Postharvest Application of Sodium Selenite Maintains Fruit Quality and Improves the Gray Mold Resistance of Strawberry
Abstract
1. Introduction
2. Materials and Methods
2.1. Experimental Design
2.2. Determination of Se Content
2.3. Skin Color, Weight Loss, Titratable Acidity, and Total Soluble Sugars
2.4. The Incidence and Severity of Decay
2.5. Total Flavonoid, Phenolic, Anthocyanin, Proanthocyanidin, and Ascorbic Acid Content
2.6. Total Antioxidant Activity
2.7. Malondialdehyde, Hydrogen Peroxide, and Superoxide Anions
2.8. Data Analysis
3. Results
3.1. Skin Color, Water Loss, Decay Incidence, and Severity
3.2. Se Content
3.3. Soluble Sugars, Titratable Acid, and Ascorbic Acid
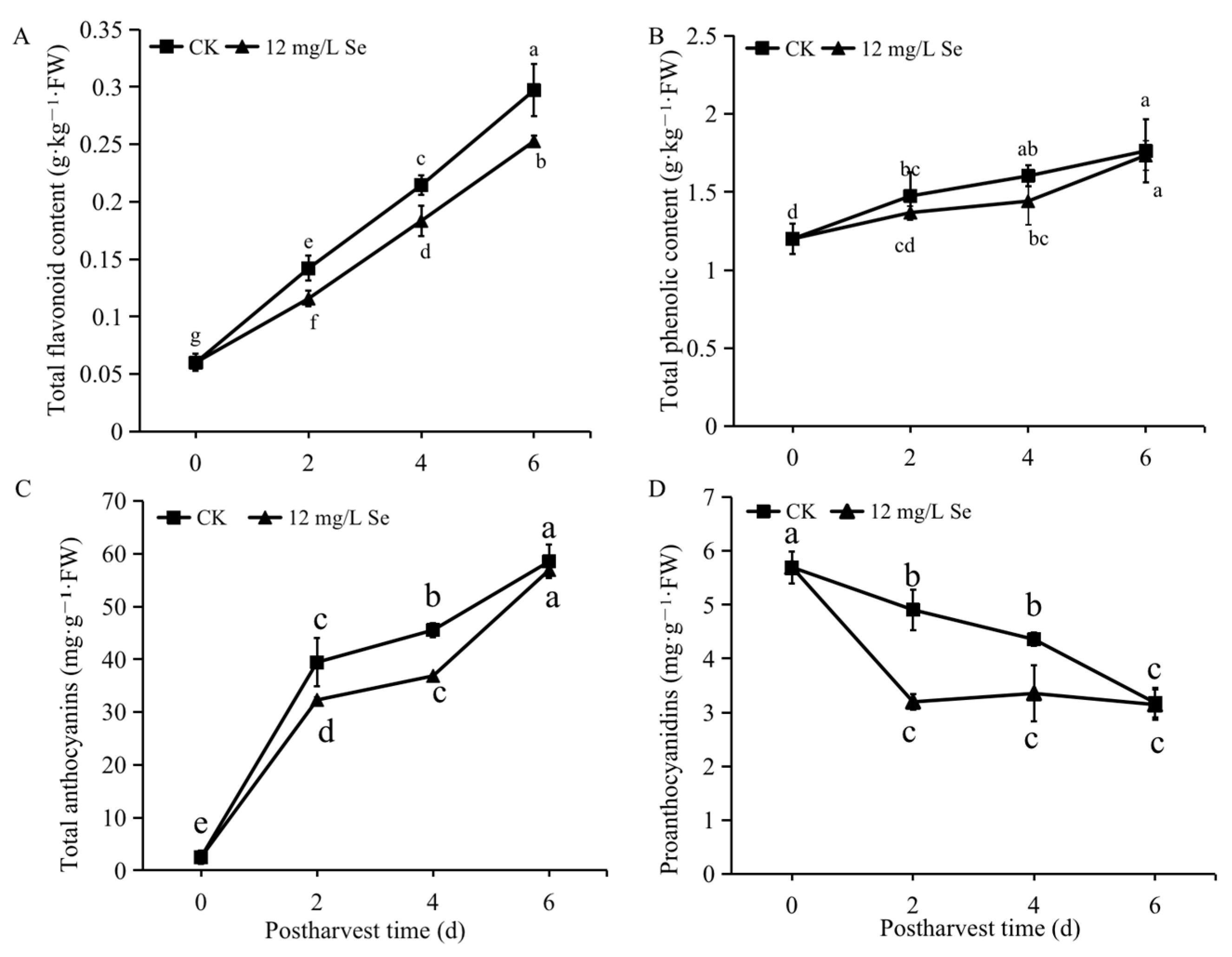
3.4. Total Phenolic, Flavonoid, Anthocyanin, and PA Content
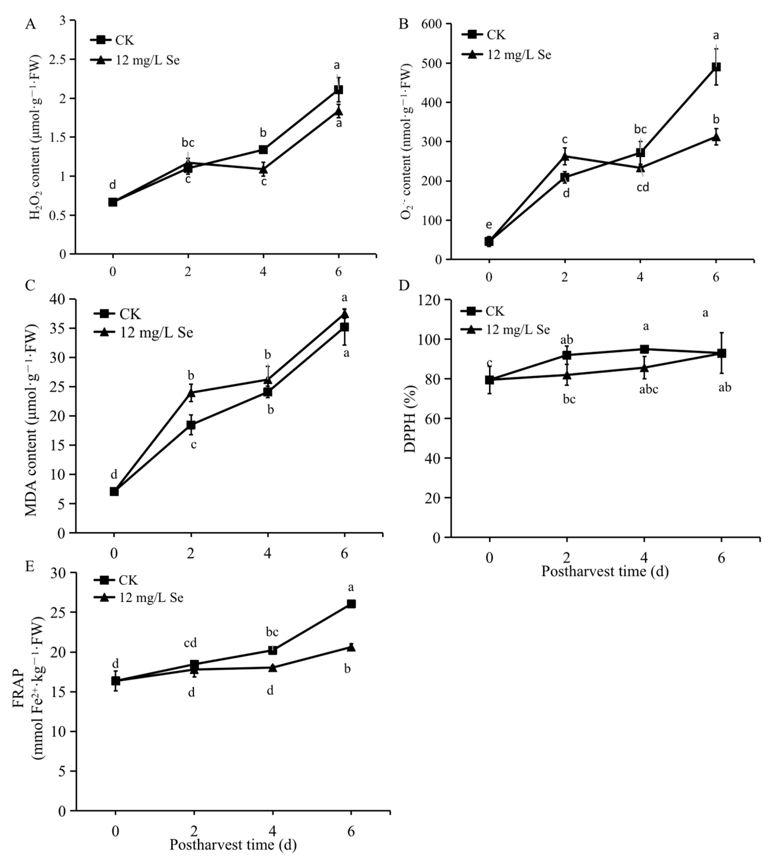
3.5. MDA, H2O2, and O2− Production and Antioxidant Capacity
3.6. Se Treatment Increased the Resistance of Strawberry to B. cinerea
3.7. Correlation and PCA Analysis
4. Discussion
4.1. Se Application Maintained the Postharvest Quality of Strawberry Fruit
4.2. The Application of Se Increased the Se Content in Strawberry Fruit
4.3. Se Treatment Reduced the Oxidative Damage
4.4. Exogenous-Se Application Enhanced the Tolerance of Strawberry to B. cinerea Infection
5. Conclusions
Author Contributions
Funding
Data Availability Statement
Conflicts of Interest
References
- Petrasch, S.; Knapp, S.J.; van Kan, J.A.L.; Blanco-Ulate, B. Grey mould of strawberry, a devastating disease caused by the ubiquitous necrotrophic fungal pathogen Botrytis cinerea. Mol. Plant Pathol. 2019, 20, 877–892. [Google Scholar] [CrossRef]
- Huma Qureshi, Q.; Waseem, A.; Rafia, A.; Nabila, C.-B.; Abdul, Q.; Asad, A. Post-Harvest Problems of Strawberry and Their Solutions. In Recent Studies on Strawberries; Nesibe Ebru, K., Ed.; IntechOpen: Rijeka, Croatia, 2023. [Google Scholar]
- Mansouri, S.; Sarikhani, H.; Sayyari, M.; Aghdam, M.S. Melatonin accelerates strawberry fruit ripening by triggering GAMYB gene expression and promoting ABA accumulation. Sci. Hortic. 2021, 281, 109919. [Google Scholar] [CrossRef]
- Pang, L.; Wu, Y.; Pan, Y.; Ban, Z.; Li, L.; Li, X. Insights into exogenous melatonin associated with phenylalanine metabolism in postharvest strawberry. Postharvest Biol. Technol. 2020, 168, 111244. [Google Scholar] [CrossRef]
