Exercise Training Enhances Angiogenesis-Related Gene Responses in Skeletal Muscle of Patients with Chronic Heart Failure
Abstract
1. Introduction
2. Materials and Methods
2.1. Subjects
2.2. Study Design
2.3. Skeletal Muscle Biopsies
2.4. Capillarization
2.5. RNA Extraction and Semiquantitative Reverse Transcription–Polymerase Chain Reaction Analysis
2.6. Statistics
3. Results
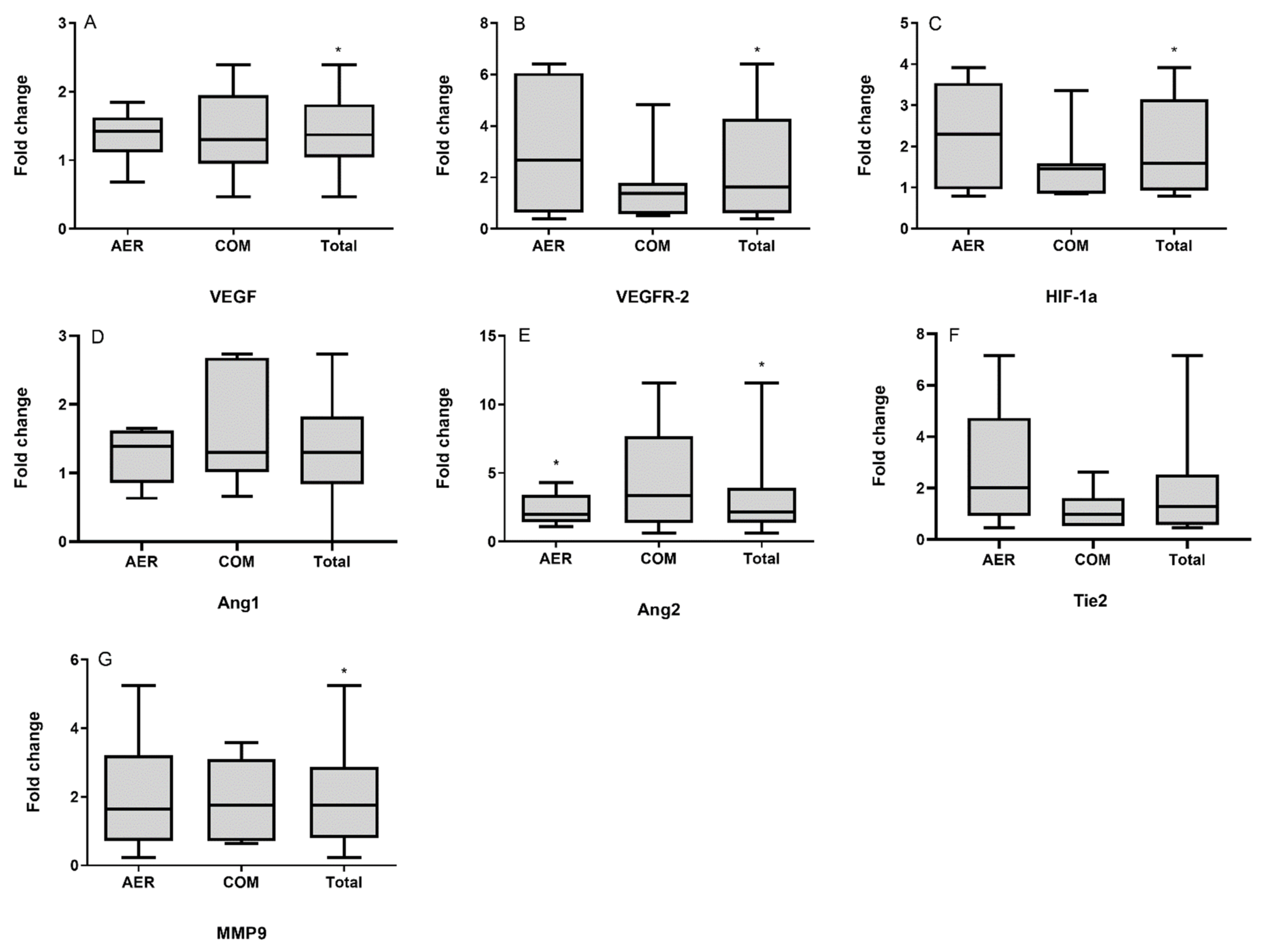
3.1. Expression of Angiogenesis-Related Factors
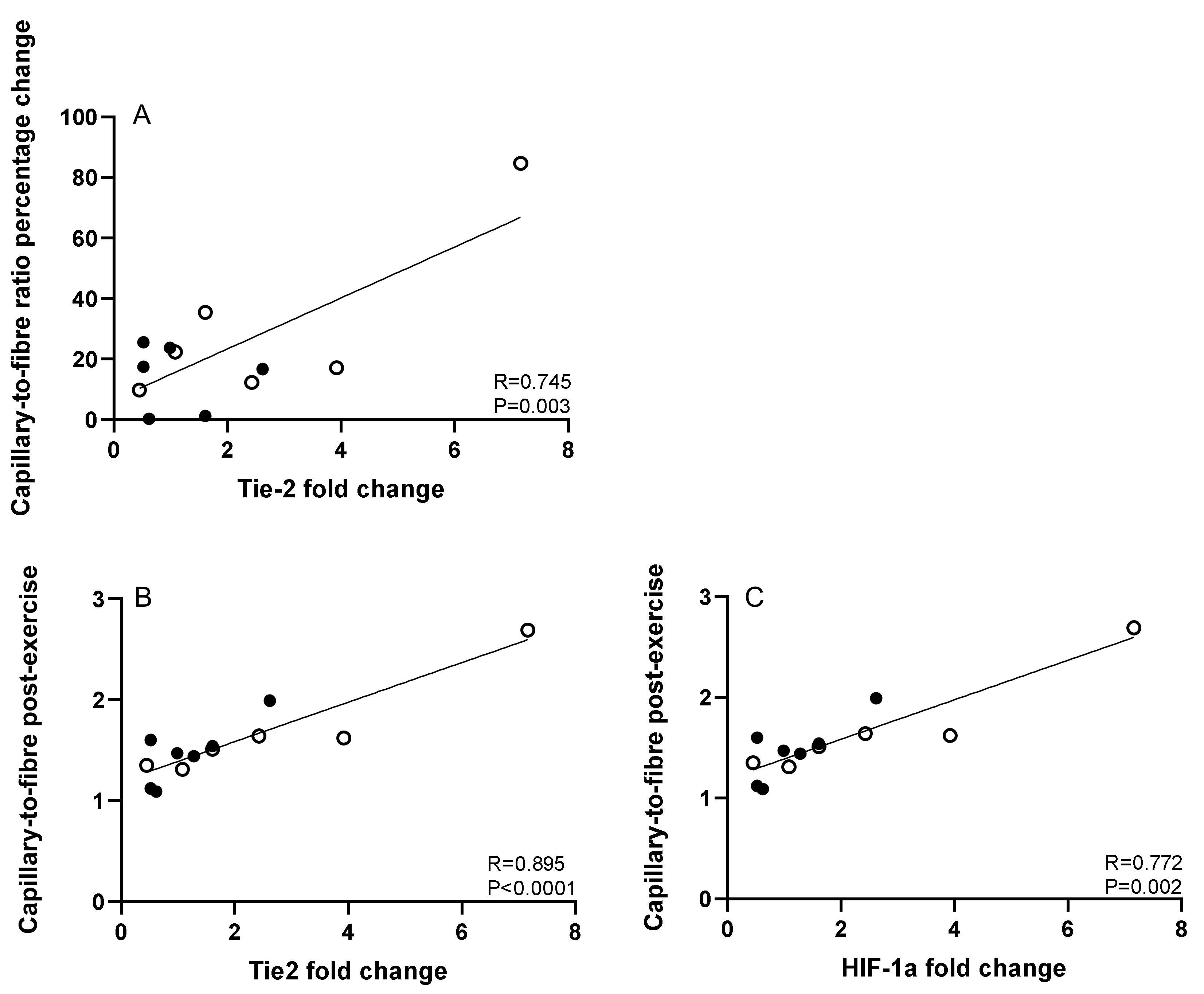
3.2. Associations between In Vivo Capillarization and Gene Expression of Angiogenic Factors
4. Discussion
Limitations
5. Conclusions
Author Contributions
Funding
Institutional Review Board Statement
Informed Consent Statement
Data Availability Statement
Conflicts of Interest
References
- Halapas, A.; Papalois, A.; Stauropoulou, A.; Philippou, A.; Pissimissis, N.; Chatzigeorgiou, A.; Kamper, E.; Koutsilieris, M. In vivo models for heart failure research. In Vivo 2008, 22, 767–780. [Google Scholar]
- Tzanis, G.; Dimopoulos, S.; Agapitou, V.; Nanas, S. Exercise intolerance in chronic heart failure: The role of cortisol and the catabolic state. Curr. Heart Fail. Rep. 2014, 11, 70–79. [Google Scholar] [CrossRef]
- Coats, A.J. Heart failure: What causes the symptoms of heart failure? Heart 2001, 86, 574–578. [Google Scholar] [CrossRef]
- Stewart Coats, A.J. The muscle hypothesis revisited. Eur. J. Heart Fail. 2017, 19, 1710–1711. [Google Scholar] [CrossRef] [PubMed]
- Tzanis, G.; Philippou, A.; Dimopoulos, S.; Koutsilieris, M.; Nanas, S. Insulin-like growth factor-1 bioregulation system abnormalities: Another explanatory mechanism of exercise intolerance in heart failure. JACC Heart Fail. 2017, 5, 155–156. [Google Scholar] [CrossRef]
- Tzanis, G.; Philippou, A.; Karatzanos, E.; Dimopoulos, S.; Kaldara, E.; Nana, E.; Pitsolis, T.; Rontogianni, D.; Koutsilieris, M.; Nanas, S. Effects of high-intensity interval exercise training on skeletal myopathy of chronic heart failure. J. Card. Fail. 2017, 23, 36–46. [Google Scholar] [CrossRef]
- Morris, J.H.; Chen, L. Exercise training and heart failure: A review of the literature. Card. Fail. Rev. 2019, 5, 57–61. [Google Scholar] [CrossRef]
