Response of Liquid Water and Vapor Flow to Rainfall Events in Sandy Soil of Arid and Semi-Arid Regions
Abstract
:1. Introduction
2. Materials and Methods
2.1. Field Tests
2.1.1. Description of the Study Site
2.1.2. In Situ Experiments and Observation
2.2. Model Establishment
2.2.1. Mathematical Equations
2.2.2. Establishment of Hydrus-1D Model
3. Results
3.1. Model Evaluation and Selection of Analyzed Periods
3.1.1. Model Evaluation
3.1.2. Selection of Simulation Periods
3.2. Spatial and Temporal Distribution of Soil Matric Potential and Its Gradients
3.2.1. Soil Matric Potential
3.2.2. Soil Matric Potential Gradient
3.3. Spatial and Temporal Distribution of Soil Temperature and Its Gradients
3.3.1. Soil Temperature
3.3.2. Soil Temperature Gradient
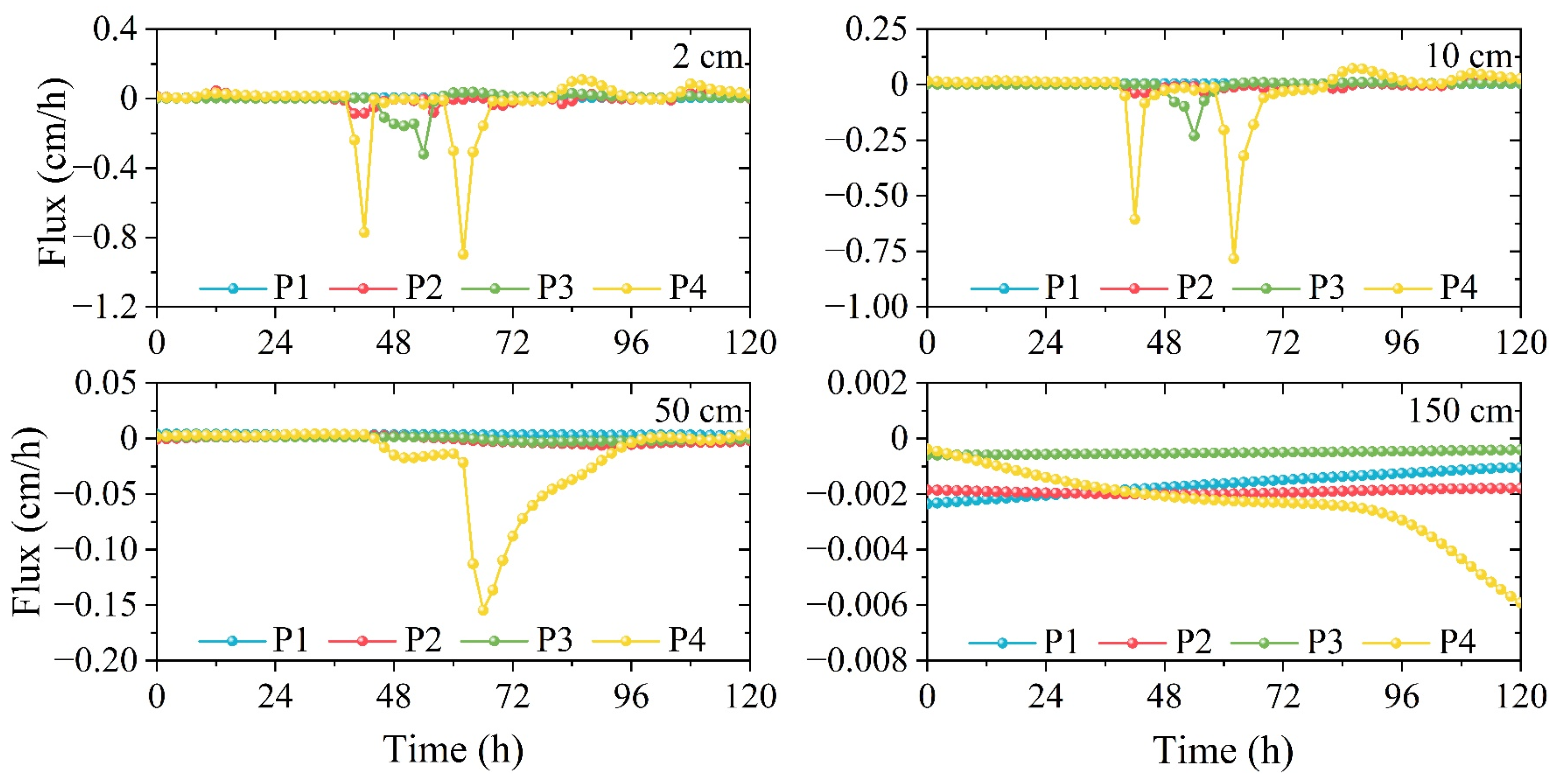
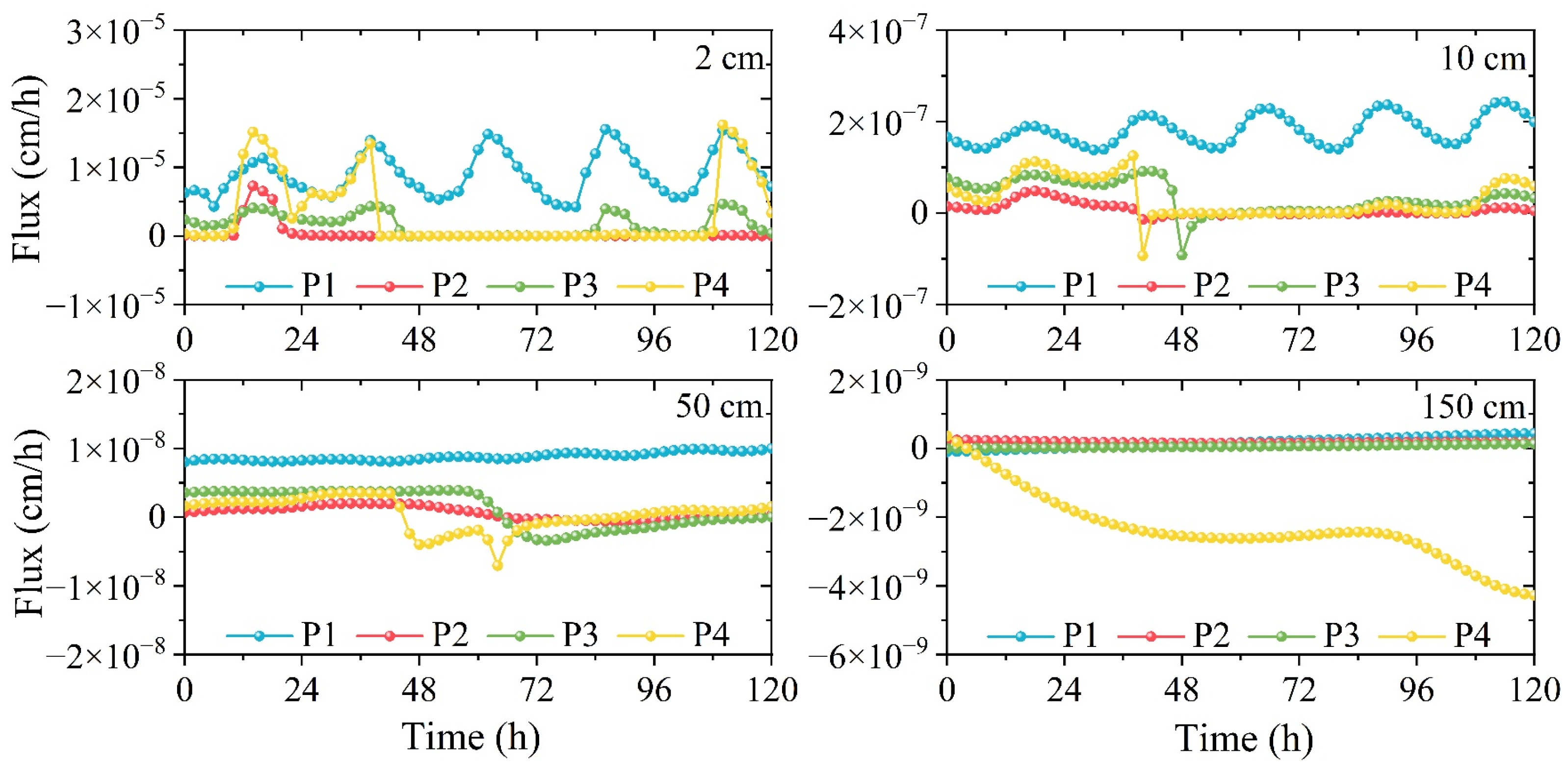
3.4. Characteristics of Soil Liquid and Vapor Flux
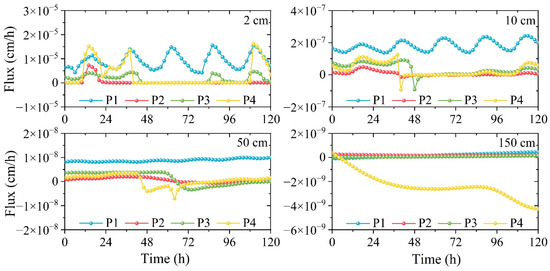
3.4.1. Isothermal Flux
3.4.2. Thermal Flux
3.5. Migration of Wetting Front under Different Rainfall Events
4. Discussion
4.1. Influence of Rainfall on Soil Liquid and Vapor Transfer
4.2. The Role of Vapor Flux in the Soil Hydrological Cycle
4.3. Study Limitations and Future Research Prospects
5. Conclusions
Author Contributions
Funding
Data Availability Statement
Acknowledgments
Conflicts of Interest
Abbreviations
| Symbol | Definition |
| θl | Volumetric liquid water content, m3 m−3 |
| θv | Volumetric water vapor content, m3 m−3 |
| θr | Residual water content, m3 m−3 |
| θs | Saturated water content, m3 m−3 |
| Klh | Isothermal hydraulic conductivity for liquid water, m s−1 |
| KlT | Thermal hydraulic conductivity for liquid water, m2 K−1 s−1 |
| Kvh | Isothermal hydraulic conductivity for water vapor, m s−1 |
| KvT | Thermal hydraulic conductivity for water vapor, m2 K−1 s−1 |
| Cp | Volumetric heat capacity of moist soil, J m−3 K−1 |
| Cv | Volumetric heat capacity of water vapor, J m−3 K−1 |
| Cw | Volumetric heat capacity of liquid water, J m−3 K−1 |
| ρv | Vapor density, kg m−3 |
| ρl | Liquid water density, kg m−3 |
| ρsv | Saturated vapor density, kg m−3 |
| Ks | Saturated hydraulic conductivity, m s−1 |
| qlh | Isothermal liquid water flux, m s−1 |
| qlT | Thermal liquid water flux, m s−1 |
| qvh | Isothermal water vapor flux, m s−1 |
| qvT | Thermal water vapor flux, m s−1 |
| D | Vapor diffusivity in air, m2 s−1 |
