Next Article in Journal
Effects of Irrigation Amount and Irrigation Frequency on Flue-Cured Tobacco Evapotranspiration and Water Use Efficiency Based on Three-Year Field Drip-Irrigated Experiments
Next Article in Special Issue
Characterization of Biochars Produced from Dairy Manure at High Pyrolysis Temperatures
Previous Article in Journal
Appraising Endophyte–Plant Symbiosis for Improved Growth, Nodulation, Nitrogen Fixation and Abiotic Stress Tolerance: An Experimental Investigation with Chickpea (Cicer arietinum L.)
Previous Article in Special Issue
Understanding Activation Effects on Low-Temperature Biochar for Optimization of Herbicide Sorption
 
 
Font Type:
Arial Georgia Verdana
Font Size:
Aa Aa Aa
Line Spacing:
Column Width:
Background:
Article

Biochar Effects on Soil Properties and Wheat Biomass vary with Fertility Management

1
Columbia Basin Agricultural Research Center, Oregon State University, Pendleton, OR 97801, USA
2
Agriculture Science Center, New Mexico State University, Clovis, NM 88101, USA
*
Author to whom correspondence should be addressed.
Agronomy 2019, 9(10), 623; https://doi.org/10.3390/agronomy9100623
Submission received: 14 September 2019 / Revised: 3 October 2019 / Accepted: 6 October 2019 / Published: 10 October 2019

Abstract

Biochar can improve soil health and crop productivity. We studied the response of soil properties and wheat growth to four rates of wood biochar (0, 11.2, 22.4, and 44.8 Mg ha−1) and two fertilizer rates [no fertilizer and fertilizer (90 kg N ha−1, 45 kg P ha−1, and 20 kg S ha−1)]. Biochar application increased soil organic matter (SOM), soil pH, phosphorus (P), potassium (K), sulfur (S) contents, and the shoot and root biomass of wheat. However, these responses were observed at biochar rates below 22.4 Mg ha−1, particularly in treatments without fertilizer. In fertilizer-applied treatments, soil nitrate levels decreased with an increase in biochar rates, mainly due to better crop growth and high nitrate uptake. However, without N addition, the high C:N ratio (500:1) possibly increased nutrient tie-up, reduced plant biomass, and SOM buildup at the highest biochar rate. Based on these results, we recommend biochar rates of about 22.4 Mg ha−1 and below for Walla Walla silt loams.