- Lloyd-Williams, F.; Mair, F.S.; Leitner, M. Exercise training and heart failure: A systematic review of current evidence. Br. J. Gen. Pract. 2002, 52, 47–55. [Google Scholar] [PubMed]
- Egginton, S. Invited review: Activity-induced angiogenesis. Pflügers Arch. Eur. J. Physiol. 2008, 457, 963. [Google Scholar] [CrossRef]
- Esposito, F.; Mathieu-Costello, O.; Entin, P.L.; Wagner, P.D.; Richardson, R.S. The skeletal muscle VEGF mRNA response to acute exercise in patients with chronic heart failure. Growth Factors 2010, 28, 139–147. [Google Scholar] [CrossRef][Green Version]
- Olfert, I.M.; Baum, O.; Hellsten, Y.; Egginton, S. Advances and challenges in skeletal muscle angiogenesis. Am. J. Physiol. Heart Circ. Physiol. 2016, 310, H326–H336. [Google Scholar] [CrossRef]
- Hoier, B.; Olsen, K.; Hanskov, D.J.; Jorgensen, M.; Norup, L.R.; Hellsten, Y. Early time course of change in angiogenic proteins in human skeletal muscle and vascular cells with endurance training. Scand. J. Med. Sci. Sports 2020, 30, 1117–1131. [Google Scholar] [CrossRef]
- Gustafsson, T.; Kraus, W.E. Exercise-induced angiogenesis-related growth and transcription factors in skeletal muscle, and their modification in muscle pathology. Front. Biosci. 2001, 6, D75–D89. [Google Scholar] [CrossRef] [PubMed]
- Holloway, T.M.; Snijders, T.; VAN Kranenburg, J.; VAN Loon, L.J.C.; Verdijk, L.B. Temporal response of angiogenesis and hypertrophy to resistance training in young men. Med. Sci. Sports Exerc. 2018, 50, 36–45. [Google Scholar] [CrossRef] [PubMed]
- Esposito, F.; Mathieu-Costello, O.; Wagner, P.D.; Richardson, R.S. Acute and chronic exercise in patients with heart failure with reduced ejection fraction: Evidence of structural and functional plasticity and intact angiogenic signalling in skeletal muscle. J. Physiol. 2018, 596, 5149–5161. [Google Scholar] [CrossRef] [PubMed]
- Gustafsson, T.; Bodin, K.; Sylvén, C.; Gordon, A.; Tyni-Lenné, R.; Jansson, E. Increased expression of VEGF following exercise training in patients with heart failure. Eur. J. Clin. Investig. 2001, 31, 362–366. [Google Scholar] [CrossRef]