| g | Gravitational acceleration, m s−2 |
| h | Pressure head, m |
| L0 | Volumetric latent heat of vaporization of liquid water, J m−3 |
| M | Molecular weight of water, kg mol−1 |
| R | Universal gas constant, J mol−1 K−1 |
| T | Temperature, K |
| t | Time, s |
| z | Vertical depth from the surface, m |
| γ | Surface tension of soil water, J m−2 |
| λ | Soil thermal conductivity, W m−1 K−1 |
References
- Huang, J.; Zhang, W.; Zuo, J.; Bi, J.; Shi, J.; Wang, X.; Chang, Z.; Huang, Z.; Yang, Z.; Zhang, B.; et al. An overview of the semi-arid climate and environment research observatory over the loess plateau. Adv. Atmos. Sci. 2008, 25, 906–921. [Google Scholar] [CrossRef]
- Feng, S.; Fu, Q. Expansion of global drylands under a warming climate. Atmos. Chem. Phys. 2013, 13, 10081–10094. [Google Scholar] [CrossRef]
- Ravi, S.; Breshears, D.D.; Huxman, T.E.; D’Odorico, P. Land degradation in drylands: Interactions among hydrologic–aeolian erosion and vegetation dynamics. Geomorphology 2010, 116, 236–245. [Google Scholar] [CrossRef]
- You, Y.; Zhou, N.; Wang, Y. Comparative study of desertification control policies and regulations in representative countries of the Belt and Road Initiative. Glob. Ecol. Conserv. 2021, 27, e01577. [Google Scholar] [CrossRef]
- Sun, Y.; Zhang, N.; Yan, J.; Zhang, S. Effects of soft rock and biochar applications on Millet (Setaria italica L.) crop performance in sandy soil. Agronomy 2020, 10, 669. [Google Scholar] [CrossRef]
- Xu, Q.; Li, H.; Chen, J.; Cheng, X.; Liu, S.; An, S. Water use patterns of three species in subalpine forest, Southwest China: The deuterium isotope approach. Ecohydrology 2011, 4, 236–244. [Google Scholar] [CrossRef]
- Schwinning, S.; Sala, O.E. Hierarchy of Responses to Resource Pulses in Arid and Semi-Arid Ecosystems. Oecologia 2004, 141, 211–220. [Google Scholar] [CrossRef]
- Zeng, Y.; Su, Z.; Wan, L.; Yang, Z.; Zhang, T.; Tian, H.; Shi, X.; Wang, X.H.; Cao, W. Diurnal pattern of the drying front in desert and its application for determining the effective infiltration. Hydrol. Earth Syst. Sci. 2009, 13, 703–714. [Google Scholar] [CrossRef]
- Yang, L.; Chen, L.; Wei, Z.; Yu, Y.; Zhang, H. Comparison of deep soil moisture in two revegetation watersheds in semi-arid regions. J. Hydrol. 2014, 513, 314–321. [Google Scholar] [CrossRef]
