A Study of a Model for Predicting Pneumatic Subsoiling Resistance Based on Machine Learning Techniques
Abstract
:1. Introduction
2. Materials and Methods
2.1. Structural Parameter Design of a Pneumatic Subsoiling Shovel
2.2. Field Trials
2.2.1. Soil Characteristics
2.2.2. Field Testing Program
2.3. Machine Learning Models
2.3.1. RF model
2.3.2. SVR Model
2.3.3. BP Model
2.3.4. XGBoost Model
2.4. Training of the Network Models and Evaluation of Their Performance
3. Results and Discussion
3.1. Comparison of Resistance in Field Trials
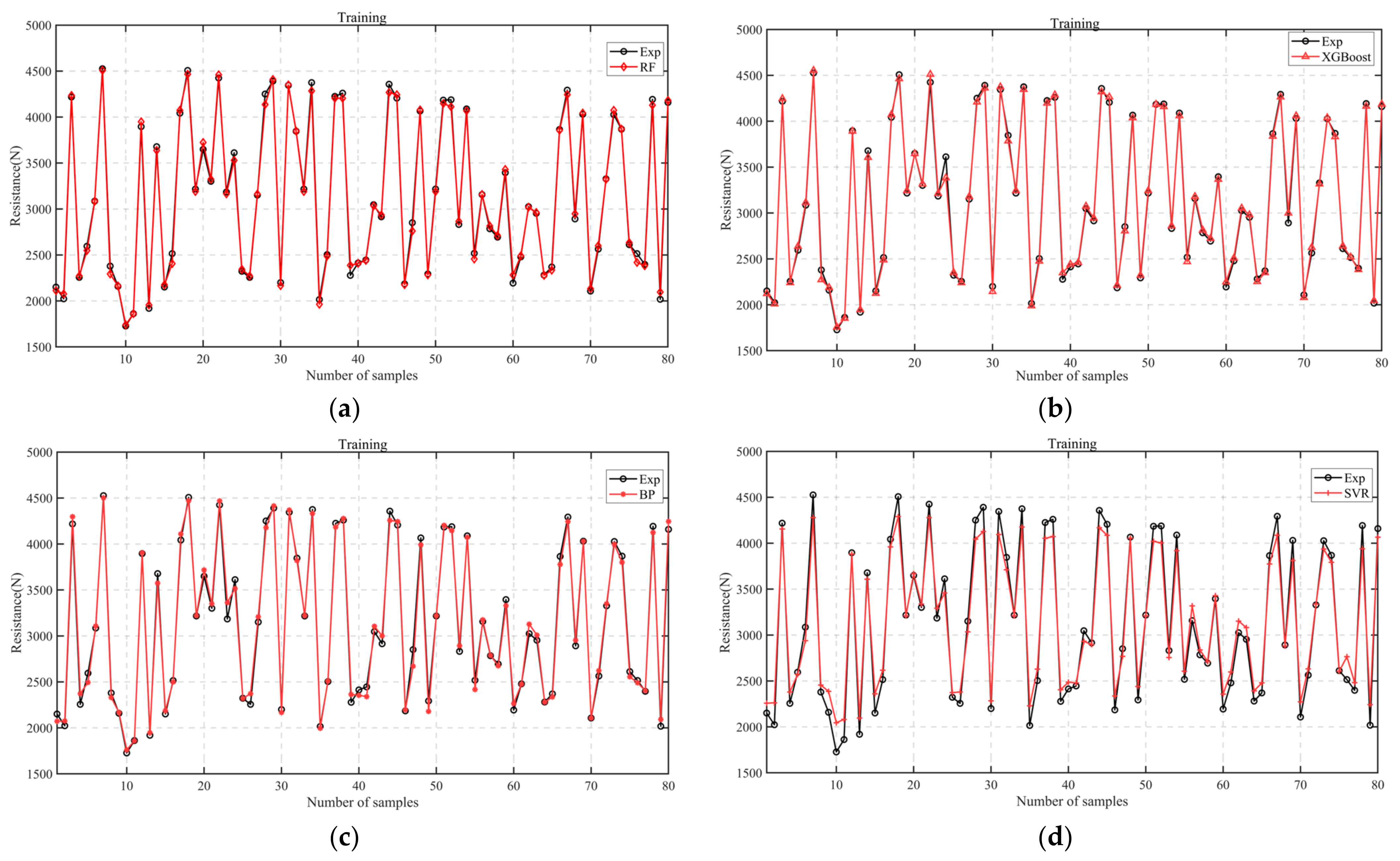
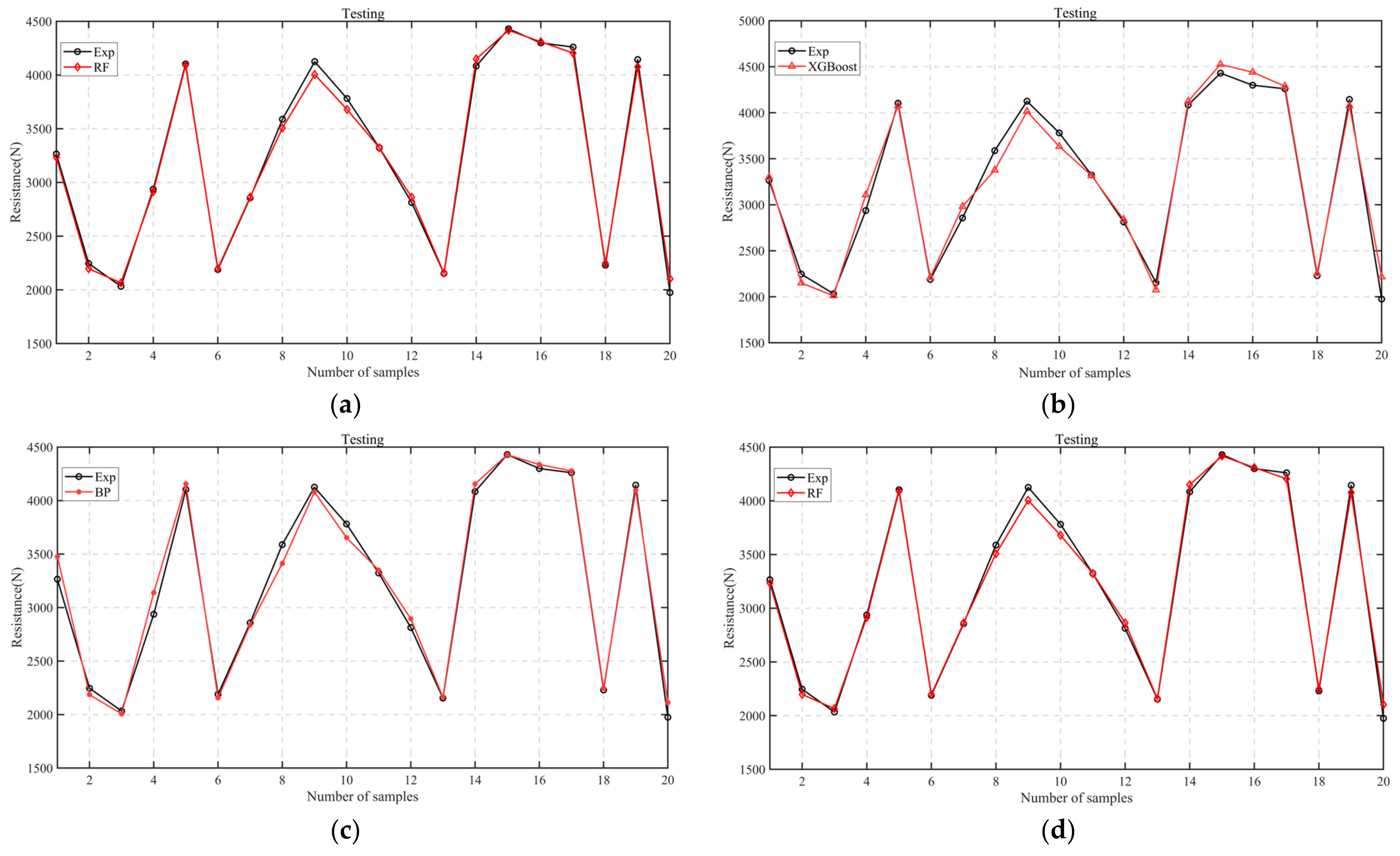
3.2. Results and Evaluation of Resistance Predictions
4. Conclusions
Author Contributions
Funding
Data Availability Statement
Conflicts of Interest
References
- Pulido-Moncada, M.; Munkholm, L.J.; Schjønning, P. Wheel load, repeated wheeling, and traction effects on subsoil compaction in northern Europe. Soil Tillage Res. 2019, 186, 300–309. [Google Scholar] [CrossRef]
- Kashirad, A.; Fiskell, J.G.A.; Carlisle, V.W.; Hutton, C.E. Tillage Pan Characterization of Selected Coastal Plain Soils. Soil Sci. Soc. Am. J. 1967, 31, 534–541. [Google Scholar] [CrossRef]
- Ren, L.; Cornelis, W.M.; Ruysschaert, G.; De Pue, J.; Lootens, P.; D’Hose, T. Quantifying the impact of induced topsoil and historical subsoil compaction as well as the persistence of subsoiling. Geoderma 2022, 424, 116024. [Google Scholar] [CrossRef]
- Akinci, I.; Cakir, E.; Topakci, M.; Canakci, M.; Inan, O. The effect of subsoiling on soil resistance and cotton yield. Soil Tillage Res. 2004, 77, 203–210. [Google Scholar] [CrossRef]
- Martínez, I.G.; Prat, C.; Ovalle, C.; del Pozo, A.; Stolpe, N.; Zagal, E. Subsoiling improves conservation tillage in cereal production of severely degraded Alfisols under Mediterranean climate. Geoderma 2012, 189–190, 10–17. [Google Scholar] [CrossRef]
- Qin, H.-l.; Gao, W.-s.; Ma, Y.-c.; Ma, L.; Yin, C.-m.; Chen, Z.; Chen, C. Effects of Subsoiling on Soil Moisture Under No-Tillage for Two Years. Agric. Sci. China 2008, 7, 88–95. [Google Scholar] [CrossRef]