- Jannatizadeh, A.; Aghdam, M.S.; Farmani, B.; Maggi, F.; Morshedloo, M.R. β-Aminobutyric acid treatment confers decay tolerance in strawberry fruit by warranting sufficient cellular energy providing. Sci. Hortic. 2018, 240, 249–257. [Google Scholar] [CrossRef]
- Aghdam, M.S.; Alikhani-Koupaei, M. Exogenous phytosulfokine α (PSKα) applying delays senescence and relief decay in strawberry fruits during cold storage by sufficient intracellular ATP and NADPH availability. Food Chem. 2021, 336, 127685. [Google Scholar] [CrossRef] [PubMed]
- Bai, Q.; Shen, Y.; Huang, Y. Advances in Mineral Nutrition Transport and Signal Transduction in Rosaceae Fruit Quality and Postharvest Storage. Front. Plant Sci. 2021, 12, 620018. [Google Scholar] [CrossRef]
- Hasanuzzam, M.; Hossain, M.A.; Fujita, M. Selenium in Higher Plants: Physiological Role, Antioxidant Metabolism and Abiotic Stress Tolerance. J. Plant Sci. 2010, 5, 354–375. [Google Scholar] [CrossRef]
- Roman, M.; Jitaru, P.; Barbante, C. Selenium biochemistry and its role for human health. Metallomics 2014, 6, 25–54. [Google Scholar] [CrossRef]
- Kipp, A.P.; Strohm, D.; Brigelius-Flohé, R.; Schomburg, L.; Bechthold, A.; Leschik-Bonnet, E.; Heseker, H. Revised reference values for selenium intake. J. Trace Elem. Med. Biol. 2015, 32, 195–199. [Google Scholar] [CrossRef] [PubMed]
- Strand, T.A.; Lillegaard, I.T.L.; Frøyland, L.; Haugen, M.; Henjum, S.; Løvik, M.; Stea, T.H.; Holvik, K. Assessment of Selenium Intake in Relation to Tolerable Upper Intake Levels. Eur. J. Nutr. Food Saf. 2018, 8, 155–156. [Google Scholar] [CrossRef]
- Kieliszek, M.; Błażejak, S. Selenium: Significance, and outlook for supplementation. Nutrition 2013, 29, 713–718. [Google Scholar] [CrossRef] [PubMed]
- García Márquez, V.; Morelos Moreno, Á.; Benavides Mendoza, A.; Medrano Macías, J. Ionic Selenium and Nanoselenium as Biofortifiers and Stimulators of Plant Metabolism. Agronomy 2020, 10, 1399. [Google Scholar] [CrossRef]
- Choudhary, P.; Jain, V. Effect of post-harvest treatments of selenium on physico-chemical quality in guava (Psidium guajava L.) fruit. Hortic. Int. J. 2018, 2, 41–44. [Google Scholar] [CrossRef]
- Malorgio, F.; Diaz, K.E.; Ferrante, A.; Mensuali-Sodi, A.; Pezzarossa, B. Effects of selenium addition on minimally processed leafy vegetables grown in floating system. J. Sci. Food Agric. 2009, 89, 2243–2251. [Google Scholar] [CrossRef]
- Zhu, Z.; Chen, Y.; Zhang, X.; Li, M. Effect of foliar treatment of sodium selenate on postharvest decay and quality of tomato fruits. Sci. Hortic. 2016, 198, 304–310. [Google Scholar] [CrossRef]