- Dymond, S.F.; Bradford, J.B.; Bolstad, P.V.; Kolka, R.K.; Sebestyen, S.D.; DeSutter, T.M. Topographic, edaphic, and vegetative controls on plant-available water. Ecohydrology 2017, 10, e1879. [Google Scholar] [CrossRef]
- Zhao, M.; Wang, W.; Wang, Z.; Chen, L.; Ma, Z.; Wang, Q. Water use of Salix in the variably unsaturated zone of a semiarid desert region based on in-situ observation. J. Hydrol. 2020, 591, 125579. [Google Scholar] [CrossRef]
- Hayat, M.; Zha, T.; Jia, X.; Iqbal, S.; Qian, D.; Bourque, C.P.; Khan, A.; Tian, Y.; Bai, Y.; Liu, P.; et al. A multiple-temporal scale analysis of biophysical control of sap flow in Salix psammophila growing in a semiarid shrubland ecosystem of northwest China. Agr. For. Meteorol. 2020, 288–289, 107985. [Google Scholar] [CrossRef]
- Naeem, S.; Zhang, Y.; Zhang, X.; Tian, J.; Abbas, S.; Luo, L.; Meresa, H.K. Both climate and socioeconomic drivers contribute in vegetation greening of the Loess Plateau. Sci. Bull. 2021, 66, 1160–1163. [Google Scholar] [CrossRef]
- Chen, Y.; He, J.; He, Y.; Gao, W.; Zheng, C.; Liu, X. Seasonal hydrological traits in Salix psammophila and its responses to soil moisture and meteorological factors in desert areas. Ecol. Indic. 2022, 136, 108626. [Google Scholar] [CrossRef]
- Banwart, S.A.; Bernasconi, S.; Bloem, J.; Blum, W.; Brandao, M.; Brantley, S.L.; Chabaux, F.; Duffy, C.; Kram, P.; Lria, G.; et al. Soil processes and functions in critical zone observatories: Hypotheses and experimental design. Vadose Zone J. 2011, 10, 974–987. [Google Scholar] [CrossRef]
- Nakhaei, M.; Šimůnek, J. Parameter estimation of soil hydraulic and thermal property functions for unsaturated porous media using the HYDRUS-2D code. J. Hydrol. Hydromech. 2014, 62, 7–15. [Google Scholar] [CrossRef]
- Rubio, E.; Rubio-Alfaro, M.d.S.; Hernández-Marín, M. Wetting front velocity determination in soil infiltration processes: An experimental sensitivity analysis. Agronomy 2022, 12, 1155. [Google Scholar] [CrossRef]
- Scanlon, B.R.; Keese, K.; Reedy, R.C.; Šimůnek, J.; Andraski, B.J. Variations in flow and transport in thick desert vadose zones in response to paleoclimatic forcing (0–90 kyr): Field measurements, modeling, and uncertainties. Water Resour. Res. 2003, 39, 1179–1196. [Google Scholar] [CrossRef]
- Cheng, Y.; Zhan, H.; Yang, W. Deep soil water recharge response to precipitation in Mu Us Sandy Land of China. Water Sci. Eng. 2018, 11, 139–146. [Google Scholar] [CrossRef]
