Agronomic Biofortification and Yield of Beet Fertilization with Zinc
Abstract
1. Introduction
2. Materials and Methods
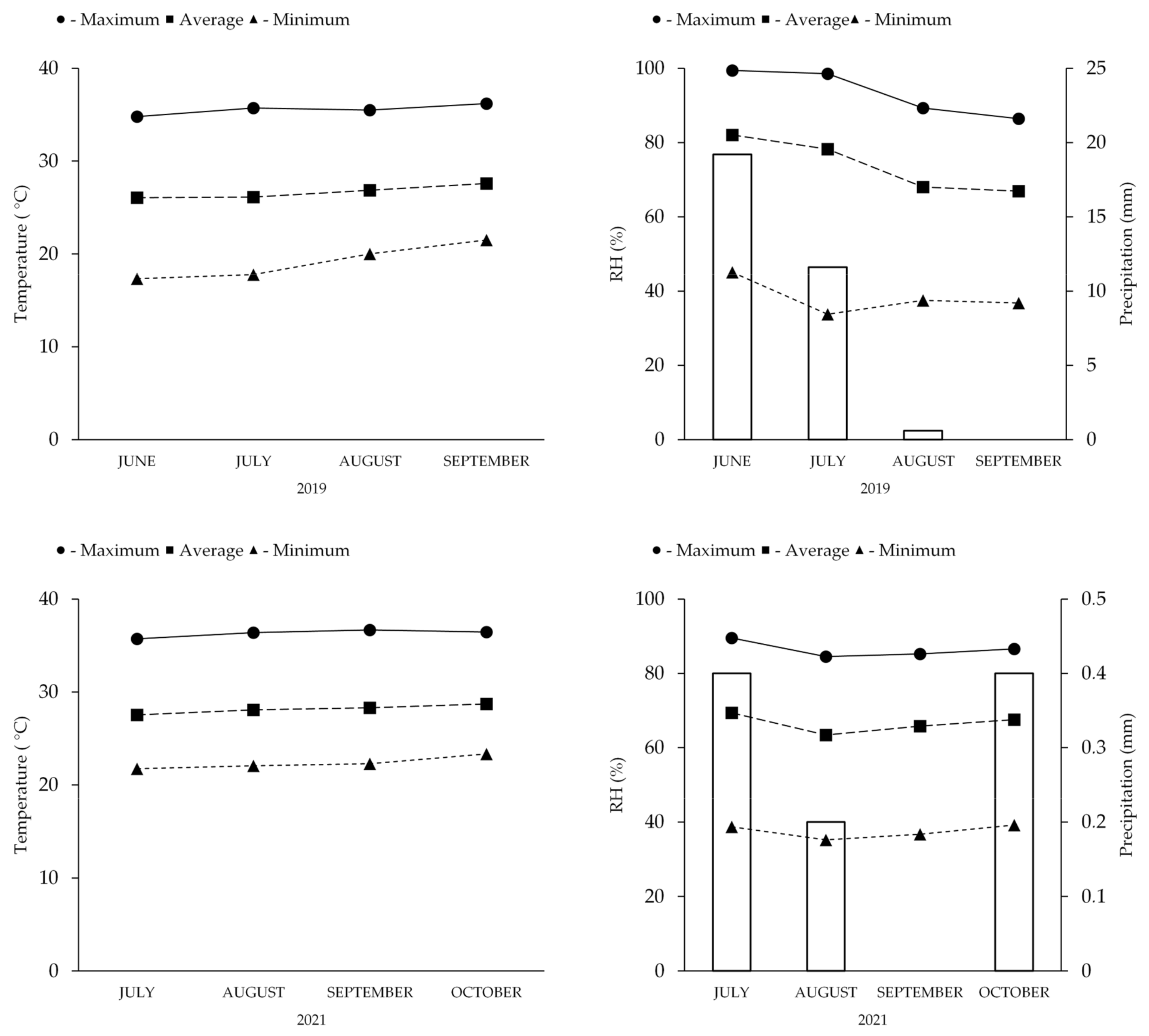
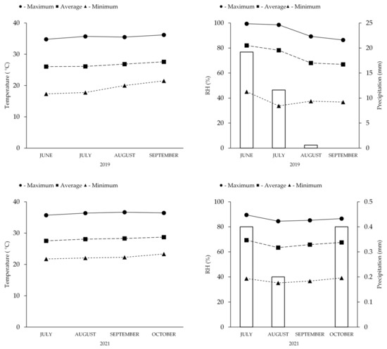
2.1. Description of the Experimental Area
2.2. Treatments and Experimental Design
2.3. Installation and Conduction of Experiments
2.4. Variables Analyzed
2.5. Statistical Analysis
3. Results
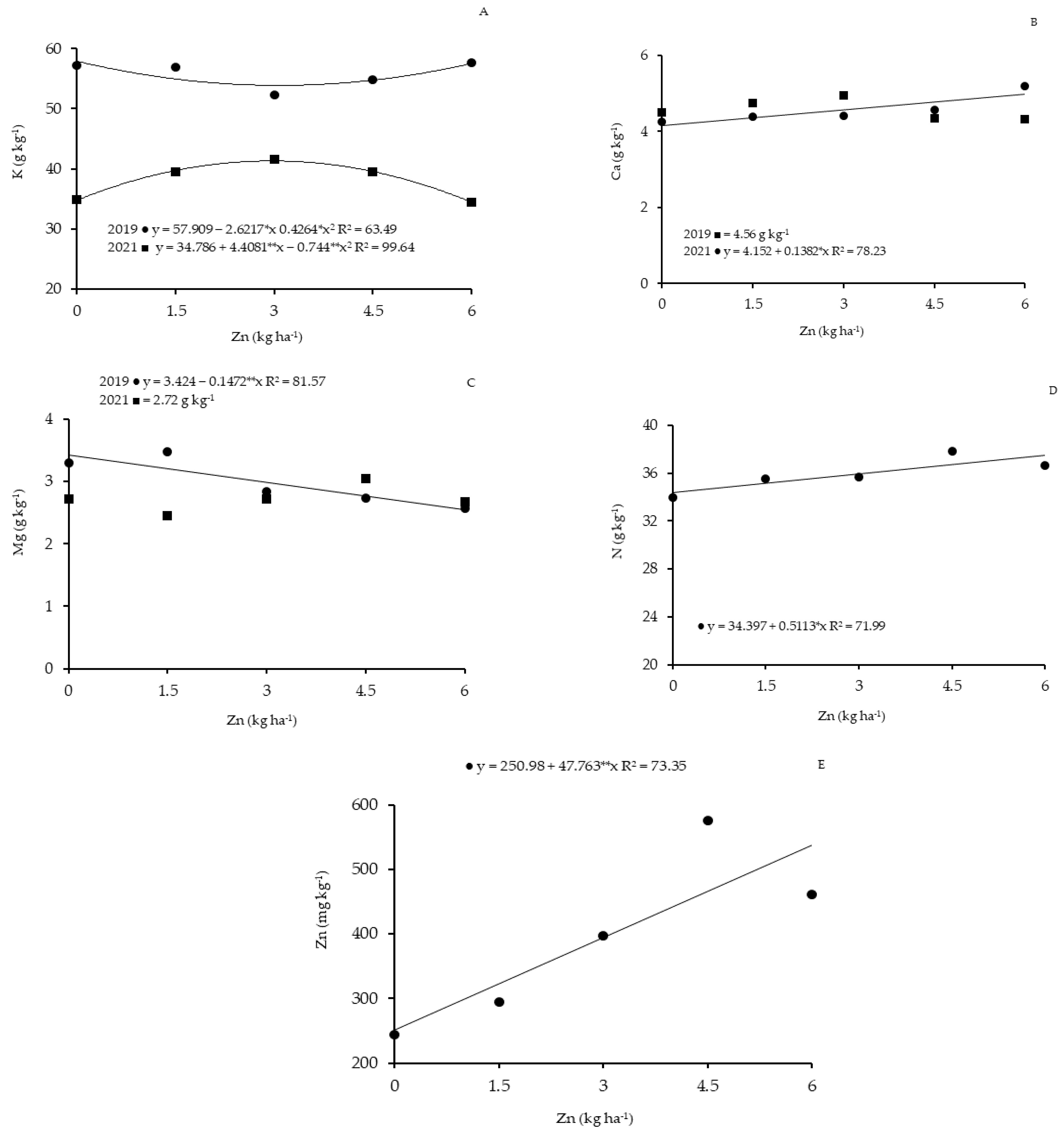
3.1. Nutritional Status Diagnosis Leaf (NSDL)
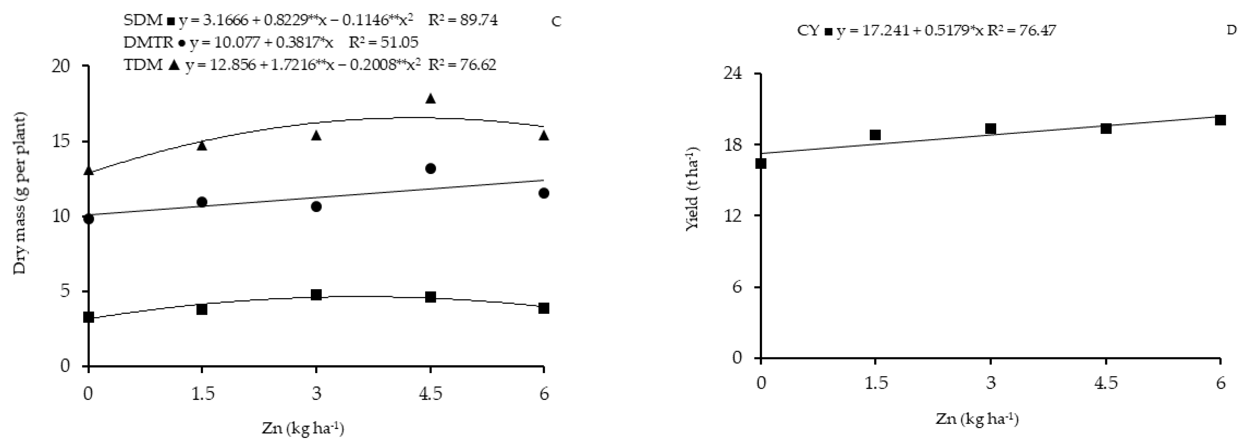
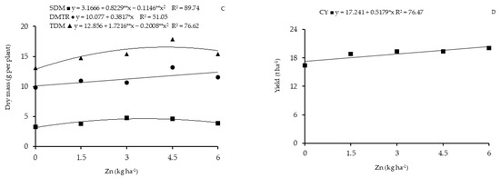
3.2. Growth, Dry Mass, and Yield
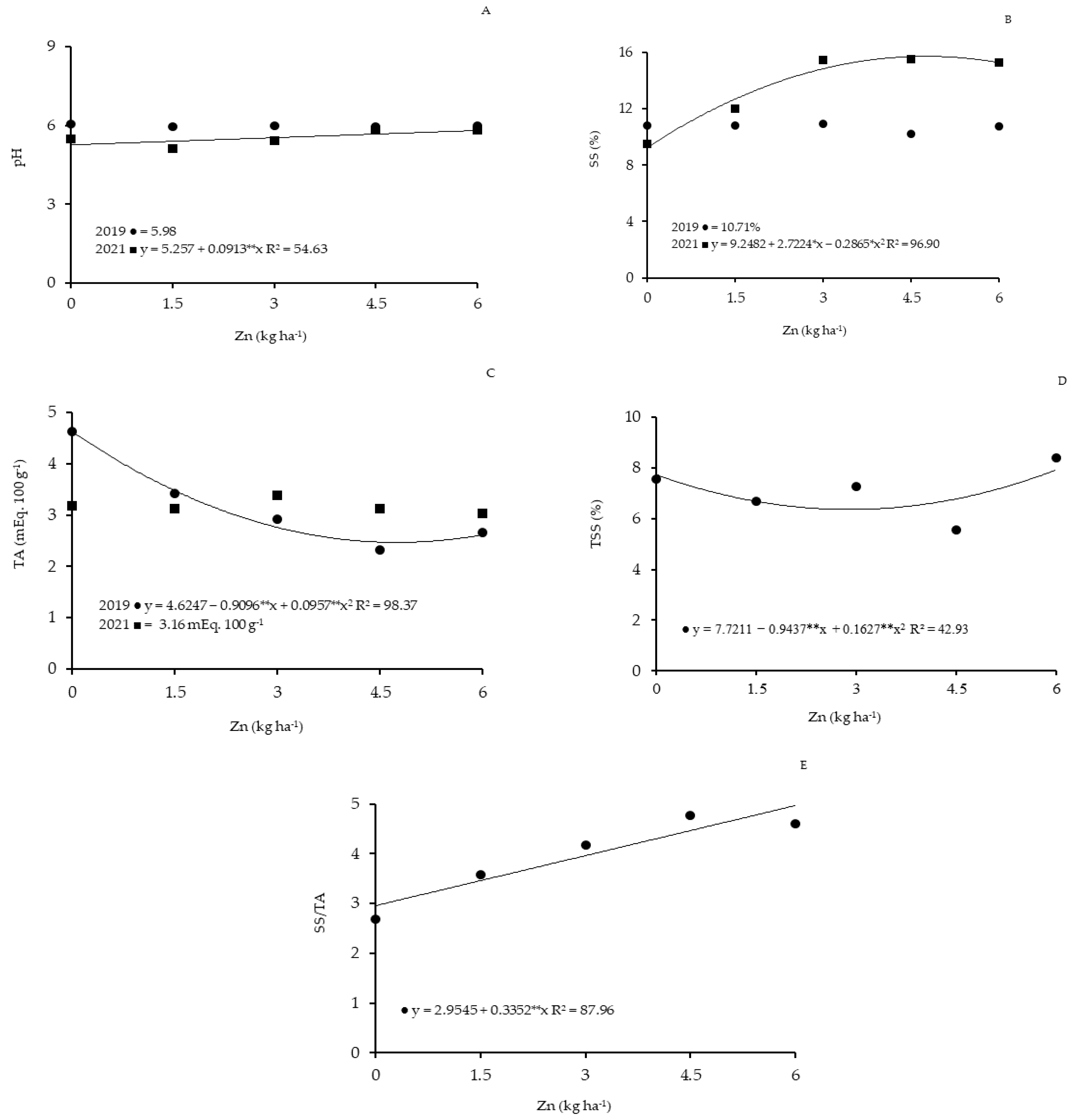
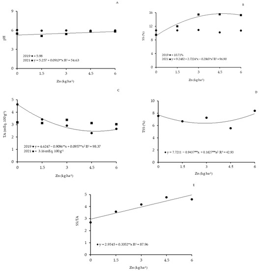
3.3. Postharvest Quality Attributes
3.4. Total and Leaf Zn Accumulation and Agronomic Biofortification of the Tuberous Root
4. Discussion
5. Conclusions
Author Contributions
Funding
Data Availability Statement
Acknowledgments
Conflicts of Interest
References
- Praharaj, S.; Skalicky, M.; Maitra, S.; Bhadra, P.; Shankar, T.; Brestic, M.; Hejnak, V.; Vachova, P.; Hossain, A. Zinc biofortification in food crops could alleviate the zinc malnutrition in human health. Molecules 2021, 26, 3509. [Google Scholar] [CrossRef] [PubMed]
- Szerement, J.; Szatanik-Kloc, A.; Mokrzycki, J.; Mierzwa-Hersztek, M. Agronomic biofortification with Se, Zn, and Fe: An effective strategy to enhance crop nutritional quality and stress defense—A review. J. Soil Sci. Plant Nutr. 2022, 22, 1129–1159. [Google Scholar] [CrossRef]
- Carmona, V.M.V.; Cecílio Filho, A.B.; Almeida, H.J.; Silva, G.C.; Reis, A.R. Agronomic biofortification of beet plants with zinc via seed priming. Rev. Caatinga 2020, 33, 116–123. [Google Scholar] [CrossRef]
- Kachinski, W.D.; Ávila, F.W.; Reis, A.R.; Muller, M.M.L.; Mendes, M.C.; Petranski, P.H. Agronomic biofortification increases concentrations of zinc and storage proteins in common bean (Phaseolus vulgaris L.) grains. Food Res. Intern. 2022, 155, 111105. [Google Scholar] [CrossRef] [PubMed]
