Next Article in Journal
Positive Correlation of Lodging Resistance and Soybean Yield under the Influence of Uniconazole
Next Article in Special Issue
Sustainable Agriculture Practices: Utilizing Composted Sludge Fertilizer for Improved Crop Yield and Soil Health
Previous Article in Journal
Response of Soil Microorganisms to and Yield of Spelt Wheat following the Application of Bacterial Consortia and the Subsequent Effect of Cover Crops in Organic Farming
Previous Article in Special Issue
Apple Growth and Yield in Replant Soils Supplemented by Organic Soil Additives
 
 
Font Type:
Arial Georgia Verdana
Font Size:
Aa Aa Aa
Line Spacing:
Column Width:
Background:
Article

Effects of Conventional Non-Biodegradable Film-Derived Microplastics and New Biodegradable Film-Derived Microplastics on Soil Properties and Microorganisms after Entering Sub-Surface Soil

1
Western Research Institute, Chinese Academy of Agricultural Sciences, Changji 831100, China
2
College of Resources and Environment, Qingdao Agricultural University, Qingdao 266109, China
3
Key Laboratory of Seaweed Fertilizers, Ministry of Agriculture and Rural Affairs, Qingdao Brightmoon Seaweed Group Co., Ltd., Qingdao 266400, China
*
Author to whom correspondence should be addressed.
Agronomy 2024, 14(4), 753; https://doi.org/10.3390/agronomy14040753
Submission received: 18 March 2024 / Revised: 29 March 2024 / Accepted: 4 April 2024 / Published: 5 April 2024
(This article belongs to the Special Issue Nutrient Cycling and Microorganisms in Agroecosystems)

Abstract

Plastic film mulching, widely used in agriculture, leads to microplastic (MP) pollution in soils. While biodegradable polybutylene adipate terephthalate (PBAT) films may offer a solution, their impacts on subsurface soils and microorganisms remain unclear. To investigate the effects of conventional non-biodegradable polyethylene (PE) and biodegradable PBAT MPs on the properties of sub-surface soils and microbial communities, MPs were added at varying doses in a field experiment and incubated for 160 days. Physicochemical characteristics, nutrient dynamics, and microbial composition, diversity, and networks of soils were analyzed using standard techniques and 16S rRNA/ITS gene sequencing. Correlations between soil properties and microbes were assessed. Both MP types significantly altered soil characteristics, with PBAT-MP elevating pH and the levels of available phosphorus and potassium more than PE-MP. Microbial composition shifts occurred, with low-addition PBAT-MP promoting plastic-degrading genera. The assessment of α/β-diversity indicated that PBAT-MP predominantly influenced fungi while PE-MP impacted bacteria. An examination of microbial co-occurrence networks highlighted that PE-MP primarily disrupted fungal interactions, whereas PBAT-MP streamlined network complexity. Correlation analyses revealed that PBAT-MP promoted fungal diversity/network resilience correlating to nutrients. PE-MP and PBAT-MP significantly altered native soil/microbe relationships. PBAT-MP may exert greater, yet unknown, impacts over time through its biodegradation into newer and smaller fragments. Future research needs to integrate multi-omics and stable isotope science to elucidate the deep mechanistic impacts of degraded film-derived MPs on microbial ecological functions and biogeochemical cycles. Attention should also be paid to the long-term accumulation/transport of MPs in agricultural soils. Overall, this work deepens the impact and understanding of MPs from plastic film on sub-surface soil ecology. Furthermore, it provides a theoretical foundation for managing ‘white pollution’ in the film-covered farmlands of arid and semi-arid regions in China.

1. Introduction

In response to the challenges posed by population growth and food security, China initiated the adoption of plastic film mulching technology in agricultural production during the 1980s [1]. This innovation significantly transformed farming practices in the arid and semi-arid regions of China, resulting in substantial enhancements in crop yields [2,3]. It has since evolved into a crucial component of modern agricultural production. Nevertheless, the extensive and continuous use of plastic film has led to significant environmental consequences, particularly the accumulation of plastic film debris in the soil, resulting in severe microplastic (MP) pollution [4,5,6,7]. These MP remnants undermine soil health and present a potential risk to human health via the crop/food pathway [8].
MPs exert significant effects on soil health, plant growth, and groundwater quality. These effects include a compromised soil structure, reduced nutrient availability, altered microbial communities, and an increased potential for groundwater contamination [9]. Specifically, MPs diminish soil porosity and stability, adversely affect water retention and microbial activity [10], and reduce the availability of critical nutrients such as nitrogen and phosphorus, impeding plant growth [11]. They further alter soil microbial communities, resulting in an increased presence of pathogenic microbes that negatively impact plant health [12]. Additionally, MPs pose a risk of contaminating groundwater with hazardous chemicals, leading to broader environmental and health concerns [13,14]. These studies underscore the urgent need to develop and implement strategies to mitigate MP pollution in agricultural systems [15].
The development of polybutylene adipate terephthalate (PBAT) as a biodegradable alternative to traditional polyethylene (PE) films has been explored to address environmental concerns [16]. However, evidence indicates that the degradation rate of PBAT under field conditions is slower than anticipated, casting doubts on its environmental advantages over PE films [17]. Liu et al. (2022) [18] discovered that PBAT films fail to decompose completely in colder climates within a single growing season. Additionally, Yang et al. (2023) [19] observed that soil microbial activity, crucial for PBAT decomposition, is less effective with PBAT than with natural polymers, indicating the need for improved microbial adaptation or genetic engineering to accelerate PBAT biodegradation. Sreejata et al. (2020) [20] reported differential impacts of PBAT films on soil microbial communities compared to PE, indicating variable environmental effects. Furthermore, preliminary findings by Qiu et al. (2023) [21] highlight the risk of MPs from both PBAT and PE films penetrating deeper soil layers, potentially threatening ground water and subsoil ecosystem integrity. However, much of the current research on film-derived microplastics concentrates on topsoil or tillage soils, highlighting significant research gaps regarding the impact of agricultural film-derived MPs on deeper soil properties and microbial ecosystems [22]. Given the potential permanence of MPs in deeper soil layers, further research is imperative to understand the distinct adverse impacts of PE and PBAT film MPs [23]. Such investigations are crucial for establishing a theoretical basis for the development and application of biodegradable film MPs.
The aim of this study is to assess the effects of MPs, originating from various film materials such as PE and PBAT, on the properties of sub-surface soil and the configuration of microbial communities. This research hypothesizes that these MPs significantly affect the characteristics of sub-surface soil and the composition of microbial communities. To test this hypothesis, MPs derived from PBAT and PE films were introduced into the sub-surface soil layer to (i) investigate the impact of different MPs on soil properties (nutrients and physicochemical properties), and microbial community structure and stability; and (ii) explore the correlation between soil properties (nutrients and physicochemical properties), and microbial community structure and stability under the influence of different MPs.

2. Materials and Methods

2.1. Experimental Design

A randomized block design field experiment focusing on MP addition was conducted in a flat area in Chengyang, Qingdao, China (36°29′ N, 120°36′ E, 70 m asl). This region experiences a temperate semi-humid climate, characterized by an average annual precipitation of 630 mm and a mean annual temperature of 12.9 °C, based on a 25-year record over the last three decades. The selected experimental plots had been under continuous cultivation with non-plastic film mulching for over 20 years, resulting in significantly low levels of film-derived MP contamination before the start of the experiment.
In this study, MPs were sourced from PE films provided by Kingfa Company (Guangzhou, China) and PBAT films supplied by BASF (Ludwigshafen, Germany). These materials were processed into MPs using a RETSCH MM 400 frozen mixing ball mill (Retsch, Haan, Germany) with pre-freezing in liquid nitrogen. Particle size measurements for PE and PBAT MPs were conducted using a laser particle size analyzer (Microtrac S3500, Microtrac Inc., Montgomeryville, PA, USA), revealing average sizes of 420 μm (range: 350–450 μm) for PE and 320 μm (range: 220–400 μm) for PBAT MPs [24]. The applied doses of MPs were 0.01, 0.1, and 0.5% (w/w) of wet soil weight (14.5%, soil mass water content). The doses of MPs were selected based on the current understanding of MP concentrations in soil [25,26].
For this experiment, soil was collected from a depth of 40–60 cm and subsequently mixed with varying quantities of MPs, as detailed previously. This mixture was then introduced into ceramic columns, which were sealed at both ends with nylon netting (100 mesh size) and reinserted into the soil at the original collection depth. A control setup without added MPs was also established for comparison. Each experimental condition was replicated thrice, and the incubation period was set at 160 days. Prior to incubation, the soil characteristics measured at the 40–60 cm depth included a pH of 5.84, soil organic carbon (SOC) of 7.59 g·kg−1, total nitrogen (TN) of 0.68 g·kg−1, available potassium (AK) of 170.5 mg·kg−1 and available phosphorus (AP) of 13.4 mg·kg−1.