- Pelliccia, A.; Sharma, S.; Gati, S.; Bäck, M.; Börjesson, M.; Caselli, S.; Collet, J.-P.; Corrado, D.; Drezner, J.A.; Halle, M.; et al. 2020 ESC Guidelines on sports cardiology and exercise in patients with cardiovascular disease: The Task Force on sports cardiology and exercise in patients with cardiovascular disease of the European Society of Cardiology (ESC). Eur. Heart J. 2020, 42, 17–96. [Google Scholar] [CrossRef]
- Yancy, C.W.; Jessup, M.; Bozkurt, B.; Butler, J.; Casey, D.E., Jr.; Colvin, M.M.; Drazner, M.H.; Filippatos, G.S.; Fonarow, G.C.; Givertz, M.M.; et al. 2017 ACC/AHA/HFSA Focused Update of the 2013 ACCF/AHA Guideline for theManagement of Heart Failure: A Report of the American College of Cardiology/American Heart Association Task Force on Clinical Practice Guidelines and the Heart Failure Society of America. J. Am. Coll. Cardiol. 2017, 70, 776–803. [Google Scholar] [CrossRef]
- Bergstrom, J. Muscle electrolytes in man determined by neutron activation analysis on needle biopsy specimens. Scand. J. Clin. Lab. Investig. 1962, 14 (Suppl. 68). [Google Scholar]
- Hoier, B.; Nordsborg, N.; Andersen, S.; Jensen, L.; Nybo, L.; Bangsbo, J.; Hellsten, Y. Pro- and anti-angiogenic factors in human skeletal muscle in response to acute exercise and training. J. Physiol. 2012, 590, 595–606. [Google Scholar] [CrossRef] [PubMed]
- Gustafsson, T.; Rundqvist, H.; Norrbom, J.; Rullman, E.; Jansson, E.; Sundberg, C.J. The influence of physical training on the angiopoietin and VEGF-A systems in human skeletal muscle. J. Appl. Physiol. 2007, 103, 1012–1020. [Google Scholar] [CrossRef]
- Hornikx, M.; Buys, R.; Cornelissen, V.; Deroma, M.; Goetschalckx, K. Effectiveness of high intensity interval training supplemented with peripheral and inspiratory resistance training in chronic heart failure: A pilot study. Acta Cardiol. 2019, 75, 1–9. [Google Scholar] [CrossRef]
- Anagnostakou, V.; Chatzimichail, K.; Dimopoulos, S.; Karatzanos, E.; Papazachou, O.; Tasoulis, A.; Anastasiou-Nana, M.; Roussos, C.; Nanas, S. Effects of interval cycle training with or without strength training on vascular reactivity in heart failure patients. J. Card. Fail. 2011, 17, 585–591, Retrieved 19 January 2021. [Google Scholar] [CrossRef]
- Bouchla, A.; Karatzanos, E.; Dimopoulos, S.; Tasoulis, A.; Agapitou, V.; Diakos, N.; Tseliou, E.; Terrovitis, J.; Nanas, S. The addition of strength training to aerobic interval training: Effects on muscle strength and body composition in CHF patients. J. Cardiopulm. Rehabil. Prev. 2011, 31, 47–51. [Google Scholar] [CrossRef]