1. Introduction

Approximately 64 million dry tons of forest harvest residues are produced annually in the US, and an additional 87 million dry tons of wood remain as milling residues [1]. These residues are a potential feedstock for the production of biochar. Biochar is a charcoal-like product of thermal degradation of biomass in limited presence or absence of oxygen (pyrolysis) that could be used as a soil amendment to improve soil health and crop productivity [2]. However, biochar is not a uniform product. A characteristic of the feedstock type and pyrolysis conditions determines its structure, nutrient content, pH, and other properties [3,4,5]. Biochar has between 40% to 90% carbon (C) and, depending on the pyrolysis temperature, it could be either acidic or alkaline. Low-temperature pyrolysis (<400 °C) usually produces acidic biochar while high-temperature pyrolysis (>600 °C) produces alkaline biochar.
In the inland Pacific Northwest (iPNW) of the USA, there is growing interest in biochar to remedy deteriorating soil conditions particularly in regions where winter wheat-summer fallow (WW-SF) has been practiced for the last 80 to 100 years. Soils under the WW-SF system have lost more than 60% of soil organic matter (SOM) in the top 0–30 cm depth profile. In this system, only one crop is grown in two years, and the resultant crop residues are inadequate to maintain or increase SOC. Growing cover crops or annual cropping could restore SOC, which is rather challenging for low precipitation zones of iPNW where WW-SF is practiced. In addition, the soils in iPNW acidified over time due to the continual use of ammoniacal N fertilizers with some soils now showing pH values as low as 4.6 to 4.8 in the top 30-cm depth [6,7].
The presence of biochemically recalcitrant and predominantly aromatic carbon in biochar is often attributed to its long-term C storage potential [8]. Therefore, applying biochar can quickly increase th total C pool in iPNW soils. In addition, biochar amendments supply phosphorus (P), potassium (K), sulfur (S), and other trace minerals to the soil. Adding lime (CaCO3) to the soil is the most recommended method to reduce soil acidity. However, the application of agricultural lime results in carbon dioxide (CO2) emissions that contribute to global warming. For example, in 2001, about 20–30 Tg of lime was applied to soils in the US, resulting in net CO2 emissions of 4.4–6.6 Tg [9]. Alkaline biochar with high liming value can be a substitute for lime in reducing soil acidity observed in iPNW soils without releasing excess CO2. Liming reduces soil acidity and alleviates aluminum (Al) and iron (Fe) toxicity [10]. Amending acidic and low SOM soils of iPNW with alkaline biochar can increase total C, reduce soil acidity, improve soil health, and contribute to climate change mitigation [11].
Studies of biochar impacts on soil health and crop productivity have shown varied responses across soil types and management systems. Biochar application rates from 0.5 to 135 t ha−1 have produced plant growth responses ranging from −29% to 324% [12]. Plant and soil responses of biochar application also varied with agricultural systems, crop type, climatic conditions [13,14], and fertilization status [15]. Lone et al. [16] showed that biochar could affect soil N cycling and several transformation mechanisms, such as reduced inorganic N leaching by increasing nutrient retention due to cation and anion exchange reactions and immobilization of inorganic N due to labile C fractions of biochar. Biochar could also prevent nitrification and denitrification losses by increasing adsorption of NH4+ and NO3. Especially, in fertilized systems with biochar amendments, there is a greater reduction in N loss and consequently, higher fertilizer use efficiency [16]. Yet, biochar and fertilizer interactions on plant production and soil health are inconclusive. Some authors have reported that treatments receiving both biochar and fertilizer increased fertilizer use efficiency by enhancing plant growth and soil N mineralization than in treatments receiving either [17,18,19]. However, a recent meta-analysis using 371 independent studies indicated no additive or synergistic relation between biochar and fertilizer [20]. The study also reported differences in the efficiency of fertilizer with varying rates of biochar, and reduced efficiency, especially at higher doses [15]. Besides, information on application rates for different crops and soils is lacking [2]. Clearly, site-specific research on the effects of biochar on soil properties and crop production are needed. Studies conducted under diverse soil nutrient management practices will assist producers to find optimal biochar rates for their soils to improve agricultural sustainability [16,21].
A greenhouse experiment was conducted with the objective of investigating the effect of different rates of wood biochar on soil properties and winter wheat growth in an iPNW soil. We evaluated (1) soil chemical and biochemical properties, and (2) winter wheat shoot and root growth using different biochar application rates in the presence and absence of chemical fertilizers.

2. Materials and Methods

2.1. Experimental Setup

A Walla Walla silt loam soil (coarse-silty, mixed, superactive, mesic Typic Haploxerolls) [22] with 18% Clay, 70% silt, and 12% fine sand was collected from the top 20 cm depth of a WW-SF field at the Columbia Basin Agriculture Center (CBARC) near Pendleton, Oregon (45°42′ N, 118°36′ W, Elev. 438 m) for the study. A factorial randomized block design experiment with four replications consisting of four biochar rates (0, 11.2, 22.4, 44.8 Mg ha−1) with and without fertilizer was established in the greenhouse at CBARC. Fertilizer treatments were equivalent to 90 kg N ha−1, 45kg P ha−1 and 20 kg S ha−1, the rate typically used for winter wheat production in the region. Air-dried soil, fertilizers and biochar were evenly mixed in a custom-build portable rotary cement mixer for 5 min and packed into 4 L capacity plastic pots (14 cm i.d. by 14 cm tall). Soil moisture was measured using Stevens Hydra probe (Stevens Water Monitoring Systems Inc., Portland, OR, USA) and soil water content was adjusted by adding deionized water in pots when the moisture was below 70% of the field capacity.
The biochar used in this study was a co-product of energy production in Philomath, OR (Biological Carbon, LLC, Philomath, Oregon, USA). The pyrolysis temperature was about 900 °C, and Douglas fir (Pseudotsuga menziesii) was the main feedstock for the biochar production. Biochar chemical characteristics were determined using the standard method for wood charcoal analysis [23] at Control Laboratories Inc. (Watsonville, CA, USA). Soil samples collected for the experiment were also analyzed for basic soil properties in the AgSource Laboratory (Umatilla, OR, USA). Analyses of biochar and soil properties are reported in Table 1.
Wheat seeds were pre-germinated in Petri-dishes on moistened paper towels in growth champers set at 4 °C for 48 h, and six pre-germinated seeds were sown in each pot. Seedlings were thinned to four per pot two weeks after sowing. The pots were placed in shallow trays and watered with deionized water to maintain field capacity throughout the 10 weeks of the experiment.