- Kidron, G.J. Dune crests serve as preferential habitats for perennial plants during frequent drought years. J. Hydrol. 2015, 522, 295–304. [Google Scholar] [CrossRef]
- Wang, X. Vapor flow resistance of dry soil layer to soil water evaporation in arid environment: An overview. Water 2015, 7, 4552–4574. [Google Scholar] [CrossRef]
- Bao, H.; Koike, T.; Yang, K.; Wang, L.; Shrestha, M.; Lawford, P. Development of an enthalpy-based frozen soil model and its validation in a cold region in China. J. Geophys. Res. 2016, 121, 5259–5280. [Google Scholar] [CrossRef]
- Rao, P.; Wang, Y.; Liu, Y.; Wang, X.; Hou, Y.; Pan, S.; Wang, F.; Zhu, D. Acomparison of multiple methods for mapping groundwater levels in the Mu Us Sandy Land, China. J. Hydrol. Reg. Stud. 2022, 43, 101189. [Google Scholar] [CrossRef]
- Yu, L.; Zeng, Y.; Su, Z. Understanding the mass, momentum, and energy transfer in the frozen soil with three levels of model complexities. Hydrol. Earth Syst. Sc. 2020, 24, 4813–4830. [Google Scholar] [CrossRef]
- Zheng, C.; Šimůnek, J.; Zhao, Y.; Lu, Y.; Liu, X.; Shi, C.; Li, H.; Yu, L.; Zeng, Y.; Su, Z. Development of the Hydrus-1D Freezing module and its application in simulating the coupled movement of water, vapor, and heat. J. Hydrol. 2021, 598, 126250. [Google Scholar] [CrossRef]
- Philip, J.R.; de Vries, D.A. Moisture movement in porous materials under temperature gradient. Trans. Am. Geophys. Union 1957, 38, 222–232. [Google Scholar] [CrossRef]
- Cass, A.; Campbell, S.; Jones, T.L. Enhancement of thermal water vapor diffusion in soil. Soil Sci. Soc. Am. J. 1984, 48, 25–32. [Google Scholar] [CrossRef]
- Cahill, A.T.; Parlange, M.B. On water vapor transport in field soils. Water Resour. Res. 1998, 34, 731–739. [Google Scholar] [CrossRef]
- Novak, M.D. Dynamics of the near-surface evaporation zone and corresponding effects on the surface energy balance of a drying bare soil. Agr. For. Meteorol. 2010, 150, 1358–1365. [Google Scholar] [CrossRef]
- Banimahd, S.A.; Zand-Parsa, S. Simulation of evaporation, coupled liquid water, water vapor and heat transport through the soil medium. Agr. Water Manag. 2013, 130, 168–177. [Google Scholar] [CrossRef]
- Bittelli, M.; Ventura, F.; Campbell, G.S.; Snyder, R.L.; Gallegati, F.; Pisa, P.R. Coupling of heat, water vapor, and liquid water fluxes to compute evaporation in bare soils. J. Hydrol. 2008, 362, 191–205. [Google Scholar] [CrossRef]