- Zuo, S.; Kong, D.; Liu, C.; Li, Z.; Zhao, Y. Test research on influence rule of subsoiling pressure to subsoiling quality. Int. J. u- e- Serv. Sci. Technol. 2016, 9, 39–50. [Google Scholar] [CrossRef]
- Zuo, S.; Kong, D.; Liu, L.; Dong, X.; Zhao, Y. Experiment on effect of air-pressure subsoiling based on air-pressure cracking theory. Nongye Gongcheng Xuebao/Trans. Chin. Soc. Agric. Eng. 2016, 32, 54–61. [Google Scholar] [CrossRef]
- Wang, X.; Gao, P.; Yue, B.; Shen, H.; Fu, Z.; Zheng, Z.; Zhu, R.; Huang, Y. Optimisation of installation parameters of subsoiler’ wing using the discrete element method. Comput. Electron. Agric. 2019, 162, 523–530. [Google Scholar] [CrossRef]
- Song, W.; Jiang, X.; Li, L.; Ren, L.; Tong, J. Increasing the width of disturbance of plough pan with bionic inspired subsoilers. Soil Tillage Res. 2022, 220, 105356. [Google Scholar] [CrossRef]
- Makange, N.R.; Ji, C.; Torotwa, I. Prediction of cutting forces and soil behavior with discrete element simulation. Comput. Electron. Agric. 2020, 179, 105848. [Google Scholar] [CrossRef]
- Li, X.; Wang, S.C.; Meng, H.W.; Qu, Q.J.; Jia, Y.W. Research on drag reduction mechanism of pneumatic subsoiler and establishment of resistance mathematical model. Can. J. Soil Sci. 2022, 102, 531–548. [Google Scholar] [CrossRef]
- Songyu, L.; Dingwen, Z.; Guangyin, D.; Wenjun, H. A New Combined Vacuum Preloading with Pneumatic Fracturing Method for Soft Ground Improvement. In Proceedings of the 3rd International Conference on Transportation Geotechnics, ICTG 2016, Guimaraes, Portugal, 4–7 September 2016; pp. 454–461. [Google Scholar]
- Araya, K.; Gao, R. A Non-linear Three-Dimensional Finite Element Analysis of Subsoiler Cutting with Pressurized Air Injection. J. Agric. Eng. Res. 1995, 61, 115–128. [Google Scholar] [CrossRef]
- Zhang, H.; Araya, K.; Kudoh, M.; Zhang, C.; Jia, H.; Liu, F.; Sawai, T.; Yang, S. An Explosive Subsoiler for the Improvement of Meadow Soil, Part 1: Thermodynamics. J. Agric. Eng. Res. 2000, 75, 97–105. [Google Scholar] [CrossRef]
- Zhang, H.; Araya, K.; Kudoh, M.; Zhang, C.; Jia, H.; Liu, F.; Sawai, T.; Yang, S. An Explosive Subsoiler for the Improvement of Meadow Soil, Part 2: Soil Bin Experiments. J. Agric. Eng. Res. 2000, 75, 209–219. [Google Scholar] [CrossRef]