2.2. Soil Sampling and Analysis

Upon completion of the incubation period, the ceramic columns were carefully extracted from the soil. Subsequently, selected soil samples from these columns were analyzed for nutrient content and physicochemical properties. Soil designated for aggregate analysis was transported to the laboratory in a plastic container. Furthermore, a fraction of the soil was wrapped in tinfoil and placed in a dry ice insulated box to be brought back to the laboratory at −80 °C for subsequent DNA extraction.
The selection of soil for nutrient and physicochemical property index analysis was executed with meticulous care to exclude MPs. SOC concentration was determined using the K2CrO7-H2SO4 oxidation method with external heating. TN content was quantified via the Kjeldahl technique. AP and AK in the soil were measured using the Olsen extraction and ammonium acetate leaching-flame photometer methods, respectively [27]. The pH was determined at a soil-to-water ratio of 1:2.5. Bulk density (BD) was assessed through the core method [28], while field water-holding capacity (WHC) followed Hillel’s (1998) [29] guidelines. Soil samples were physically fractionated by wet sieving, following Elliott’s (1986) [30] protocol. The mean weight diameter (MWD) of soil aggregates was calculated according to Bavel et al. (1950) [31]:
MWD = i = 1 n X i W i
where Xi is the mean diameter of the size fraction and Wi is the proportion of each size fraction over the total sample weight.

2.3. DNA Extraction, Sequencing, and Analysis

At the end of the incubation, three replicates of each treatment were individually high-throughput sequenced. DNA was extracted from 0.5 g of frozen soil samples using the Fast DNA Spin Kit for Soil (MP Biomedicals, Solon, OH, USA). The quality of the extracted DNA was assessed with a NanoDrop ND-1000 spectrophotometer (Bio-Rad Laboratories, Inc., Hercules, CA, USA) and verified for integrity via 2% agarose gel electrophoresis. PCR amplification targeting the V3–V4 variable regions of the bacterial 16S rRNA was performed with the 338 F/806 R primers, which included barcode sequences. The amplification protocol included an initial denaturation at 95 °C for 10 min, followed by 40 cycles of denaturation at 95 °C for 15 s, annealing at 55 °C for 60 s, extension at 72 °C for 90 s, and a final extension at 72 °C for 7 min. Similarly, for the ITS1 region of fungi, amplification was conducted using ITS1 F/ITS1 R primers, with a protocol of 95 °C for 5 min for denaturation, 30 cycles of 94 °C for 30 s, 54 °C for 40 s, 72 °C for 30 s, and a final extension at 72 °C for 8 min. The PCR products underwent agarose gel electrophoresis (1.5%) for mixing, followed by purification using the QIAquick Gel Extraction Kit (Qiagen Inc., Valencia, CA, USA). Sequencing was performed on an Illumina MiSeq PE 250 platform (Illumina, Inc., San Diego, CA, USA), with the sequencing data processed using fastq-join and UPARSE within the QIIME software package (version 1.8.0).

2.4. Statistical Analysis

Statistical analyses were performed using R software, version 4.3.2, with data visualization facilitated by the ggplot2 package [32]. One-way ANOVA was used to determine significant differences between different additions of the same MP, while two-way ANOVA evaluated the effects of MP treatment types, quantities, and their interactions, adopting a significance threshold of p < 0.05. t-tests were utilized to identify significant differences between MP treatments, without control. The microbial community structure was depicted through stacked histograms, highlighting the ten most abundant bacterial and fungal genera. Principal Coordinate Analysis (PCoA), leveraging Bray–Curtis dissimilarity, was conducted with the vegan package to elucidate sample relationships [33]. Network analysis, incorporating igraph, ggClusterNet, and phyloseq packages, mapped co-occurrences within the microbial community [34]. The Mantel test, conducted using the vegan package, and the linkET package were used to assess microbial community correlations with soil properties [35]. Lastly, Pearson’s correlation analysis elucidated the relationships between microbial properties and specific soil nutrients [36].

3. Results

3.1. Impact of MPs on Soil Physicochemical Properties and Nutrient Dynamics

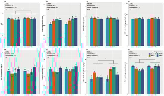
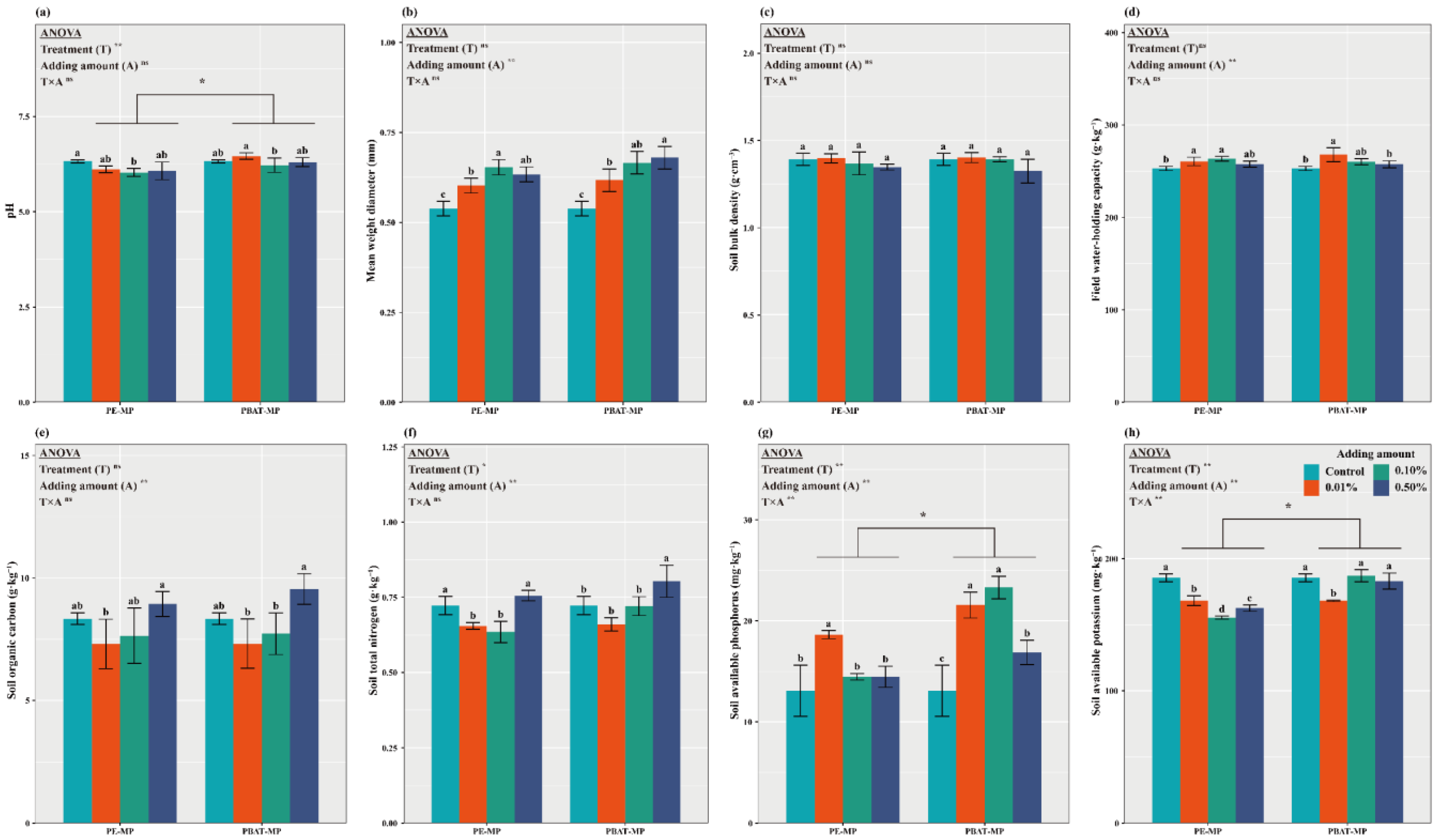
This study elucidates the differential impacts of PBAT-MP and PE-MP on the physicochemical properties and nutrient dynamics of soil. Regarding the effects of MPs on soil physicochemical properties, a statistical analysis utilizing t-tests to compare different MP treatments revealed that PBAT-MP significantly elevated soil pH compared to PE-MP, without significantly affecting MWD, BD, or WHC (Figure 1a–d). One-way ANOVA results for various concentrations of the same MP indicated that both PE-MP and PBAT-MP treatments notably enhanced MWD and WHC and reduced pH and BD, although these changes were not statistically significant (Figure 1a–d). Furthermore, two-way ANOVA findings indicated that the MP treatment parameter significantly influenced soil pH alone, while the addition parameter substantially affected MWD and WHC, with the interaction between MP type and addition showing no significant impact on any of the tested soil physicochemical properties (Figure 1a–d).
Regarding soil nutrient effects, t-tests across different MP treatments demonstrated that PBAT-MP increased the levels of AP and AK when compared to PE-MP, yet exerted no significant effect on SOC and TN (Figure 1e–h). One-way ANOVA, analyzing varying additions of the same MP, showed that increased MP additions initially caused a decrease followed by an increase in SOC and TN levels, whereas AP demonstrated an opposite trend under both PE-MP and PBAT-MP treatments compared to the control (Figure 1e–h). Conversely, AK declined with rising additions under PE-MP treatment, whereas PBAT-MP did not significantly influence AK (Figure 1h). Two-way ANOVA results indicated that MP treatment significantly affected TN, AP, and AK, but not SOC, with the addition parameter significantly impacting all nutrient indices. Furthermore, the interaction between MP type and addition level significantly influenced AP and AK (Figure 1e–h).

