Humic Acid Improves Plant Yield, Antimicrobial Activity and Essential Oil Composition of Oregano (Origanum vulgare L. subsp. hirtum (Link.) Ietswaart)
Abstract
:1. Introduction
2. Materials and Methods
2.1. Site Conditions
2.2. Experiment Setup
2.3. Experimental Procedure
2.3.1. Yield Traits
2.3.2. Essential Oil Content
2.3.3. Antimicrobial Activity
2.3.4. Composition of Essential Oil
2.4. Statistical Analysis
3. Results
3.1. Yield Traits and Essential Oil Content
3.2. Antimicrobial Activity and Chemical Composition of O. vulgare subsp. hirtum Essential Oil
4. Discussion
4.1. Yield Traits and Essential Oil Content
4.2. Antimicrobial Activity and Chemical Composition of O. vulgare subsp. hirtum Essential Oil
5. Conclusions
Author Contributions
Funding
Institutional Review Board Statement
Informed Consent Statement
Data Availability Statement
Conflicts of Interest
References
- Baydar, H.; Sagdiç, O.; Özkan, G.Ü.; Karadoğan, T. Antibacterial activity and composition of essential oils from Origanum, Thymbra and Satureja species with commercial importance in Turkey. Food Control 2004, 15, 169–172. [Google Scholar] [CrossRef]
- Sakkas, H.; Papadopoulou, C. Antimicrobial activity of basil, oregano, and thyme essential oils. J. Microb. Biotechnol. 2017, 27, 429–438. [Google Scholar] [CrossRef] [PubMed]
- Mehdizadeh, L.; Najafgholi, H.M.; Biouki, R.Y.; Moghaddam, M. Chemical composition and antimicrobial activity of Origanum vulgare subsp. viride essential oils cultivated in two different regions of Iran. J. Essent. Oil Bear. Plants 2018, 21, 1062–1075. [Google Scholar] [CrossRef]
- Fournomiti, M.; Kimbaris, A.; Mantzourani, I.; Plessas, S.; Sinapidou, E.; Panopoulou, M.; Bezirtzoglou, E.; Alexopoulos, A. Antimicrobial Activity of Essential Oils Extracted from Cultivated Oregano (Origanum vulgare), Sage (Salvia officinalis), Thyme (Thymus vulgaris) and Rosemary (Rosmarinus officinalis) against Clinical Isolates of Escherichia coli, Klebsiella oxytoca, Klebsiella pneumonia and Listeria monocytogenes. SF J. Agric. Crop Manag. 2020, 1, 1–9. [Google Scholar]
- Wińska, K.; Mączka, W.; Łyczko, J.; Grabarczyk, M.; Czubaszek, A.; Szumny, A. Essential Oils as Antimicrobial Agents-Myth or Real Alternative? Molecules 2019, 24, 2130. [Google Scholar] [CrossRef]
- Grohs, B.M.; Kunz, B. Use of spices for the stabilization of fresh portioned pork. Food Control 2000, 11, 433–436. [Google Scholar] [CrossRef]
- Lambert, R.J.W.; Skandamis, P.N.; Coote, P.; Nychas, G.J.E. A study of the minimum inhibitory concentration and mode of action of oregano essential oil, thymol and carvacrol. J. Appl. Microbiol. 2001, 91, 453–462. [Google Scholar] [CrossRef]
- Hammer, K.A.; Carson, C.F.; Riley, T.V. In-vitro activity of Melaleuca alternifolia (Tea tree) oil against dermatophytes and other filamentous fungi. J. Antimicrob. 2002, 50, 195–199. [Google Scholar] [CrossRef]
- Lanciotti, R.; Gianotti, A.; Patrignani, N.; Belleti, N.; Guerzoni, M.E.; Gardini, F. Use of natural aroma compounds to improve shelf-life of minimally processed fruits. Trends Food Sci. Technol. 2004, 15, 201–208. [Google Scholar] [CrossRef]
- Shan, B.; Cai, Y.Z.; Brooks, J.D.; Corke, H. Potential application of spice and herb extracts as natural preservatives in cheese. J. Med. Food 2011, 14, 284–290. [Google Scholar] [CrossRef]
- Selvam, S.P.; Dharini, S.; Puffy, S. Antifungal activity and chemical composition of thyme, peppermint and citronella oils in vapour phase against avocado and peach postharvest pathogens. J. Food Saf. 2013, 33, 86–93. [Google Scholar]