- Wu, Z.; Yin, X.; Bañuelos, G.S.; Lin, Z.-Q.; Zhu, Z.; Liu, Y.; Yuan, L.; Li, M. Effect of Selenium on Control of Postharvest Gray Mold of Tomato Fruit and the Possible Mechanisms Involved. Front. Microbiol. 2016, 6, 1441. [Google Scholar] [CrossRef]
- Jiang, L.; Chen, X.; Gu, X.; Deng, M.; Li, X.; Zhou, A.; Suo, M.; Gao, W.; Lin, Y.; Wang, Y.; et al. Light Quality and Sucrose-Regulated Detached Ripening of Strawberry with Possible Involvement of Abscisic Acid and Auxin Signaling. Int. J. Mol. Sci. 2023, 24, 5681. [Google Scholar] [CrossRef] [PubMed]
- Aghdam, M.S.; Fard, J.R. Melatonin treatment attenuates postharvest decay and maintains nutritional quality of strawberry fruits (Fragaria×anannasa cv. Selva) by enhancing GABA shunt activity. Food Chem. 2017, 221, 1650–1657. [Google Scholar] [CrossRef] [PubMed]
- Zhang, Y.; Li, S.; Deng, M.; Gui, R.; Liu, Y.; Chen, X.; Lin, Y.; Li, M.; Wang, Y.; He, W.; et al. Blue light combined with salicylic acid treatment maintained the postharvest quality of strawberry fruit during refrigerated storage. Food Chem. X 2022, 15, 100384. [Google Scholar] [CrossRef]
- Zhang, Y.; Hu, W.; Peng, X.; Sun, B.; Wang, X.; Tang, H. Characterization of anthocyanin and proanthocyanidin biosynthesis in two strawberry genotypes during fruit development in response to different light qualities. J. Photochem. Photobiol. B 2018, 186, 225–231. [Google Scholar] [CrossRef]
- Ly, B.C.K.; Dyer, E.B.; Feig, J.L.; Chien, A.L.; Del Bino, S. Research Techniques Made Simple: Cutaneous Colorimetry: A Reliable Technique for Objective Skin Color Measurement. J. Investig. Dermatol. 2020, 140, 3–12. [Google Scholar] [CrossRef] [PubMed]
- Hernández-Muñoz, P.; Almenar, E.; Del Valle, V.; Velez, D.; Gavara, R. Effect of chitosan coating combined with postharvest calcium treatment on strawberry (Fragaria×ananassa) quality during refrigerated storage. Food Chem. 2008, 110, 428–435. [Google Scholar] [CrossRef] [PubMed]
- Muhammad, A.; Shaghef, E.; Rana Naveed Ur, R.; Mumtaz, K.; Rashad, Q. Postharvest Quality Management of Strawberries. In Strawberry-Pre and Post-Harvest Management Techniques for Higher Fruit Quality; Toshiki, A., Md, A., Eds.; IntechOpen: Rijeka, Croatia, 2019; p. 22. [Google Scholar]
- Liu, Q.L.; Hao, Y.Y.; Hao, G.W.; Wu, G.L.; Niu, T.Q. Effects of Spraying Selemium on the Mineral Elements Content and the Storage Properties of the Pear Fruits. Plant Physiol. J. 2015, 51, 655–660. [Google Scholar]
