 inhibitors and/or brentuximab vedotin) into salvage regimens has improved the response rate and the outcome of patients with relapsed/refractory Hodgkin lymphoma. However, the impact of new drugs on the outcome has not been adequately investigated so far. We retrospectively analyzed 42 consecutive patients treated at our institution with high-dose chemotherapy/autologous stem cell transplantation after either one standard chemotherapy represented by BEGEV (n = 28) or >1 salvage therapy (ST) comprising novel drugs (n = 14). With a median follow-up of 24 months, the 2-year cumulative incidence of relapse was similar between the two cohorts: 26% for 1 ST and 18% for >1 ST (p = 0.822). Consistently, overall survival and progression-free survival did not differ among the two groups: 3-year overall survival was 91% and 89% (p = 0.731), respectively, and 3-year progression-free survival was 74% and 83% (p = 0.822) for only one and more than one salvage regimens, respectively. Of note, the post-transplant side effects and engraftment rates were similar between the 1 ST and >1 ST cohorts. In conclusion, consolidation with high-dose chemotherapy/autologous stem cell transplantation is a safe and curative option, even for patients achieving disease response after more than one rescue line of therapy.
1. Introduction
High-dose chemotherapy (HDT) followed by autologous stem cell transplantation (ASCT) represents the standard of care treatment for relapsed/refractory (R/R) Hodgkin lymphoma (HL) [1]. This recommendation is based on the results of two randomized clinical trials showing improved outcomes for patients undergoing salvage chemotherapy followed by consolidation with HDT/ASCT relative to conventional chemotherapy alone [2,3]. Nevertheless, only 50% of patients with refractory HL can be cured by HDT/ASCT [1,4], and the outcome may vary based on several prognostic factors, such as primary refractory disease [5], relapse within 12 months of initial treatment, extranodal disease, bulky disease, active disease at the time of transplant and the presence of B symptoms [6,7].
The outcome of patients with R/R HL has improved in recent years due to the introduction of novel target therapies and a new combination of chemotherapies. First-line salvage treatment with BEGEV (bendamustine, gemcitabine, vinorelbine) resulted in a 5-year progression-free survival (PFS) of 77% [8]. Brentuximab vedotin (BV) as the first salvage treatment was associated with an overall response rate (ORR) > 80% [9,10,11]; however, the complete remission (CR) rate was <40%, and 5-year overall survival (OS) and PFS were 41% and 22%, respectively [12]. Consistently, PD-1 inhibitors provided excellent ORR [12], regardless of previous exposure to BV [13], but CR rates were particularly low (16–17%) [13,14]. The combination of BV and PD-1 inhibitors as the first salvage treatment was very promising, yielding a 3-year PFS of 77% for patients undergoing ASCT [15], a result consistent with the results achieved with BEGEV. In accordance with all these findings, the Stanford University has recently showed an improved outcome for patients with R/R HL undergoing HDT/ASCT between 2011 and 2020 relative to the previous decade, due to better salvage therapies either before or after ASCT [16].
While consolidation with HDT/ASCT is a well-established approach in cases of response to first salvage therapy, the best strategy for patients refractory to the front-line salvage regimen for R/R HL is still a matter of debate [17]. In patients with chemo-refractory disease, many centers have employed novel target therapies as a second-line salvage regimen, followed by consolidation with allogeneic stem cell transplantation (Allo-SCT) when disease response was achieved. This strategy succeeded at the expense of increased potential toxicity, especially when checkpoint inhibitors (CPIs) [18] were employed. More recently, promising outcomes have been described for patients receiving HDT/ASCT as a consolidation regimen after salvage therapies with BV [17,19] or CPI [20,21]. Nevertheless, it is not well known whether patients undergoing consolidation with HDT/ASCT beyond first-line salvage therapy (ST) have similar outcomes to those receiving only one salvage line. This question is relevant to draw the best strategy for this subset of R/R HL patients.
In order to address this question, we conducted a retrospective analysis at our institution, comparing the outcome of patients undergoing HDT/ASCT after either first-line salvage chemotherapy or two or more lines of therapy comprising new target therapies.
2. Patients and Methods
2.1. Setting and Design
This is a retrospective, monocentric study conducted at the Humanitas Cancer Center (Rozzano, Italy), a referral center for oncological disease treatment in northern Italy. Consecutive patients with R/R HL and treated with HDT and ASCT from January 2018 to December 2022 were identified according to the following inclusion criteria: patients with primary refractory or relapsed HL receiving ASCT as consolidation treatment; patients achieving either complete or partial remission (PR) after a salvage regimen; and patients receiving either second-line chemotherapy followed by HDT/ASCT or more than one salvage regimen followed by HDT/ASCT. Exclusion criteria comprised patients receiving HDT/ASCT not in CR or PR; patients being treated with CPI or BV as front-line therapy for HL; patients receiving tandem ASCT-allogeneic transplantation; and those receiving Allo-SCT as a consolidation regimen. In total, 42 patients were analyzed. Of them, 28 (67%) received one line of salvage treatment, while 14 (33%) received two or more lines. Of note, 11 patients were excluded from the analysis because their pre-transplant disease status was represented either by stable (SD, n = 6) or progressive disease (PD, n = 5).
The Institutional Review Board of the Humanitas Cancer Institute approved the study. The study code is ONC/OSS-23/2023. Approval date was 12 December 2023; approval code: 47/2023. All procedures were performed in line with the Helsinki Declaration. All patients signed informed consent for the use of their data for research purposes.