2.2. Plant and Soil Analysis

The whole wheat shoot biomass was harvested by cutting shoots at the soil surface using stainless steel scissors and weight to determine fresh weight and dried at 70 °C for 72 h to estimate dry matter content. Roots in the bulk soil were separated by passing soil through a 2 mm sieve. Roots passing through 2 mm sieves were separated by wet sieving 500 g sub-sample through 250 μm sieves for 20 min [24] and dried for 24 h at 70 °C to estimate dry mass.
Soil from each pot was homogenized, passed through a 2 mm sieve to separate the root and shoot residue and a 500 g sub-sample was collected and stored at 4 °C until analysis. Soil inorganic N [sum of NO3 and NH₄+] was determined by extracting 10 g soil sub-samples in 50 mL 1 M potassium chloride solution and analyzed in an Astoria Analyzer with micro-segmented flow analysis system (Astoria-Pacific Inc., Clackamas, OR, USA). Soil pH and electrical conductivity (EC) were determined in 1:2 soil to deionized water ratio (w/v) using a pH/Conductivity meter (Thermo Scientific™ Orion™ Star A215 pH and Conductivity Benchtop Meter). The rest of the soil sub-samples were sent to a commercial lab (AgSource Laboratories, Umatilla, OR) for the analysis of other soil properties. Soil total C and N concentrations were determined by combustion analysis (Flash EA 1112 series, Thermo Finnigan, San Jose, CA, USA) of soil that had been oven-dried (60 °C, 72 h) and finely ground for 2 min in Shatter 1 Box 8530 ball mill (Spex Sample Prep., Metuchen, NJ, USA). Soil pH was less than 6.5 in all soil samples; hence total C from these samples were considered as SOC.

2.3. Statistical Analysis

Statistical significance (α = 0.05) for mean comparisons of variables was determined using a mixed model analysis of variance (Proc. Mixed) with two-way analysis term for factorial experiments (SAS ver. 9.4, SAS Institute, Cary, NC, USA). Plant growth parameters and soil properties were response variables, fertilizer and biochar treatments were explanatory variables, and replication was considered as a random effect on the model. The relationships between soil properties were evaluated by the Pearson Correlation (Proc CORR) procedure (SAS, ver. 9.4).