- Wen, M.; Wang, P.; Gao, W.; Wu, S.; Huang, B. Effects of Foliar Spraying with Different Concentrations of Selenium Fertilizer on the Development, Nutrient Absorption, and Quality of Citrus Fruits. Hortscience 2021, 56, 1363–1367. [Google Scholar] [CrossRef]
- Pezzarossa, B.; Rosellini, I.; Borghesi, E.; Tonutti, P.; Malorgio, F. Effects of Se-enrichment on yield, fruit composition and ripening of tomato (Solanum lycopersicum) plants grown in hydroponics. Sci. Hortic. 2014, 165, 106–110. [Google Scholar] [CrossRef]
- Zhao, Y.; Wu, P.; Wang, Y.; Feng, H. Different approaches for selenium biofortification of pear-jujube (Zizyphus jujuba M. cv. Lizao) and associated effects on fruit quality. J. Food Agric. Environ. 2013, 11, 529–534. [Google Scholar]
- Zhu, S.; Liang, Y.; Gao, D.; An, X.; Kong, F. Spraying foliar selenium fertilizer on quality of table grape (Vitis vinifera L.) from different source varieties. Sci. Hortic. 2017, 218, 87–94. [Google Scholar] [CrossRef]
- Labunskyy, V.M.; Hatfield, D.L.; Gladyshev, V.N. Selenoproteins: Molecular Pathways and Physiological Roles. Physiol. Rev. 2014, 94, 739–777. [Google Scholar] [CrossRef]
- Lu, N.; Wu, L.; Zhang, X.; Zhang, Y.; Shan, C. Selenium improves the content of vitamin C in the fruit of strawberry by regulating the enzymes responsible for vitamin C metabolism. Plant, Soil Environ. 2022, 68, 205–211. [Google Scholar] [CrossRef]
- Marschner, H. Marschner’s Mineral Nutrition of Higher Plants, 3rd ed.; Academic Press: New York, NY, USA, 2011; pp. 645–651. [Google Scholar]
- Fordyce, F. Selenium Geochemistry and Health. Ambio 2007, 36, 94–97. [Google Scholar] [CrossRef]
- Mimmo, T.; Tiziani, R.; Valentinuzzi, F.; Lucini, L.; Nicoletto, C.; Sambo, P.; Scampicchio, M.; Pii, Y.; Cesco, S. Selenium Biofortification in Fragaria × ananassa: Implications on Strawberry Fruits Quality, Content of Bioactive Health Beneficial Compounds and Metabolomic Profile. Front. Plant Sci. 2017, 8, 1887. [Google Scholar] [CrossRef] [PubMed]
- Skrypnik, L.; Novikova, A.; Tokupova, E. Improvement of Phenolic Compounds, Essential Oil Content and Antioxidant Properties of Sweet Basil (Ocimum basilicum L.) Depending on Type and Concentration of Selenium Application. Plants 2019, 8, 458. [Google Scholar] [CrossRef] [PubMed]