- Zhang, H.; Araya, K.; Kudoh, M.; Zhang, C.; Jia, H.; Liu, F.; Sawai, T.; Yang, S. An Explosive Subsoiler for the Improvement of Meadow Soil, Part 3: Field Experiments. J. Agric. Eng. Res. 2000, 75, 327–332. [Google Scholar] [CrossRef]
- Xi, X.; Zhang, R.; Shan, X.; Ye, W.; Shi, Y.; Ma, G.; Tao, D. Optimization of gas explosion subsoiling parameters based on soil fissure trace equation and soil disturbance model. Nongye Gongcheng Xuebao/Trans. Chin. Soc. Agric. Eng. 2018, 34, 15–24. [Google Scholar] [CrossRef]
- Qin, K.; Zhang, Y.Z.; Shen, Z.G.; Cao, C.M.; Wu, Z.M.; Ge, J.; Fang, L.F.; Bi, H.J. Investigating the Coupling Effect of High Pressure and Hot Air on External Friction Angle Based on Resistance Reduction Tests on Subsoiling Tillage Tools for Sandy Clay Loam. Agronomy 2022, 12, 2663. [Google Scholar] [CrossRef]
- Sasaki, C.M.; Goncalves, J.L.D.; da Silva, A.P. Ideal subsoiling moisture content of Latosols used in forest plantations. For. Ecol. Manag. 2007, 243, 75–82. [Google Scholar] [CrossRef]
- Ahmadi, I. Effect of soil, machine, and working state parameters on the required draft force of a subsoiler using a theoretical draft-calculating model. Soil Res. 2017, 55, 389–400. [Google Scholar] [CrossRef]
- Al-Janobi, A.; Al-Suhaibani, S.A. Draft of Primary Tillage Implements in Sandy Loam Soil. Appl. Eng. Agric. 1998, 14, 343–348. [Google Scholar] [CrossRef]
- Abbaspour-Gilandeh, Y.; Fazel-Niari, Z.; Shahgoli, G.; Bavafa, M. Design and construction of a high speed inter-row cultivator. In Proceedings of the 2nd International Conference on Mechanical and Aerospace Engineering, ICMAE 2011, Bangkok, Thailand, 29–31 July 2011; pp. 4914–4918. [Google Scholar]
- Kichler, C.M.; Fulton, J.P.; Raper, R.L.; Zech, W.C.; McDonald, T.P.; Brodbeck, C.J. Spatially monitoring tractor performance to evaluate energy requirements of variable depth tillage and implement selection. In Proceedings of the 2007 ASABE Annual International Meeting, Technical Papers. Minneapolis, MN, USA, 17–20 June 2007; American Society of Agricultural and Biological Engineers, ASABE: St. Joseph, MI, USA, 2007. [Google Scholar]