3.2. Impact of MPs on the Community Composition of Bacteria and Fungi

At the bacterial genus level, an analysis of community abundance revealed that Lysobacter showed the largest increase under both PE-MP and PBAT-MP treatments compared to the control (Figure 2a,b). Specifically, an increase in Lysobacter abundance correlated positively with increased PE-MP concentrations (Figure 2a). Conversely, PBAT-MP exposure led to an initial surge followed by a decline in Lysobacter numbers with higher additions (Figure 2b). Methylophaga showed the greatest reduction across both treatments, with its abundance decreasing as the MP dosage increased (Figure 2a,b). Additionally, a significant portion of the microbial community was unclassified or unidentified, with the control, PE-MP, and PBAT-MP treatments showing unidentified proportions of 25.4%, 28.4%, and 25.9%, respectively (Figure 2a,b).
At the fungal genus level, Stachybotrys and Phlyctochytrium were identified as the genera most significantly increased under PE-MP and PBAT-MP treatments, respectively, compared to the control (Figure 2c,d). The abundance of Stachybotrys increased with rising PE-MP additions (Figure 2c), while Phlyctochytrium decreased under progressive PBAT-MP treatments (Figure 2d). Regarding declines, Spizellomyces and Didymella were the most adversely affected under PE-MP and PBAT-MP treatments, respectively, both showing a negative correlation with the amount of MP added (Figure 2c,d). Moreover, a significant portion of the fungal community remained unclassified or unidentified, with the control, PE-MP, and PBAT-MP treatments showing unidentified proportions of 76.0%, 73.9%, and 73.6%, respectively (Figure 2c,d).

3.3. Impact of MPs on the Diversity of Bacterial and Fungal

In the assessment of bacterial α-diversity, a t-test analysis of MP treatments showed no significant differences between PE-MP and PBAT-MP treatments (Figure 3a,b). Subsequent one-way ANOVA comparisons, relative to the control, indicated that the Chao1 and Shannon diversity indices for the PE-MP treatment initially decreased, followed by an increase with escalating MP concentrations. In contrast, the PBAT-MP treatment consistently led to a marked decline in both indices. Two-way ANOVA analysis highlighted that the type of MP treatment had no significant effect; however, the amount of addition and its interaction with MP type significantly influenced the Chao1 and Shannon indices (Figure 3a,b).
Regarding fungal α-diversity, t-test analyses of MP treatments revealed no significant differences between PE-MP and PBAT-MP treatments (Figure 3d,e). One-way ANOVA findings, when compared to the control, demonstrated that the Chao1 index under PE-MP treatment initially increased and then significantly decreased as the amount of addition was elevated, whereas the Shannon index consistently decreased, though not significantly. In contrast, for the PBAT-MP treatment, both indices initially showed a decline, followed by a significant increase (Figure 3d,e).
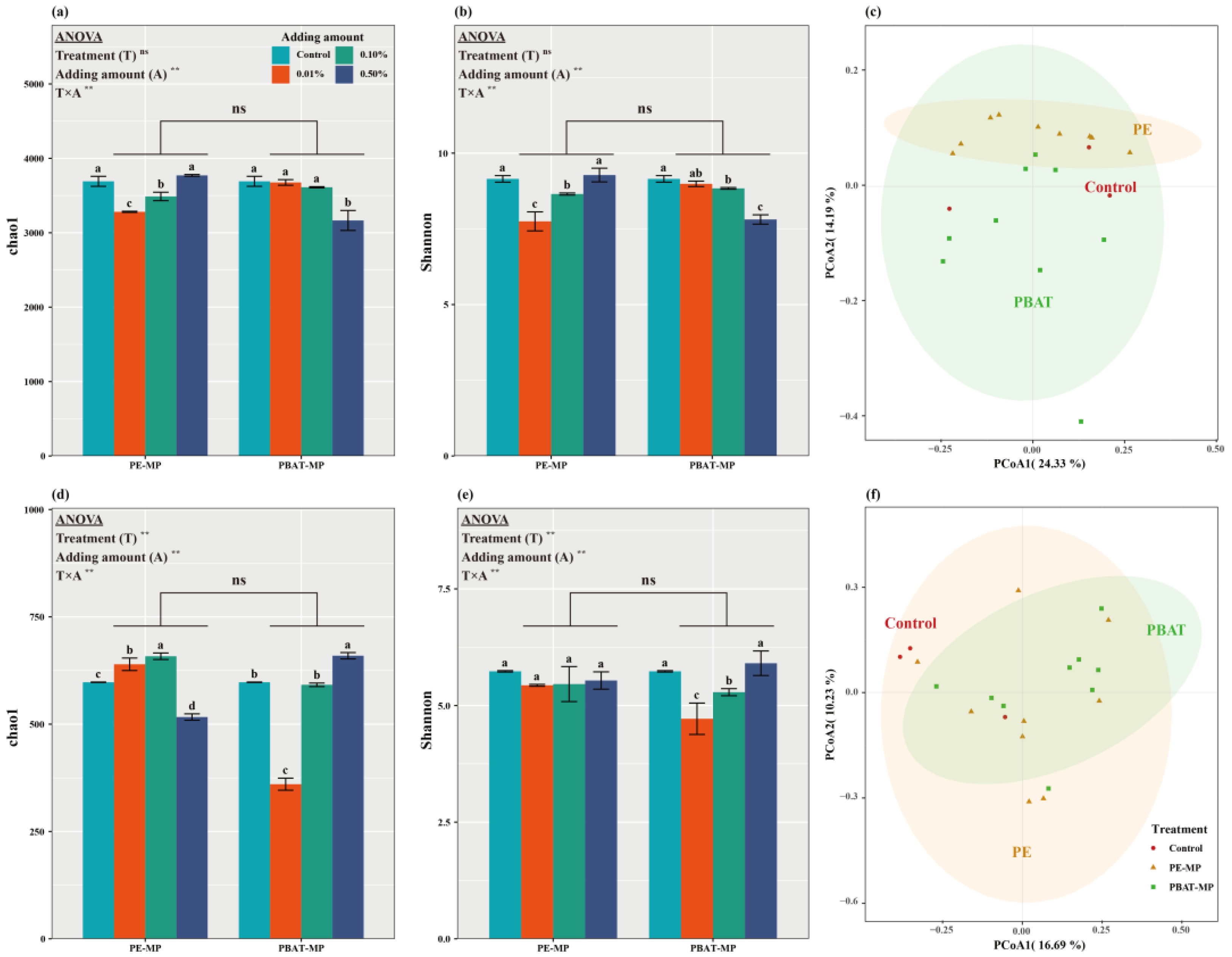
In examining β-diversity, Principal Coordinates Analysis (PCoA), utilizing Bray–Curtis distances for bacterial communities, demonstrated that PCoA1 and PCoA2 explained 38.52% of the total variance (Figure 3e,f). In fungi, PCoA analysis demonstrated that PCoA1 and PCoA2 accounted for 27.22% of the variance. Different treatments significantly altered the structures of both bacterial and fungal communities, highlighting the imperative for additional research.