- Plavšic, D.V.; Škrinjar, M.M.; Psodorov, Ð.B.; Pezo, L.L.; Milovanovic, I.L.J.; Psodorov, D.Ð.; Kojic, P.S.; Kocic, T.D. Chemical structure and antifungal activity of mint essential oil components. J. Serb. Chem. Soc. 2020, 85, 1149–1161. [Google Scholar] [CrossRef] [Green Version]
- Bautista-Baños, S.; Hernandez-Lauzardo, A.N.; Velázquez-Del Valle, M.G.; Hernandez-Lopez, M.; Ait-Barka, E.; Bosquez-Molina, E.; Wilson, C.L. Chitosan as a potential natural compound to control pre and postharvest diseases of horticultural commodities. Crop Prot. 2006, 25, 108–118. [Google Scholar] [CrossRef]
- Marques, J.L.; Volcão, L.M.; Funck, G.D.; Kroning, I.S.; Silva, W.P.; Fiorentinia, A.M.; Ribeiro, G.A. Antimicrobial Activity of Essential Oils of Origanum vulgare L. and Origanum majorana L. Against Staphylococcus aureus isolated from Poultry Meat. Ind. Crops Prod. 2015, 77, 444–450. [Google Scholar] [CrossRef]
- Piccaglia, R.; Marotti, M.; Giovanelli, E.; Deans, S.G.; Eaglesham, E. Antibacterial and antioxidant properties of Mediterranean aromatic plants. Ind. Crops Prod. 1993, 2, 47–50. [Google Scholar] [CrossRef]
- Lis-Balchin, M.; Deans, S.G. Antimicrobial effects of hydrophilic extracts of Pelargonium species (Geraniaceae). Lett. Appl. Microbiol. 1996, 23, 205–207. [Google Scholar] [CrossRef]
- Naz, R.; Ayub, H.; Nawaz, S.; Islam, Z.U.; Yasmin, T.; Bano, A.; Wakeel, A.; Zia, S.; Roberts, T.H. Antimicrobial activity, toxicity and anti-inflammatory potential of methanolic extracts of four ethnomedicinal plant species from Punjab, Pakistan. BMC Complement Altern Med. 2017, 17, 302. [Google Scholar] [CrossRef]
- Langeveld, W.T.; Veldhuizen, E.J.; Burt, S.A. Synergy between essential oil components and antibiotics: A review. Crit. Rev. Microbiol. 2014, 40, 76–94. [Google Scholar] [CrossRef]
- Ultee, E.; Smid, J. Influence of carvacrol on growth and toxin production by Bacillus cereus. Int. J. Food Microbiol. 2001, 64, 373–378. [Google Scholar] [CrossRef]
- Özkalp, B.; Sevgi, F.; Özcan, M.; Özcan, M.M. The antibacterial activity of essential oil of oregano (Origanum vulgare L.). J. Food Agric. Environ. 2010, 8, 272–274. [Google Scholar]
- Béjaoui, A.; Boulila, A.; Boussaid, M. Chemical composition and biological activities of essential oils and solvent extracts of Origanum vulgare subsp. glandulosum Desf. from Tunisia. J. Med. Plants Res. 2013, 7, 2429–2435. [Google Scholar]
- Shiyab, S.; Shatnawi, M.; Shibli, R.; Al-Zweiri, M.; Akash, M.; Aburijai, T. Influence of developmental stage on yield and composition of Origanum syriacum L. oil by multivariate analysis. J. Med. Plants Res. 2012, 6, 2985–2994. [Google Scholar]
- Baranauskienė, R.; Venskutonis, P.R.; Dambrauskienė, E.; Viškelis, P. Harvesting time influences the yield and oil composition of Origanum vulgare L. ssp. vulgare and ssp. Hirtum. Ind. Crops Prod. 2013, 49, 43–51. [Google Scholar] [CrossRef]
- Al Ahl, H.A.H.S.; Hasnaa, S.A. Hendawy, Effect of potassium humate and nitrogen fertilizer on herb and essential oil of oregano under different irrigation intervals. J. Appl. Sci. 2009, 2, 319–323. [Google Scholar]
- Gümüş, İ.; Şeker, C. Influence of humic acid applications on soil physicochemical properties. Solid Earth 2015, 7, 2481–2500. [Google Scholar]
- Fahramand, M.; Moradi, H.; Noori, M.; Sobhkhizi, A.; Adibian, M.; Abdollahi, S.; Rigi, K. Influence of humic acid on increase yield of plants and soil properties. Int. J. Farming Allied Sci. 2014, 3, 339–341. [Google Scholar]