- Jiang, X.H.; Tong, J.; Ma, Y.H.; Sun, J.Y. Development and verification of a mathematical model for the specific resistance of a curved subsoiler. Biosyst. Eng. 2020, 190, 107–119. [Google Scholar] [CrossRef]
- Sadek, M.A.; Chen, Y.; Zeng, Z. Draft force prediction for a high-speed disc implement using discrete element modelling. Biosyst. Eng. 2021, 202, 133–141. [Google Scholar] [CrossRef]
- Upadhyay, G.; Raheman, H. Specific draft estimation model for offset disc harrows. Soil Tillage Res. 2019, 191, 75–84. [Google Scholar] [CrossRef]
- Manuwa, S.I. Performance evaluation of tillage tines operating under different depths in a sandy clay loam soil. Soil Tillage Res. 2009, 103, 399–405. [Google Scholar] [CrossRef]
- Alimardani, R.; Abbaspour-Gilandeh, Y.; Khalilian, A.; Keyhani, A.; Sadati, S.H. Prediction of draft force and energy of subsoiling operation using ANN model. J. Food Agric. Environ. 2009, 7, 537–542. [Google Scholar]
- Novák, D.; Lehký, D. ANN inverse analysis based on stochastic small-sample training set simulation. Eng. Appl. Artif. Intell. 2006, 19, 731–740. [Google Scholar] [CrossRef]
- Zhang, Z.X.; Kushwaha, R.L. Applications of neural networks to simulate soil-tool interaction and soil behavior. Can. Agric. Eng. 1999, 41, 119–125. [Google Scholar]
- Al-Hamed, S.A.; Wahby, M.F.; Al-Saqer, S.M.; Aboukarima, A.M.; Sayedahmed, A.A. Artificial Neural Network Model for Predicting Draft and Energy Requirements of a Disk Plow. J. Anim. Plant Sci. 2013, 23, 1714–1724. [Google Scholar]
- Gautam, P.V.; Tiwari, P.S.; Agrawal, K.N.; Roul, A.K.; Kumar, M.; Singh, K. Optimisation and modelling of draft and rupture width using response surface methodology and artificial neural network for tillage tools. Soil Res. 2022, 60, 816–838. [Google Scholar] [CrossRef]
- Swetha, R.K.; Dasgupta, S.; Chakraborty, S.; Li, B.; Mancini, M.; Silva, S.; Ribeiro, B.; Curi, N.; Ray, D. Using Nix color sensor and Munsell soil color variables to classify contrasting soil types and predict soil organic carbon in Eastern India. Comput. Electron. Agric. 2022, 199, 107192. [Google Scholar] [CrossRef]