3. Results

Biochar and fertilizer application had significant effects on shoot biomass, and only biochar had a significant effect on root biomass (Table 2). Biochar increased wheat shoot biomass by 15% to 20% (control: 5.1 g−1 pot) when applied at the rate of 11.2 and 22.4 Mg ha−1 without fertilizer addition; and by 17% to 18% (control: 5.5 g−1 pot) with fertilizer application (Figure 1a). The highest biochar application rate (44.8 Mg ha−1) increased shoot biomass of wheat by 18% (6.45 g−1 pot) compared to the control in fertilized treatments. However, without fertilizer addition, only two to three plants survived in two out of four replications resulting in reduced shoot and root biomass in treatments with the highest biochar rate. Root biomass increased by 39 and 45% compared to the control (1.3 g−1 pot) without fertilizer addition, and by 19% and 24% with fertilizer application at the rate of 11.2 and 22.4 Mg ha−1 biochar application (Figure 1b).
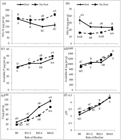
There were significant biochar and fertilizer interactions on many soil properties (Table 2). Th soil pH, P, K, and S concentration, increased with biochar rates (Figure 2). Without fertilizer addition, the soil pH increased by 1.1 units in the 44.8 Mg ha−1 biochar treatment compared to the control (5.3). Soil pH increased by 1.2 units (control: 5.1) at the same biochar rate when the fertilizer was added. There was a strong positive correlation among soil pH and P, K, and S concentrations regardless of fertilizer application (Table 3). Soil P was 18% to 50% greater with 11.2 to 44.8 Mg ha−1 biochar rates, respectively, than controls (33 mg P kg−1 soil) without fertilizer addition while it was 14% to 36% greater, respectively, with biochar than control (34 mg P kg−1 soil) in fertilized treatments (Figure 2). Sulfur was 93% to 380% greater in biochar treatments than control (18.8 mg S kg−1 soil) without fertilizer and 66 to 297% more than control (29 mg S kg−1) with fertilizer application. Soil K was 16 to 55% greater in biochar treatments than control (888 mg K kg−1 soil) without fertilizer and 12% to 40% greater than control (951 mg K kg−1 soil) with fertilizer addition. The soil pH and nutrients were negatively correlated with soil NO3-N and NH4-N in treatments receiving fertilizer application, whereas, without fertilizer, soil pH and nutrients were positively correlated with soil NO3-N and NH4-N concentrations (Table 3).
The NO3-N and NH4-N contents decreased with increasing biochar rates in fertilized treatments (Figure 2). Without fertilizer addition, both NO3-N and NH4-N did not respond to increasing biochar rates except at the highest biochar rates. There was no significant biochar and fertilizer interaction on SOM content, but increasing biochar rates significantly increased SOM compared to the control (Table 2 and Figure 1c). The biochar application increased SOM content by 13% to 20%, and the highest increase was observed at 22.4 Mg ha−1 biochar rate. With fertilizer application, SOM was positively correlated with nutrients (P, K, and S) and negatively correlated with NO3-N and NH4-N whereas without fertilizer application there was no correlation of SOM with the nutrients (Table 3).

4. Discussion

The alkaline forest biochar increased soil pH and SOM in all treatments compared to soil with no biochar, suggesting a potential for improving soil health with biochar application. Regardless of fertility, soil P, K, and S increased with increasing biochar rates indicating that either biochar contributed the nutrients or the increase in pH increased nutrient availability in the soil. Biochar is a source of several nutrients; its complex reaction with soil releases nutrients, making them available for plant uptake over time [20,25]. Availability of N, P, K, and S also increase with pH [12,26]. In this study, biochar increased soil pH by more than a unit from about 5 to 6 and there was a strong positive correlation among soil pH and P, K and S. The soil pH increase, however, was greater in treatments receiving fertilizer application than in the corresponding treatments with no fertilizer addition indicating that fertilizer application could enhance the biochar effect to reduce soil acidity. The increase in pH and the nutrients probably enhanced shoot and root growth.
Unlike other nutrients, application of biochar decreased soil NO3-N and NH4-N concentration. The reduction in NO3-N and NH4-N coincided with the increased wheat shoot and root biomass, suggesting that the reduction of these nutrients was due to increased plant uptake. The opposite was true when the soil was not fertilized. Soil NO3-N and NH4-N remained high at the highest biochar rates indicating the inability of plants to take up these nutrients. Subsequently, wheat shoot and root biomass were reduced under the highest biochar rate (44.8 Mg ha−1) when the soil was not fertilized. Biochar used in this study had very high C:N ratio (500:1) that could have tied up some of N, thereby limiting its availability to plants. The reduced availability of inorganic N without fertilizer addition suggests the strong affinity of biochar for NH4-N and NO3-N [27,28]. Biochar N is mainly found in the heterocyclic compound, which is suggested to be resistant to microbial degradation hence not easily available for plant use [29,30]. Moreover, biochar also increases nutrient retention due to cation and anion exchange reactions and immobilizes inorganic N due to high C:N ratio (500:1) [16]. Therefore, in the treatment that received a high dose of biochar without fertilization, nutrient supply, especially soil available N was likely not enough to support plant survival.
The SOM was positively correlated with soil P, K, and S concentrations, and negatively correlated with NO3-N and NH4-N in fertilized soil; however there was no correlation in unfertilized treatments. These findings highlight the positive role of fertilization on the effectiveness of biochar in nutrient availability and plant uptake. Although SOM generally increased with an increase in biochar rates, it was lower in unfertilized than in fertilized treatments at the highest biochar rate. Death of plants at the highest biochar rates in treatments without fertilizer resulted in reduced shoot and root biomass which ultimately resulted in the low SOM accumulation. Barontia et al. [31] observed reduced durum wheat productivity biochar rates above 10 Mg ha−1. Wheat death at a higher biochar rate implies that biochar application rates greater than 22.4 Mg ha−1 may not be beneficial for wheat biomass production in a Walla Walla silt loam soil. Overrall, the alkaline biochar was effective in ameliorating soil acidity and increasing SOM, nutrient availability and uptake by plants, and plant shoot and root biomass. Further on-farm studies will enhance our understanding of the agronomic and environmental benefits of biochar on soil health and plant productivity.