- Salles, B.S.; Rodrigues, N.L.; Coelho, S.C. A importância do zinco na desnutrição humana e seus benefícios na infância. Rev. Bras. Nutr. Clín. 2013, 28, 245–250. [Google Scholar]
- Pedraza, D.F.; Rocha, A.C.D.; Queiroz, W.O.; Sousa, C.P.C. Estado nutricional relativo ao zinco de crianças que frequentam creches do estado da Paraíba. Rev. Nutr. 2011, 24, 539–552. [Google Scholar] [CrossRef]
- Cakmak, I.; Kutman, U.B. Agronomic biofortification of cereals with zinc: A review. Eur. J. Soil Sci. 2018, 69, 172–180. [Google Scholar] [CrossRef]
- Delfin, J.; Moda-Cirino, V.; Santos Neto, J.; Buratto, J.S.; Ruas, P.M.; Gonçalves, L.S.A. Diversity of nutritional content in seeds of Brazilian common bean germplasm. PLoS ONE 2020, 15, e0239263. [Google Scholar] [CrossRef]
- Prasad, R.; Shivay, Y.S. Agronomic biofortification of plant foods with minerals, vitamins, and metabolites with chemical fertilizers and liming. J. Plant Nutr. 2020, 43, 1534–1554. [Google Scholar] [CrossRef]
- Mousavi, S.R.; Galavi, M.; Rezaei, M. Zinc (Zn) importance for crop production—A review. Int. J. Agron. Plant Prod. 2013, 4, 64–68. [Google Scholar]
- Castillo-González, J.; OJeda-Barrios, D.; Hernández-Rodríguez, A.; González-Franco, A.C.; Robles-Hermnández, L.; López-Ochoa, G.R. Zinc metalloenymes in plants. Interciencia 2018, 43, 242–248. [Google Scholar]
- Hafeez, B.; Khanif, Y.M.; Saleem, M. Role of zinc if plant nutrition—A review. Am. J. Exp. Agric. 2013, 3, 374–391. [Google Scholar] [CrossRef]
- Oliveira, M.L.J.; Valladares, G.S.; Vieira, J.S.; Coelho, R.M. Availability and spatial variability of copper, iron, manganese, and zinc in soils of the State of Ceará, Brazil. Rev. Ciênc. Agron. 2018, 49, 371–380. [Google Scholar] [CrossRef]