- Panagopoulou, N.; Karatzanos, E.; Dimopoulos, S.; Tasoulis, A.; Tachliabouris, I.; Vakrou, S.; Sideris, A.; Gratziou, C.; Nanas, S. Exercise training improves characteristics of exercise oscillatory ventilation in chronic heart failure. Eur. J. Prev. Cardiol. 2017, 24, 825–832. [Google Scholar] [CrossRef]
- Hellsten, Y.; Hoier, B. Capillary growth in human skeletal muscle: Physiological factors and the balance between pro-angiogenic and angiostatic factors. Biochem. Soc. Trans. 2014, 42, 1616–1622. [Google Scholar] [CrossRef]
- Milkiewicz, M.; Hudlicka, O.; Verhaeg, J.; Egginton, S.; Brown, M.D. Differential expression of Flk-1 and Flt-1 in rat skeletal muscle in response to chronic ischaemia: Favourable effect of muscle activity. Clin. Sci. 2003, 105, 473–482. [Google Scholar] [CrossRef]
- Ohno, H.; Shirato, K.; Sakurai, T.; Ogasawara, J.; Sumitani, Y.; Sato, S.; Imaizumi, K.; Ishida, H.; Kizaki, T. Effect of exercise on HIF-1 and VEGF signaling. J. Phys. Fit. Sports Med. 2012, 1, 5–16. [Google Scholar] [CrossRef]
- Lundby, C.; Gassmann, M.; Pilegaard, H. Regular endurance training reduces the exercise induced HIF-1alpha and HIF-2alpha mRNA expression in human skeletal muscle in normoxic conditions. Eur. J. Appl. Physiol. 2006, 96, 363–369. [Google Scholar] [CrossRef]
- Gustafsson, T.; Puntschart, A.; Sundberg, C.J.; Jansson, E. Related expression of vascular endothelial growth factor and hypoxia-inducible factor-1 mRNAs in human skeletal muscle. Acta Physiol. Scand. 1999, 165, 335–336. [Google Scholar] [CrossRef]
- Gustafsson, T.; Puntschart, A.; Kaijser, L.; Jansson, E.; Sundberg, C.J. Exercise-induced expression of angiogenesis-related transcription and growth factors in human skeletal muscle. Am. J. Physiol. 1999, 276, H679–H685. [Google Scholar] [CrossRef]
- Ookawara, T.; Suzuk, K.; Haga, S.; Ha, S.; Chung, K.-S.; Toshinai, K.; Hamaoka, T.; Katsumura, T.; Takemasa, T.; Mizuno, M.; et al. Transcription regulation of gene expression in human skeletal muscle in response to endurance training. Res. Commun. Mol. Pathol. Pharm. 2002, 111, 41–54. [Google Scholar]