- Mechora, Š.; Stibilj, V.; Radešček, T.; Gaberščik, A.; Germ, M. Impact of Se (VI) fertilization on Se concentration in different parts of red cabbage plants. J. Food Agric. Environ. 2011, 9, 357–361. [Google Scholar]
- Zahedi, S.M.; Hosseini, M.S.; Meybodi, N.D.H.; da Silva, J.A.T. Foliar application of selenium and nano-selenium affects pomegranate (Punica granatum cv. Malase Saveh) fruit yield and quality. S. Afr. J. Bot. 2019, 124, 350–358. [Google Scholar] [CrossRef]
- Skrypnik, L.; Styran, T.; Savina, T.; Golubkina, N. Effect of Selenium Application and Growth Stage at Harvest on Hydrophilic and Lipophilic Antioxidants in Lamb’s Lettuce (Valerianella locusta L. Laterr). Plants 2021, 10, 2733. [Google Scholar] [CrossRef]
- Jiang, C.; Zu, C.; Shen, J.; Shao, F.; Li, T. Effects of selenium on the growth and photosynthetic characteristics of flue-cured tobacco (Nicotiana tabacum L.). Acta Soc. Bot. Pol. 2015, 84, 71–77. [Google Scholar] [CrossRef]
- Cartes, P.; Gianfreda, L.; Mora, M. Uptake of Selenium and its Antioxidant Activity in Ryegrass When Applied as Selenate and Selenite Forms. Plant Soil 2005, 276, 359–367. [Google Scholar] [CrossRef]
- Khalofah, A.; Migdadi, H.; El-Harty, E. Antioxidant Enzymatic Activities and Growth Response of Quinoa (Chenopodium quinoa Willd) to Exogenous Selenium Application. Plants 2021, 10, 719. [Google Scholar] [CrossRef]
- Groth, S.; Budke, C.; Neugart, S.; Ackermann, S.; Kappenstein, F.-S.; Daum, D.; Rohn, S. Influence of a Selenium Biofortification on Antioxidant Properties and Phenolic Compounds of Apples (Malus domestica). Antioxidants 2020, 9, 187. [Google Scholar] [CrossRef]
- Zang, H.; Ma, J.; Wu, Z.; Yuan, L.; Lin, Z.-Q.; Zhu, R.; Bañuelos, G.S.; Reiter, R.J.; Li, M.; Yin, X. Synergistic Effect of Melatonin and Selenium Improves Resistance to Postharvest Gray Mold Disease of Tomato Fruit. Front. Plant Sci. 2022, 13, 903936. [Google Scholar] [CrossRef]
- Li, C.; Hu, C.; Xie, J.; Shi, G.; Wang, X.; Yuan, X.; Li, K.; Chen, S.; Zhao, X.; Fan, G. Selenium Combined with Methyl Jasmonate to Control Tomato Gray Mold by Optimizing Microbial Community Structure in Plants. J. Fungi 2022, 8, 731. [Google Scholar] [CrossRef]
- Yuan, X.; Li, C.; Xie, J.; Li, K.; Chen, S.; Yuan, L.; Hu, C.; Wang, X.; Zhao, X. Combination of Selenium and Methyl Jasmonate Controls Postharvest Tomato Gray Mold by Damaging the Membrane System. Horticulturae 2022, 8, 782. [Google Scholar] [CrossRef]