5. Conclusions

Biochar amendment improved the soil chemical environment of the Walla Walla silt loam and wheat growth and has the potential to enhance agricultural sustainability in iPNW. Applying biochar at rates up to 22.4 Mg ha−1, with and without fertilizer addition, increased wheat shoot and root biomass. However, at the highest rate of (44.8 Mg ha−1), wheat biomass was reduced, especially when no fertilizer was added. Biochar positively influenced on soil properties, which ultimately affected plant production. Increasing biochar application rates significantly increased SOM, soil pH, availability of P, K, and S content; all factors critical for improving soil health. The increase in SOM was not solely due to C additions from the biochar but also from root biomass as indicated by the lowering of SOM at the highest biochar application rate without fertilization where plants died. It appears that the optimum biochar application rate for the Walla Walla silt loam is 22.4 Mg ha−1. The reduction in soil NO3-N with increase in biochar application rates was attributed to plant uptake under the fertilized treatment. Our study suggested that the addition of biochar could enhance soil health and wheat production. The biochar application can reduce soil acidity and improve wheat yield. However, because of the high C:N ratio, we recommend the addition of adequate fertilizer when amending the soil with biochar, particularly in low-fertility soil and at high biochar rates of application. Our greenhouse study generated positive preliminary results on soil and wheat responses to biochar application. However, field experiments are needed to measure and quantify long-term agronomic and environmental benefits of biochar on agricultural soils in the iPNW.

Author Contributions

P.B., R.G., and S.M. conceived and designed the experiment, P.B., R.G., and L.P. performed the experiment; P.B. analyzed the data and wrote the first draft of the manuscript; S.M. contributed reagents/materials/analysis tools and acquired funding; all authors revised the manuscript.

Funding

Please add: This research was funded by the Biological Carbon LLC, and the National Institute of Food and Agriculture, USA Department of Agriculture, under award number 2011-68002-30191.

Acknowledgments

The authors would like to acknowledge the support by staffs of Columbia Basin Agricultural Research Center.

Conflicts of Interest

The authors declare no conflict of interest. The funders had no role in the design of the study; in the collection, analyses, or interpretation of data; in the writing of the manuscript, or in the decision to publish the results.

