You are currently viewing a new version of our website. To view the old version click .
Agronomy
  • Article
  • Open Access

6 October 2024

Canopy Characteristics of Gamba Grass Cultivars and Their Effects on the Weight Gain of Beef Cattle under Grazing

,
,
,
and
Brazilian Agricultural Research Corporation, Planaltina 73310-970, DF, Brazil
*
Author to whom correspondence should be addressed.
This article belongs to the Special Issue Advances in Grassland Productivity and Sustainability — 2nd Edition

Abstract

Gamba grass (Andropogon gayanus Kunth) is a tussock-forming forage species adapted to acid soils of Brazilian savannas and cultivated for grazing pastures. Four decades since its release, Planaltina prevails as the most commercialized cultivar of the species, even though the new cultivar BRS Sarandi could be a better alternative for Gamba-grass-based farms by presenting a greater leaf:stem ratio. The objective of this study was to evaluate the average daily live weight gain (ADG) of Nellore bulls (Bos indicus) for two Gamba grass cultivars—Planaltina and Sarandi. The experiment was conducted in Planaltina, Federal District, Brazil, for 3 years, namely 2018, 2018–2019, and 2020. The experimental design was a completely randomized block design with two treatments and three replicates, each one continuously stocked at three stocking rates (SR)—1.3, 2.6, and 4 young bulls/ha. Canopy height (CH), forage mass (FM), plant-part proportion (green leaf, stem, and dead material), and nutritive value were evaluated. In 2018, mean ADG for Sarandi pastures was greater (0.690 kg/bull/d) than that of Planaltina (0.490 kg/bull/d) (p < 0.10). In the subsequent year (2018–2019), there was no effect of cultivar (p > 0.10), while in 2020 the ADG was again affected by cultivar (p < 0.10), confirming the advantage of Sarandi (0.790 kg/bull/d) over Planaltina (0.650 kg/bull/d). In 2018 and 2020, the percentage of stems for Sarandi was about 3–6 pp less than for Planaltina (p < 0.10). As well as for stems, Sarandi pastures presented a shorter CH in 2028 and 2020 (6–7%) (p < 0.10). The positive high correlation of leaf:stem ratio with ADG (r = 0.70) probably predisposed the superiority of Sarandi over Planaltina. The distinguishing plant-part composition of Sarandi canopy promotes increasing weight gain of beef cattle when compared to cv. Planaltina.

1. Introduction

Livestock production in Brazilian savannas (i.e., the cerrado biome) is mainly carried out in pasture-based systems [1,2]. Even considering the strong seasonality of forage production in these areas, livestock is raised nearly exclusively in pastures of exotic warm season grasses like Palisade grass (Urochloa brizantha (Hochst. ex A. Rich.) R. Webster) and Guinea grass (Urochloa maxima (Jacq.) R. Webster) [3]. In the same way, Gamba grass (Andropogon gayanus Kunth) is an important forage in pasture-based farms, especially in the Brazilian states of Goiás and Tocantins. Gamba grass is an erect, tussock-forming perennial grass native to tropical Africa [4] and has lower soil nutrient requirements and greater tolerance to high levels of aluminum (Al) than Palisade and Guinea grass, so it is traditionally used in extensive cow–calf operations in savannas of South America [5,6]. On the other hand, it is considered a noxious weed in Australia [7,8].
Released in 1980, Planaltina is the first and predominant cultivar of Gamba grass in Brazil, succeeded by the cultivar Baetí in 1993 [9,10]. Farmers immediately adopted Planaltina due to its adaptation to low soil fertility and the absence of grasses resistant to spittlebugs (e.g., Zulia entreriana, Deois flavopicta) at that time. However, after the release of the spittlebug-resistant Palisade grass cv. Marandu, Planaltina became more restricted to poor soil fertility areas and low-input production systems. Gamba grass is known for presenting tall reproductive stems during flowering (April–May), reducing canopy leafiness and nutritive value [11]. Thus, the breeding of the species has focused on a greater leaf:stem ratio, but still with no documented positive impact on animal performance [12]. In 2020, the Brazilian Agricultural Research Corporation (EMBRAPA) registered the cv. BRS Sarandi, selected for greater leaf:stem ratio, tiller number, and semi-erect plant architecture. For instance, Sarandi has short and thin tillers and approximately 13% more leaves than Planaltina [13]. Therefore, it is expected that the performance of cattle grazing Sarandi will be improved due to the greater intake of more digestible leaves opposed to rank stems.
Despite the importance of Gamba grass for livestock production systems in Brazilian savannas, information about cattle weight gain under grazing in this region is limited, even for the older cultivars like Planaltina. The availability of a new Gamba grass cultivar can impact on livestock productivity in the region as long as its potential to improve animal performance is proven. The objective of this study was to evaluate the average daily live weight gain (ADG) of young Nellore bulls in Gamba grass pastures of cv. Planaltina and cv. Sarandi with their distinct canopy characteristics.