2.2. HL Diagnosis and Definitions
HL was diagnosed by performing a biopsy of a lymph node or extranodal disease when present. In the case of relapsed or refractory disease, a new biopsy was usually performed, especially when new disease sites occurred. All patients had a diagnosis of classical HL according to previously reported criteria [22]. In particular, diagnosis was based on the identification of neoplastic cells that were further immunophenotypically characterized by using the following markers: CD30, CD15, CD3, CD20, MUM1, PAX5, ALK and EBV/LMP1. Refractory HL was defined according to previous publications [23] by progression at any time during chemotherapy and up to 3 months after the end of chemotherapy, by failure to achieve at least PR with first-line therapy or by the persistence of significant (score 4 or 5/5) residual FDG metabolic activity using the quantitative 5-point scale Deauville score.
2.3. Salvage Therapy, Autologous Stem Cell Harvest and HDT
All patients within the cohort undergoing HDT and ASCT after one ST received BEGEV chemotherapy (bendamustine 90 mg/mq on days 1–2, gemcitabine 800 mg/mq on days 1 and 4, vinorelbine 20 mg/mq on day 1) [8]. Among the patients receiving HDT and ASCT after two or more STs, most received BEGEV, while one was treated with IGEV chemotherapy (ifosfamide 2 g/m2 on days 1–4, gemcitabine 800 mg/mq on days 1 and 4, vinorelbine 20 mg/mq on days 1 and 4). Non-chemotherapy drugs comprised BV 1.8 mg/kg every 3 weeks, pembrolizumab 200 mg every 3 weeks or a combination treatment consisting of BV plus pembrolizumab or BV plus bendamustine. Stem cell harvest was attempted in all patients during the first salvage chemotherapy by administering G-CSF at a dosage of 5 µg/kg starting on day +7 after the beginning of chemotherapy. The minimum number of stem cells required to proceed to HDT was 2 × 106 CD34/kg. HDT consisted of FEAM (fotemustine 150 mg/mq on days 1–2, etoposide 200 mg/mq on days 3–6, cytarabine 400 mg/mq on days 3–6 and melphalan 140 mg/mq on day 7) in all patients.
All patients received prophylaxis against bacterial, virus and fungal infections. Antimicrobial prophylaxis was begun at the hospital during the conditioning regimen and consisted of acyclovir at 800 mg per day and levofloxacin at 500 mg per day. Low-dose oral fluconazole (100 mg/day) was started during the conditioning regimen and withdrawn at the end of the aplastic phase.
2.4. Engraftment
Neutrophil engraftment was defined as the first of three consecutive days with an absolute neutrophil count (ANC) of 0.5 × 109/L after transplantation. Platelet engraftment was defined as a platelet count of 20 × 109/L, with no transfusions during the preceding 7 days.
2.5. Routine Surveillance and Infection Definitions
All patients were placed in HEPA-filtered single rooms from the beginning of the conditioning until neutrophil recovery (defined as ANC > 0.5/L). They received a low microbial diet. For blood vessel access, a central venous line was placed. In the case of fever (defined when the temperature was >38 °C), the following examinations were performed: duplicate blood cultures; a high-resolution thorax CT scan; and bronco-alveolar lavage when possible, in the case of lung abnormality. Pneumonia was diagnosed when a new lung area of consolidation or ground glass was identified via a CT scan according to the forementioned schedule. Bacteriemia was diagnosed when a bloodstream infection was identified via blood cultures performed as previously described. Septic shock was defined according to Quick SOFA criteria when vasopressors were required to maintain a median arterial pressure ≧ 65 mmHg plus a serum lactate level >2 mmol/L in the absence of ipovolemia.
2.6. Statistical Analysis
Categorical variables are expressed as numbers and proportions, and continuous variables are expressed as medians with the respective range. OS was calculated as the time from transplant to death from any cause or to the last follow-up for patients alive. PFS was calculated as the time from transplant to relapse/progression, death by any cause or last follow-up. OS and PFS were estimated and are displayed using the Kaplan–Meier method [24]. Non-relapse mortality (NRM) was defined as death from transplant-related side effects. For the calculation of NRM, disease relapse or progression was treated as a competing event. In contrast, NRM was the competing event for calculating the cumulative incidence (CI) of relapse or progression [25]. Univariate analyses were performed, the log-rank test was used to compare the groups in terms of PFS and OS, and Grey’s test was used to compare cumulative incidence. Statistical significance was set at a level of 0.050. A statistical analysis was performed with SAS v. 9.4 and R v. 4.2.
3. Results
3.1. Patients’ Characteristics
The patients’ characteristics are summarized in Table 1. The median age of the whole population was 35 years: the patients receiving one chemotherapy only (1 ST) were slightly older than the ones in the >1 ST cohort (37 vs. 32 years old). Male/female gender was equally represented in the two groups. Lugano stage and the presence of extranodal disease at diagnosis were similar between the two cohorts. The Lugano stage and extranodal site consistently did not differ at the time of disease relapse or progression. All patients had responsive disease and were either in CR (n = 41; 98%) or PR (n = 1; 2%). The two cohorts were comparable in terms of refractory versus relapsed disease and time to relapse (≤12 vs. >12 months; p = 0.294).
Table 1.
Patients’ characteristics.
In total, 14 patients received non-chemotherapy drugs. Among them, nine received two lines, four received three lines, and one patient had four lines of therapies before consolidation. The salvage lines are summarized in Figure 1.