3.4. Impact of MPs on the Co-Occurrence Networks of Soil Bacteria and Fungi

Spearman’s correlation coefficient (r > 0.6, p < 0.05) was employed to elucidate the relationships within microbial communities, and co-occurrence networks for both bacterial and fungal taxa were generated (Figure 4). In the bacterial co-occurrence network analysis, compared to the control, treatments with PE-MP and PBAT-MP demonstrated a decrease in community complexity. This reduction was evidenced by a decrease in the number of nodes and edges, with reductions of 49.4% and 85.3% for PE-MP, and 46.6% and 87.5% for PBAT-MP, respectively. This was also reflected in the reductions of the average network degree, which decreased by 70.9% for PE-MP and 76.6% for PBAT-MP. Despite these alterations, the interaction dynamics within the community remained relatively unchanged across all treatments (Figure 4a).
For the fungal co-occurrence networks, a comparison with the control highlighted that both PE-MP and PBAT-MP treatments similarly diminished community complexity. Specifically, for PE-MP, the reductions were 48.4% in nodes and 97.1% in edges, with a 94.3% decrease in average degree. Conversely, PBAT-MP exhibited decreases of 6.0% in nodes, 55.1% in edges, and 52.3% in average degree. Notably, in contrast to the control and PBAT-MP treatments, the PE-MP treatment led to a reduction in mutualistic interactions and an increase in competitive dynamics within the fungal community (Figure 4b).

3.5. Relationship between Soil Properties and Microbial Communities

Figure 5 depicts the influence of MPs on taxonomic community composition via multivariate analysis, using Mantel tests to determine the statistical significance of environmental factors. It contrasts three distinct treatments, using a color-coded matrix and network diagrams to illustrate the magnitude and significance of Pearson correlation coefficients between community composition and diverse soil properties.
The analysis reveals that the introduction of MPs significantly alters the correlation patterns between community composition and environmental factors, deviating from those observed in the control treatment. Specifically, within the context of the PE-MP treatment, significant correlations were observed between the bacterial community and SOC, and between the fungal community and BD. Under the PBAT-MP treatment, a notable correlation was exclusively identified between the bacterial community and AP, suggesting the potential of MPs to influence soil ecosystem functions and interactions. These findings highlight the necessity of further research to elucidate the ecological implications of MP pollution.

3.6. Relationship between Soil Properties and Microbial Diversity

Pearson correlation analysis revealed distinct patterns of interaction between soil characteristics and microbial diversity across different treatments (Figure 6). Significantly, within the control treatment, a strong positive correlation was observed between the fungal Shannon diversity index and SOC, as well as between both fungal and bacterial Chao1 indices and SOC. This underscores the critical importance of SOC in sustaining microbial richness. In contrast, the PE-MP treatment was characterized by a pronounced negative correlation of fungal diversity indices with AK and AP, notably, the Chao1 index demonstrated a particularly strong negative association with AK. Conversely, the PBAT-MP treatment revealed a markedly distinct interaction pattern, with strong positive correlations observed for the fungal Shannon diversity index with SOC, TN, and AP. Similarly, bacterial diversity under the PBAT-MP treatment showed positive associations with SOC, TN, AK, and AP, suggesting that the PBAT-MPs might bolster microbial diversity in relation to these soil nutrients. These results suggest that the introduction of specific MPs can selectively influence soil/microbe interactions, with implications for soil ecosystem functionality. The observed divergent correlations across treatments highlight the complex role of MPs in influencing soil microbial community dynamics.

3.7. Relationship between Soil Properties and Network Characteristics

Under the control treatment, fungal networks exhibit significantly positive correlations with SOC and TN, demonstrating a strong interaction network. Conversely, bacteria in control treatment soils show a pronounced positive correlation with SOC and an inverse correlation with BD, highlighting the diversity of microbial responses to soil physical properties (Figure 7).
In the presence of PE-MP treatment, fungal networks display a negative correlation with soil pH, suggesting that increased acidity may impair fungal network complexity. Additionally, bacterial networks in the PE-MP treatment demonstrate a strong positive association with SOC and a negative correlation with BD, reflecting the control condition but with intensified effects (Figure 7).
The PBAT-MP treatment reveals a complex interaction: fungal networks exhibit positive correlations with SOC, TN, and AP, while showing a negative correlation with BD. This suggests that PBAT-MP treatment may bolster microbial network resilience in nutrient-enriched conditions, yet potentially diminish network complexity under soil compaction. Bacterial networks under PBAT-MP treatment exhibit positive correlations with SOC, TN, and AK, suggesting that PBAT-MP may promote enhanced bacterial interactions within nutrient-rich environments (Figure 7).
Collectively, these treatments induce distinct microbial network dynamics, with PBAT-MP treatment exerting a significant positive effect on both bacterial and fungal network properties, particularly in terms of soil nutrient availability. The observation of significant correlations between various soil properties and microbial network metrics highlights the complex influence of MPs on soil microbial ecosystems (Figure 7).

4. Discussion

4.1. Effect of Different MPs on Soil Properties

This research delves into the impact of PE-MP and PBAT-MP on the crucial properties of sub-surface soils. The findings reveal that both PE-MP and PBAT-MP significantly alter soil pH, AP, AK, and WHC, with PBAT-MP exhibiting relatively less adverse effects compared to PE-MP. This indicates variability in the impact of different MP types on soil physicochemical properties and nutrient cycling. The existing literature corroborates these observations to a degree, albeit with some distinctions. For instance, Palansooriya et al. (2023) [37] demonstrated that while low-density polyethylene MP did not markedly influence soil pH at lower concentrations, an increase in soil electrical conductivity was observed at higher concentrations, which could be attributed to increased microbial activity. Qi et al. (2022) [12] found that MPs alter soil nutrient dynamics through the formation of a plasticsphere. Moreover, Li et al. (2022) [38] reported that incorporating 0.03% and 0.3% PBAT-MPs into grassland and agricultural soils resulted in a reduction in SOC content. Overall, the influence of PBAT-MP on soil demonstrates a more intricate pattern when compared to PE-MP. This complexity arises primarily because PBAT-MP, being a biodegradable plastic, impacts soil characteristics through its decomposition process. In contrast, PE-MP, characterized as a stable, non-degradable plastic, predominantly exerts its effect on soil through physical impediment [25,39].

4.2. Effects of Different MPs on Soil Microbial Community Composition and Diversity

The investigations reveal distinct impacts of MPs on microbial communities at both bacterial and fungal levels. For bacteria, Lysobacter showed a notable increase in abundance with PE-MP and an initial increase followed by a decrease with PBAT-MP exposure. Methylophaga levels consistently declined across both MP treatments. At the fungal level, Stachybotrys and Phlyctochytrium were significantly enhanced under PE-MP and PBAT-MP treatments, respectively. Conversely, Spizellomyces (PE-MP) and Didymella (PBAT-MP) abundances decreased with increasing MP concentrations. This disparity underscores the pivotal role of MP composition in influencing microbial community dynamics. Aligning with observations that PBAT-MPs exert a more pronounced influence on microbial community structures than PE-MPs, Cao et al. (2022) [40] observed that PBAT-MPs significantly increase the relative abundance of MP-degrading bacteria, including Lysomycetes, Pseudomonas, and Amylomycetes, within soil environments compared to PE-MPs. The observed differences in microbial composition may stem from experimental differences such as MP concentration, exposure duration, and environmental context, thus elucidating the complexity of MP/microbe interactions [41]. In addition, a significant proportion of unidentified genera were observed commonly in previous studies. For example, Zhang et al. (2021) [42] and Xiao et al. (2023) [43] had a large proportion of uncultured and undefined genera in their studies on the effects of microplastics on soil microorganisms, which is consistent with the present study.
In this research, the impact of PE-MP and PBAT-MP treatments on microbial α-diversity was further explored. Contrary to initial hypotheses, the findings indicated no significant difference in bacterial and fungal α-diversity between treatments with PE-MPs and PBAT-MPs. Nevertheless, a biphasic pattern of decline and subsequent rise in bacterial α-diversity was observed under PE-MP treatments, contrasted with a consistent decline in bacterial α-diversity with increasing PBAT-MP concentration. Fungal α-diversity exhibited divergent trends between PE-MP and PBAT-MP treatments, mirroring differences observed in bacterial α-diversity. Principal Component Analysis (PCA) corroborated these findings, suggesting a predominant effect of PE-MPs on bacterial communities, whereas PBAT-MPs primarily influenced fungal populations. This is consistent with the findings of Li et al. (2024) [44] and Ruthi et al. (2020) [45], who reported a reduction in fungal α-diversity and an enrichment of functional communities involved in film degradation due to PBAT.