References

  1. White, E.M. Woody Biomass for Bioenergy and Biofuels in the United States—A Briefing Paper; General Technical Report PNW-GTR-825; U.S. Department of Agriculture, Forest Service, Pacific Northwest Research Station: Portland, OR, USA, 2010; p. 45.
  2. Lehmann, J.; Joseph, S. Biochar for Environmental Management: Science and Technology; Earthscan: London, UK, 2009. [Google Scholar]
  3. Bruun, E.W.; Hauggaardd-Nielsen, H.; Ibradhim, N.; Egsgaard, H.; Ambus, P.; Jensen, A.P.; Dam-Johansen, K. Influence of fast pyrolysis temperature on biochar labile fraction and short-term carbon loss in a loamy soil. Biomass Bioenergy 2011, 35, 1182–1189. [Google Scholar] [CrossRef]
  4. De la Rosa, J.M.; Paneque, M.; Miller, A.Z.; Knicker, H. Relating physical and chemical properties of four different biochars and their application rate of biomass production of Lolium perenne on a Calcic Cambisol during a pot experiment of 79 days. Sci. Total Environ. 2014, 499, 175–189. [Google Scholar] [CrossRef]
  5. Novak, J.M.; Busscher, W.J.; Laird, D.L.; Ahmedna, M.; Watts, D.W.; Niandou, M.A.S. Impact of biochar amendment on fertility of a Southeastern coastal plain soil. Soil Sci. 2009, 174, 105–112. [Google Scholar] [CrossRef]
  6. Brown, T.T.; Huggins, D.R. Soil carbon sequestration in the dryland cropping region of the Pacific Northwest. J. Soil Water Conserv. 2012, 67, 406–415. [Google Scholar] [CrossRef]
  7. Ghimire, R.; Machado, S.; Bista, P. Soil pH, soil organic matter, and crop yields in winter wheat-summer fallow systems. Agron. J. 2017, 109, 706–717. [Google Scholar] [CrossRef]
  8. Keith, A.; Singh, B.; Singh, B.P. Interactive priming of biochar and labile organic matter mineraliztion in smecitie- rich soil. Environ. Sci. Technol. 2011, 45, 9611–9618. [Google Scholar] [CrossRef] [PubMed]
  9. West, T.O.; McBride, A.C. The contribution of agricultural lime to carbon dioxide emissions in the United State: Dissolution, transport and net emissions. Agric. Ecosyst. Environ. 2005, 108, 145–154. [Google Scholar] [CrossRef]
  10. Major, J.; Rondon, M.; Molina, D.; Riha, S.J.; Lehmann, J. Maize yield and nutrition during 4 years after biochar application to a Colombian savanna oxisol. Plant Soil 2010, 333, 117–128. [Google Scholar] [CrossRef]
  11. Brown, S.; Carpenter, A.; Beecher, N. A calculator tool for determining greenhouse gas emissions for processing and end use. Environ. Sci. Technol. 2010, 44, 9509–9515. [Google Scholar] [CrossRef]
  12. Glaser, B.; Lehmann, J.; Zech, W. Ameliorating physical and chemical properties of highly weathered soils in the tropics with charcoal—A review. Biol. Fertil. Soils 2002, 35, 219–230. [Google Scholar] [CrossRef]
  13. Gundale, M.J.; DeLuca, T.H. Charcoal effects on soil solution chemistry and growth of Koeleria macrantha in the ponderosa pine/Douglas-fir ecosystem. Biol. Fertil. Soils 2007, 43, 303–311. [Google Scholar] [CrossRef]
  14. Unger, R.; Killorn, R.; Brewer, C. Effects of soil application of different biochars on selected soil chemical properties. Commun. Soil Sci. Plant 2011, 19, 2310–2321. [Google Scholar] [CrossRef]
  15. Haefele, S.M.; Konboon, Y.; Wongboon, W.; Amarante, S.; Maarifat, A.A.; Pfeiffer, E.M.; Knoblauch, C. Effects and fate of biochar from rice residues in rice-based systems. Field Crops Res. 2011, 121, 430–440. [Google Scholar] [CrossRef]
  16. Lone, A.H.; Najar, G.R.; Ganie, M.A.; Sofi, J.A.; Ali, T. Biochar for Sustainable Soil Health: A Review of Prospects and Concerns. Pedosphere 2015, 25, 639–653. [Google Scholar] [CrossRef]
  17. Albuquerque, J.A.; Salazar, P.; Barron, V.; Torrent, J.; del Campillo, M.D.; Gallardo, A.; Villar, R. Enhanced wheat yield by biochar addition under different mineral fertilization levels. Agron. Sustain. Dev. 2013, 33, 475–484. [Google Scholar] [CrossRef]