Figure 1.
Treatment schedule before HDT/ASCT. Detailed sequence of salvage treatments performed in patients with Rel or Ref Hodgkin lymphoma. The one-salvage-line cohort received only chemotherapy consisting of BEGEV or IGEV. The >1 salvage line group received, besides chemotherapy, new target therapy drugs (BV or Pembro) as rescue before autologous stem cell transplantation (ASCT). ABVD: adriamycin, bleomycin, vinblastine, dacarbazine; ASCT: autologous stem cell transplantation; BEACOPP: doxorubicin, cyclophosphamide, etoposide, procarbazine, prednisolone, vincristine, bleomycin; BEGEV: bendamustin, gemcitabine, vinblastine; BV: brentuximab vedotin; IGEV: ifosfamide, etoposide, vinblastine; VACOP: doxorubicin, cyclophosphamide, etoposide, prednisolone, vincristine, bleomycin; Pembro: pembrolizumab; Pts: Patients; Ref: refractory; Rel: relapsed.
3.2. Engraftment
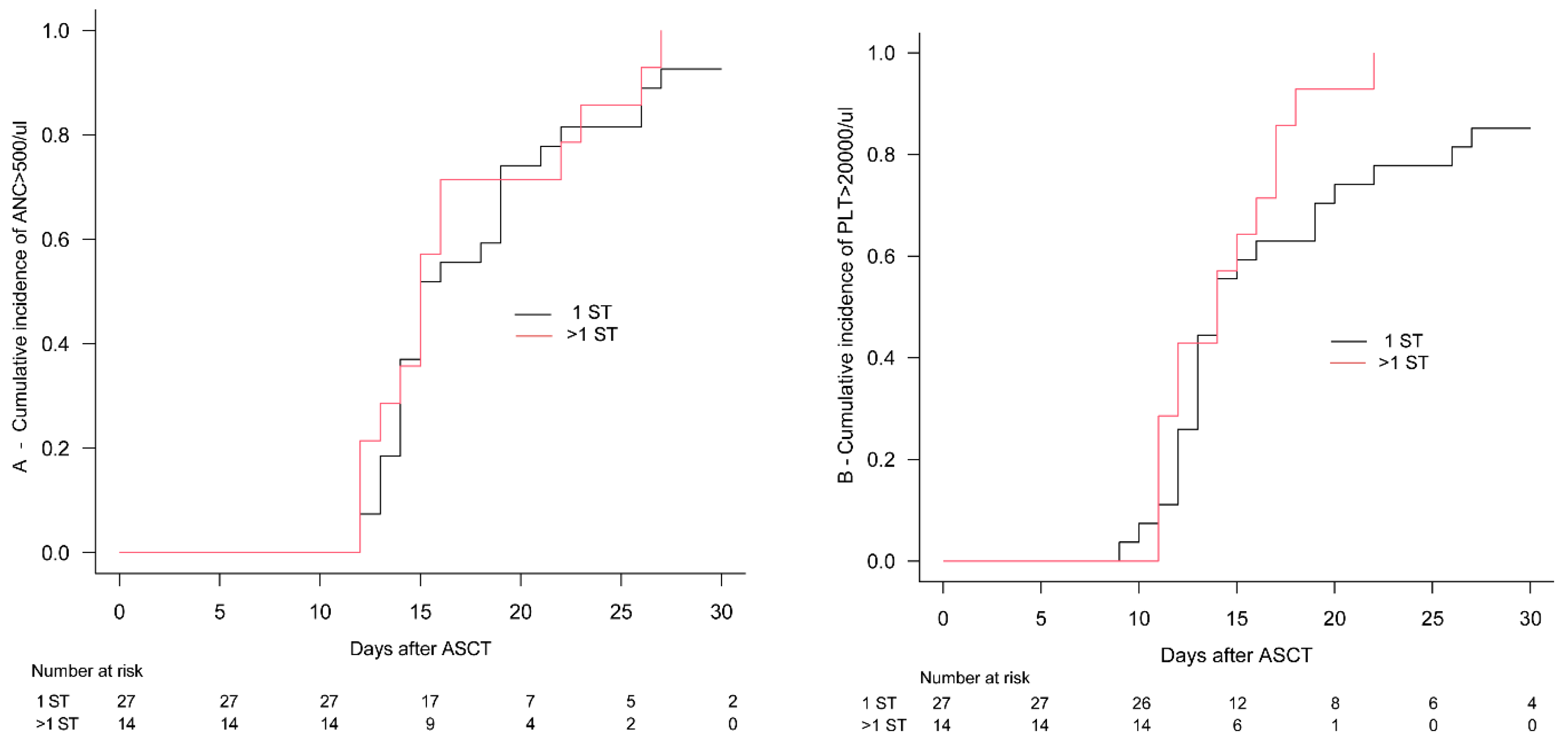
The median time to achieve unsupported ANC counts was 15 days for both the cohort receiving 1 ST (range 12–54) and the one treated with >1 ST (range 12–27; p = 0.442). Consistently, the 30-day cumulative incidence of engraftment did not differ among the two cohorts (93% vs. 100%; p = 0.523), as reported in Figure 2A. Of note, the median number of infused CD34+ stem cells was similar among the two cohorts: 5.5 × 106/kg (range: 3.0–9.6) vs. 5.6 × 106/kg (range: 2.3–7.6; p = 0.857).
Figure 2.