- Balafrej, H.; Bogusz, D.; Triqui, Z.A.; Guedira, A.; Bendaou, N.; Smouni, A.; Fahr, M. Zinc hyperaccumulation in plants: A review. Plants 2020, 2, 562. [Google Scholar] [CrossRef]
- Gashash, E.A.; Ashmawi, A.E.; El-Taher, A.M.; Omar, M.A.; Osman, N.A.; Taha, N.M.; Elkelish, A. Effect of fertilizing with different levels of phosphorous and zinc on the botanical characteristics of table beet (Beta vulgaris L.). Not. Bot. Horti Agrobot. Cluj-Napoca 2022, 50, 12579. [Google Scholar] [CrossRef]
- Behtahs, F.; Tabatabaei, S.J.; Malakouti, M.J.; Sororadin, M.H. Effect of zinc and cádmium on growth, chlorophyll content, photosynthesis, and cádmium concentration in der beet. Iran. J. Soil Res. 2010, 24, 31–41. [Google Scholar] [CrossRef]
- Olveira, R.J.P.; Gatiboni, L.C.; Brunetto, G.; Miquelluti, D.J.; Valicheski, R.R. Resposta da beterraba a adubação com nitrogênio, enxofre e micronutrientes em um Cambissolo Háplico. Hortic. Bras. 2017, 35, 63–68. [Google Scholar] [CrossRef]
- Petek, M.; Toth, N.; Pecina, M.; Lazarević, B.; Palčić, I.; Herak Ćustić, M. Status of Fe, Mn, and Zn in red beet due to fertilization and environment. J. Cent. Eur. Agric. 2017, 18, 554–570. [Google Scholar] [CrossRef]
- Sagardoy, R.; Vázquez, S.; Florez-Sarasa, D.; Albacete, A.; Ribas-Carbó, M.; Flexas, J.; Abadia, J.; Morales, F. Stomatal and mesophyll conductances to CO2 are the main limitations to photosynthesis in sugar beet (Beta vulgaris) plants grown with excess zinc. New Phytol. 2010, 187, 145–158. [Google Scholar] [CrossRef]
- Sagardoy, R.; Morales, F.; Rellán-Álvarez, R.; Abadía, A.; Abadía, J.; López-MilLÁN, A.F. Carboxylate metabolism in sugar beet plants grown with excess Zn. J. Plant Physiol. 2011, 168, 730–733. [Google Scholar] [CrossRef]
- Barlóg, P.; Nowacka, A.; Blaszyk, R. Effect of zinc band application on sugar beet yield, quality, and nutrient uptake. Plant Soil Environ. 2016, 62, 30–35. [Google Scholar] [CrossRef]