2. Material and Methods

2.1. Experimental Site

The experiment was carried out in Planaltina, FD, Brazil (15°35′ S, 47°42′ W; 993 m above sea level) in a clayey soil (Rhodic Haplustox Oxisol) during three consecutive years (2018–2020). The climate at the experimental site is a tropical dry-winter Aw, according to Köppen’s classification [14]. Monthly rainfall and mean daily air temperatures were recorded 1400 m from the experimental area (Table 1). The rainy season lasts from October to April and, for the purposes of this study, the period from April to July will be named early dry season. Before planting Gamba grass pastures, the soil of the experimental area had pH (CaCl2) 5.5, K concentration of 134 mg/kg, and P concentration of 4.2 mg/kg (Mehlich-I extractable P).
Table 1. Monthly rainfall and daily mean air temperature of the experimental site 1. Data comprised three experimental years (2018–2020) and historical series (1974–2013) of the site. Planaltina, FD, Brazil.
After plowing and disking the experimental area, both cv. Planaltina and cv. BRS Sarandi (Andropogon gayanus Kunth) were seeded in a clean-tilled seedbed on 12 December 2016, each one in three experimental units of 1.5 ha. The equivalent of 50 kg of pelleted seeds per hectare (~15 kg of pure live seeds/ha) and 278 kg of simple superphosphate per hectare were mixed and spread with a pendulum spinner (Vicon®, Cotia, Brazil). Immediately after distribution, seeds were lightly pressed into the soil surface using a tire roller. Throughout 2017, paddocks were prepared with fences and water tanks, while weeds and invasive forage species (e.g., Guinea grass) were eradicated using directed application of glyphosate.

2.2. Experimental Design, Grazing Management, and Nitrogen Fertilization

Planaltina and Sarandi treatments were distributed in a completely randomized block design with three replicates. Each one of the three blocks was managed at one fixed stocking rate (SR)—1.3, 2.6, and 4 bulls/ha (2, 4, and 6 bulls per paddock), namely low, medium, and high SR, respectively. Paddocks were continuously stocked during the experiment. From April 2018 to June 2020, successive grazing periods included rainy and early dry seasons (in 2018, 2018–2019, and 2020) (Table 2). The equivalent of 50 kg N/ha/yr of ammonium sulfate was applied to the pastures after mechanical cutting at a canopy height of about 30 cm. Nitrogen fertilizer was applied every year approximately one month before the first grazing period.
Table 2. Grazing periods over three years for cv. Sarandi and cv. Planaltina (Andropogon gayanus Kunth) pastures. Planaltina, FD, Brazil.

2.3. Animal Performance

Young Nellore bulls (Bos taurus indicus) aged 14–19 months were evaluated for average daily live weight gain (ADG). The mean initial live weights (LWs) (±standard deviation) of successive groups of bulls for 2018, 2018–2019, and 2020 were 331 (±38), 335 (±76), and 244 (±23) kg, respectively. A mineral salt mix containing essential macrominerals (P, Ca, Mg, S, Na, and Cl) and microminerals (Mn, Zn, Se, Cu, Co, Fe, and I) was supplied ad libitum throughout the experimental period. Bulls were weighed after a 16 h fasting time before the start of each grazing period and at the end of the corresponding grazing period. Annual live weight gain per area (GA) was calculated by multiplying ADG by the SR and by the days of grazing. The experiment met the requirements of the Ethics Committee for the Use of Animals of the Embrapa Cerrados according to protocol 818-4561-1/2020.

2.4. Canopy Attributes

Forage mass (FM) was evaluated at soil level using metallic frames of 2 × 0.5 m to delimitate the sampling points. Twelve points were distributed in three transects per paddock with four samplings per transect. Six subsamplings (each one comprising two FM samples) were taken to separate leaves (i.e., green leaf blade), stems (i.e., stem and leaf sheath), and dead material. Dead material was visually defined as senescent leaves and stems with an area of 50% or more yellow or dry tissue. All samples were dried in an air-forced oven at 55 °C for 72 h. Canopy height (CH) was evaluated in 100 sampling points per paddock in a zigzag line pattern. Pasture evaluations describing CH, FM, and plant-part composition were made every grazing period. Leaf:stem ratio, leaf bulk density (kg DM/ha/cm), and leaf allowance (LA) (kg DM/kg LW) [15] were estimated.

2.5. Nutritive Value Attributes

Forage analyzed for nutritive value was sampled by the hand-plucking method described by Sollenberger and Cherney [16]. The samples were dried in an air-forced oven at 55 °C for 72 h and milled to a 1 mm particle size (Wiley mill). Crude protein (CP) (AOAC 1990) [17], neutral detergent fiber (NDF), acid detergent fiber (ADF) [18], and in vitro dry matter digestibility (IVDMD) [19,20] were analyzed by near-infrared spectroscopy (NIRS) (FOSS®) using calibrated models based on the mentioned methods. The models used to predict the nutritive value presented a determination coefficient (R2) ranging from 0.87 to 0.95 [21].

2.6. Data Analysis

Data were analyzed by year using the Mixed procedure of SAS [22]. The effects of cultivar, block, grazing period, and cultivar × grazing period were assigned as fixed by analysis of repeated measures over time. The studentized residual data outside ±3 were considered outliers. Results from main effects at p < 0.10 by the t-test were presented as LSMEANS. The effects of interaction at p > 0.10 were not mentioned. The correlation coefficients (r) of canopy and nutritive value attributes with ADG were estimated by using the Corr procedure of SAS [22].