- Kütük, C.; Çaycı, G.; Baran, A.; Başkan, O. Effect of humic acid on some soil properties. In Proceedings of the International Symposium on Desertification, Konya, Turkey, 13–17 June 2000; Volume 25, pp. 324–328. [Google Scholar]
- Bleam, W.F. Chapter 7—Natural Organic Matter. In Soil and Environmental Chemistry; Academic Press: Cambridge, MA, USA, 2016; pp. 333–384. [Google Scholar]
- Pukalchik, M.; Kydralieva, K.; Yakimenko, O.; Fedoseeva, E.; Terekhova, V. Outlining the potential role of humic products in modifying biological properties of the soil—A review. Front. Environ. Sci. 2019, 7, 80. [Google Scholar] [CrossRef]
- Liu, C.; Cooper, R.J.; Bowman, D.C. Humic acid application affects photosynthesis, root development, and nutrient content of creeping bentgrass. HortScience 1998, 33, 1023–1025. [Google Scholar] [CrossRef] [Green Version]
- Khattab, M.M.; Shaban, A.E.; El-Shrief, A.H.; Mohamed, A.E.D. Effect of humic acid and amino acids on pomegranate trees under deficit irrigation. I: Growth, flowering and fruiting. J. Hortic. Sci. Ornam. Plants 2012, 4, 253–259. [Google Scholar]
- Sangeetha, M.; Singaram, P.; Devi, R.D. Effect of lignite humic acid and fertilizers on the yield of onion and nutrient availability. In Proceedings of 18th World Congress of Soil Science, Philadelphia, PA, USA, 9–15 July 2006. [Google Scholar]
- Khaled, H.; Fawy, H.A. Effect of different levels of humic acids on the nutrient content, plant growth, and soil properties under conditions of salinity. Soil Water Res. 2011, 6, 21–29. [Google Scholar] [CrossRef]
- Hanfy, M.R.; ElShafay, R.M.M.A.; Ali, M.A.M.; Abdallah, S.A.S. Effect of humic acid and acetyl salicylic acid on improving productivity of oregano (Origanum syriacum L.) plant irrigated with saline water. Menoufia J. Plant Prod. 2019, 4, 305–317. [Google Scholar] [CrossRef]
- Noroozisharaf, A.; Kaviani, M. Effect of soil application of humic acid on nutrients uptake, essential oil and chemical compositions of garden thyme (Thymus vulgaris L.) under greenhouse conditions. Physiol. Mol. Biol. Plants 2018, 24, 423–431. [Google Scholar] [CrossRef] [PubMed]
- Verrillo, M.; Cozzolino, V.; Spaccini, R.; Piccolo, A. Humic substances from green compost increase bioactivity and antibacterial properties of essential oils in Basil leaves. Chem. Biol. Technol. Agric. 2021, 8, 28. [Google Scholar] [CrossRef]
- Piccaglia, R.; Marotti, M. Characterization of several aromatic plants grown in northern Italy. Flavour Fragr. J. 1993, 8, 115–122. [Google Scholar] [CrossRef]
- Rowell, D.R. Soil Science: Methods and Applications; Longman: Harlow, UK, 1996. [Google Scholar]
- Walkley, A.; Black, L.A. An examination of the Degtjareff method for determining soil organic metter and a proposed madification of the chramic acid titration method. Soil Sci. 1934, 37, 29–38. [Google Scholar] [CrossRef]
- Olsen, S.R.; Dean, L.A. Phosphorus. In Methods of Soil Analysis, 1st ed.; Black, C.A., Ed.; Part 2. Chemical and Microbiological Properties; Agronomy Series No. 9 (Part 2); American Society of Agronomy, Inc.: Madison, WI, USA, 1965; pp. 1035–1049. [Google Scholar]
- Lindsay, W.L.; Norwell, W.A. Development of a DTPA soil test for Zn, Fe, Mn and Cd. J. Soil Sci. Soc. Am. 1978, 42, 421–428. [Google Scholar] [CrossRef]
- Wichtel, M. Die Pharmakognostich-Chemische Analyse; Band 12; Akademische Verlagsgesselschaft: Frankfurt am Main, Germany, 1971; p. 12. [Google Scholar]
- Approved Standard M2-A7 NCCLS; Performance Standarts for Antimicrobial Disc Susceptility Tests. NCCLS National Committee for Clinical Laboratory Standards: Wayne, PA, USA, 2000.