Cumulative incidence of engraftment. The 30-day cumulative incidence of neutrophil (A) and platelet (B) engraftment in the 1 salvage chemotherapy cohort (1 ST: black line) and in >1 rescue treatment (comprising brentuximab vedotin and checkpoint inhibitors) group (>1 ST: red line). ANC: absolute neutrophil count; ASCT: autologous stem cell transplantation; PLT: platelet; ST: salvage therapy.
The median time to achieve platelet counts above 20,000/µL was 14 days in both cohorts (p = 0.216), and the 30-day cumulative incidence of platelet engraftment was 85% vs. 100% for the 1 ST cohort vs. the >1 ST group (Figure 2B, p = 0.093).
3.3. ASCT Toxicity
Toxicity after HDT was quite similar in the two cohorts. The most common adverse events were oral mucositis, which was grade 2 (G2) or 3 (G3) in most patients, and diarrhea, which was usually G2 or G3 (Table 2). Infectious complications consisted of fever of unknown origin in most cases with no difference between the 1 ST line vs. >1 ST cohorts (Table 2). Other infectious complications comprised pneumonia, bacteriemia and septic shock. Of note, there were more viral reactivations in the cohort of subjects treated with only one line of chemotherapy, but this difference was not statistically significant (p = 0.863).
Table 2.
Salvage therapy cohort.
3.4. Outcome after HDT/ASCT
The median follow-up in the whole population was 24 months, with no statistically significant difference between the two groups (24 vs. 23 months, p = 0.512). Five patients had relapsed in the 1 ST cohort compared with two patients in the >1 ST group at a median time of 10 months (range: 5.4–27.7). The cumulative incidence of relapse was comparable among the two cohorts: the 2-year cumulative incidence was 26% versus 18% (p = 0.823; Figure 3A) for the 1 ST cohort vs. >1 ST group, respectively.
Figure 3.
Outcome of Hodgkin lymphoma patients with relapsed or refectory disease. The 2-year cumulative incidence of relapse (A) after ASCT in the 1 salvage line (1 ST: black line) vs. >1 rescue treatment cohorts (>1 ST: red line); Kaplan–Meier estimate of 3-year OS (B) and progression-free survival (C) in the 1 salvage line (1 ST: black line) vs. >1 rescue treatment cohorts (>1 ST: red line). ASCT: autologous stem cell transplantation; OS: overall survival; ST: salvage therapy.
Two patients died, one from each cohort, due to adverse events of Allo-SCT, which was performed for disease relapse.
Three-year OS and PFS for the whole population were 91% and 77%, respectively. OS was similar in the two groups: 3-year OS was 91% for the single-salvage-chemotherapy cohort and 89% for the >1 ST group (p = 0.731; Figure 3B). Consistently, PFS did not differ between the two cohorts: 3-year PFS was 74% in the one-chemotherapy-salvage group and 83% in the >1 ST cohort (p = 0.822; Figure 3C).
No patients experienced NRM in the two cohorts.
The univariate analysis did not show any association between the main demographic variables and the outcome for both cohorts (Table 3).
Table 3.
Univariate analysis of main variables affecting relapsed/refractory Hodgkin lymphoma patients’ outcomes.
4. Discussion
Even with the limits of its design and small sample size, the results of this retrospective analysis provide further evidence for the curative potential of HDT/ASCT consolidation treatment for R/R HL when disease response is achieved beyond the first salvage line with novel target therapies. Our analysis adds to the existing literature by directly comparing the outcomes of two cohorts of patients undergoing HDT/ASCT after either a standard first salvage line comprising a chemotherapy combination or multiple rescue lines comprising BV and/or CPI.
The introduction of BV and CPI has revolutionized the outcome of patients with R/R HL. HDT/ASCT has been traditionally reserved for patients with chemosensitive relapse due to a more favorable outcome for those achieving a complete metabolic response at the time of PET scan [26]. In the pre-novel agent’s era, only a small fraction of patients refractory to first-line ST were rescued by strategies employing tandem autologous [27] or tandem autologous–allogeneic transplantation [28,29]. Since the introduction of novel agents as a second- or third-salvage line of therapy, the best consolidation strategy has been a matter of debate. Some centers prefer BV or CPI treatment until progression, but 5-year follow-ups of BV and CPI found that only 9% of patients receiving BV monotherapy [12] and 20% of those treated with CPI [30] achieve long-term remission. Other centers have successfully performed consolidation with Allo-SCT given the chemo-refractory nature of the disease, either after BV [31] or CPI [18] rescue, achieving a 3-year PFS of at least 40% [32]. A higher risk of NRM hampers the success of Allo-SCT compared with BV and CPI therapy or with ASCT. Recent studies have suggested that CPI may have a chemosensitizing effect [33,34], with an ORR of 66–82% achieved with a rechallenge with IGEV or BEGEV chemotherapy, allowing for R/R HL patients to be bridged to Allo-SCT. Given the renovated chemosensitivity, HDT/ASCT was rechallenged as a consolidation strategy in R/R HL rescued with CPI, showing a promising 18-month PFS and OS of 81% and 96%, respectively [21].
The results reported in our retrospective report may extend these data because they support the long-term efficacy of HDT/ASCT consolidation for patients achieving disease response with novel agents and suggest that this strategy yields results similar to those of conventional first-line ST comprising chemotherapy combinations. Of note, our 3-year PFS of 77% and 2-year cumulative incidence of relapse of 18% compare well with the results obtained by Merryman et al. [21] and Casadei et al. [20] in the setting of patients undergoing ASCT after CPI salvage therapy, who found a PFS of 81% and 73% at 18 months and 5 years, respectively.