3. Results

In the first year of the experiment (2018), ADG was affected by cultivar (p = 0.0839) and grazing period (p = 0.0003). Bulls gained 0.670 kg/bull/d in Sarandi pastures and 0.490 kg/bull/d in Planaltina pastures (Table 3). In the second year (2018–2019), there was no effect for cultivar on ADG (p = 0.4089) (mean = 1.000 kg/bull/d), only for grazing period (p < 0.0001). In 2020, there was an effect of grazing period (p < 0.0001) and results also supported Sarandi as promoting more ADG (0.790 kg/bull/d) compared to Planaltina (0.650 kg/bull/d) (p = 0.0412). As a direct effect of ADG and weighted average of grazing days, mean GA for Sarandi pastures was 151, 492, and 276 kg/ha in 2018, 2018–2019, and 2020, respectively, while GA for Planaltina pastures was 115, 517, and 229 kg/ha for 2018, 2018–2019, and 2020, respectively.
Table 3. Average daily live weight gain (ADG) of young Nellore bulls in Gamba grass (Andropogon gayanus Kunth) pastures of cv. Sarandi and cv. Planaltina for three consecutive years. Planaltina, FD, Brazil.
There was no effect of cultivar on FM (p > 0.10) (Table 4), only for grazing period (p < 0.10) (Table 5). However, morphological composition of the plant differed between Sarandi and Planaltina cultivars. In the first (2018) and third (2020) years, there was an effect of cultivar on stem percentage (p < 0.10) with greater values for Planaltina (Table 4). Concurrently, the dead material percentage in these same years was superior for Sarandi (p < 0.10), while the leaf percentage was not affected by cultivar (p > 0.10). All morphological components were affected by the grazing period (p < 0.10), except stems from 2018–2019 (p > 0.10) (Table 5). In general, with the advance of grazing season there was a continuous leaf decrease concomitant to the dead material increase, while stems remained more stable. As well as stem percentage, Planaltina pastures presented greater CH than Sarandi in 2018 and 2020 (p < 0.10). From 2018–2019, there was no effect of cultivar on plant-part composition (p > 0.10) and CH (p = 0.4936). Canopy height was affected by the grazing period in 2018 and from 2018–2019 (p < 0.10) (Table 5).
Table 4. Forage mass (FM), plant-part composition (leaf, stem, and dead material), canopy height (CH), crude protein (CP), in vitro dry matter digestibility (IVDMD), neutral detergent fiber (NDF), and acid detergent fiber (ADF) of Gamba grass (Andropogon gayanus Kunth) cv. Sarandi and cv. Planaltina for three consecutive years. Planaltina, FD, Brazil.
Table 5. Forage mass (FM), plant-part composition (leaf, stem, and dead material), canopy height (CH), crude protein (CP), in vitro dry matter digestibility (IVDMD), neutral detergent fiber (NDF), and acid detergent fiber (ADF) of Gamba grass (Andropogon gayanus Kunth) cv. Sarandi and cv. Planaltina for grazing periods in three consecutive years. Planaltina, FD, Brazil.
No nutritive value attribute (e.g., CP, IVDMD, NDF, and ADF) was affected by cultivar (p > 0.10) (Table 4). However, these same variables were affected by the grazing period (p < 0.10), with decreasing values for CP and IVDMD with the advance of season and a concomitant increase in NDF and ADF, particularly for 2018 and 2018–2019 (Table 5).
