The Use of Grape Pomace Residues as a Nutrient Source in Subtropical Viticulture
Abstract
1. Introduction
2. Materials and Methods
2.1. Experimental Site and Experimental Design
2.2. Mean Temperatures and Accumulated Rainfall
2.3. Soil Sampling and Analyses
2.4. Grape Pomace Compost and Vermicompost Composition
2.5. Leaf Tissue Elementary Analyses and Plant Nutrition
2.6. Grape Yield
2.7. Grape Quality and Must Chemical Composition
2.8. Statistical Analyses
3. Results
3.1. Plant Nutrition and Grape Yield
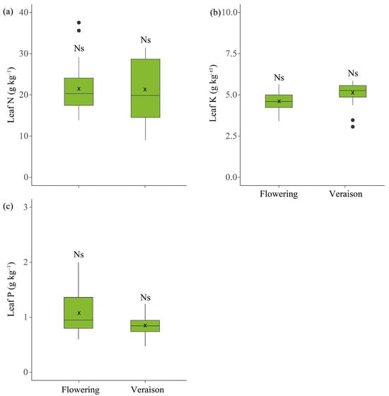
3.1.1. Leaf Nutrient Content
3.1.2. SPAD Index
3.1.3. Grape Yield
3.2. Grape Quality and Must Chemical Composition
3.3. Soil Nutrients
3.4. Principal Component Analysis
4. Discussion
5. Conclusions
Supplementary Materials
Author Contributions
Funding
Data Availability Statement
Acknowledgments
Conflicts of Interest
References
- Aouadi, N.; Macary, F.; Delière, L.; Roby, J.-P. New Scenarios for a Shift towards Agroecology in Viticulture. Agric. Sci. 2021, 12, 1003–1033. [Google Scholar] [CrossRef]
- Pizzeghello, D.; Bellin, L.; Nardi, S.; Francioso, O.; Squartini, A.; Concheri, G. Wood-Based Compost Affects Soil Fertility and the Content of Available Forms of Nutrients in Vineyard and Field-Scale Agroecosystems. Agronomy 2021, 11, 518. [Google Scholar] [CrossRef]
- Brunetto, G.; Lorensini, F.; Ceretta, C.A.; Gatiboni, L.C.; Trentin, G.; Girotto, E.; Miotto, A.; Lourenzi, C.R.; De Melo, G.W.B. Soil Phosphorus Fractions in a Sandy Typic Hapludaft as Affected by Phosphorus Fertilization and Grapevine Cultivation Period. Commun. Soil Sci. Plant Anal. 2013, 13, 1937–1950. [Google Scholar] [CrossRef]
- Paradelo, R.; Moldes, A.B.; Barral, M.T. Carbon and Nitrogen Mineralization in a Vineyard Soil Amended with Grape Marc Vermicompost. Waste Manag. Res. 2011, 29, 1177–1184. [Google Scholar] [CrossRef]
- Cataldo, E.; Fucile, M.; Mattii, G.B. A Review: Soil Management, Sustainable Strategies and Approaches to Improve the Quality of Modern Viticulture. Agronomy 2021, 11, 2359. [Google Scholar] [CrossRef]
- Lima, F.V.d.; Mendonça, V.; Silva, F.S.O.; Câmara, F.M.d.M.; Irineu, T.H.d.S. Nitrogen and Organic Fertilization on Grapevine Productivity in the Brazilian Semiarid Region. Revista Caatinga 2019, 32, 121–130. [Google Scholar] [CrossRef]
- Tassinari, A.; Santos, E.M.H.d.; Stefanello, L.O.; Vitto, B.B.; Siqueira, G.N.d.; Schwalbert, R.A.; Ceretta, C.A.; Schwalbert, R.; Tiecher, T.L.; Ciotta, M.N.; et al. Establishment of Potassium Reference Values Using Bayesian Models in Grapevines. Agriculture 2022, 12, 1867. [Google Scholar] [CrossRef]
- Bavaresco, L.; Poni, S. Effect of Calcareous Soil on Photosynthesis Rate, Mineral Nutrition, and Source-Sink Ratio of Table Grape. J. Plant Nutr. 2003, 26, 2123–2135. [Google Scholar] [CrossRef]
- Hindersmann, J.; Tassinari, A.; Trentin, E.; Mallmann, F.J.K.; Trapp, T.; Stefanello, L.O.; Tabaldi, L.A.; Aguilar, M.V.M.; Loss, A.; Paula, B.V.d.; et al. Soil-Applied Nitrogen Uptake by Young Olive Cultivars Intercropped or Not with Paspalum Notatum. Sci. Hortic. 2023, 318, 112100. [Google Scholar] [CrossRef]
- Tagliavini, M.; Scudellari, D.; Marangoni, B.; Bastianel, A.; Franzin, F.; Zamborlini, M. Leaf Mineral Composition of Apple Tree: Sampling Date and Effects of Cultivar and Rootstock 1. J. Plant Nutr. 1992, 15, 605–619. [Google Scholar] [CrossRef]