The results of our study are also consistent with those of two other recent reports comprising CPI or BV in the armamentarium of salvage therapies before ASCT. In one, Spinner et al. [16] performed a large (n = 342 patients) single-center-based retrospective analysis comparing the outcome of R/R HL patients undergoing HDT/ASCT between either 2001 and 2010 or 2011 and 2020. This analysis allowed the authors to compare the results achieved with chemotherapy-only salvage strategies or with novel agents comprising BV (57% of patients) or CPI (31% of the patients). Similar to our study, patients undergoing HDT/ASCT in more recent decades had received more lines of salvage therapy than those treated in past decades where chemotherapy represented the only rescue strategy. PFS and OS were similar for patients receiving HD/ASCT after achieving CR either in the older or in the modern era. The outcomes observed in our small cohort compare well with those reported by Spinner et al. [16]: for the cohort receiving novel agents, 3-year OS and PFS were 89% and 83% in our study vs. the 4-year OS and PFS of 89% and 73% in the Stanford analysis. Spinner et al. [16] also reported an enhanced outcome for the cohort of patients receiving pre-ASCT immunotherapy relative to those receiving platinum-based chemotherapy: 4-year PFS was 91% vs. 66%. This observation is similar to that reported by a multicenter study comprising 854 patients with R/R undergoing HDT/ASCT across the United States [35]. In this report, Desai et al. found that patients receiving the combination of BV/nivolumab had higher CR rates and PFS relative to those receiving conventional chemotherapy, while those receiving only BV had lower CR rates. Due to the small size of our cohort, we were not able to compare the outcomes of patients receiving BV or CPI before ASCT: only two patients relapsed in the >1 ST group, one after BV and one after CPI.
Our study has several limitations, namely, the retrospective nature of the analysis and the small sample size. Due to the lack of randomization, the two cohorts are essentially composed of different patients. Nevertheless, the presence of similar pre-transplant characteristics allowed for a statistical comparison between the two groups. Unfortunately, we were not able to increase the size of our cohort in order to achieve more conclusive results either to compare standard chemotherapy vs. novel agents or to compare the outcomes of patients receiving BV vs. CPI. Moreover, our cohort was too small to identify adverse characteristics discouraging HDT/ASCT as a consolidation strategy. Merryman et al. [21] found a less favorable outcome (PFS = 51%) for subjects not responding to PD-1 inhibitors. In our study, the only patient rechallenged with BEGEV chemotherapy after a PD-1 inhibitor failed, relapsed 3 months after HDT/ASCT, even if transplanted in CR. Another limitation of our study is represented by the follow-up. Even though a 24-month median follow-up may capture most events in terms of HL relapse, we may have missed late events due to toxicity or disease relapse, as recently underlined by the publication of the long-term follow-up results of the EORTC/LYSA/FIL H10 trial for localized HL [36].
Salvage therapy with CPIs before Allo-SCT was described to be associated with an increased risk of fatal hyper-acute graft-versus-host disease (GVHD), non-infectious febrile episodes requiring corticosteroids and other immune-related adverse events [37,38]. No data have been published so far in the setting of ASCT. Our results show that rescue treatment with novel agents before HDT/ASCT is not associated with an increased risk of adverse events.
In conclusion, HDT/ASCT retains its curative potential for R/R HL when disease response is achieved beyond the first line. Consolidation with HDT/ASCT should be prioritized over Allo-SCT, given the reduced incidence of adverse events and mortality rate. Whether patients not responding to novel target therapies and achieving CR with chemotherapy rechallenge are a better candidate for consolidation with HDT/ASCT or Allo-SCT needs to be investigated in larger cohorts of clinical trials.
5. Conclusions
The results of this study add to the growing literature supporting consolidation with HDT/ASCT when disease response, either CR or PR, is achieved in R/R HL, even after >1 line of salvage therapy. Our data support the consideration of new strategies combining novel drugs, particularly CPI, with chemotherapy in the second-line setting, particularly for patients with primary refractory disease.
Author Contributions
Study conception and design: S.B. and J.M.; collection and interpretation of data: J.M., F.R., D.T., C.D.P., B.S., D.M. and S.B.; statistical analysis: L.G. and J.M.; manuscript drafting: J.M.; manuscript editing: S.B., A.S. and C.C.-S.; approval to submit: all. All authors have read and agreed to the published version of the manuscript.
Funding
This research received no external funding.
Institutional Review Board Statement
This study was conducted in accordance with the Declaration of Helsinki and approved by the Institutional Review Board of the Humanitas Cancer Institute.
Informed Consent Statement
Informed consent was obtained from all subjects involved in the study.
Data Availability Statement
The data presented in this study are available on the Zenodo platform, doi: 10.5281/zenodo.10153251.
Acknowledgments
We wish to acknowledge Luca Giacomelli and Aashni Shah for editorial and linguistic assistance.
Conflicts of Interest
The authors declare no conflicts of interest.