  18. Chan, K.Y.; van Zwieten, L.; Meszaros, I.; Downie, A.; Joseph, S. Agronomic values of greenwaste biochar as a soil amendment. Aust. J. Soil Res. 2007, 45, 629–634. [Google Scholar] [CrossRef]
  19. Steiner, C.; Teixeira, W.G.; Lehmann, J.; Nehls, T.; de Macedo, J.L.V.; Blum, W.E.H.; Zech, W. Long term effects of manure, charcoal and mineral fertilization on crop production and fertility on a highly weathered Central Amazonian upland soil. Plant Soil 2007, 291, 275–290. [Google Scholar] [CrossRef]
  20. Biederman, L.A.; Harpole, W.S. Biochar and its effects on plant productivity and nutrient cycling: A meta-analysis. GCB Bioenergy 2013, 5, 202–214. [Google Scholar] [CrossRef]
  21. Jeffery, S.; Verheijen, F.G.A.; van der Velde, M.; Bastos, A.C. A quantitative review of the effects of biochar application to soils on crop productivity using meta-analysis. Agric. Ecosyst. Environ. 2011, 144, 175–187. [Google Scholar] [CrossRef]
  22. Soil Survey Staff. Web Soil Survey. Natural Resources Conserv, Serv., USDA, 2016. Available online: http://websoilsurvery.sc.gov.usda.gov (accessed on 5 December 2016).
  23. ASTM International. ASTM D1762-84. 2013. Standard Test Method for Chemical Analysis of Wood Charcoal; ASTM International: West Conshohocken, PA, USA, 2013.
  24. Ghimire, R.; Norton, J.B.; Pendall, E. Alfalfa-grass biomass, soil organic carbon, and total nitrogen under different management approaches in an irrigate agroecosystem. Plant Soil 2014, 374, 173–184. [Google Scholar] [CrossRef]
  25. Lehmann, J.; Kuzyakov, Y.; Pan, G.; Ok, Y.S. Biochar and the plant-soil interface. Plant Soil 2015, 395, 1–5. [Google Scholar] [CrossRef]
  26. Chintala, R.; Mollinedo, J.; Schumacher, T.E.; Malo, D.D.; Julson, J.L. Effect of biochar on chemical properties of acidic soil. Arch. Agron. Soil Sci. 2013, 60, 393–404. [Google Scholar] [CrossRef]
  27. Atkinson, C.J.; Fitzgerald, J.D.; Hipps, N.A. Potential mechanisms for achieving agricultural benefits from biochar applications to temperate soils: A review. Plant Soil 2010, 337, 1–18. [Google Scholar] [CrossRef]
  28. Lehmann, J.; da Silva, J.P.; Seiner, C.; Nehls, T.; Zech, W.; Glaser, B. Nutrient availability and leaching in an archaeological anthrosol and a Ferralsol of the central Amazon basin: Fertilizer, manure and charcoal amendments. Plant Soil 2003, 249, 343–357. [Google Scholar] [CrossRef]
  29. Schmidt, M.W.I.; Noack, A.G. Black carbon in soils and sediments: Analysis, distribution, implications, and current challenges. Glob. Biogeochem. Cycles 2000, 14, 777–793. [Google Scholar] [CrossRef]
  30. Knicker, H. How does fire affect the nature and stability of soil organic nitrogen and carbon? A review. Biogeochemistry 2007, 85, 91–118. [Google Scholar] [CrossRef]
  31. Baronti, S.; Alberti, G.; Vedove, G.D.; Gennaro, F.D.; Fellet, G.; Genesio, L.; Migletta, F.; Peressotti, A.; Vaccari, F.P. The biochar option to improve plant yields: First results from some field and pot experiments in Italy. Ital. J. Agron. 2010, 5, 3–12. [Google Scholar] [CrossRef]
Figure 1. Effect of biochar and fertilizer treatments on (a) wheat shoot biomass, (b) wheat root biomass, and (c) soil organic matter (SOM). Upper case letters indicate significant difference among the different rate of biochar within fertilizer applied (Fert) and no fertilizer (No Fert) treatments, and lower case letters indicate significant difference within the same rate of biochar applied treatment with and without fertilizer.
Figure 1. Effect of biochar and fertilizer treatments on (a) wheat shoot biomass, (b) wheat root biomass, and (c) soil organic matter (SOM). Upper case letters indicate significant difference among the different rate of biochar within fertilizer applied (Fert) and no fertilizer (No Fert) treatments, and lower case letters indicate significant difference within the same rate of biochar applied treatment with and without fertilizer.
Agronomy 09 00623 g001