- Piskin, A. Effect of zinc and compound fertilizer on yield and quality of sugar beet (Beta vulgaris L.). J. Plant Nutr. 2017, 40, 2521–2531. [Google Scholar] [CrossRef]
- Empresa Brasileira de Pesquisa Agropecuária—EMBRAPA. Sistema Brasileiro de Classificação de Solos, 5th ed.; EMBRAPA: Brasília, Brasil, 2018; p. 356. [Google Scholar]
- Trani, P.E.; van Raij, B.; Cantarella, H.; Figueiredo, G.J.B. Hortaliças, Recomendações de Calagem e Adubação Para o Estado de São Paulo; CATI: Campinas, Brasil, 2018; p. 88. [Google Scholar]
- Tivelli, S.W.; Factor, T.L.; Teramoto, J.R.S.; Fabri, E.G.; Moraes, A.R.A.; Trani, P.E.; May, A. Beterraba: Do Plantio à Comercialização; Instituto Agronômico: Campinas, Brasil, 2011; p. 51. [Google Scholar]
- Malavolta, E.; Vitti, G.C.; Oliveira, S.A. Avaliação do Estado Nutricional das Plantas: Princípios e Aplicações, 2nd ed.; POTAFOS: Piracicaba, Brasil, 1997; p. 319. [Google Scholar]
- Silva, G.A.; Grangeiro, L.C.; Sousa, V.F.L.; Silva, L.R.R.; Jesus, P.M.M.; Silva, J.L.A. Agronomic performance of beet cultivars as a function of phosphorus fertilization. Rev. Bras. Eng. Agríc. Ambient. 2019, 23, 518–523. [Google Scholar] [CrossRef]
- Empresa Brasileira de Pesquisa Agropecuária—EMBRAPA. Manual de Análises Químicas de Solos, Plantas e Fertilizantes, 2nd ed.; EMBRAPA: Brasília, Brasil, 2009; p. 627. [Google Scholar]
- Hortbrasil. Centro de Qualidade de Horticultura—Norma de Classificação da Beterraba (Beta vulgaris L.); CQH/CEAGESP: São Paulo, Brasil, 2006. [Google Scholar]
- Instituto Adolfo Lutz. Normas Analíticas do Instituto Adolfo Lutz, Métodos Químicos e Físicos para Análises de Alimentos, 3rd ed.; Instituto Adolfo Lutz: São Paulo, Brasil, 1985; p. 533. [Google Scholar]
- Yemn, E.W.; Willis, A.J. The estimation of carbohydrate in plant extracts by anthrone. Biochem. J. 1954, 57, 508–514. [Google Scholar] [CrossRef]