4.3. Effects of MP Addition on Soil Microbial Co-occurrence Networks

Within the bacterial network, treatments with PE-MP and PBAT-MP simplified the network structure relative to the control without significantly altering levels of competition and cooperation. Conversely, the fungal network exhibited a decrease in reciprocal interactions and an increase in competition under PE-MP treatment, while PBAT-MP’s impact on fungal community dynamics was more subdued. These observations indicate that PE-MP primarily suppresses microbial activity, whereas PBAT-MP promotes fungal participation in the decomposition process. This is consistent with the findings of Li et al. (2023) [46] and Li et al. (2024) [44], who examined the impact of MPs derived from film-mulched farmland on bacterial and fungal communities. Despite the consensus that PBAT-MPs have a more pronounced influence on soil microbial symbiotic networks, this study distinguishes itself by focusing on sub-surface soil layers rather than the soil surface. Therefore, further research is essential, especially in sub-surface soils, to elucidate the interactions between PBAT-MPs and soil properties and the mechanisms by which various MPs influence the ecological roles of soil microorganisms.

4.4. Correlation between Soil Properties and Microbial Properties under MP Addition Conditions

This study reveals significant alterations in the association patterns among soil parameters, microbial community structures, biodiversity, and network interactions subsequent to the introduction of MPs. PE-MP treatments manifested correlations between bacterial and fungal communities with specific soil properties, notably SOC and BD. Conversely, fungal diversity was inversely correlated with AK and AP. PBAT-MP treatments, however, primarily linked bacterial communities with AP and showed positive associations with SOC, TN, and fungal diversity indices. Notably, PE-MP treatments negatively impacted the complexity of fungal networks relative to soil pH, suggesting potential disruption in less alkaline environments. In contrast, PBAT-MP treatments enhanced microbial network resilience in correlation with SOC, TN, and AP. These results indicate PBAT-MP’s capacity to modulate soil microbial community dynamics by modifying nutrient profiles. This is consistent with several findings that PBAT-MPs can influence the structure and function of microbial communities in soil by altering the content and distribution of nutrients in the soil. For example, PBAT degradation in soil directly increases soil organic matter (e.g., POM, DOM, and MAOM) [47,48] and also promotes some enzymes related to carbon and nitrogen cycling [49,50]. In addition to increasing SOC content, PBAT-MPs can also affect the content and distribution of other nutrients; for example, low doses of PBAT-MPs resulted in a slight increase in TN and total phosphorus in the soil, which could be attributed to the fact that the input of PBAT-MPs provides an additional source of organic matter [51], and its degradation products can promote the proliferation of some nitrogen-fixing bacteria [38]. However, high doses of PBAT-MPs significantly decreased the phosphorus content in the soil. This may be due to the fact that high concentrations of PBAT-MPs promote the growth of oligotrophic soil bacteria such as Chlorophyceae and Archaea, which can utilize soil phosphorus for metabolism [52]. Therefore, further studies should construct a direct link between the effects of PBAT film-derived MPs on soil properties and microbial communities through stable isotopes combined with a multi-omics approach to reveal the effects of PBAT film-derived MPs on soil microbial ecology [53].

5. Conclusions

This study provided novel insights into the impacts of conventional non-biodegradable PE-MP and biodegradable PBAT-MP on sub-surface soil properties and microbial communities. It was found that both MP types can significantly alter soil physicochemical characteristics and nutrient cycling dynamics. However, PBAT-MP treatment resulted in an increase in soil pH, AP, and AK compared to PE-MP treatment.
Regarding microbial communities, both PE-MP and PBAT-MP induced shifts in the composition and diversity of bacterial and fungal populations. Notably, PBAT-MP initially promoted the abundance of certain genera involved in plastic degradation, such as Lysobacter, before levels declined at higher concentrations. Similarly, PE-MP also selectively enriched specific taxa but did not demonstrate this biphasic response. An assessment of α- and β-diversity revealed that PBAT-MP treatment predominantly influenced fungal communities, while PE-MP treatment exerted stronger impacts on bacterial communities.
An examination of microbial co-occurrence networks highlighted how PE-MP primarily disrupted fungal interactions and competition. In contrast, PBAT-MP did not significantly alter interaction dynamics but streamlined network complexity. Correlation analyses between soil properties, microbial properties, and network interactions revealed that PBAT-MP treatment promoted fungal diversity and enhanced network resilience.
Both types of MPs, PE and PBAT, significantly alter the native soil/microbe relationships. These findings suggest that PBAT-MPs exhibit differential effects compared to PE-MPs, influencing microbial community structure and function. Moreover, the biodegradation potential of PBAT-MPs over time remains underexplored. This study primarily focused on correlating MPs with soil properties and microbial relationships, thereby presenting a limitation due to the lack of direct experimental evidence to support these observations. Future research should utilize multi-omics approaches and isotope tracing techniques to elucidate the mechanisms by which MPs influence microbial ecological functions and biogeochemical cycles. Additionally, the long-term effects of MPs, including their accumulation and migration in agricultural soils, present a critical challenge that requires further investigation. Addressing these limitations and challenges is essential for a comprehensive understanding of MPs’ impacts on the subsurface environment and the sustainability of agricultural practices in regions utilizing plastic mulch films. Overall, this work advances our understanding of the impacts of MPs on the subsurface environment and the sustainability of agricultural practices in regions utilizing plastic mulch films.

Author Contributions

Writing—original draft preparation, funding acquisition, X.L.; data curation, methodology, writing—original draft preparation, funding acquisition, W.W.; data curation, methodology, writing—original draft preparation, G.L.; visualization, methodology, writing—original draft preparation, B.Z. and J.C.; writing—review and editing, funding acquisition, T.Y. All authors have read and agreed to the published version of the manuscript.

Funding

This research was funded by the Xinjiang Uygur Autonomous Natural Science Foundation of China (2023D01A14), Natural Science Foundation of Shandong Province, China (ZR2020QD117), the Open Foundation of the Key Laboratory of Seaweed Fertilizers, Ministry of Agriculture and Rural Affairs (KLSF-2023-006), the Shandong Provincial College Youth Innovation Team Program (2023KJ169), and the State Key Laboratory of Cotton Biology Open Fund (CB2022A14).

Data Availability Statement

Data will be made available on reasonable request.

Conflicts of Interest

Authors Bo Zhu and Jie Cui were employed by Qingdao Brightmoon Seaweed Group Co., Ltd. All authors declare that the research was conducted in the absence of any commercial or financial relationships that could be construed as potential conflicts of interest.