References
- von Tresckow, B.; Engert, A. The role of autologous transplantation in Hodgkin lymphoma. Curr. Hematol. Malig. Rep. 2011, 6, 172–179. [Google Scholar] [CrossRef] [PubMed]
- Linch, D.C.; Winfield, D.; Goldstone, A.H.; Moir, D.; Hancock, B.; McMillan, A.; Chopra, R.; Milligan, D.; Hudson, G.V. Dose intensification with autologous bone-marrow transplantation in relapsed and resistant Hodgkin’s disease: Results of a BNLI randomised trial. Lancet 1993, 341, 1051–1054. [Google Scholar] [CrossRef]
- Schmitz, N.; Pfistner, B.; Sextro, M.; Sieber, M.; Carella, A.M.; Haenel, M.; Boissevain, F.; Zschaber, R.; Müller, P.; Kirchner, H.; et al. Aggressive conventional chemotherapy compared with high-dose chemotherapy with autologous haemopoietic stem-cell transplantation for relapsed chemosensitive Hodgkin’s disease: A randomised trial. Lancet 2002, 359, 2065–2071. [Google Scholar] [PubMed]
- Morschhauser, F.; Brice, P.; Fermé, C.; Diviné, M.; Salles, G.; Bouabdallah, R.; Sebban, C.; Voillat, L.; Casasnovas, O.; Stamatoullas, A.; et al. Risk-adapted salvage treatment with single or tandem autologous stem-cell transplantation for first relapse/refractory Hodgkin’s lymphoma: Results of the prospective multicenter H96 trial by the GELA/SFGM study group. J. Clin. Oncol. 2008, 26, 5980–5987. [Google Scholar] [CrossRef] [PubMed]
- Perales, M.A.; Ceberio, I.; Armand, P.; Burns, L.J.; Chen, R.; Cole, P.D.; Evens, A.M.; Laport, G.G.; Moskowitz, C.H.; Popat, U.; et al. Role of cytotoxic therapy with hematopoietic cell transplantation in the treatment of Hodgkin lymphoma: Guidelines from the American Society for Blood and Marrow Transplantation. Biol. Blood Marrow Transplant. 2015, 21, 971–983. [Google Scholar] [CrossRef] [PubMed]
- Sureda, A.; Constans, M.; Iriondo, A.; Arranz, R.; Caballero, M.D.; Vidal, M.J.; Petit, J.; López, A.; Lahuerta, J.J.; Carreras, E.; et al. Prognostic factors affecting long-term outcome after stem cell transplantation in Hodgkin’s lymphoma autografted after a first relapse. Ann. Oncol. 2005, 16, 625–633. [Google Scholar] [CrossRef]
- Lazarus, H.; Loberiza, F.; Zhang, M.; Armitage, J.O.; Ballen, K.K.; Bashey, A.; Bolwell, B.J.; Burns, L.J.; Freytes, C.O.; Gale, R.P.; et al. Autotransplants for Hodgkin’s disease in first relapse or second remission: A report from the autologous blood and marrow transplant registry (ABMTR). Bone Marrow Transplant. 2001, 27, 387–396. [Google Scholar] [CrossRef]
- Santoro, A.; Mazza, R.; Pulsoni, A.; Re, A.; Bonfichi, M.; Zilioli, V.R.; Zanni, M.; Merli, F.; Anastasia, A.; Luminari, S.; et al. Five-year results of the BEGEV salvage regimen in relapsed/refractory classical Hodgkin lymphoma. Blood Adv. 2020, 4, 136–140. [Google Scholar] [CrossRef]
- Younes, A.; Gopal, A.K.; Smith, S.E.; Ansell, S.M.; Rosenblatt, J.D.; Savage, K.J.; Ramchandren, R.; Bartlett, N.L.; Cheson, B.D.; de Vos, S.; et al. Results of a pivotal phase II study of brentuximab vedotin for patients with relapsed or refractory Hodgkin’s lymphoma. J. Clin. Oncol. 2012, 30, 2183–2189. [Google Scholar] [CrossRef]
- Gopal, A.K.; Chen, R.; Smith, S.E.; Ansell, S.M.; Rosenblatt, J.D.; Savage, K.J.; Connors, J.M.; Engert, A.; Larsen, E.K.; Chi, X.; et al. Durable remissions in a pivotal phase 2 study of brentuximab vedotin in relapsed or refractory Hodgkin lymphoma. Blood 2015, 125, 1236–1243. [Google Scholar] [CrossRef]
- Chen, R.; Palmer, J.M.; Martin, P.; Tsai, N.; Kim, Y.; Chen, B.T.; Popplewell, L.; Siddiqi, T.; Thomas, S.H.; Mott, M.; et al. Results of a multicenter phase II trial of X vedotin as second-line therapy before autologous transplantation in relapsed/refractory Hodgkin lymphoma. Biol. Blood Marrow Transpl. 2015, 21, 2136–2140. [Google Scholar] [CrossRef]
- Chen, R.; Gopal, A.K.; Smith, S.E.; Ansell, S.M.; Rosenblatt, J.D.; Savage, K.J.; Connors, J.M.; Engert, A.; Larsen, E.K.; Huebner, D.; et al. Five-year survival and durability results of brentuximab vedotin in patients with relapsed or refractory Hodgkin lymphoma. Blood 2016, 128, 1562–1566. [Google Scholar] [CrossRef] [PubMed]