- Ferreira, P.V. Estatística Experimental Aplicada às Ciências Agrárias, 1st ed.; Editora UFV: Viçoca, Brasil, 2018; p. 588. [Google Scholar]
- Ferreira, D.F. SISVAR: Computer analysis system to fixed effects Split plot type designs. Rev. Bras. Biom. 2019, 37, 529–535. [Google Scholar] [CrossRef]
- Jain, R.; Srivastava, S.; Solomon, S. Impact of excess zinc on growth parameters, cell division, nutrient accumulation, photosynthetic pigments and oxidative stress of sugarcane (Saccharum spp.). Acta Physiol. Plant 2010, 32, 979–986. [Google Scholar] [CrossRef]
- Sadeghzadeh, B. A review of zinc nutrition and plant breeding. J. Soil Sci. Plant Nutr. 2013, 13, 905–927. [Google Scholar] [CrossRef]
- Suganya, A.; Saravanan, A.; Manivannan, N. Role of zinc nutrition for increasing zinc availability, uptake, yield and quality of maize (Zea mays L.) grains: An overview. Commun. Soil Sci. Plant Anal. 2020, 51, 2001–2021. [Google Scholar] [CrossRef]
- Mahapatra, C.K.; Bhadra, T.; Paul, S.K. Nutrient management in sugar beet: A review. Pak. Sugar J. 2020, 35, 31–44. [Google Scholar] [CrossRef]
- Sagardoy, R.; Morales, F.; LópEZ-Milián, A.F.; Abadia, A.; Abadia, J. Effects of zinc toxicity on sugar beet (Beta vulgaris L.) plants grown in hydroponics. Plant Biol. 2009, 11, 339–350. [Google Scholar] [CrossRef]
- Aboyeji, C.; Dunsin, O.; Adekiya, A.O.; Chinedum, C.; Suleiman, K.O.; Okunlola, F.O.; Aremu, C.O.; Owolabi, I.O.; Olofintoye, T.A.J. Zinc sulfate and boron-based foliar fertilizer affect on growth, yield, minerals, and heavy metal composition of groundnut (Arachis hypogaea) grown on na alfisol. Int. J. Agron. 2019, 2019, 5347870. [Google Scholar] [CrossRef]
- Silva, T.M.R.; Prado, R.M.; Vale, D.W.; Avalhães, C.C.; Puga, A.P.; Fonseca, I.M. Toxicidade do zinco em milheto cultivado em Latossolo Vermelho Distrófico. Rev. Bras. Ciênc. Agrár. 2010, 5, 336–340. [Google Scholar] [CrossRef]