- Zhou, H.; Zhao, W. Evolution of soil-water states in the vadose zone of a desert soil after an extreme rainfall event and its impact on the ecosystem. Hydrogeol. J. 2021, 29, 2127–2147. [Google Scholar] [CrossRef]
- Zhang, M.; Wen, Z.; Xue, K.; Chen, L.; Li, D. A coupled model for liquid water, water vapor and heat transport of saturated–unsaturated soil in cold regions: Model formulation and verification. Environ. Earth Sci. 2016, 75, 701–719. [Google Scholar] [CrossRef]
- Cheng, D.; Li, Y.; Chen, X.; Wang, W.; Hou, G.; Wang, C. Estimation of groundwater evapotranspiration using diurnal water table fluctuations in the Mu Us Desert, northern China. J. Hydrol. 2013, 490, 106–113. [Google Scholar] [CrossRef]
- Šimůnek, J.; Šejna, M.; Saito, H.; Sakai, M.; van Genuchten, M.T. The HYDRUS-1D Software Package for Simulating the One-Dimensional Movement of Water, Heat, and Multiple Solutes in Variably Saturated Media; Version 4.0; HYDRUS Software Series 3; Department of Environmental Sciences, University of California Riverside: Riverside, CA, USA, 2008. [Google Scholar]
- Cheng, Q.; Sun, Y.; Jones, S.B.; Vasilyev, V.I.; Popov, V.V.; Wang, G.; Zheng, L. In situ measured and simulated seasonal freeze-thaw cycle: A 2-year comparative study between layered and homogeneous field soil profiles. J. Hydrol. 2014, 519, 1466–1473. [Google Scholar] [CrossRef]
- Sun, Y.; Cheng, Q.; Xue, X.Z.; Fu, L.; Chai, J.; Meng, F.; Lammers, P.S.; Jones, S.B. Determining in-situ soil freeze-thaw cycle dynamics using an access tube-based dielectric sensor. Geoderma 2012, 189–190, 321–327. [Google Scholar] [CrossRef]
- Saito, H.; Šimůnek, J.; Mohanty, B. Numerical analyses of coupled water, vapor, and heat transport in the vadose zone. Vadose Zone J. 2006, 5, 784–800. [Google Scholar] [CrossRef]
- Sakai, M.; Toride, N.; Šimůnek, J. Water and vapor movement with condensation and evaporation in a sandy column. Soil Sci. Soc. Am. J. 2009, 73, 707. [Google Scholar] [CrossRef]
- Mualem, Y. A new model for predicting the hydraulic conductivity of unsaturated porous media. Water Resour. Res. 1976, 12, 513–522. [Google Scholar] [CrossRef]
- van Genuchten, M.T. A closed-form equation for predicting the hydraulic conductivity of unsaturated soils. Soil Sci. Soc. Am. J. 1980, 44, 892–898. [Google Scholar] [CrossRef]