- İlkimen, H.; Gülbandılar, A. Investigation of Antimicrobial Effects of Lavender, Sage Tea, Thyme and Chamomile. Türk Mikrobiyol. Cem. Derg. 2018, 48, 241–246. [Google Scholar] [CrossRef]
- Collins, C.M.; Lyne, P.M. Microbiologicial Methots; Buttermorths & Co., Ltd.: London, UK, 1987; p. 450. [Google Scholar]
- Sonmez, C. Effect Of Different Harvest Times On Some Yield and Essentıal Oil Characteristics in Origanum onites L. Turk. J. Field Crops 2019, 24, 106–110. [Google Scholar] [CrossRef]
- Putievsky, E.; Ravid, U.; Duda, I.N. The influence of season and harvest frequency on essential oil and herbal yields from a pure clone of sage grown under cultivated conditions. J. Nat. Prod. 1986, 49, 326–329. [Google Scholar] [CrossRef]
- Morelli, F.; Ferarrese, L.; Munhoz, C.L.; Alberton, O. Antimicrobial activity of essential oil and growth of Ocimum basilicum (L.) inoculated with mycorrhiza and humic substances applied to soil. Genet. Mol. Res. 2017, 16, 16039710. [Google Scholar] [CrossRef]
- Mohamed, H.F.; Mahmoud, A.A.; Alatawi, A.; Hegazy, M.H.; Astatkie, T.; Ahl, S.A.; Hussein, A.H. Growth and essential oil responses of Nepeta species to potassium humate and harvest time. Acta Physiol. Plant. 2018, 40, 204. [Google Scholar] [CrossRef]
- Sardashti, A.R.; Assadi-Khanoki, A. Humic Substances Effect and Climatic Tensions on the Growth and Essential Oil Quality of the Cultivated Aloysia triphylla (Iran). Jordan J. Agric. Sci. 2021, 17, 355–376. [Google Scholar] [CrossRef]
- El-Khateeb, M.A.; El-Attar, A.B.; Nour, R.M. Application of plant biostimulants to improve the biological responses and essential oil production of marjoram (Majorana hortensis, Moench) plants. Middle East J. Agric. Res. 2017, 6, 928–941. [Google Scholar]
- Ariafar, S.; Forouzandeh, M. Evaluation of humic acid application on biochemical composition and yield of black cumin under limited irrigation condition. Bull. Soc. R. Sci. Liège 2017, 86, 13–24. [Google Scholar] [CrossRef]
- Conner, D.E.; Beuchat, L.R. Recovery of heat-stressed yeasts in media containing plant oleoresins. J. Appl. Bacteriol. 1985, 59, 49–55. [Google Scholar] [CrossRef]
- Juarez, C.R.; Craker, L.E.; Mendoza, R.D.L.N.R.; Aguilar-Castıllo, J.A. Humic substances and moisture content in the production of biomass and bioactive constituents of Thymus vulgaris L. Rev. Fitotec. Mex. 2011, 34, 183–188. [Google Scholar]
- Oral, N.B.; Vatansever, L.; Aydın, B.D.; Sezer, Ç.; Güven, A.; Gülmez, M.; Başer, K.H.C.; Kürkçüoğlu, M. Effect of oregano essential oil on biofilms formed by Staphylococci and Escherichia coli. Kafkas Univ. Vet. Fak Derg. 2010, 16 (Suppl. A), S23–S29. [Google Scholar]
- Cattelan, M.G.; de Castilhos, M.B.M.; Sales, P.J.P.; Hoffmann, F.L. Antibacterial activity of oregano essential oil against foodborne pathogens. Nutr. Food Sci. 2013, 43, 169–174. [Google Scholar] [CrossRef]
- Licina, B.Z.; Stefanovic, O.D.; Vasic, S.M.; Radojevic, I.D.; Dekic, M.S.; Comic, L.R. Biological activities of the extracts from wild growing Origanum vulgare L. Food Control 2013, 33, 498–504. [Google Scholar] [CrossRef]
- Marchese, A.; Arciola, C.R.; Coppo, E.; Barbieri, R.; Barreca, D.; Chebaibi, S.; Daglia, M. The natural plant compound carvacrol as an antimicrobial and anti-biofilm agent: Mechanisms, synergies and bio-inspired anti-infective materials. Biofouling 2018, 34, 630–656. [Google Scholar] [CrossRef]