References

  1. Sun, D.; Li, H.; Wang, E.; He, W.; Hao, W.; Yan, C.; Li, Y.; Mei, X.; Zhang, Y.; Sun, Z. An overview of the use of plastic-film mulching in China to increase crop yield and water-use efficiency. Natl. Sci. Rev. 2020, 7, 1523–1526. [Google Scholar] [CrossRef] [PubMed]
  2. Ma, D.D.; Chen, L.; Qu, H.C.; Wang, Y.L.; Misselbrook, T.; Jiang, R. Impacts of plastic film mulching on crop yields, soil water, nitrate, and organic carbon in Northwestern China: A meta-analysis. Agric. Water Manag. 2018, 202, 166–173. [Google Scholar] [CrossRef] [PubMed]
  3. Zhang, P.; Wei, T.; Cai, T.; Ali, S.; Han, Q.F.; Ren, X.L.; Jia, Z.K. Plastic-film mulching for enhanced water-use efficiency and economic returns from maize fields in semiarid China. Front. Plant Sci. 2017, 8, 512. [Google Scholar] [CrossRef] [PubMed]
  4. Huang, Y.; Liu, Q.; Jia, W.Q.; Yan, C.R.; Wang, J. Agricultural plastic mulching as a source of microplastics in the terrestrial environment. Environ. Pollut. 2020, 260, 114096. [Google Scholar] [CrossRef] [PubMed]
  5. Liu, E.K.; He, W.Q.; Yan, C.R. ‘White revolution’ to ‘white pollution’- agricultural plastic film mulch in China. Environ. Res. Lett. 2014, 9, 091001. [Google Scholar] [CrossRef]
  6. Qi, Y.L.; Beriot, N.; Gort, G.; Lwanga, E.H.; Gooren, H.; Yang, X.M.; Geissen, V. Impact of plastic mulch film debris on soil physicochemical and hydrological properties. Environ. Pollut. 2020, 266, 115097. [Google Scholar] [CrossRef] [PubMed]
  7. Qi, Y.L.; Yang, X.M.; Pelaez, A.M.; Lwanga, E.H.; Beriot, N.; Gertsen, H.; Garbeva, P.; Geissen, V. Macro- and micro-plastics in soil-plant system: Effects of plastic mulch film residues on wheat (Triticum aestivum) growth. Sci. Total Environ. 2018, 645, 1048–1056. [Google Scholar] [CrossRef]
  8. Jiang, M.; Wang, B.; Ye, R.; Yu, N.; Xie, Z.; Hua, Y.; Zhou, R.; Tian, B.; Dai, S. Evidence and impacts of nanoplastic accumulation on crop grains. Adv. Sci. 2022, 9, 2202336. [Google Scholar] [CrossRef] [PubMed]
  9. Guo, J.J.; Huang, X.P.; Xiang, L.; Wang, Y.Z.; Li, Y.W.; Li, H.; Cai, Q.Y.; Mo, C.H.; Wong, M.H. Source, migration and toxicology of microplastics in soil. Environ. Int. 2020, 137, 105263. [Google Scholar] [CrossRef] [PubMed]
  10. Qi, R.M.; Jones, D.L.; Li, Z.; Liu, Q.; Yan, C.R. Behavior of microplastics and plastic film residues in the soil environment: A critical review. Sci. Total Environ. 2020, 703, 134722. [Google Scholar] [CrossRef] [PubMed]
  11. Fu, F.; Long, B.B.; Huang, Q.; Li, J.J.; Zhou, W.J.; Yang, C. Integrated effects of residual plastic films on soil-rhizosphere microbe-plant ecosystem. J. Hazard. Mater. 2023, 445, 130420. [Google Scholar] [CrossRef] [PubMed]
  12. Qi, Y.; Ossowicki, A.; Yergeau, É.; Vigani, G.; Geissen, V.; Garbeva, P. Plastic mulch film residues in agriculture: Impact on soil suppressiveness, plant growth, and microbial communities. FEMS Microbiol. Ecol. 2022, 98, fiac17. [Google Scholar] [CrossRef] [PubMed]
  13. Boots, B.; Russell, C.W.; Green, D.S. Effects of microplastics in soil ecosystems: Above and below ground. Environ. Sci. Technol. 2019, 53, 11496–11506. [Google Scholar] [CrossRef] [PubMed]
  14. Yang, D.; Shi, H.; Li, L.; Li, J.; Jabeen, K.; Kolandhasamy, P. Microplastic pollution in table salts from China. Environ. Sci. Technol. 2015, 49, 13622–13627. [Google Scholar] [CrossRef] [PubMed]
  15. Mao, X.; Xu, Y.; Cheng, Z.; Yang, Y.; Guan, Z.; Jiang, L.; Tang, K. The impact of microplastic pollution on ecological environment: A review. Front. Biosci. 2022, 27, 46. [Google Scholar] [CrossRef] [PubMed]
  16. Gross, R.A.; Kalra, B. Biodegradable polymers for the environment. Science 2002, 297, 803–807. [Google Scholar] [CrossRef]
  17. Tanunchai, B.; Juncheed, K.; Wahdan, S.F.M.; Guliyev, V.; Udovenko, M.; Lehnert, A.; Alves, E.G.; Glaser, B.; Noll, M.; Buscot, F. Analysis of microbial populations in plastic–soil systems after exposure to high poly (butylene succinate-co-adipate) load using high-resolution molecular technique. Environ. Sci. Eur. 2021, 33, 1–17. [Google Scholar] [CrossRef]
  18. Liu, Q.; Wang, Y.; Liu, J.L.; Liu, X.W.; Dong, Y.Y.; Huang, X.; Zhen, Z.C.; Lv, J.; He, W.Q. Degradability and properties of PBAT-based biodegradable mulch films in field and their effects on cotton planting. Polymers 2022, 14, 3157. [Google Scholar] [CrossRef] [PubMed]
  19. Yang, Y.; Min, J.; Xue, T.; Jiang, P.; Liu, X.; Peng, R.; Huang, J.; Qu, Y.; Li, X.; Ma, N. Complete bio-degradation of poly (butylene adipate-co-terephthalate) via engineered cutinases. Nat. Commun. 2023, 14, 1645. [Google Scholar] [CrossRef] [PubMed]
  20. Sreejata, B.; González, J.; Henderson, K.; Anunciado, M.; Hayes, D.; Debruyn, J. Soil microbial communities associated with biodegradable plastic mulch films. Front. Microbiol. 2020, 11, 587074. [Google Scholar]
  21. Qiu, Y.; Zhou, S.; Zhang, C.; Chen, L.; Qin, W.; Zhang, Q. Vertical distribution and weathering characteristic of microplastics in soil profile of different land use types. Sci. Total Environ. 2023, 905, 166902. [Google Scholar] [CrossRef] [PubMed]
  22. Zhang, S.; Liu, X.; Hao, X.; Wang, J.; Zhang, Y. Distribution of low-density microplastics in the mollisol farmlands of northeast China. Sci. Total Environ. 2020, 708, 135091. [Google Scholar] [CrossRef] [PubMed]
  23. Wang, Y.; Hou, P.; Liu, K.; Hayat, K.; Liu, W. Depth distribution of nano-and microplastics and their contribution to carbon storage in Chinese agricultural soils. Sci. Total Environ. 2024, 913, 169709. [Google Scholar] [CrossRef] [PubMed]
  24. Wang, W.; Xie, Y.; Li, H.; Dong, H.; Li, B.; Guo, Y.; Wang, Y.; Guo, X.; Yin, T.; Liu, X.; et al. Responses of lettuce (Lactuca sativa L.) growth and soil properties to conventional non-biodegradable and new biodegradable microplastics. Environ. Pollut. 2024, 341, 122897. [Google Scholar] [CrossRef] [PubMed]
  25. de Souza Machado, A.A.; Lau, C.W.; Till, J.; Kloas, W.; Lehmann, A.; Becker, R.; Rillig, M.C. Impacts of microplastics on the soil biophysical environment. Environ. Sci. Technol. 2018, 52, 9656–9665. [Google Scholar] [CrossRef] [PubMed]
  26. Liu, J.; Wang, P.; Wang, Y.; Zhang, Y.; Xu, T.; Zhang, Y.; Xi, J.; Hou, L.; Li, L.; Zhang, Z. Negative effects of poly (butylene adipate-co-terephthalate) microplastics on Arabidopsis and its root-associated microbiome. J. Hazard. Mater. 2022, 437, 129294. [Google Scholar] [CrossRef] [PubMed]
  27. Bao, S.D. Agricultural and Chemistry Analysis of Soil; Agriculture Press: Beijing, China, 2005. [Google Scholar]
  28. Reinsch, T.G.; Grossman, R.B. A method to predict bulk density of tilled Ap horizons. Soil Tillage Res. 1995, 34, 95–104. [Google Scholar] [CrossRef]
  29. Hillel, D. Environmental Soil Physics; Academic Press. San Diego, CA, USA, 1998.
  30. Elliott, E. Aggregate structure and carbon, nitrogen, and phosphorus in native and cultivated soils. Soil Sci. Soc. Am. J. 1986, 50, 627–633. [Google Scholar] [CrossRef]
  31. Bavel, C. Mean weight-diameter of soil aggregates as a statistical index of aggregation. Proc. Soil Sci. Soc. Am. J. 1950, 14, 20–23. [Google Scholar] [CrossRef]
  32. Ginestet, C. ggplot2: Elegant Graphics for Data Analysis; Oxford University Press: Oxford, UK, 2011. [Google Scholar]
  33. Oksanen, J.; Kindt, R.; Legendre, P.; O Hara, B.; Stevens, M.H.H.; Oksanen, M.J.; Suggests, M. The vegan package. Community Ecol. 2007, 10, 719. [Google Scholar]
  34. Wen, T.; Xie, P.; Yang, S.; Niu, G.; Liu, X.; Ding, Z.; Xue, C.; Liu, Y.X.; Shen, Q.; Yuan, J. ggClusterNet: An R package for microbiome network analysis and modularity-based multiple network layouts. iMeta 2022, 1, e32. [Google Scholar] [CrossRef]
  35. Yang, X.; Song, W.; Yang, X.; Bao, W.; Li, J.; Zhong, S.; Sun, W. Microbial network structure, not plant and microbial community diversity, regulates multifunctionality under increased precipitation in a cold steppe. Front. Microbiol. 2024, 14, 1349747. [Google Scholar] [CrossRef] [PubMed]
  36. Abad-Valle, P.; Iglesias-Jiménez, E.; álvarez-Ayuso, E. A comparative study on the influence of different organic amendments on trace element mobility and microbial functionality of a polluted mine soil. J. Environ. Manag. 2017, 188, 287–296. [Google Scholar] [CrossRef] [PubMed]
  37. Palansooriya, K.N.; Sang, M.K.; El-Naggar, A.; Shi, L.; Chang, S.X.; Sung, J.; Zhang, W.; Ok, Y.S. Low-density polyethylene microplastics alter chemical properties and microbial communities in agricultural soil. Sci. Rep. 2023, 13, 16276. [Google Scholar] [CrossRef] [PubMed]
  38. Li, C.; Cui, Q.; Li, Y.; Zhang, K.; Lu, X.; Zhang, Y. Effect of LDPE and biodegradable PBAT primary microplastics on bacterial community after four months of soil incubation. J. Hazard. Mater. 2022, 429, 128353. [Google Scholar] [CrossRef] [PubMed]
  39. Shah, A.A.; Hasan, F.; Hameed, A.; Ahmed, S. Biological degradation of plastics: A comprehensive review. Biotechnol. Adv. 2008, 26, 246–265. [Google Scholar] [CrossRef] [PubMed]
  40. Cao, W.; Gong, J.; Qin, M.; Qin, L.; Fang, S.; Li, J.; Tang, S.; Tan, Z.; Li, X.; Chen, Z. Biodegradable Microplastics Affect the Wheatgrass Traits, Fe Plaque Development Involved in Sb Accumulation, and Microbial Community Functions in Antimony-Contaminated Riparian Wetlands. ACS Sustain. Chem. Eng. 2022, 10, 5847–5858. [Google Scholar] [CrossRef]
  41. Xi, B.; Wang, B.; Chen, M.; Lee, X.; Zhang, X.; Wang, S.; Yu, Z.; Wu, P. Environmental behaviors and degradation methods of microplastics in different environmental media. Chemosphere 2022, 299, 134354. [Google Scholar] [CrossRef]
  42. Zhang, X.; Xia, X.; Dai, M.; Cen, J.; Zhou, L.; Xie, J. Microplastic pollution and its relationship with the bacterial community in coastal sediments near Guangdong Province, South China. Sci. Total Environ. 2021, 760, 144091. [Google Scholar] [CrossRef]
  43. Xiao, S.; Zhang, Y.; Wu, Y.; Li, J.; Dai, W.; Pang, K.; Liu, Y.; Wu, R. Bacterial community succession and the enrichment of antibiotic resistance genes on microplastics in an oyster farm. Mar. Pollut. Bull. 2023, 194, 115402. [Google Scholar] [CrossRef] [PubMed]
  44. Li, K.; Xu, L.; Bai, X.; Zhang, G.; Zhang, M.; Huang, Y. Differential fungal assemblages and functions between the plastisphere of biodegradable and conventional microplastics in farmland. Sci. Total Environ. 2024, 906, 167478. [Google Scholar] [CrossRef] [PubMed]
  45. Rüthi, J.; Bölsterli, D.; Pardi-Comensoli, L.; Brunner, I.; Frey, B. The “plastisphere” of biodegradable plastics is characterized by specific microbial taxa of alpine and arctic soils. Front. Environ. Sci. 2020, 8, 562263. [Google Scholar] [CrossRef]
  46. Li, K.; Jia, W.; Xu, L.; Zhang, M.; Huang, Y. The plastisphere of biodegradable and conventional microplastics from residues exhibit distinct microbial structure, network and function in plastic-mulching farmland. J. Hazard. Mater. 2023, 442, 130011. [Google Scholar] [CrossRef] [PubMed]