- Šimůnek, J.; van Genuchten, M.T.; Šejna, M. HYDRUS: Model use, calibration, and validation. Trans. ASABE 2012, 55, 1261–1274. [Google Scholar] [CrossRef]
- Chung, S.O.; Horton, R. Soil heat and water flow with a partial surface mulch. Water Resour. Res. 1987, 23, 2175–2186. [Google Scholar] [CrossRef]
- Šimůnek, J.; van Genuchten, M.T.; Šejna, M. Development and applications of the HYDRUS and STANMOD software packages and related codes. Vadose Zone J. 2008, 7, 587–600. [Google Scholar] [CrossRef]
- Moghbel, F.; Mosaedi, A.; Aguilar, J.; Ghahraman, B.; Ansari, H.; Gonçalves, M.C. Uncertainty analysis of HYDRUS-1D model to simulate soil salinity dynamics under saline irrigation water conditions using Markov Chain Monte Carlo algorithm. Agronomy 2022, 12, 2793. [Google Scholar] [CrossRef]
- Dahiya, R.; Ingwersen, J.; Streck, T. The effect of mulching and tillage on the water and temperature regimes of a loess soil: Experimental findings and modeling. Soil Tillage Res. 2007, 96, 52–63. [Google Scholar] [CrossRef]
- Kroener, E.; Vallati, A.; Bittelli, M. Numerical simulation of coupled heat, liquid water and water vapor in soils for heat dissipation of underground electrical power cables. Appl. Therm. Eng. 2014, 70, 510–523. [Google Scholar] [CrossRef]
- Huang, J.; Hou, R.; Yang, H. Diurnal pattern of liquid water and water vapor movement affected by rainfall in a desert soil with a high water table. Environ. Earth Sci. 2015, 75, 73–88. [Google Scholar] [CrossRef]
- Gao, W.; Liu, X.; Zheng, C.; Lu, Y.; He, J.; He, Y. Comparison of the soil water, vapor, and heat dynamics between summer maize and bare fields in arid and semi-arid areas. Agronomy 2023, 13, 1171. [Google Scholar] [CrossRef]
- Zeng, Y.; Wan, L.; Su, Z.; Saito, H.; Huang, K.; Wang, X. Diurnal soil water dynamics in the shallow vadose zone (field site of China University of Geosciences, China). Environ. Geol. 2008, 58, 11–23. [Google Scholar] [CrossRef]
- Deb, S.K.; Shukla, M.K.; Sharma, P.; Mexal, J.G. Coupled liquid water, water vapor, and heat transport simulations in an unsaturated zone of a sandy loam field. Soil Sci. 2011, 176, 387–398. [Google Scholar] [CrossRef]
- Du, C.; Yu, J.; Wang, P.; Zhang, Y. Analysing the mechanisms of soil water and vapour transport in the desert vadose zone of the extremely arid region of northern China. J. Hydrol. 2017, 558, 592–606. [Google Scholar] [CrossRef]