Average daily gain was strongly and positively correlated (r > |0.7|) with leaf percentage (r = 0.73; p < 0.0001) and leaf:stem ratio (r = 0.70; p < 0.0001) while leaf bulk density (r = 0.64; p < 0.0001) and CP (r = 0.63; p < 0.0001) were moderately correlated (|0.7| > r > |0.5|) with ADG. Stem percentage was weakly correlated (|0.5| > r > |0.3|) with ADG (r = −0.48; p = 0.0003), as well as LA (r = 0.45; p = 0.0008), NDF (r = −0.42; p = 0.0020), dead material percentage (r = −0.39; p = 0.0037), and IVDMD (r = 0.37; p = 0.0078). Canopy height (r = 0.20; p = 0.1490), FM (r = −0.10; p = 0.4617), and ADF (r = −0.04; p = 0.7619) were not correlated with ADG (r < |0.3|). The strength and direction of these correlations highlighted the positive linear association of leaf percentage, leaf:stem ratio, leaf bulk density, and CP with ADG (Figure 1).
Figure 1. Scatter plots of forage mass (FM, kg MS/ha); canopy height (CH, cm); leaf (%); stem (%); dead material (%); leaf:stem ratio; leaf bulk density (kg MS/ha/cm); leaf allowance (LA, kg MS of leaves/kg live weight); crude protein (CP, g/kg); in vitro dry matter digestibility (IVDMD, g/kg); neutral detergent fiber (NDF, g/kg); and acid detergent fiber (ADF, g/kg) with average daily gain (ADG, kg/bull/d) of Nellore bulls in pastures of Andropogon gayanus Kunth cv. Sarandi (SAR) and cv. Planaltina (PLA), Planaltina, FD, Brazil. Each point represents the mean value of each experimental unit (paddock).
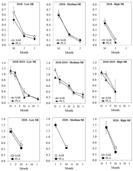
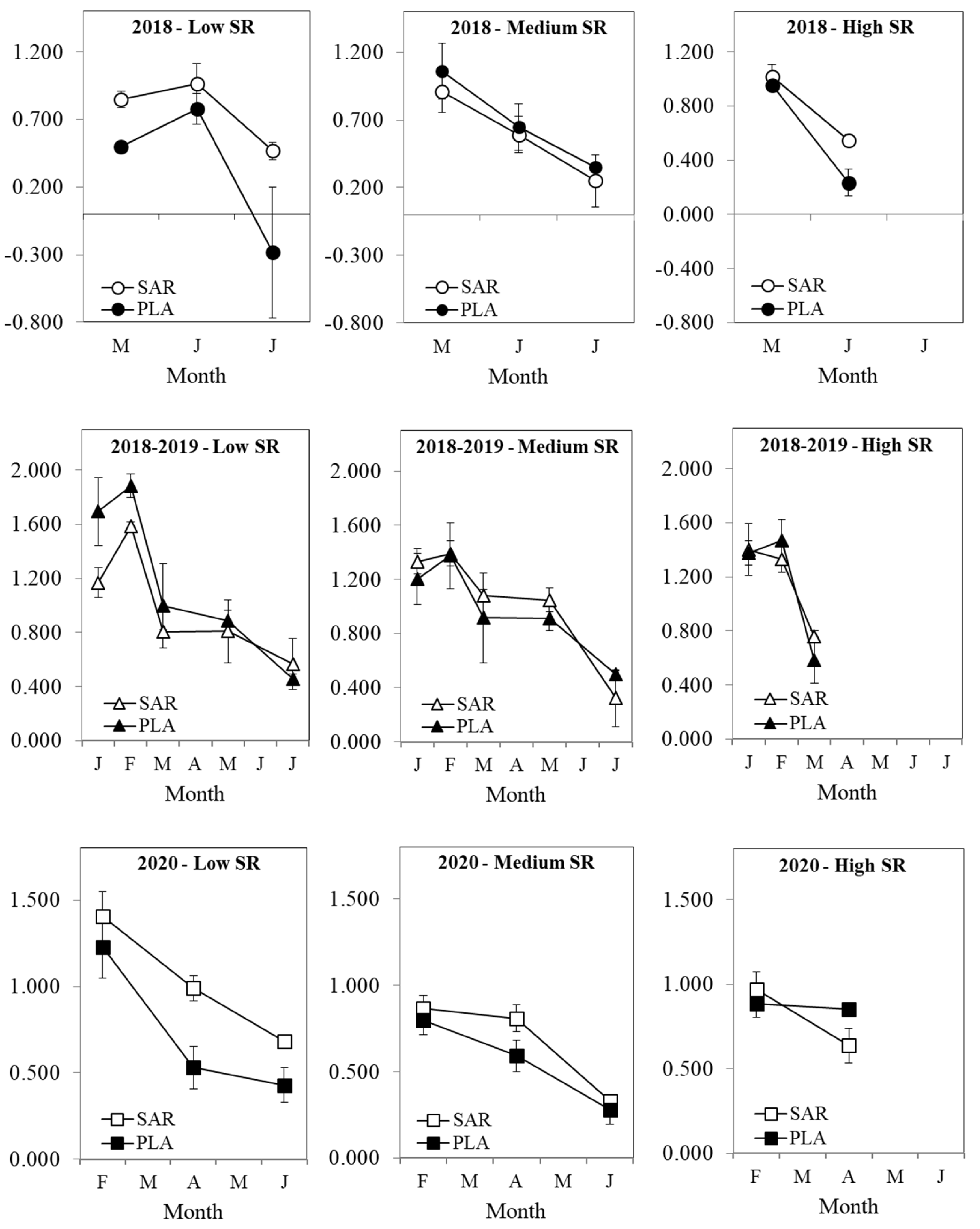
In general, ADG decreased with the advance of the rainy season (November–April) until the early dry season (April–July), when the experimental period for each year ended (Figure 2). For different blocks and their respective SRs, the ADG was greater for the low SR and lesser for the high SR, and the experimental period was shortened to avoid weight loss of bulls and pasture depletion. On the other hand, low and medium SR blocks were grazed over the entire experimental period during the three years. The ADG superiority of Sarandi over Planaltina was more or less evident depending on the grazing period, with greater evidence in the first and third years. As well as ADG, a descending trend over time occurred for the leaf:stem ratio and Sarandi excelled especially in grazing periods of the years 2018 and 2020, although this was not evident for all of them (Figure 3).
Figure 2. Average daily live weight gain (ADG, kg/bull/d) of Nellore bulls in Andropogon gayanus Kunth pastures of cv. Sarandi (SAR) and cv. Planaltina (PLA) for low, medium, and high stocking rates (SRs) during three years (2018, 2018–2019, and 2020). Bars represent ± standard error of the mean (s.e.).
Figure 3. Leaf:stem ratio of Andropogon gayanus Kunth cv. Sarandi (SAR) and cv. Planaltina (PLA) for low, medium, and high stocking rates (SRs) during three years (2018, 2018–2019, and 2020). Bars represent ± standard error of the mean (s.e.).