  47. Chen, M.; Cao, M.; Zhang, W.; Chen, X.; Liu, H.; Ning, Z.; Peng, L.; Fan, C.; Wu, D.; Zhang, M. Effect of biodegradable PBAT microplastics on the C and N accumulation of functional organic pools in tropical latosol. Environ. Int. 2024, 183, 108393. [Google Scholar] [CrossRef] [PubMed]
  48. Yang, H.; Hu, Z.; Wu, F.; Guo, K.; Gu, F.; Cao, M. The use and recycling of agricultural plastic mulch in China: A review. Sustainability 2023, 15, 15096. [Google Scholar] [CrossRef]
  49. Kanwal, A.; Zhang, M.; Sharaf, F.; Li, C. Polymer pollution and its solutions with special emphasis on Poly (butylene adipate terephthalate (PBAT)). Polym. Bull. 2022, 79, 9303–9330. [Google Scholar] [CrossRef]
  50. Li, C.; Li, Z.; Cui, Q.; Hassan, A.; Zhang, K.; Lu, X.; Zhang, Y. Effect of different additions of low-density polyethylene and microplastics polyadipate/butylene terephthalate on soil bacterial community structure. Environ. Sci. Pollut. Res. 2023, 30, 55649–55661. [Google Scholar] [CrossRef]
  51. Nie, Z.; Wang, L.; Lin, Y.; Xiao, N.; Zhao, J.; Wan, X.; Hu, J. Effects of polylactic acid (PLA) and polybutylene adipate-co-terephthalate (PBAT) biodegradable microplastics on the abundance and diversity of denitrifying and anammox bacteria in freshwater sediment. Environ. Pollut. 2022, 315, 120343. [Google Scholar] [CrossRef] [PubMed]
  52. Chen, M.; Zhao, X.; Wu, D.; Peng, L.; Fan, C.; Zhang, W.; Li, Q.; Ge, C. Addition of biodegradable microplastics alters the quantity and chemodiversity of dissolved organic matter in latosol. Sci. Total Environ. 2022, 816, 151960. [Google Scholar] [CrossRef] [PubMed]
  53. Nelson, T.F.; Baumgartner, R.; Jaggi, M.; Bernasconi, S.M.; Battagliarin, G.; Sinkel, C.; Künkel, A.; Kohler, H.E.; Mcneill, K.; Sander, M. Biodegradation of poly (butylene succinate) in soil laboratory incubations assessed by stable carbon isotope labelling. Nat. Commun. 2022, 13, 5691. [Google Scholar] [CrossRef] [PubMed]
Figure 1. The effects of various mulching film-derived microplastics and added amounts on deep soil physicochemical properties (ad) and soil nutrients (eh). Control, without microplastic addition; PE-MP, microplastics derived from polyethylene film; PBAT-MP, microplastics derived from polybutylene adipate-co-terephthalate film. t-test was used to test the difference between the mean values of soil properties of PE-MP and PBAT-MP, without control. One-way ANOVA determined significant differences between different additions of the same microplastics. Two-way ANOVA was used to test the effects of treatment, adding amount, and their interactions on soil properties. Different lowercase letters indicate significant differences among treatments within each soil depth (p < 0.05). * and ** indicate statistically significant differences at p < 0.05 and p < 0.001, respectively; ns indicates no significant difference.
Figure 1. The effects of various mulching film-derived microplastics and added amounts on deep soil physicochemical properties (ad) and soil nutrients (eh). Control, without microplastic addition; PE-MP, microplastics derived from polyethylene film; PBAT-MP, microplastics derived from polybutylene adipate-co-terephthalate film. t-test was used to test the difference between the mean values of soil properties of PE-MP and PBAT-MP, without control. One-way ANOVA determined significant differences between different additions of the same microplastics. Two-way ANOVA was used to test the effects of treatment, adding amount, and their interactions on soil properties. Different lowercase letters indicate significant differences among treatments within each soil depth (p < 0.05). * and ** indicate statistically significant differences at p < 0.05 and p < 0.001, respectively; ns indicates no significant difference.
Agronomy 14 00753 g001
Figure 2. The effects of various mulching film-derived microplastics and added amount on the community composition of deep soil bacteria (a,b) and fungi (c,d) at the genus level. Control, without microplastic addition; PE-MP, microplastics derived from polyethylene film; PBAT-MP, microplastics derived from polybutylene adipate-co-terephthalate film. While 0.01, 0.1, and 0.5 represent additions of 0.01, 0.1, and 0.5% (w/w), respectively.
Figure 2. The effects of various mulching film-derived microplastics and added amount on the community composition of deep soil bacteria (a,b) and fungi (c,d) at the genus level. Control, without microplastic addition; PE-MP, microplastics derived from polyethylene film; PBAT-MP, microplastics derived from polybutylene adipate-co-terephthalate film. While 0.01, 0.1, and 0.5 represent additions of 0.01, 0.1, and 0.5% (w/w), respectively.
Agronomy 14 00753 g002
Figure 3. The effects of various mulching film-derived microplastics and added amounts on deep soil bacterial and fungal abundance (a,d), diversity (b,e), and principal coordinate analysis based on the Bray–Curtis distance, indicating variations between distinct treatment groups (c,f). PE-MP, microplastics derived from polyethylene film; PBAT-MP, microplastics derived from polybutylene adipate-co-terephthalate film. Control, without microplastic addition. T-test was used to test the difference between the mean values of soil properties of PE-MP and PBAT-MP, without a control. One-way ANOVA determined significant differences between different additions of the same microplastics. Two-way ANOVA was used to test the effects of treatment, adding amount, and their interactions on soil properties. Different lowercase letters indicate significant differences among treatments within each soil depth (p < 0.05). ** indicate statistically significant differences at p < 0.001; ns indicates no significant difference.
Figure 3. The effects of various mulching film-derived microplastics and added amounts on deep soil bacterial and fungal abundance (a,d), diversity (b,e), and principal coordinate analysis based on the Bray–Curtis distance, indicating variations between distinct treatment groups (c,f). PE-MP, microplastics derived from polyethylene film; PBAT-MP, microplastics derived from polybutylene adipate-co-terephthalate film. Control, without microplastic addition. T-test was used to test the difference between the mean values of soil properties of PE-MP and PBAT-MP, without a control. One-way ANOVA determined significant differences between different additions of the same microplastics. Two-way ANOVA was used to test the effects of treatment, adding amount, and their interactions on soil properties. Different lowercase letters indicate significant differences among treatments within each soil depth (p < 0.05). ** indicate statistically significant differences at p < 0.001; ns indicates no significant difference.
Agronomy 14 00753 g003
Figure 4. Co-occurrence network analysis of bacterial (a) and fungal (b) communities under various mulching film-derived microplastics and added amounts. Nodes of the same color belong to the same module. Control, without microplastic addition. PE-MP, microplastics derived from polyethylene film; PBAT-MP, microplastics derived from polybutylene adipate-co-terephthalate film. Spearman’s correlation coefficient r  >  0.6 and p  <  0.05 were used for network construction.
Figure 4. Co-occurrence network analysis of bacterial (a) and fungal (b) communities under various mulching film-derived microplastics and added amounts. Nodes of the same color belong to the same module. Control, without microplastic addition. PE-MP, microplastics derived from polyethylene film; PBAT-MP, microplastics derived from polybutylene adipate-co-terephthalate film. Spearman’s correlation coefficient r  >  0.6 and p  <  0.05 were used for network construction.
Agronomy 14 00753 g004
Figure 5. Taxonomic community composition was related to each environmental factor Mantel test. Pairwise comparisons of environmental factors are shown, with a color gradient denoting Pearson’s correlation coefficient. (a) Control (without microplastics addition); (b) PE-MP (microplastics derived from polyethylene film); (c) PBAT-MP (microplastics derived from polybutylene adipate-co-terephthalate film).
Figure 5. Taxonomic community composition was related to each environmental factor Mantel test. Pairwise comparisons of environmental factors are shown, with a color gradient denoting Pearson’s correlation coefficient. (a) Control (without microplastics addition); (b) PE-MP (microplastics derived from polyethylene film); (c) PBAT-MP (microplastics derived from polybutylene adipate-co-terephthalate film).
Agronomy 14 00753 g005
Figure 6. Pearson correlation analysis between soil factors and soil bacteria and fungi. The size of the circle represents the size of the absolute value of the r-value. Control, without microplastic addition. PE-MP, microplastics derived from polyethylene film; PBAT-MP, microplastics derived from polybutylene adipate-co-terephthalate film. * and ** indicate statistically significant differences at p < 0.05 and p < 0.001, respectively. No symbols are shown for p ≥ 0.05.
Figure 6. Pearson correlation analysis between soil factors and soil bacteria and fungi. The size of the circle represents the size of the absolute value of the r-value. Control, without microplastic addition. PE-MP, microplastics derived from polyethylene film; PBAT-MP, microplastics derived from polybutylene adipate-co-terephthalate film. * and ** indicate statistically significant differences at p < 0.05 and p < 0.001, respectively. No symbols are shown for p ≥ 0.05.
Agronomy 14 00753 g006
Figure 7. Pearson correlation analysis between soil factors and network characteristics. The size of the circle represents the size of the absolute value of the r-value. Control, without microplastic addition. PE-MP, microplastics derived from polyethylene film; PBAT-MP, microplastics derived from polybutylene adipate-co-terephthalate film. * and ** indicate statistically significant differences at p < 0.05 and p < 0.001, respectively. No symbols are shown for p ≥ 0.05.
Figure 7. Pearson correlation analysis between soil factors and network characteristics. The size of the circle represents the size of the absolute value of the r-value. Control, without microplastic addition. PE-MP, microplastics derived from polyethylene film; PBAT-MP, microplastics derived from polybutylene adipate-co-terephthalate film. * and ** indicate statistically significant differences at p < 0.05 and p < 0.001, respectively. No symbols are shown for p ≥ 0.05.
Agronomy 14 00753 g007
Disclaimer/Publisher’s Note: The statements, opinions and data contained in all publications are solely those of the individual author(s) and contributor(s) and not of MDPI and/or the editor(s). MDPI and/or the editor(s) disclaim responsibility for any injury to people or property resulting from any ideas, methods, instructions or products referred to in the content.