- Xiang, L.; Yu, Z.; Chen, L.; Mon, J.; Lu, H. Evaluating coupled water, vapor, and heat flows and their influence on moisture dynamics in arid regions. J. Hydrol. Eng. 2012, 17, 565–577. [Google Scholar] [CrossRef]
- Hou, B.; Jin, H.; Flerchinger, G.; Lv, J.; He, H. Canopy effect: Water vapor transmission in froze soils with impermeable surface. Acta Geotech. 2023. [Google Scholar] [CrossRef]
- Gao, H.; Shao, M. Effects of temperature changes on soil hydraulic properties. Soil Till. Res. 2015, 153, 145–154. [Google Scholar] [CrossRef]
- Wang, S.; Fu, B.; Gao, G.; Yao, X.; Zhou, J. Responses of soil moisture in different land cover types to rainfall events in a re-vegetation catchment area of the Loess Plateau, China. Catena 2013, 101, 122–128. [Google Scholar] [CrossRef]
- Zhao, M.; Wang, W.; Ma, Z.; Wang, Q.; Wang, Z.; Chen, L.; Fu, B. Soil water dynamics based on a contrastive experiment between vegetated and non-vegetated sites in a semiarid region in Northwest China. J. Hydrol. 2021, 603, 126880. [Google Scholar] [CrossRef]
- Bi, Y.; Xie, L.; Wang, Z.; Wang, K.; Liu, W.; Xie, W. Arbuscular mycorrhizal symbiosis facilitates apricot seedling (Prunus sibirica L.) growth and photosynthesis in northwest China. Int. J. Coal Sci. Technol. 2021, 8, 473–482. [Google Scholar] [CrossRef]












| Soil Layer (cm) | Soil Particle Composition | Bulk Density (g cm−3) | ||
|---|---|---|---|---|
| Sand (%) | Silt (%) | Clay (%) | ||
| 0–80 | 95.8 | 3.2 | 1.0 | 1.57 |
| 80–160 | 90.1 | 5.4 | 4.5 | 1.51 |
| 160–230 | 91.7 | 5.2 | 3.1 | 1.52 |
| 230–560 | 94.0 | 4.7 | 1.3 | 1.57 |
| 560–630 | 95.4 | 3.5 | 1.1 | 1.57 |
| Soil Layer (cm) | θr/(cm3 cm−3) | θs/(cm3 cm−3) | α/(cm−1) | n/(-) | Ks/(cm h−1) | l/(-) |
|---|---|---|---|---|---|---|
| 0–80 | 0.008 | 0.375 | 0.027 | 1.57 | 57 | 0.5 |
| 80–160 | 0.015 | 0.427 | 0.028 | 1.51 | 34 | 0.5 |
| 160–230 | 0.011 | 0.415 | 0.029 | 1.64 | 50 | 0.5 |
| 230–560 | 0.010 | 0.402 | 0.021 | 1.87 | 51 | 0.5 |
| 560–630 | 0.011 | 0.380 | 0.023 | 1.76 | 53 | 0.5 |
| Single Rainfall Amount | Times | Total Rainfall Amount (mm) | Proportion in the Total Rainfall Amount |
|---|---|---|---|
| <10 mm | 32 | 125 | 19.5% |
| 10–25 mm | 11 | 161.8 | 25.3% |
| 25–50 mm | 8 | 296.2 | 46.3% |
| >50 mm | 1 | 57.2 | 8.9% |
| Period | Date (mm/dd) | Total Rainfall Amount (mm) | Rainfall Distribution for 5 Days (mm) | ||||
|---|---|---|---|---|---|---|---|
| Day 1 | Day 2 | Day 3 | Day 4 | Day 5 | |||