- Costa, R.M.C.; Grangeiro, L.C.; Cortez, J.W.M.; Morais, E.G.; Oliveira, R.R.T.; Silva, I.B.M. Fertirrigation with manganese in beet. Ciênc. Agrotecnol. 2023, 47, e014622. [Google Scholar] [CrossRef]
- Batista, M.A.V.; Bezerra Neto, F.; Silva, M.L.; Ambrósio, M.M.Q.; Cunha, J.L.X.L. Atributos de solo-planta e de produção de beterraba influenciados pela adubação com espécies da Caatinga. Hortic. Bras. 2016, 34, 31–38. [Google Scholar] [CrossRef]
- Mousavi, S.R. Zinc in crop production and interaction with phosphorus. Aust. J. Basic Appl. Sci. 2011, 5, 1503–1509. [Google Scholar]
- Korkmaz, K.; Akgün, M.; Özcan, M.M.; Özkutlu, F.; Kara, Ş.M. Interaction effects of phosphorus (P) and zinc (Zn) on dry matter, concentration and uptake of P and Zn in chia. J. Plant Nutr. 2021, 44, 755–764. [Google Scholar] [CrossRef]
- Chasapis, C.T.; Loutsidou, A.C.; Spiliopoulou, C.A.; Stefanidou, M.E. Zinc and human health: An update. Arch. Toxicol. 2012, 86, 521–534. [Google Scholar] [CrossRef]
- Dalal, A.; Duary, S. A Review: Agronomic biofortification with zinc. Indian J. Nat. Sci. 2022, 13, 43221–43227. [Google Scholar]







| 2019 | |||||||||||||||
| pH | MO | B | Cu | Fe | Mn | Zn | P 1 | K | Na | Ca | Mg | H + Al | SB | CEC | V |
| H2O | g kg−1 | mg dm−3 | cmolc dm−3 | % | |||||||||||
| 6.3 | 4.14 | 0.19 | 0.10 | 6.61 | 2.36 | 0.50 | 3.2 | 51.0 | 8.1 | 0.55 | 0.25 | 0.33 | 0.97 | 1.3 | 75 |
| 2021 | |||||||||||||||
| pH | MO | B | Cu | Fe | Mn | Zn | P 1 | K | Na | Ca | Mg | H + Al | SB | CEC | V |
| H2O | g kg−1 | mg dm−3 | cmolc dm−3 | % | |||||||||||
| 5.2 | 14.87 | 0.77 | 0.33 | 163.03 | 15.8 | 0.64 | 1.9 | 39.1 | 2.3 | 0.66 | 0.08 | 0.20 | 0.84 | 3.69 | 23.04 |
| Nutrient Content in the Nutritional Status Diagnosis Leaf | ||||||
|---|---|---|---|---|---|---|
| Doses | K | Ca | Mg | |||
| g kg−1 | ||||||
| 2019 | 2021 | 2019 | 2021 | 2019 | 2021 | |
| 0 | 57.16 a | 34.87 b | 4.49 ns | 4.25 ns | 3.30 ns | 2.71 ns |