- Beck, H.E.; Zimmermann, N.E.; McVicar, T.R.; Vergopolan, N.; Berg, A.; Wood, E.F. Present and Future Köppen-Geiger Climate Classification Maps at 1-Km Resolution. Sci. Data 2018, 5, 180214. [Google Scholar] [CrossRef]
- IUSS Working Group WRB World Reference Base for Soil Resources. International Soil Classification for Naming Soils and Creating Legends for Soil Maps, 4th ed.; IWG: Vienna, Austria, 2022; ISBN 979-8-9862451-1-9. [Google Scholar]
- CQFS-RS/SC. Commission of Soil Chemistry and Fertility of the States of Rio Grande do Sul and Santa Catarina Manual de Calagem e Adubação Para Os Estados Do Rio Grande Do Sul e Santa Catarina, 11th ed.; Brazilian Society of Soil Science—Southern Regional Branch: Santa Maria, Brazil, 2016. [Google Scholar]
- INMET (Instituto Nacional de Meteorologia), 2020. Agrometeorologia. Available online: http://www.inmet.gov.br/portal (accessed on 10 April 2023).
- Teixeira, P.C.; Donagemma, G.K.; Fontana, A.; Teixeira, W.G. Manual de Métodos de Análise de Solo, 3rd ed.; Embrapa: Brasília, Brazil, 2017. [Google Scholar]
- Kokkonen, A.A.; Schemmer, S.; Brondani, R.; Fornari, J.F.; Papalia, D.G.; Baldi, E.; Toselli, M.; Moura-Bueno, J.M.; Loss, A.; Tiecher, T.L.; et al. Carbon and Nitrogen Stocks in Vineyard Soils Amended with Grape Pomace Residues. Agronomy 2024, 14, 2055. [Google Scholar] [CrossRef]
- Tedesco, M.J.; Gianello, C.; Bissani, C.A.; Bohnen, H.; Volkweiss, S.J. Análises de Solo, Plantas e Outros Materiais, 2nd ed.; UFRGS: Porto Alegre, Brazil, 1995. [Google Scholar]
- Zenebon, O.; Pascuet, N.S.; Tiglea, P. Métodos Químicos e Físicos Para Análise de Alimentos. In Normas Analíticas do Instituto Adolfo Lutz; Instituto Adolpho Lutz: São Paulo, Brazil, 2008; Volume 1, p. 1020. [Google Scholar]
- Ju, Z.Y.; Howard, L.R. Effects of Solvent and Temperature on Pressurized Liquid Extraction of Anthocyanins and Total Phenolics from Dried Red Grape Skin. J. Agric. Food Chem. 2003, 51, 5207–5213. [Google Scholar] [CrossRef]
- Giusti, M.M.; Wrolstad, R.E. Characterization and Measurement of Anthocyanins by UV-Visible Spectroscopy. Curr. Protoc. Food Anal. Chem. 2001, F1.2.1–F1.2.13. [Google Scholar] [CrossRef]
- Singleton, V.L.; Rossi, J.A. Colorimetry of Total Phenolics with Phosphomolybdic-Phosphotungstic Acid Reagents. Am. J. Enol. Vitic. 1965, 16, 144–158. [Google Scholar] [CrossRef]
- Ferreira, E.B.; Cavalcanti, P.P.; Nogueira, D.A.; Ferreira, M.E.B. Package “ExpDes. Pt”; R Package; R Core Team R: Vienna, Austria, 2018. [Google Scholar]
- Kassambara, A.; Mundt, F. Factoextra: Extract and Visualize the Results of Multivariate Data Analyses. CRAN: Contributed Packages. R Package; R Core Team R: Vienna, Austria, 2016. [Google Scholar]
- Wickham, H.; Chang, W.; Henry, L.; Pedersen, T.L.; Takahashi, K.; Wilke, C.; Woo, K.; Yutani, H.; Dunnington, D.; van den Brand, T. Ggplot2: Create Elegant Data Visualisations Using the Grammar of Graphics. CRAN: Contributed Packages. R Package; R Core Team R: Vienna, Austria, 2007. [Google Scholar]
- R Core Team R. A Language andEnvironment for Statistical Computing; R Core Team R: Vienna, Austria, 2023. [Google Scholar]