- Spoor, G.; Godwin, R.J. An experimental investigation into the deep loosening of soil by rigid tines. J. Agric. Eng. Res. 1978, 23, 243–258. [Google Scholar] [CrossRef]
- Zou, L.; Liu, G.; Yuan, J.; Xin, Z.; Niu, Z. Design and Test of Active Lubrication and Drag Reduction Curved Subsoiler. Nongye Jixie Xuebao/Trans. Chin. Soc. Agric. Mach. 2022, 53, 34–43. [Google Scholar] [CrossRef]
- De Caigny, A.; Coussement, K.; De Bock, K.W. A new hybrid classification algorithm for customer churn prediction based on logistic regression and decision trees. Eur. J. Oper. Res. 2018, 269, 760–772. [Google Scholar] [CrossRef]
- Li, Y.; Yan, C.; Liu, W.; Li, M. A principle component analysis-based random forest with the potential nearest neighbor method for automobile insurance fraud identification. Appl. Soft Comput. 2018, 70, 1000–1009. [Google Scholar] [CrossRef]
- Bai, J.; Yang, J.; Song, W.; Liu, Y.; Xu, H.; Liu, Y. Intelligent Prediction of Cryptogenic Stroke Using Patent Foramen Ovale from TEE Imaging Data and Machine Learning Methods. Int. J. Comput. Intell. Syst. 2022, 15, 13. [Google Scholar] [CrossRef]
- Wang, F.; Yang, S.; Wei, Y.; Shi, Q.; Ding, J. Characterizing soil salinity at multiple depth using electromagnetic induction and remote sensing data with random forests: A case study in Tarim River Basin of southern Xinjiang, China. Sci. Total Environ. 2021, 754, 142030. [Google Scholar] [CrossRef]
- Xu, S.; Niu, R. Displacement prediction of Baijiabao landslide based on empirical mode decomposition and long short-term memory neural network in Three Gorges area, China. Comput. Geosci. 2018, 111, 87–96. [Google Scholar] [CrossRef]
- Yang, B.; Yin, K.; Lacasse, S.; Liu, Z. Time series analysis and long short-term memory neural network to predict landslide displacement. Landslides 2019, 16, 677–694. [Google Scholar] [CrossRef]
- Tang, Y.; Su, J.; Khan, M.A. Research on Sentiment Analysis of Network Forum Based on BP Neural Network. Mob. Netw. Appl. 2021, 26, 174–183. [Google Scholar] [CrossRef]
- Peng, H.; Wu, H.; Wang, J. Research on the Prediction of the Water Demand of Construction Engineering Based on the BP Neural Network. Adv. Civ. Eng. 2020, 2020, 8868817. [Google Scholar] [CrossRef]