| 1.5 | 59.97 a | 39.47 b | 4.74 ns | 4.38 ns | 3.47 a | 2.45 b |
| 3.0 | 52.24 a | 41.56 b | 4.93 ns | 4.42 ns | 2.83 ns | 2.72 ns |
| 4.5 | 54.89 a | 39.47 b | 4.34 ns | 4.57 ns | 2.73 ns | 3.04 ns |
| 6.0 | 57.73 a | 34.45 b | 4.32 b | 5.19 a | 2.57 ns | 2.67 ns |
| Years | N | P | Zn | |||
| g kg−1 | mg kg−1 | |||||
| 2019 | 31.63 b | 6.75 a | 250.14 b | |||
| 2021 | 40.22 a | 3.97 b | 538.39 a | |||
| Doses | Plant Height (cm) | ||||||
|---|---|---|---|---|---|---|---|
| 2019 | 2021 | ||||||
| 0 | 23.90 b | 30.04 a | |||||
| 1.5 | 25.36 b | 30.72 a | |||||
| 3.0 | 26.55 b | 30.27 a | |||||
| 4.5 | 28.34 b | 32.21 a | |||||
| 6.0 | 27.02 b | 33.68 a | |||||
| Years | SDM | DMRT | TDM | NL | CY | NCY | TY |
| g per plant | t ha−1 | ||||||
| 2019 | 4.0 ns | 7.32 b | 11.32 b | 8.36 b | 9.92 b | 0.65 b | 11.04 b |
| 2021 | 4.18 ns | 15.12 a | 19.30 a | 9.08 a | 27.66 a | 1.11 a | 28.66 a |
| Doses | pH | TA (mEq. 100 g−1) | SS (%) | |||
|---|---|---|---|---|---|---|
| 2019 | 2021 | 2019 | 2021 | 2019 | 2021 | |
| 0 | 6.07 a | 5.47 b | 4.63 a | 3.17 b | 10.83 ns | 9.47 ns |
| 1.5 | 5.96 a | 5.12 b | 3.41 ns | 3.11 ns | 10.83 ns | 12.02 ns |
| 3.0 | 5.97 a | 5.43 b | 2.91 ns | 3.39 ns | 10.91 b | 15.46 a |
| 4.5 | 5.95 ns | 5.82 ns | 2.32 b | 3.13 a | 10.20 b | 15.25 a |
| 6.0 | 5.98 ns | 5.80 ns | 2.66 ns | 3.03 ns | 10.77 b | 15.25 a |
| Years | TSS (%) | SS/TA | ||||
| 2019 | 8.50 a | 3.63 b | ||||
| 2021 | 5.66 b | 4.28 a | ||||
| Doses | TR | Leaf | Total | |||
|---|---|---|---|---|---|---|
| mg plant−1 | ||||||
| 2019 | 2021 | 2019 | 2021 | 2019 | 2021 | |
| 0 | 0.44 b | 2.09 a | 0.07 ns | 0.48 ns | 0.51 ns | 2.59 ns |
| 1.5 | 0.53 b | 4.26 a | 0.24 a | 10.38 b | 0.77 b | 14.64 a |
| 3.0 | 0.53 b | 4.35 a | 0.64 a | 15.97 b | 1.17 b | 20.33 a |
| 4.5 | 0.73 b | 7.36 a | 0.74 a | 28.82 b | 1.48 b | 36.18 a |
| 6.0 | 0.53 b | 8.71 a | 0.92 a | 32.17 b | 1.45 b | 40.89 a |