Figure 2. Effect of biochar and fertilizer treatments on soil properties (a) NO3-N, (b) NH4-N, (c) available P, (d) available K, (e) S and (f) pH. Upper case letters indicate significant differences among the different rate of biochar rates within fertilizer applied (Fert) and no fertilizer (No Fert) treatments, and lower case letters indicate significant differences within the same biochar treatment with and without fertilizer.
Figure 2. Effect of biochar and fertilizer treatments on soil properties (a) NO3-N, (b) NH4-N, (c) available P, (d) available K, (e) S and (f) pH. Upper case letters indicate significant differences among the different rate of biochar rates within fertilizer applied (Fert) and no fertilizer (No Fert) treatments, and lower case letters indicate significant differences within the same biochar treatment with and without fertilizer.
Agronomy 09 00623 g002
Table 1. Physiochemical characteristics of Douglas fir biochar and soil used in the study.
Table 1. Physiochemical characteristics of Douglas fir biochar and soil used in the study.
CharacteristicsBiocharSoil
C900 g kg−16.4 g kg−1
N1.8 g kg−10.6 g kg−1
C:N500:111:1
pH10.64.8
Volatile matter 51 g kg−1-
Ash content188 g kg−1-
Moisture48 g kg−1-
EC-2.8 dS m−1
CEC-3.5 cmol kg−1
NO3-N-271 mg kg−1
NH4-N-28.0 mg kg−1
P-40.3 mg kg−1
K-1105 mg kg−1
S-30.5 mg kg−1
Table 2. Analysis of variance (p value) of biochar and fertilizer effects on soil properties (pH, EC, OM, P, K, S, NO3-N and NH4-N) and plant biomass (shoot and root).
Table 2. Analysis of variance (p value) of biochar and fertilizer effects on soil properties (pH, EC, OM, P, K, S, NO3-N and NH4-N) and plant biomass (shoot and root).
pHEC *SOMPKSNO3-NNH4-NShootRoot
Biochar (B)<0.00010.60730.0453<0.0001<0.0001<0.00010.00090.07920.02040.0032
Fertilizer (F)0.00040.00090.06890.00100.38760.00020.01450.00370.00670.96
B × F0.00200.08890.0637<0.00010.00060.00110.03260.03330.05660.26
* EC = electrical conductivity, SOM = soil organic matter, P = phosphorus, K = potassium, S = sulfur.
Table 3. Correlation among soil properties in biochar applied soils with and without fertilizer addition.
Table 3. Correlation among soil properties in biochar applied soils with and without fertilizer addition.
ECOMPKSNO3-NNH4-N
With Fertilizer application
pH−0.380.620.94 ***0.93 ***0.98 ***−0.61 *−0.51 *
EC 0.12−0.32−0.42−0.380.06−0.21
OM 0.62 **0.54 *0.62 **−0.61 **−0.70 **
P 0.96 ***0.88 ***−0.45−0.53 *
K 0.86 ***−0.40−0.38
S −0.64 **−0.48
NO3-N 0.56 *
Without fertilizer application
pH−0.21−0.020.96 ***0.99 ***0.99 ***0.49 *0.66 **
EC −0.21−0.24−0.22−0.200.130.28
OM 0.05−0.01−0.06−0.37−0.47
P 0.96 ***0.94 ***0.410.60 **
K 0.99 ***0.56 *0.61 **
S 0.59 **0.63 **
NO3-N 0.40
*, **, and *** indicate significant correlations at the 0.05, 0.01, and 0.001 probability levels, respectively.

Share and Cite

MDPI and ACS Style

Bista, P.; Ghimire, R.; Machado, S.; Pritchett, L. Biochar Effects on Soil Properties and Wheat Biomass vary with Fertility Management. Agronomy 2019, 9, 623. https://doi.org/10.3390/agronomy9100623

AMA Style

Bista P, Ghimire R, Machado S, Pritchett L. Biochar Effects on Soil Properties and Wheat Biomass vary with Fertility Management. Agronomy. 2019; 9(10):623. https://doi.org/10.3390/agronomy9100623

Chicago/Turabian Style

Bista, Prakriti, Rajan Ghimire, Stephen Machado, and Larry Pritchett. 2019. "Biochar Effects on Soil Properties and Wheat Biomass vary with Fertility Management" Agronomy 9, no. 10: 623. https://doi.org/10.3390/agronomy9100623

APA Style

Bista, P., Ghimire, R., Machado, S., & Pritchett, L. (2019). Biochar Effects on Soil Properties and Wheat Biomass vary with Fertility Management. Agronomy, 9(10), 623. https://doi.org/10.3390/agronomy9100623

Note that from the first issue of 2016, this journal uses article numbers instead of page numbers. See further details here.

Article Metrics

Back to TopTop