4. Discussion

Average daily gain over the three years of the current study was considerably greater than the mean observed in Gamba grass pastures grazed for 6 months in the well-drained savannas of Colombia, with daily live weight gains of 0.570 kg/head/d [9]. When limited to the rainy season (November–April), ADG was within the range observed for Nellore cattle in fertilized Palisade and Guinea grass pastures grazed in this same season in central Brazil (0.750 to 1 kg/head/d) [23,24,25]. Actually, ADG even reached above 1 kg/bull/d, especially for low and medium SR (Figure 2), demonstrating an unexplored potential of Gamba grass for finishing beef cattle in more intensive pasture-based systems. The preceding mechanical cut eliminated the old rank tussocks, favoring the leaf intake, as well as the high forage CP concentration, within the range observed in N-fertilized Gamba grass leaves at different regrowth ages (70–180 g/kg) [12] and very close to observed in N-fertilized Palisade grass in the rainy season (136–168 g/kg) [23]. In Palisade and Guinea grass pastures in Araguaína, TO, Brazil, Nellore bulls gained 0.360 kg/head/d in the early dry season (April to June) with 2 animal units per ha (1 animal unit = 450 kg LW) [26]. It was less than the mean ADG observed in the current study in this same season. As a likely cause for this, mean CP of Gamba grass during early dry season was considerably greater than observed by Feitosa et al. [26] (82 g/kg) when Gamba grass begins its reproductive phase.
Green leaf percentage dropped with the advance of the season, reaching values between 5 and 8%, less than observed in Signal grass (Urochloa decumbens) and Palisade grass pastures (13–21%) grazed at continuous stocking in Campo Grande, MS, Brazil [27,28]. Bönert et al. [29] also observed a smaller proportion of green leaves in the canopy during the dry season (10%), even though the exclusive Gamba grass diet contained 37% leaves. Since green leaf percentage was unexpectedly similar for Planaltina and Sarandi, the greater proportion of stems for Planaltina seems to have negatively influenced the ADG, probably due to their effects on cattle foraging behavior and on nutritive value [30,31]. The advantages of a lower stem proportion of Sarandi may have had consequences on ADG precisely in the two years (2018 and 2020) where this effect was more evident, while the well below average rainfall may have influenced the lack of cultivar effect from 2018–2019 (Table 1). As seen, the smaller proportion of stems of Sarandi did not result in a greater proportion of green leaves, but essentially of dead material (mainly dead leaves), demanding more precise and efficient grazing targets (e.g., CH, FM, etc.) to maximize this advantage.
Canopy attributes like green leaf percentage, leaf:stem ratio, and leaf bulk density presented a clear association with ADG over the experimental period (Figure 1). Average daily gain was more associated with canopy attributes derived from leaves than CH, FM, stems, and nutritive value. Garay et al. [32] verified in Stargrass pastures that ADG presented a quadratic fit with FM and forage allowance (R2 > 0.75). On the other hand, for high-tufted Guinea grass, ADG appears more correlated with leaves [33,34], similar to Gamba grass. When FM becomes excessive, there may be no relationship between canopy attributes and ADG, but nutritive value may explain more than 50% of the variation in ADG [35]. In this context, the high-tufted Guinea grass cv. Zuri managed constantly at 8 kg DM/100 kg LW/d of forage allowance presented a leaf:stem ratio moderately correlated with ADG (0.64), while CP and IVDMD correlated strongly (r > 0.72) [24]. For tropical grasses, the live weight gain seems to be more correlated with LA than forage allowance [36], although LA correlated weakly with ADG due to a ceiling response (Figure 1) as already observed for forage allowance [37,38]. A steady-state canopy by controlling CH has been recommended for grazing management of tropical grasses [39], and the occurrence of very tall canopies (>150 cm) in the current study had a negative impact on ADG (Figure 1) because of the simultaneous decrease in the leaf:stem ratio and leaf bulk density and the negative effects on forage intake. In a plot cut experiment oriented to minimize the growth of stems, it was recommended that CH of cv. Planaltina not exceed 50 cm when there is about 95% canopy light interception [11], although no data from grazing experiments have been obtained yet.
The expected deficit in rainfall from April onwards (Table 1) along with the reproductive phase of Gamba grass increased stem and dead material percentage to the detriment of more nutritive green leaves [11,40]. In a similar way, arranging SR in the blocks produced distinct canopies, affecting the plant-part composition of Gamba grass differently and providing a wider perspective about the potential advantages of Sarandi over Planaltina in terms of canopy leafiness (Figure 2). The leaf:stem ratio emerged as one of the causes of the advantage of Sarandi over Planaltina, in terms of individual weight gain of bulls. Regardless of the SR and its consequences on the canopy, the bulls in Sarandi pastures had access to a canopy that favored forage intake and their greater performance (Figure 3). In addition to the leaf:stem ratio, a more homogeneous canopy provided by Sarandi may also have contributed to this advantage. Moreover, the CH in Sarandi pastures was shorter compared to Planaltina, at least in 2018 and 2020. The shorter the CH, the greater the leaf bulk density, that probably affected the ingestive behavior (e.g., bite weight and bite rate) of the bulls, with positive consequences on ADG [41].
According to Thomas et al. [9], Planaltina pastures produced 457 kg LW/ha/yr in the Colombian savannas grazed with 3.6 head/ha, less than the mean GA observed in the current study in the longest grazing year (2018–2019) for Sarandi and Planaltina pasture. Pasture carrying capacity is influenced by the grazing days, and the grazing year had to be abbreviated for the high-SR block of the current study, negatively affecting the weighted average GA. In Palisade grass pastures fertilized with 200 kg N/ha/yr, mean GA was 565 kg LW/ha/yr [25], while in Guinea grass pastures with 100 kg N/ha/yr, mean GA was 324 kg LW/ha/yr according to Braga et al. [42] and 399 kg LW/ha/yr according to Canto et al. [43]. Considering the minor N fertilization of 50 kg N/ha/yr, cattle production for Gamba grass pastures in the current study can be considered remarkable since it is predominantly destined for low-input production systems by presenting lesser forage yield potential than Guinea grass pastures, for example.
Cattle performance observed in the current study revealed Sarandi as a promising Gamba grass cultivar due to the advantages over Planaltina observed in at least two of the three years. As Sarandi maintains the adaptive advantages of Planaltina in Brazilian savannas (i.e., Al tolerance), it may also be recommended for low soil fertility areas and extensive cow–calf grazing systems. Calf weaning takes place from March–April in Brazilian savannas [44], and the Sarandi cultivar may improve this weaning weight performance, resulting in a shorter livestock cycle until slaughter. Results obtained in the current study, however, indicated the great productive potential of Gamba grass when mechanical cutting of ungrazed leftover tussocks and nitrogen fertilization are combined, giving the opportunity for raising and finishing beef cattle. The smaller proportion of stems supports Sarandi as a more suitable cultivar to minimize the undesirable effects of flowering and mismanagement on canopy and cattle performance, even when leaves are not the main plant component of the diet. Even so, Sarandi preserves characteristics of the species that make grazing management more difficult, such as the fast growth of the stems during flowering from April onwards, a condition that prevents its use as stockpiled forage for the dry season.