Disclaimer/Publisher’s Note: The statements, opinions and data contained in all publications are solely those of the individual author(s) and contributor(s) and not of MDPI and/or the editor(s). MDPI and/or the editor(s) disclaim responsibility for any injury to people or property resulting from any ideas, methods, instructions or products referred to in the content. |
© 2023 by the authors. Licensee MDPI, Basel, Switzerland. This article is an open access article distributed under the terms and conditions of the Creative Commons Attribution (CC BY) license (https://creativecommons.org/licenses/by/4.0/).
Share and Cite
Costa, R.M.C.; Grangeiro, L.C.; Gonçalves, F.d.C.; Santos, E.C.d.; Medeiros, J.F.d.; Sá, F.V.d.S.; Pereira, D.d.F.; Carmo, L.H.d.A.; Souza, B.d.P. Agronomic Biofortification and Yield of Beet Fertilization with Zinc. Agronomy 2023, 13, 1491. https://doi.org/10.3390/agronomy13061491
Costa RMC, Grangeiro LC, Gonçalves FdC, Santos ECd, Medeiros JFd, Sá FVdS, Pereira DdF, Carmo LHdA, Souza BdP. Agronomic Biofortification and Yield of Beet Fertilization with Zinc. Agronomy. 2023; 13(6):1491. https://doi.org/10.3390/agronomy13061491
Chicago/Turabian StyleCosta, Romualdo Medeiros Cortez, Leilson Costa Grangeiro, Francisco das Chagas Gonçalves, Elizangela Cabral dos Santos, José Francismar de Medeiros, Francisco Vanies da Silva Sá, Dalbert de Freitas Pereira, Luiz Henrique de Araujo Carmo, and Bruna de Paiva Souza. 2023. "Agronomic Biofortification and Yield of Beet Fertilization with Zinc" Agronomy 13, no. 6: 1491. https://doi.org/10.3390/agronomy13061491
APA StyleCosta, R. M. C., Grangeiro, L. C., Gonçalves, F. d. C., Santos, E. C. d., Medeiros, J. F. d., Sá, F. V. d. S., Pereira, D. d. F., Carmo, L. H. d. A., & Souza, B. d. P. (2023). Agronomic Biofortification and Yield of Beet Fertilization with Zinc. Agronomy, 13(6), 1491. https://doi.org/10.3390/agronomy13061491