- Stefanello, L.; Schwalbert, R.; Schwalbert, R.; Tassinari, A.; Garlet, L.; De Conti, L.; Ciotta, M.; Ceretta, C.; Ciampitti, I.; Brunetto, G. Phosphorus Critical Levels in Soil and Grapevine Leaves for South Brazil Vineyards: A Bayesian Approach. Eur. J. Agron. 2023, 144, 126752. [Google Scholar] [CrossRef]
- Santana, N.A.; Rabuscke, C.M.; Soares, V.B.; Soriani, H.H.; Nicoloso, F.T.; Jacques, R.J.S. Vermicompost Dose and Mycorrhization Determine the Efficiency of Copper Phytoremediation by Canavalia Ensiformis. Environ. Sci. Pollut. Res. 2018, 25, 12663–12677. [Google Scholar] [CrossRef]
- Ramos, R.F.; Santana, N.A.; de Andrade, N.; Scheffer Romagna, I.; Tirloni, B.; de Oliveira Silveira, A.; Domínguez, J.; Josemar Seminoti Jacques, R. Vermicomposting of Cow Manure: Effect of Time on Earthworm Biomass and Chemical, Physical, and Biological Properties of Vermicompost. Bioresour. Technol. 2022, 345, 126572. [Google Scholar] [CrossRef]
- Vione, E.L.B.; da Silva, L.S.; Filho, A.C.; Aita, N.T.; de Morais, A.F.; da Silva, A.A.K. Caracterização Química de Compostos e Vermicompostos Produzidos Com Casca de Arroz e Dejetos Animais. Rev. Ceres 2018, 65, 65–73. [Google Scholar] [CrossRef]
- Lanno, M.; Klavins, M.; Purmalis, O.; Shanskiy, M.; Kisand, A.; Kriipsalu, M. Properties of Humic Substances in Composts Comprised of Different Organic Source Material. Agriculture 2022, 12, 1797. [Google Scholar] [CrossRef]
- Liu, F.; Zhu, P.; Xue, J. Comparative Study on Physical and Chemical Characteristics of Sludge Vermicomposted by Eisenia Fetida. Procedia Environ. Sci. 2012, 16, 418–423. [Google Scholar] [CrossRef]
- Wang, X.; Bai, J.; Xie, T.; Wang, W.; Zhang, G.; Yin, S.; Wang, D. Effects of Biological Nitrification Inhibitors on Nitrogen Use Efficiency and Greenhouse Gas Emissions in Agricultural Soils: A Review. Ecotoxicol. Environ. Saf. 2021, 220, 112338. [Google Scholar] [CrossRef]
- Mohee, R.; Soobhany, N. Comparison of Heavy Metals Content in Compost against Vermicompost of Organic Solid Waste: Past and Present. Resour. Conserv. Recycl. 2014, 92, 206–213. [Google Scholar] [CrossRef]
- Soobhany, N.; Mohee, R.; Garg, V.K. Comparative Assessment of Heavy Metals Content during the Composting and Vermicomposting of Municipal Solid Waste Employing Eudrilus eugeniae. Waste Manag. 2015, 39, 130–145. [Google Scholar] [CrossRef]
- Hu, W.; Zhang, Y.; Xiangmin, R.; Fei, J.; Peng, J.; Luo, G. Coupling Amendment of Biochar and Organic Fertilizers Increases Maize Yield and Phosphorus Uptake by Regulating Soil Phosphatase Activity and Phosphorus-Acquiring Microbiota. Agric. Ecosyst. Environ. 2023, 355, 108582. [Google Scholar] [CrossRef]
- Wei, Y.; Wei, Z.; Cao, Z.; Zhao, Y.; Zhao, X.; Lu, Q.; Wang, X.; Zhang, X. A Regulating Method for the Distribution of Phosphorus Fractions Based on Environmental Parameters Related to the Key Phosphate-Solubilizing Bacteria during Composting. Bioresour. Technol. 2016, 211, 610–617. [Google Scholar] [CrossRef]
- Moharana, P.C.; Biswas, D.R. Phosphorus Delivery Potential in Soil Amended with Rock Phosphate Enriched Composts of Variable Crop Residues under Wheat–Green Gram Cropping Sequence. Commun. Soil. Sci. Plant Anal. 2022, 53, 1000–1017. [Google Scholar] [CrossRef]