5. Conclusions

Gamba grass BRS Sarandi provides greater live weight gain for young Nellore bulls compared to the predominant cv. Planaltina. This advantage is a consequence of the smaller proportion of stems, characteristic of this cultivar, affecting the quality of the grazed diet, especially when nutritive value and canopy structure deteriorate quickly. More effort must be made to define grazing management targets for Gamba grass, both for Sarandi and for Planaltina.

Author Contributions

Conceptualization, G.J.B. and A.K.B.R.; Methodology, G.J.B. and A.K.B.R.; Formal analysis, G.J.B., C.E.L.F. and C.T.K.; Investigation, G.J.B., A.K.B.R., M.A.C. and C.E.L.F.; Resources, G.J.B. and M.A.C.; Writing—original draft, G.J.B.; Writing—review & editing, M.A.C., C.E.L.F. and C.T.K.; Visualization, G.J.B.; Supervision, G.J.B., M.A.C. and C.T.K.; Project administration, M.A.C. and C.E.L.F.; Funding acquisition, M.A.C. and C.E.L.F. All authors have read and agreed to the published version of the manuscript.

Funding

This research was funded by [UNIPASTO] grant number [10200.17/0006-5].

Data Availability Statement

The raw data supporting the conclusions of this article will be made available by the authors on request.

Acknowledgments

The Association for the Promotion of Forage Breeding Research (UNIPASTO) is acknowledged for providing some of the financial resources.

Conflicts of Interest

All Authors were employed by the company Brazilian Agricultural Research Corporation.