| Postharvest Time (d) | AsA (g·kg−1 FW) | TA (%) | Soluble Sugars (%) | |||
|---|---|---|---|---|---|---|
| CK | 12 mg/L Se | CK | 12 mg/L Se | CK | 12 mg/L Se | |
| 0 | 0.38 ± 0.03 cd | 0.38 ± 0.03 cd | 0.91 ± 0.08 b | 0.91 ± 0.08 b | 9.96 ± 0.81 b | 9.96 ± 0.81 b |
| 2 | 0.34 ± 0.04 d | 0.37 ± 0.07 cd | 1.05 ± 0.04 a | 0.95 ± 0.11 ab | 7.85 ± 0.29 cd | 13.99 ± 1.20 a |
| 4 | 0.45 ± 0.01 bc | 0.50 ± 0.07 ab | 0.93 ± 0.06 b | 0.91 ± 0.05 b | 7.32 ± 0.41 de | 8.76 ± 0.57 c |
| 6 | 0.55 ± 0.09 a | 0.51 ± 0.03 ab | 0.98 ± 0.01 ab | 0.91 ± 0.01 b | 6.24 ± 0.20 e | 6.96 ± 0.36 de |
Disclaimer/Publisher’s Note: The statements, opinions and data contained in all publications are solely those of the individual author(s) and contributor(s) and not of MDPI and/or the editor(s). MDPI and/or the editor(s) disclaim responsibility for any injury to people or property resulting from any ideas, methods, instructions or products referred to in the content. |
© 2023 by the authors. Licensee MDPI, Basel, Switzerland. This article is an open access article distributed under the terms and conditions of the Creative Commons Attribution (CC BY) license (https://creativecommons.org/licenses/by/4.0/).
Share and Cite
Lin, Y.; Liang, W.; Cao, S.; Tang, R.; Mao, Z.; Lan, G.; Zhou, S.; Zhang, Y.; Li, M.; Wang, Y.; et al. Postharvest Application of Sodium Selenite Maintains Fruit Quality and Improves the Gray Mold Resistance of Strawberry. Agronomy 2023, 13, 1689. https://doi.org/10.3390/agronomy13071689
Lin Y, Liang W, Cao S, Tang R, Mao Z, Lan G, Zhou S, Zhang Y, Li M, Wang Y, et al. Postharvest Application of Sodium Selenite Maintains Fruit Quality and Improves the Gray Mold Resistance of Strawberry. Agronomy. 2023; 13(7):1689. https://doi.org/10.3390/agronomy13071689
Chicago/Turabian StyleLin, Yuanxiu, Wenhao Liang, Shuaipeng Cao, Rui Tang, Zhi Mao, Gongchun Lan, Song Zhou, Yunting Zhang, Mengyao Li, Yan Wang, and et al. 2023. "Postharvest Application of Sodium Selenite Maintains Fruit Quality and Improves the Gray Mold Resistance of Strawberry" Agronomy 13, no. 7: 1689. https://doi.org/10.3390/agronomy13071689
APA StyleLin, Y., Liang, W., Cao, S., Tang, R., Mao, Z., Lan, G., Zhou, S., Zhang, Y., Li, M., Wang, Y., Chen, Q., Zhang, Y., Wang, X., Luo, Y., & Tang, H. (2023). Postharvest Application of Sodium Selenite Maintains Fruit Quality and Improves the Gray Mold Resistance of Strawberry. Agronomy, 13(7), 1689. https://doi.org/10.3390/agronomy13071689