- Ansell, S.M.; Lesokhin, A.M.; Borrello, I.; Halwani, A.; Scott, E.C.; Gutierrez, M.; Schuster, S.J.; Millenson, M.M.; Cattry, D.; Freeman, G.J.; et al. PD-1 blockade with nivolumab in relapsed or refractory Hodgkin’s lymphoma. N. Engl. J. Med. 2015, 372, 311–319. [Google Scholar] [CrossRef] [PubMed]
- Armand, P.; Shipp, M.A.; Ribrag, V.; Michot, J.M.; Zinzani, P.L.; Kuruvilla, J.; Snyder, E.S.; Ricart, A.D.; Balakumaran, A.; Rose, S.; et al. Programmed death-1 blockade with pembrolizumab in patients with classical Hodgkin lymphoma after brentuximab vedotin failure. J. Clin. Oncol. 2016, 34, 3733–3739. [Google Scholar] [CrossRef] [PubMed]
- Advani, R.H.; Moskowitz, A.J.; Bartlett, N.L.; Vose, J.M.; Ramchandren, R.; Feldman, T.A.; LaCasce, A.S.; Christian, B.A.; Ansell, S.M.; Moskowitz, C.H.; et al. Brentuximab vedotin in combination with nivolumab in relapsed or refractory Hodgkin lymphoma: 3-year study results. Blood 2021, 138, 427–438. [Google Scholar] [CrossRef] [PubMed]
- Spinner, M.A.; Sica, R.A.; Tamaresis, J.S.; Lu, Y.; Chang, C.; Lowsky, R.; Frank, M.J.; Johnston, L.J.; Miklos, D.B.; Muffly, L.S.; et al. Improved outcomes for relapsed/refractory Hodgkin lymphoma after autologous transplantation in the era of novel agents. Blood 2023, 141, 2727–2737. [Google Scholar] [CrossRef] [PubMed]
- Khan, N.; Moskowitz, A.J. Where do the new drugs fit in for relapsed/refractory Hodgkin lymphoma? Curr. Hematol. Malig. Rep. 2017, 12, 227–233. [Google Scholar] [CrossRef] [PubMed]
- Merryman, R.W.; Castagna, L.; Giordano, L.; Ho, V.T.; Corradini, P.; Guidetti, A.; Casadei, B.; Bond, D.A.; Jaglowski, S.; Spinner, M.A.; et al. Allogeneic transplantation after PD-1 blockade for classic Hodgkin lymphoma. Leukemia 2021, 35, 2672–2683. [Google Scholar] [CrossRef]
- Shah, G.L.; Moskowitz, C.H. Transplant strategies in relapsed/refractory Hodgkin lymphoma. Blood 2018, 131, 1689–1697. [Google Scholar] [CrossRef]
- Casadei, B.; Argnani, L.; Morigi, A.; Lolli, G.; Broccoli, A.; Pellegrini, C.; Nanni, L.; Stefoni, V.; Coppola, P.E.; Carella, M.; et al. Potential survival benefit for patients receiving autologous hematopoietic stem cell transplantation after checkpoint inhibitors for relapsed/refractory Hodgkin lymphoma: A real-life experience. Hematol. Oncol. 2020, 38, 737–741. [Google Scholar] [CrossRef]
- Merryman, R.W.; Redd, R.A.; Nishihori, T.; Chavez, J.; Nieto, Y.; Darrah, J.M.; Rao, U.; Byrne, M.T.; Bond, D.A.; Maddocks, K.J.; et al. Autologous stem cell transplantation after anti-PD-1 therapy for multiply relapsed or refractory Hodgkin lymphoma. Blood Adv. 2021, 5, 1648–1659. [Google Scholar] [CrossRef]
- Wang, H.W.; Balakrishna, J.P.; Pittaluga, S.; Jaffe, E.S. Diagnosis of Hodgkin lymphoma in the modern era. Br. J. Haematol. 2019, 184, 45–59. [Google Scholar] [CrossRef] [PubMed]
- Van Den Neste, E.; Casasnovas, O.; André, M.; Touati, M.; Senecal, D.; Edeline, V.; Stamatoullas, A.; Fornecker, L.; Deau, B.; Gastinne, T.; et al. Classical Hodgkin’s lymphoma: The Lymphoma Study Association guidelines for relapsed and refractory adult patients eligible for transplant. Haematologica 2013, 98, 1185–1195. [Google Scholar] [CrossRef] [PubMed]
- Kaplan, E.L.; Meier, P. Non-parametric estimation from incomplete observations. J. Am. Stat. Assoc. 1958, 53, 457–481. [Google Scholar] [CrossRef]
- Gooley, T.A.; Leisenring, W.; Crowley, J.; Storer, B.E. Estimation of failure probabilities in the presence of competing risks: New representations of old estimators. Stat. Med. 1999, 18, 695–706. [Google Scholar] [CrossRef]
- Moskowitz, C.H.; Matasar, M.J.; Zelenetz, A.D.; Nimer, S.D.; Gerecitano, J.; Hamlin, P.; Horwitz, S.; Moskowitz, A.J.; Noy, A.; Palomba, L.; et al. Normalization of pre-ASCT, FDG-PET imaging with second-line, non-cross-resistant, chemotherapy programs improves event-free survival in patients with Hodgkin lymphoma. Blood 2012, 119, 1665–1670. [Google Scholar] [CrossRef]
- Brice, P.; Divine, M.; Simon, D.; Coiffier, B.; Leblond, V.; Simon, M.; Voilat, L.; Devidas, A.; Morschhauser, F.; Rohrlich, P.; et al. Feasibility of tandem autologous stem-cell transplantation (ASCT) in induction failure or very unfavorable (UF) relapse from Hodgkin’s disease (HD). SFGM/GELA Study Group. Ann. Oncol. 1999, 10, 1485–1488. [Google Scholar] [CrossRef]