References

  1. Parente, L.; Mesquita, V.; Miziara, F.; Baumann, L.; Ferreira, L. Assessing the pasturelands and livestock dynamics in Brazil, from 1985 to 2017: A novel approach based on high spatial resolution imagery and Google Earth Engine cloud computing. Remote Sens. Environ. 2019, 232, 111301. [Google Scholar] [CrossRef]
  2. Martha, G.B., Jr.; Alves, E.; Contini, E. Land-saving approaches and beef production growth in Brazil. Agric. Syst. 2012, 110, 173–177. [Google Scholar] [CrossRef]
  3. Jank, L.; Barrios, S.C.; Valle, C.B.; Simeão, R.M.; Alves, G.F. The value of improved pastures to Brazilian beef production. Crop Pasture Sci. 2014, 65, 1132–1137. [Google Scholar] [CrossRef]
  4. CIAT (Centro Internacional de Agricultura Tropical). Andropogon Gayanus Kunth: A Grass for Tropical Acid Soils; Toledo, J.M., Vera, R., Lascano, C., Lenné, J.M., Eds.; CIAT: Cali, Colombia, 1990; p. 382. [Google Scholar]
  5. McManus, C.; Louvandini, H.; Carneiro, H.C.; Lima, P.R.M.; Braccini Neto, J. Production indices for dual purpose cattle in central Brazil. Rev. Bras. Zootec. 2011, 40, 1576–1586. [Google Scholar] [CrossRef][Green Version]
  6. Ramírez-Restrepo, C.A.; Vera, R.R. Bodyweight performance, estimated carcass traits and methane emissions of beef cattle categories grazing Andropogon gayanus, Melinis minutiflora and Stylosanthes capitata mixed swards and Brachiaria humidicola pasture. Anim. Prod. Sci. 2019, 59, 729–740. [Google Scholar] [CrossRef]
  7. Csurhes, S.; Edwards, R. Potential Environmental Weeds in Australia: Candidate Species for Preventative Control; Biodiversity Group, Environment Australia: Canberra, Australia, 1998. [Google Scholar]
  8. Rossiter-Rachor, N.A.; Setterfield, S.A.; Douglas, M.M.; Hutley, L.B.; Cook, G.D.; Schimidt, S. Invasive Andropogon gayanus (gamba grass) is an ecosystem transformer of nitrogen relations in Australian savanna. Ecol. Appl. 2009, 19, 1546–1560. [Google Scholar] [CrossRef]
  9. Thomas, D.; Andrade, R.P.; Couto, W.; Rocha, C.M.C.; Moore, P. Andropogon gayanus var. Bisquamulatus cv. Planaltina: Principal forage characteristics. Pesqui. Agropecuária Bras. 1981, 16, 347–355. [Google Scholar]
  10. Ferguson, J.E.; Andrade, R.P. Andropogon gayanus in Latin America. In Forage Seed Production. Volume 2: Tropical and Subtropical Species; Loch, D.S., Ferguson, J.E., Eds.; CABI Publishing: Wallingford, UK, 1999; pp. 381–386. [Google Scholar]
  11. Sousa, B.M.L.; Nascimento Júnior, D.; da Silva, S.C.; Monteiro, H.C.F.; Rodrigues, C.S.; Fonseca, D.M.; Silveira, M.C.T.; Sbrissia, A.F. Morphogenetic and structural characteristics of andropogon grass submitted to different cutting heights. Rev. Bras. Zootec. 2010, 39, 2141–2147. [Google Scholar] [CrossRef]
  12. Lascano, C.; Thomas, D. Quality of Andropogon gayanus and animal productivity. In Andropogon Gayanus Kunth: A Grass for Tropical Acid Soils; Toledo, J.M., Vera, R., Lascano, C., Lenné, J.M., Eds.; CIAT: Cali, Colombia, 1990; pp. 247–276. [Google Scholar]
  13. Carvalho, M.A.; Fonseca, C.E.L.; Ramos, A.K.B.; Braga, G.J.; Fernandes, F.D.; Pessoa Filho, M.A.C.P. BRS Sarandi: A new Andropogon gayanus cultivar for tropical pastures. Crop Breed. Appl. Biotechnol. 2021, 21, e37822135. [Google Scholar] [CrossRef]
  14. Alvares, C.A.; Stape, J.L.; Sentelhas, P.C.; Gonçalves, J.L.M.; Sparovek, G. Köppen’s climate classification map for Brazil. Meteorol. Z. 2013, 22, 711–728. [Google Scholar] [CrossRef]
  15. Sollenberger, L.E.; Moore, J.E.; Allen, V.G.; Pedreira, C.G.S. Reporting forage allowance in grazing experiments. Crop Sci. 2005, 45, 896–900. [Google Scholar] [CrossRef]
  16. Sollenberger, L.E.; Cherney, D.J.R. Evaluating forage production and quality. In Forages: The Science of Grassland Agriculture; Barnes, R.F., Miller, D.A., Nelson, C.J., Eds.; Iowa State University Press: Ames, IA, USA, 1995; pp. 97–110. [Google Scholar]
  17. AOAC (Association of Official Analytical Chemists). Official Methods of Analysis, 15th ed.; AOAC: Washington, DC, USA, 1990. [Google Scholar]
  18. Van Soest, P.J.; Robertson, J.B.; Lewis, B.A. Methods for dietary fiber, neutral detergent fiber, and nonstarch polysaccharides in relation to animal nutrition. J. Dairy Sci. 1991, 74, 3583–3597. [Google Scholar] [CrossRef] [PubMed]
  19. Tilley, J.M.A.; Terry, R.A. A two-stage technique for the in vitro digestion of forage crops. Grass Forage Sci. 1963, 18, 104–111. [Google Scholar] [CrossRef]
  20. Moore, J.E.; Mott, G.O. Recovery of residual organic matter from in vitro digestion of forages. J. Dairy Sci. 1974, 57, 1258–1259. [Google Scholar] [CrossRef]
  21. Fonseca, C.E.L.; Pessoa Filho, M.; Braga, G.J.; Ramos, A.K.B.; Carvalho, M.A.; Fernandes, F.D.; Karia, C.T.; Maciel, G.A.; Athayde, N.B.; Dessaune, S.N.; et al. Near-infrared reflectance spectroscopy as a tool for breeding Andropogon gayanus Kunth for forage quality. J. Agric. Vet. Sci. 2020, 13, 57–66. [Google Scholar] [CrossRef]
  22. SAS Institute Inc. SAS® Studio: Task Reference Guide; SAS Institute Inc.: Cary, NC, USA, 2020. [Google Scholar]
  23. Delevatti, L.M.; Cardoso, A.S.; Barbero, R.P.; Leite, R.G.; Romanzini, E.P.; Ruggieri, A.C.; Reis, R.A. Effect of nitrogen application rate on yield, forage quality, and animal performance in a tropical pasture. Sci. Rep. 2019, 9, 7596. [Google Scholar] [CrossRef]
  24. Maciel, G.A.; Braga, G.J.; Guimarães, R., Jr.; Ramos, A.K.B.; Carvalho, M.A.; Fernandes, F.D.; Fonseca, C.E.L.; Jank, L. Seasonal liveweight gain of beef cattle on guineagrass pastures in the Brazilian Cerrados. Agron. J. 2018, 110, 480–487. [Google Scholar] [CrossRef]