- Poblete-Grant, P.; Biron, P.; Bariac, T.; Cartes, P.; de Mora, M.L.L.; Rumpel, C. Synergistic and Antagonistic Effects of Poultry Manure and Phosphate Rock on Soil P Availability, Ryegrass Production, and P Uptake. Agronomy 2019, 9, 191. [Google Scholar] [CrossRef]
- El Maaloum, S.; Elabed, A.; El Alaoui-Talibi, Z.; Meddich, A.; Filali-Maltouf, A.; Douira, A.; Ibnsouda-Koraichi, S.; Amir, S.; El Modafar, C. Effect of Arbuscular Mycorrhizal Fungi and Phosphate-Solubilizing Bacteria Consortia Associated with Phospho-Compost on Phosphorus Solubilization and Growth of Tomato Seedlings (Solanum Lycopersicum L.). Commun. Soil. Sci. Plant Anal. 2020, 51, 622–634. [Google Scholar] [CrossRef]
- Carranca, C.; Brunetto, G.; Tagliavini, M. Nitrogen Nutrition of Fruit Trees to Reconcile Productivity and Environmental Concerns. Plants 2018, 7, 4. [Google Scholar] [CrossRef] [PubMed]
- Carranca, C. Nitrogen use efficiency by annual and perennial crops. In Farming for Food and Water Security; Series: Sustainable Agriculture Reviews; Lichtfouse, E., Ed.; Springer Science & Business Media: Dordrecht, The Netherlands, 2012; Volume 10, pp. 57–82. ISSN 2210-4410. ISBN 978-94-007-4499-8. [Google Scholar] [CrossRef]
- Gatiboni, L.C.; Smyth, T.J.; Schmitt, D.E.; Cassol, P.C.; Oliveira, C.M.B. Soil Phosphorus Thresholds in Evaluating Risk of Environmental Transfer To Surface Waters In Santa Catarina, Brazil. Rev. Bras. Cienc. Solo 2015, 39, 1225–1234. [Google Scholar] [CrossRef]
- Gatiboni, L.C.; da Nicoloso, R.S.; Mumbach, G.L.; de Souza, A.A.; Dall’Orsoletta, D.J.; Schmitt, D.E.; Smyth, T.J. Establishing Environmental Soil Phosphorus Thresholds to Decrease the Risk of Losses to Water in Soils from Rio Grande Do Sul, Brazil. Rev. Bras. Cienc. Solo 2020, 44, e0200018. [Google Scholar] [CrossRef]
- Marschner, P. Marschner’s Mineral Nutrition of Higher Plants, 3rd ed.; Academic Press: Cambridge, MA, USA, 2011. [Google Scholar]
- Barker, A.V.; Pilbeam, D.J. Handbook of Plant Nutrition, 2nd ed.; CRC Press: Boca Raton, FL, USA, 2015. [Google Scholar]
- Croft, H.; Chen, J.M.; Wang, R.; Mo, G.; Luo, S.; Luo, X.; He, L.; Gonsamo, A.; Arabian, J.; Zhang, Y.; et al. The Global Distribution of Leaf Chlorophyll Content. Remote Sens. Environ. 2020, 236, 111479. [Google Scholar] [CrossRef]
- Brunetto, G.; Melo, G.W.B.D.; Toselli, M.; Quartieri, M.; Tagliavini, M. The Role of Mineral Nutrition on Yields and Fruit Quality in Grapevine, Pear and Apple. Rev. Bras. Frutic. 2015, 37, 1089–1104. [Google Scholar] [CrossRef]
- Sperdouli, I.; Mellidou, I.; Moustakas, M. Harnessing Chlorophyll Fluorescence for Phenotyping Analysis of Wild and Cultivated Tomato for High Photochemical Efficiency under Water Deficit for Climate Change Resilience. Climate 2021, 9, 154. [Google Scholar] [CrossRef]
- Shtai, W.; Asensio, D.; Kadison, A.E.; Schwarz, M.; Raifer, B.; Andreotti, C.; Hammerle, A.; Zanotelli, D.; Haas, F.; Niedrist, G.; et al. Soil Water Availability Modulates the Response of Grapevine Leaf Gas Exchange and PSII Traits to a Simulated Heat Wave. Plant Soil 2024, 501, 537–554. [Google Scholar] [CrossRef]
- Brazil Ministry of Agriculture. National Secretariat of Agricultural Defense Complementation of Standards of Identity and Quality of Wine and Grape Derivatives; MAPA: Brasília, Brazil, 2004; pp. 1–21.