- He, S.; Sang, X.; Yin, J.; Zheng, Y.; Chen, H. Short-term Runoff Prediction Optimization Method Based on BGRU-BP and BLSTM-BP Neural Networks. Water Resour. Manag. 2023, 37, 747–768. [Google Scholar] [CrossRef]
- Chen, T.; Guestrin, C. XGBoost: A Scalable Tree Boosting System. In Proceedings of the 22nd ACM SIGKDD International Conference on Knowledge Discovery and Data Mining, San Francisco, CA, USA, 13–17 August 2016; pp. 785–794. [Google Scholar]
- Wu, K.; Chai, Y.; Zhang, X.; Zhao, X. Research on Power Price Forecasting Based on PSO-XGBoost. Electronics 2022, 11, 3763. [Google Scholar] [CrossRef]
- Shen, S.-L.; Atangana Njock, P.G.; Zhou, A.; Lyu, H.-M. Dynamic prediction of jet grouted column diameter in soft soil using Bi-LSTM deep learning. Acta Geotech. 2021, 16, 303–315. [Google Scholar] [CrossRef]
- Yu, J.; Zhangzhong, L.; Lan, R.; Zhang, X.; Xu, L.; Li, J. Ensemble Learning Simulation Method for Hydraulic Characteristic Parameters of Emitters Driven by Limited Data. Agronomy 2023, 13, 986. [Google Scholar] [CrossRef]
- Makridakis, S.; Hibon, M.; Moser, C. Accuracy of Forecasting: An Empirical Investigation. J. R. Stat. Society. Ser. A (General) 1979, 142, 97–145. [Google Scholar] [CrossRef]
- Xue, L.; Liu, Y.; Xiong, Y.; Liu, Y.; Cui, X.; Lei, G. A data-driven shale gas production forecasting method based on the multi-objective random forest regression. J. Pet. Sci. Eng. 2021, 196, 107801. [Google Scholar] [CrossRef]
- Yang, P.; Wang, D.; Zhao, W.-B.; Fu, L.-H.; Du, J.-L.; Su, H. Ensemble of kernel extreme learning machine based random forest classifiers for automatic heartbeat classification. Biomed. Signal Process. Control 2021, 63, 102138. [Google Scholar] [CrossRef]

















| Property | Value (HB) | Value (LN) |
|---|---|---|
| Organic matter | 0.49% | 0.53% |
| Electrical conductivity (EC) | 0.51 dS/m3 | 0.52 dS/m3 |
| PH | 7.8 | 7.1 |
| Dry bulk density | 1580 kg/m3 | 1180 kg/m3 |
| Moisture content (db) (0–25 cm) | 18.6% | 21.2% |
| Moisture content (db) (25–50 cm) | 23.2% | 26.4% |