- Bento, L.; Boumendil, A.; Finel, H.; Khvedelidze, I.; Blaise, D.; Fegueux, N.; Castagna, L.; Forcade, E.; Chevallier, P.; Mordini, N.; et al. Tandem autologous-reduced intensity allogeneic stem cell transplantation in high-risk relapsed Hodgkin lymphoma: A retrospective study of the Lymphoma Working Party-EBMT. Bone Marrow Transpl. 2021, 56, 655–663. [Google Scholar] [CrossRef]
- Mariotti, J.; Bramanti, S.; Devillier, R.; Furst, S.; El Cheikh, J.; Sarina, B.; Granata, A.; Faucher, C.; Harbi, S.; Morabito, L.; et al. Tandem autologous-haploidentical transplantation is a feasible and effective program for refractory Hodgkin lymphoma. Bone Marrow Transpl. 2018, 53, 366–370. [Google Scholar] [CrossRef]
- Armand, P.; Zinzani, P.L.L.; Lee, H.J.; Johnson, N.A.; Brice, P.; Radford, J.; Ribrag, V.; Molin, D.; Vassilakopoulos, T.P.; Tomita, A.; et al. Five-year follow-up of KEYNOTE-087: Pembrolizumab monotherapy in relapsed/refractory classical Hodgkin lymphoma (R/R cHL). Blood 2021, 38 (Suppl. S1), 1366. [Google Scholar] [CrossRef]
- Chen, R.; Palmer, J.M.; Thomas, S.H.; Tsai, N.C.; Farol, L.; Nademanee, A.; Forman, S.J.; Gopal, A.K. Brentuximab vedotin enables successful reduced-intensity allogeneic hematopoietic cell transplantation in patients with relapsed or refractory Hodgkin lymphoma. Blood 2012, 119, 6379–6381. [Google Scholar] [CrossRef] [PubMed]
- Rashidi, A.; Ebadi, M.; Cashen, A.F. Allogeneic hematopoietic stem cell transplantation in Hodgkin lymphoma: A systematic review and meta-analysis. Bone Marrow Transpl. 2016, 5, 521–528. [Google Scholar] [CrossRef] [PubMed]
- Carreau, N.A.; Armand, P.; Merryman, R.W.; Advani, R.H.; Spinner, M.A.; Herrera, A.F.; Ramchandren, R.; Hamid, M.S.; Assouline, S.; Santiago, R.; et al. Checkpoint blockade treatment sensitises relapsed/refractory non-Hodgkin lymphoma to subsequent therapy. Br. J. Haematol. 2020, 191, 44–51. [Google Scholar] [CrossRef]
- Calabretta, E.; Guidetti, A.; Ricci, F.; Di Trani, M.; Monfrini, C.; Magagnoli, M.; Bramanti, S.; Maspero, D.; Morello, L.; Merli, M.; et al. Chemotherapy after PD-1 inhibitors in relapsed/refractory Hodgkin lymphoma: Outcomes and clonal evolution dynamics. Br. J. Haematol. 2022, 198, 82–92. [Google Scholar] [CrossRef] [PubMed]
- Desai, S.H.; Spinner, M.A.; David, K.A.; Bachanova, V.; Goyal, G.; Azzi, J.; Dorritie, K.; Kenkre, V.P.; Chang, C.; Arai, S.; et al. Novel Salvage Regimens Lead to Better Response and Survival in Relapsed Refractory Classic Hodgkin Lymphoma after Autologous Stem Cell Transplant. Blood 2021, 138 (Suppl. S1), 878. [Google Scholar] [CrossRef]
- Federico, M.; Fortpied, C.; Stepanishyna, Y.; Gotti, M.; van der Maazen, R.; Cristinelli, C.; Re, A.; Plattel, W.; Lazarovici, J.; Merli, F.; et al. Long-Term Follow-Up of the Response-Adapted Intergroup EORTC/LYSA/FIL H10 Trial for Localized Hodgkin Lymphoma. J. Clin. Oncol. 2023, 42, 19–25. [Google Scholar] [CrossRef]
- el Cheikh, J.; Massoud, R.; Abudalle, I.; Haffar, B.; Mahfouz, R.; Kharfan-Dabaja, M.A.; Jisr, T.; Mougharbel, A.; Ibrahim, A.; Bazarbachi, A. Nivolumab salvage therapy before or after allogeneic stem cell transplantation in Hodgkin lymphoma. Bone Marrow Transpl. 2017, 52, 1074–1077. [Google Scholar] [CrossRef]
- Armand, P.; Zinzani, P.L.; Collins, G.P.; Cohen, J.B.; Halwani, A.S.; Carlo-Stella, C.; Millenson, M.M.; Provencio, M.; Domenech, E.D.; Roth, L.G.; et al. Outcomes of allogeneic hematopoietic stem cell transplantation (HSCT) after treatment with nivolumab for relapsed/refractory Hodgkin lymphoma. Blood 2016, 128, 3502. [Google Scholar] [CrossRef]
Disclaimer/Publisher’s Note: The statements, opinions and data contained in all publications are solely those of the individual author(s) and contributor(s) and not of MDPI and/or the editor(s). MDPI and/or the editor(s) disclaim responsibility for any injury to people or property resulting from any ideas, methods, instructions or products referred to in the content. |
© 2024 by the authors. Licensee MDPI, Basel, Switzerland. This article is an open access article distributed under the terms and conditions of the Creative Commons Attribution (CC BY) license (https://creativecommons.org/licenses/by/4.0/).