- Rahman, F.A.; Angus, S.A.; Stokes, K.; Karpowicz, P.; Krause, M.P. Impaired ECM remodeling and macrophage activity define necrosis and regeneration following damage in aged skeletal muscle. Int. J. Mol. Sci. 2020, 21, 4575. [Google Scholar] [CrossRef]


| HIIT (N = 6) | COM (N = 7) | |
|---|---|---|
| Age (years) | 47 ± 13 | 53 ± 12 |
| BMI (kg/m2) | 27 ± 6 | 27 ± 2 |
| HF etiology (ICM/non-ICM) | 2/4 | 3/5 |
| NYHA (I/II/III) | 2/3/1 | 1/5/1 |
| Weber class (A/B) | 3/3 | 3/4 |
| VO2peak (mL/kg/min) | 21.1 ± 4.7 | 20.0 ± 4.8 |
| LVESD (mm) | 43 ± 12 | 47 ± 13 |
| LVEDD (mm) | 59 ± 7 | 62 ± 9 |
| LVEF (%) | 37 ± 10 | 38 ± 8 |
| PCWP (mm Hg) | 9 ± 6 | 11 ± 8 |
| mPAP (mm Hg) | 19 ± 10 | 21 ± 7 |
| RAP (mm Hg) | 2 ± 2 | 4 ± 3 |
| Hemoglobin (g/dL) | 14.5 ± 2.4 | 13.9 ± 1.0 |
| CI (L/min/m2) | 2.2 ± 0.6 | 2.3 ± 0.4 |
| Medications (%) | ||
| Amiodarone | 50 | 29 |
| β-Blockers | 100 | 100 |
| Diuretics | 67 | 71 |
| ACE inhibitors/ARB | 100 | 100 |
| Target Gene | PCR Primer Sequence | Product Size (bp) |
|---|---|---|
| VEGF | 5′-AGGGCAGAATCATCACGAAG-3′ 5′-CACACAGGATGGCTTGAAGA-3′ | 163 |
| VEGFR-2 | 5′-TCCCGAGTTCTGGGCATTTC-3′ 5′-GGCTCCAGTGTCATTTCCGA-3′ | 339 |
| HIF-1a | 5′-AAACTTGGCAACCTTGGATTGG-3′ 5′-TCCGTCCCTCAACCTCTCAG-3′ | 189 |
| Ang-1 | 5′-ACCGGATTCAACATGGGCAA-3′ 5′-CATGGTAGCCGTGTGGTTCT-3′ | 281 |
| Ang-2 | 5′-GACGGCTGTGATGATAGAAATAGG-3′ 5′-GACTGTAGTTGGATGATGTGCTTG-3′ | 264 |
| Tie-2 | 5′-TGCGAGATGGATAGGGCTTG-3′ 5′-CAGAGGCAATGCAGGTGAGA-3′ | 440 |
| MMP-9 | 5′-CAGGGAATGAGTACTGGGTCTATT-3′ 5′-ACTCCAGTTAAAGGCAGCATCTAC-3′ | 76 |
| GAPDH | 5′-CATCACTGCCACCCAGAAGA-3′ 5′-TCCACCACCCTGTTGCTGTA-3′ | 438 |
| HIIT (N = 6) | COM (N = 7) | Total (N = 13) | |
|---|---|---|---|
| Pre | 1.29 ± 0.17 | 1.26 ± 0.26 | 1.27 ± 0.21 |
| Post | 1.69 ± 0.51 | 1.46 ± 0.30 * | 1.57 ± 0.41 |
| % Change | 30.3 ± 11.1 | 16.0 ± 11.1 | 22.6 ± 21.2 |
| VEGF | VEGFR-2 | HIF-1a | Ang1 | Ang2 | Tie2 | MMP9 | |
|---|---|---|---|---|---|---|---|
| VEGF | R = 0.397 p = 0.180 | R = 0.470 p = 0.105 | R = 0.578 p = 0.049 | R = 0.374 p = 0.208 | R = 0.347 p = 0.245 | R = 0.585 p = 0.036 | |
| VEGFR-2 | R = 0.397 p = 0.180 | R = 0.453 p = 0.120 | R = 0.300 p = 0.343 | R = 0.168 p = 0.583 | R = 0.567 p = 0.043 | R = 0.588 p = 0.034 | |