- Taiz, L.; Zeiger Ian Max Møller, E.; Murphy, A. Fisiologia e Desenvolvimento Vegetal, 6th ed.; Artmed: Porto Alegre, Brazil, 2017; ISBN 9788582713679. [Google Scholar]
- Mpelasoka, B.S.; Schachtman, D.P.; Treeby, M.T.; Thomas, M.R. A Review of Potassium Nutrition in Grapevines with Special Emphasis on Berry Accumulation. Aust. J. Grape Wine Res. 2003, 9, 154–168. [Google Scholar] [CrossRef]
- Walker, R.R.; Blackmore, D.H. Potassium Concentration and PH Inter-Relationships in Grape Juice and Wine of Chardonnay and Shiraz from a Range of Rootstocks in Different Environments. Aust. J. Grape Wine Res. 2012, 18, 183–193. [Google Scholar] [CrossRef]











| Organic Fertilizers | N | P | K | |
|---|---|---|---|---|
| Grape pomace vermicompost | Content (dry base) | 0.568% | 0.287% | 0.861% |
| Equivalent dose | 40 kg N ha–1 | 42.36 kg P2O5 ha–1 | 72.70 kg K2O ha–1 | |
| Grape pomace compost | Content (dry base) | 1.024% | 0.684% | 2.373% |
| Equivalent dose | 40 kg N ha–1 | 62.06 kg P2O5 ha–1 | 111.24 kg K2O ha–1 | |
Disclaimer/Publisher’s Note: The statements, opinions and data contained in all publications are solely those of the individual author(s) and contributor(s) and not of MDPI and/or the editor(s). MDPI and/or the editor(s) disclaim responsibility for any injury to people or property resulting from any ideas, methods, instructions or products referred to in the content. |
© 2025 by the authors. Licensee MDPI, Basel, Switzerland. This article is an open access article distributed under the terms and conditions of the Creative Commons Attribution (CC BY) license (https://creativecommons.org/licenses/by/4.0/).
Share and Cite
Kokkonen, A.A.; Tiecher, T.L.; Loss, A.; Toselli, M.; Garlet, L.P.; Marques, A.L.L.; Papalia, D.G.; Schemmer, S.; Costa, V.F.; Moura-Bueno, J.M.; et al. The Use of Grape Pomace Residues as a Nutrient Source in Subtropical Viticulture. Agronomy 2025, 15, 1010. https://doi.org/10.3390/agronomy15051010
Kokkonen AA, Tiecher TL, Loss A, Toselli M, Garlet LP, Marques ALL, Papalia DG, Schemmer S, Costa VF, Moura-Bueno JM, et al. The Use of Grape Pomace Residues as a Nutrient Source in Subtropical Viticulture. Agronomy. 2025; 15(5):1010. https://doi.org/10.3390/agronomy15051010
Chicago/Turabian StyleKokkonen, Allan Augusto, Tadeu Luis Tiecher, Arcângelo Loss, Moreno Toselli, Luana Paula Garlet, Ana Luiza Lima Marques, Daniéle Gonçalves Papalia, Samuel Schemmer, Vanessa Ferraz Costa, Jean Michel Moura-Bueno, and et al. 2025. "The Use of Grape Pomace Residues as a Nutrient Source in Subtropical Viticulture" Agronomy 15, no. 5: 1010. https://doi.org/10.3390/agronomy15051010
APA StyleKokkonen, A. A., Tiecher, T. L., Loss, A., Toselli, M., Garlet, L. P., Marques, A. L. L., Papalia, D. G., Schemmer, S., Costa, V. F., Moura-Bueno, J. M., & Brunetto, G. (2025). The Use of Grape Pomace Residues as a Nutrient Source in Subtropical Viticulture. Agronomy, 15(5), 1010. https://doi.org/10.3390/agronomy15051010