Share and Cite

MDPI and ACS Style

Liu, X.; Wei, W.; Liu, G.; Zhu, B.; Cui, J.; Yin, T. Effects of Conventional Non-Biodegradable Film-Derived Microplastics and New Biodegradable Film-Derived Microplastics on Soil Properties and Microorganisms after Entering Sub-Surface Soil. Agronomy 2024, 14, 753. https://doi.org/10.3390/agronomy14040753

AMA Style

Liu X, Wei W, Liu G, Zhu B, Cui J, Yin T. Effects of Conventional Non-Biodegradable Film-Derived Microplastics and New Biodegradable Film-Derived Microplastics on Soil Properties and Microorganisms after Entering Sub-Surface Soil. Agronomy. 2024; 14(4):753. https://doi.org/10.3390/agronomy14040753

Chicago/Turabian Style

Liu, Xiaowei, Wenliang Wei, Guocheng Liu, Bo Zhu, Jie Cui, and Tao Yin. 2024. "Effects of Conventional Non-Biodegradable Film-Derived Microplastics and New Biodegradable Film-Derived Microplastics on Soil Properties and Microorganisms after Entering Sub-Surface Soil" Agronomy 14, no. 4: 753. https://doi.org/10.3390/agronomy14040753

APA Style

Liu, X., Wei, W., Liu, G., Zhu, B., Cui, J., & Yin, T. (2024). Effects of Conventional Non-Biodegradable Film-Derived Microplastics and New Biodegradable Film-Derived Microplastics on Soil Properties and Microorganisms after Entering Sub-Surface Soil. Agronomy, 14(4), 753. https://doi.org/10.3390/agronomy14040753

Note that from the first issue of 2016, this journal uses article numbers instead of page numbers. See further details here.

Article Metrics

Back to TopTop