| P1: Dry period | 08/01–08/05 | 0 | 0 | 0 | 0 | 0 | 0 |
| P2: Light rainfall period | 09/16–09/20 | 12.8 | 0 | 6 | 5 | 1.6 | 0.2 |
| P3: Moderate rainfall period | 04/11–04/15 | 20.4 | 0 | 6.8 | 13.6 | 0 | 0 |
| P4: Heavy rainfall period | 07/14–07/18 | 69.8 | 0 | 30.2 | 39.6 | 0 | 0 |
| Depth (cm) | P2 | P3 | P4 | |||
|---|---|---|---|---|---|---|
| Maximum Rate (cm h−1) | Cumulative Amount (cm) | Maximum Rate (cm h−1) | Cumulative Amount (cm) | Maximum Rate (cm h−1) | Cumulative Amount (cm) | |
| 10 | −0.037 | 0.73 | −0.222 | 1.06 | −0.748 | 4.69 |
| 20 | −0.016 | 0.46 | −0.076 | 0.57 | −0.546 | 3.94 |
| 50 | −0.006 | 0.20 | −0.003 | 0.11 | −0.153 | 2.34 |
| 100 | / | / | / | / | −0.025 | 1.43 |
Disclaimer/Publisher’s Note: The statements, opinions and data contained in all publications are solely those of the individual author(s) and contributor(s) and not of MDPI and/or the editor(s). MDPI and/or the editor(s) disclaim responsibility for any injury to people or property resulting from any ideas, methods, instructions or products referred to in the content. |
© 2023 by the authors. Licensee MDPI, Basel, Switzerland. This article is an open access article distributed under the terms and conditions of the Creative Commons Attribution (CC BY) license (https://creativecommons.org/licenses/by/4.0/).
Share and Cite
Lu, T.; Zheng, C.; Zhou, B.; Wu, J.; Wang, X.; Zhao, Y.; Liu, X.; Yuan, W. Response of Liquid Water and Vapor Flow to Rainfall Events in Sandy Soil of Arid and Semi-Arid Regions. Agronomy 2023, 13, 2424. https://doi.org/10.3390/agronomy13092424
Lu T, Zheng C, Zhou B, Wu J, Wang X, Zhao Y, Liu X, Yuan W. Response of Liquid Water and Vapor Flow to Rainfall Events in Sandy Soil of Arid and Semi-Arid Regions. Agronomy. 2023; 13(9):2424. https://doi.org/10.3390/agronomy13092424
Chicago/Turabian StyleLu, Ting, Ce Zheng, Bao Zhou, Jing Wu, Xueke Wang, Yuan Zhao, Xiuhua Liu, and Wenqian Yuan. 2023. "Response of Liquid Water and Vapor Flow to Rainfall Events in Sandy Soil of Arid and Semi-Arid Regions" Agronomy 13, no. 9: 2424. https://doi.org/10.3390/agronomy13092424
APA StyleLu, T., Zheng, C., Zhou, B., Wu, J., Wang, X., Zhao, Y., Liu, X., & Yuan, W. (2023). Response of Liquid Water and Vapor Flow to Rainfall Events in Sandy Soil of Arid and Semi-Arid Regions. Agronomy, 13(9), 2424. https://doi.org/10.3390/agronomy13092424