| HIF-1a | R = 0.470 p = 0.105 | R = 0.453 p = 0.120 | R = 0.515 p = 0.087 | R = 0.259 p = 0.394 | R = 0.836 p < 0.0001 | R = 0.358 p = 0.230 | |
| Ang1 | R = 0.578 p = 0.049 | R = 0.300 p = 0.343 | R = 0.515 p = 0.087 | R = 0.818 p = 0.001 | R = 0.291 p = 0.359 | R = 0.738 p = 0.006 | |
| Ang2 | R = 0.374 p = 0.208 | R = 0.300 p = 0.343 | R = 0.515 p = 0.087 | R = 0.818 p = 0.001 | R = 0.061 p = 0.843 | R = 0.569 p = 0.042 | |
| Tie2 | R = 0.347 p = 0.245 | R = 0.567 p = 0.043 | R = 0.836 p < 0.0001 | R = 0.291 p = 0.359 | R = 0.061 p = 0.843 | R = 0.261 p = 0.390 | |
| MMP9 | R = 0.585 p = 0.036 | R = 0.588 p = 0.034 | R = 0.358 p = 0.230 | R = 0.738 p = 0.006 | R = 0.569 p = 0.042 | R = 0.261 p = 0.390 |
Publisher’s Note: MDPI stays neutral with regard to jurisdictional claims in published maps and institutional affiliations. |
© 2021 by the authors. Licensee MDPI, Basel, Switzerland. This article is an open access article distributed under the terms and conditions of the Creative Commons Attribution (CC BY) license (https://creativecommons.org/licenses/by/4.0/).
Share and Cite
Tryfonos, A.; Tzanis, G.; Pitsolis, T.; Karatzanos, E.; Koutsilieris, M.; Nanas, S.; Philippou, A. Exercise Training Enhances Angiogenesis-Related Gene Responses in Skeletal Muscle of Patients with Chronic Heart Failure. Cells 2021, 10, 1915. https://doi.org/10.3390/cells10081915
Tryfonos A, Tzanis G, Pitsolis T, Karatzanos E, Koutsilieris M, Nanas S, Philippou A. Exercise Training Enhances Angiogenesis-Related Gene Responses in Skeletal Muscle of Patients with Chronic Heart Failure. Cells. 2021; 10(8):1915. https://doi.org/10.3390/cells10081915
Chicago/Turabian StyleTryfonos, Andrea, Giorgos Tzanis, Theodore Pitsolis, Eleftherios Karatzanos, Michael Koutsilieris, Serafim Nanas, and Anastassios Philippou. 2021. "Exercise Training Enhances Angiogenesis-Related Gene Responses in Skeletal Muscle of Patients with Chronic Heart Failure" Cells 10, no. 8: 1915. https://doi.org/10.3390/cells10081915
APA StyleTryfonos, A., Tzanis, G., Pitsolis, T., Karatzanos, E., Koutsilieris, M., Nanas, S., & Philippou, A. (2021). Exercise Training Enhances Angiogenesis-Related Gene Responses in Skeletal Muscle of Patients with Chronic Heart Failure. Cells, 10(8), 1915. https://doi.org/10.3390/cells10081915