| Working Air Pressure (MPa) | Working Speed (Km/h) | Depth (cm) | Bulk Density (kg/m3) | Moisture Content (%) |
|---|---|---|---|---|
| A [0, 0.2, 0.4, 0.6, 0.8] | B [1.8, 2.3, 2.9, 3.5] | C [30, 35, 40, 45] | D [1180, 1580] | E [23.8, 20.9] |
| Algorithm | Training | Testing | ||||
|---|---|---|---|---|---|---|
| R2 | RMSE | MAPE | R2 | RMSE | MAPE | |
| SVR | 0.9702 | 4.03 | 0.041 | 0.9344 | 7.02 | 0.0602 |
| XGBoost | 0.9971 | 2.25 | 0.0117 | 0.9840 | 4.94 | 0.0282 |
| RF | 0.9970 | 2.26 | 0.012 | 0.9954 | 3.61 | 0.014 |
| BP | 0.9943 | 2.66 | 0.017 | 0.9879 | 4.60 | 0.0226 |
Disclaimer/Publisher’s Note: The statements, opinions and data contained in all publications are solely those of the individual author(s) and contributor(s) and not of MDPI and/or the editor(s). MDPI and/or the editor(s) disclaim responsibility for any injury to people or property resulting from any ideas, methods, instructions or products referred to in the content. |
© 2023 by the authors. Licensee MDPI, Basel, Switzerland. This article is an open access article distributed under the terms and conditions of the Creative Commons Attribution (CC BY) license (https://creativecommons.org/licenses/by/4.0/).
Share and Cite
Li, X.; Jiang, Z.; Wang, S.; Li, X.; Liu, Y.; Wang, X. A Study of a Model for Predicting Pneumatic Subsoiling Resistance Based on Machine Learning Techniques. Agronomy 2023, 13, 1079. https://doi.org/10.3390/agronomy13041079
Li X, Jiang Z, Wang S, Li X, Liu Y, Wang X. A Study of a Model for Predicting Pneumatic Subsoiling Resistance Based on Machine Learning Techniques. Agronomy. 2023; 13(4):1079. https://doi.org/10.3390/agronomy13041079
Chicago/Turabian StyleLi, Xia, Zhangjun Jiang, Sichao Wang, Xinglong Li, Yu Liu, and Xuhui Wang. 2023. "A Study of a Model for Predicting Pneumatic Subsoiling Resistance Based on Machine Learning Techniques" Agronomy 13, no. 4: 1079. https://doi.org/10.3390/agronomy13041079
APA StyleLi, X., Jiang, Z., Wang, S., Li, X., Liu, Y., & Wang, X. (2023). A Study of a Model for Predicting Pneumatic Subsoiling Resistance Based on Machine Learning Techniques. Agronomy, 13(4), 1079. https://doi.org/10.3390/agronomy13041079