  25. Herling, V.R.; Pedreira, C.G.S.; Luz, P.H.C.; Braga, G.J.; Marchesin, W.A.; Macedo, F.B.; Lima, C.G. Performance and productivity of Nellore steers on rotationally stocked palisadegrass (Brachiaria brizantha) pastures in response to herbage allowance. J. Agric. Sci. 2011, 149, 761–768. [Google Scholar] [CrossRef]
  26. Feitosa, O.S.; Leite, R.C.; Alexandrino, E.; Pires, T.J.S.; Oliveira, L.B.T.; Paula Neto, J.J.; Santos, A.C. Forage performance and cattle production as a function of the seasonality of a Brazilian tropical region. Acta Scientiarum. Anim. Sci. 2022, 43, e53779. [Google Scholar] [CrossRef]
  27. Euclides, V.P.B.; Cardoso, E.G.C.; Macedo, M.C.M.; Oliveira, M.P. Voluntary intake of Brachiaria decumbens cv. Basilisk and Brachiaria brizantha cv. Marandu under grazing. Rev. Bras. Zootec. 2000, 29, 2200–2208. [Google Scholar]
  28. Paula, C.C.L.; Euclides, V.P.B.; Montagner, D.B.; Lempp, B.; Difante, G.S.; Carloto, M.N. Sward structure, herbage intake and animal performance on marandu palisadegrass pastures subjected to continuous stocking. Arq. Bras. Med. Veterinária E Zootec. 2012, 64, 169–176. [Google Scholar] [CrossRef]
  29. Böhnert, E.; Lascano, C.; Weniger, J.H. Botanical and chemical composition of the diet selected by fistulated steers under grazing on improved grass-legume pastures in the tropical savannas of Colombia, I: Botanical composition of forage available and selected. J. Anim. Breed. Genet. 1985, 102, 385–394. [Google Scholar] [CrossRef]
  30. Mganga, K.Z.; Ndathi, A.J.N.; Wambua, S.M.; Bosma, L.; Kaindi, E.M.; Kioko, T.; Kadenyi, N.; Musyoki, G.K.; van Steenbergen, F.; Musimba, N.K.R. Forage value of vegetative leaf and stem biomass fractions of selected grasses indigenous to African rangelands. Anim. Prod. Sci. 2021, 61, 1476–1483. [Google Scholar] [CrossRef]
  31. Benvenutti, M.A.; Gordon, I.J.; Poppi, D.P.; Crowther, R.; Spinks, W. Foraging mechanics and their outcomes for cattle grazing reproductive tropical swards. Appl. Anim. Behav. Sci. 2008, 113, 15–31. [Google Scholar] [CrossRef]
  32. Garay, A.H.; Sollenberger, L.E.; McDonald, D.C.; Ruegsegger, G.J.; Kalmbacher, R.S.; Mislevy, P. Nitrogen fertilization and stocking rate affect stargrass pasture and cattle performance. Crop Sci. 2004, 44, 1348–1354. [Google Scholar] [CrossRef]
  33. Euclides, V.P.B.; Thiago, L.R.L.S.; Macedo, M.C.M.; Oliveira, M.P. Consumo voluntário de forragem de três cultivares de Panicum maximum sob pastejo. Rev. Bras. Zootec. 1999, 28, 1177–1185. [Google Scholar] [CrossRef]
  34. Euclides, V.P.B.; Costa, F.P.; Macedo, M.C.M.; Flores, R.; Oliveira, M.P. Eficiência biológica e econômica de pasto de capim-tanzânia adubado com nitrogênio no final do verão. Pesqui. Agropecuária Bras. 2007, 42, 1345–1355. [Google Scholar] [CrossRef]
  35. Sollenberger, L.E.; Vanzant, E.S. Interrelationships among forage nutritive value and quantity and individual animal performance. Crop Sci. 2011, 51, 420–432. [Google Scholar] [CrossRef]
  36. Machado, L.A.Z.; Fabrício, A.C.; Gomes, A.; Assis, P.G.G.; Lempp, B.; Maraschin, G.E. Desempenho de animais alimentados com lâminas foliares em pastagem de capim-marandu. Pesqui. Agropecuária Bras. 2008, 43, 1609–1616. [Google Scholar] [CrossRef][Green Version]
  37. Inyang, U.; Vendramini, J.M.B.; Sollenberger, L.E.; Sellers, B.; Adesogan, A.; Paiva, L.; Lunpha, A. Forage species and stocking rate effects on animal performance and herbage responses of ‘Mulato’ and Bahiagrass pastures. Crop Sci. 2010, 50, 1079–1085. [Google Scholar] [CrossRef]
  38. Rouquette, F.M., Jr. Invited Review: The roles of forage management, forage quality, and forage allowance in grazing research. Prof. Anim. Sci. 2016, 32, 10–18. [Google Scholar] [CrossRef]
  39. Euclides, V.P.B.; Valle, C.B.; Macedo, M.C.M.; Almeida, R.G.; Montagner, D.B.; Barbosa, R.A. Brazilian scientific progress in pasture research during the first decade of XXI century. Rev. Bras. Zootec. 2010, 39, 151–168. [Google Scholar] [CrossRef]
  40. Grof, B.; Thomas, D. The agronomy of Andropogon gayanus. In Andropogon Gayanus Kunth: A Grass for Tropical Acid Soils; Toledo, J.M., Vera, R., Lascano, C., Lenné, J.M., Eds.; CIAT: Cali, Colombia, 1990; pp. 157–178. [Google Scholar]
  41. Sollenberger, L.E.; Burns, J.C. Canopy characteristics, ingestive behaviour and herbage intake in cultivated tropical grasslands. Int. Grassl. Congr. 2001, 19, 321–327. [Google Scholar]
  42. Braga, G.J.; Maciel, G.A.; Guimarães, R., Jr.; Ramos, A.K.B.; Carvalho, M.A.; Fernandes, F.D.; Fonseca, C.E.L.; Jank, L. Performance of young Nellore bulls on guineagrass pastures under rotational stocking in the Brazilian Cerrado. Trop. Grassl.-Forrajes Trop. 2019, 7, 214–222. [Google Scholar] [CrossRef]
  43. Canto, M.W.; Bona Filho, A.; Moraes, A.; Hoeschl, A.R.; Gasparino, E. Animal production in Tanzania grass swards fertilized with nitrogen. Rev. Bras. Zootec. 2009, 38, 1176–1182. [Google Scholar] [CrossRef]
  44. Abitante, G.; Leme, P.R.; de Paula Carlis, M.S.; Ramírez-Zamudio, G.D.; Gomes, B.I.P.; de Andrade, L.B.; Goulart, R.S.; Pugliesi, G.; Saran Netto, A.; Dahlen, C.R.; et al. Effects of Early Weaning on Performance and Carcass Quality of Nellore Young Bulls. Animals 2024, 14, 779. [Google Scholar] [CrossRef]
Disclaimer/Publisher’s Note: The statements, opinions and data contained in all publications are solely those of the individual author(s) and contributor(s) and not of MDPI and/or the editor(s). MDPI and/or the editor(s) disclaim responsibility for any injury to people or property resulting from any ideas, methods, instructions or products referred to in the content.

Article Metrics

Citations

Article Access Statistics

Multiple requests from the same IP address are counted as one view.