- Kilic, T. Analysis of Essential Oil Composition of Thymbra spicata var. spicata: Antifungal, Antibacterial and Antimycobacterial Activities. Z. Nat. C 2006, 61, 324–328. [Google Scholar]
- Béjaoui, A.; Chaabane, H.; Jemli, M.; Boulila, A.; Boussaid, M. Essential oil composition and antibacterial activity of Origanum vulgare subsp. glandulosum Desf. at different phenological stages. J. Med. Food 2013, 16, 1115–1120. [Google Scholar] [PubMed]
- Adam, K.; Sivropoulou, A.; Kokkini, S.; Lanaras, T.; Arsenakis, M. Antifungal activities of Origanum vulgare subsp. hirtum, Mentha spicata, Lavandula angustifolia and Salvia fruticosa essential oils against human pathogenic fungi. J. Agric. Food Chem. 1998, 46, 1739–1745. [Google Scholar]
- Burt, S. Essential oils: Their antibacterial properties and potential applications in foods—A review. Int. J. Food Microbiol. 2004, 94, 223–253. [Google Scholar] [CrossRef] [PubMed]
- Dambolena, J.S.; Zygadlo, J.A.; Rubinstein, H. Antifumonisin activity of natural phenolic compounds: A structure-property-activity relationship study. Int. J. Food Microbiol. 2011, 145, 140–146. [Google Scholar] [CrossRef]
- Ahmad, R.G.; Babak, B. Effects of phenological stages on herbage yield and quality/quantity of oil in garden thyme (Thymus vulgaris L.). J. Med. Plants Res. 2011, 5, 6085–6089. [Google Scholar]
- Nostro, A.; Papalia, T. Antimicrobial activity of carvacrol: Current progress and future prospectives. Recent Pat. Anti-Infect. Drug Discov. 2012, 7, 28–35. [Google Scholar] [CrossRef]
- Jaber, N.N. Antimicrobial efficacy of oregano extracts. Basrah J. Vet. Res. 2012, 11, 23–31. [Google Scholar] [CrossRef]
- Vardar-Unlu, G.; Yagmuroglu, A.; Unlu, M. Evaluation of in vitro activity of carvacrol against Candida albicans strains. Nat. Prod. Res. 2010, 24, 1189–1193. [Google Scholar] [CrossRef]
- Baj, T.; Biernasiuk, A.; Wróbel, R.; Malm, A. Chemical composition and in vitro activity of Origanum vulgare L., Satureja hortensis L., Thymus serpyllum L. and Thymus vulgaris L. essential oils towards oral isolates of Candida albicans and Candida glabrata. Open Chem. 2020, 18, 108–118. [Google Scholar] [CrossRef]
- Ebani, V.V.; Nardoni, S.; Bertelloni, F.; Pollera, C.; Pistelli, L.; Mancianti, F. In vitro antimicrobial activity of selected essential oils against bacteria and yeasts isolated from the genital tract of mares. Nat. Prod. Res. 2022, 36, 2648–2653. [Google Scholar] [CrossRef]
- Mohsen, L.; Jaber, H.; Kamel, W.M. Antibacterial Activity of the Essential Oil Isolated from Origanum vulgare L. (Lamiaceae) Against Multi-Drug Resistant Bacteria. IJDDT 2022, 12, 81–84. [Google Scholar]
- Hao, Y.; Kang, J.; Yang, R.; Li, H.; Cui, H.; Bai, H.; Shi, L. Multidimensional exploration of essential oils generated via eight oregano cultivars: Compositions, chemodiversities, and antibacterial capacities. Food Chem. 2022, 374, 131629. [Google Scholar] [CrossRef]
- Kryvtsova, M.; Hrytsyna, M.; Salamon, I. Chemical Compositıon and Antimicrobial Properties of Essential Oil from Origanum vulgare L. in Different Habitats. Biotechnol. Acta 2020, 13, 64–72. [Google Scholar] [CrossRef]
- Tsitlakidou, P.; Papachristoforou, A.; Tasopoulos, N.; Matzara, A.; Hatzikamari, M.; Karamanoli, K.; Mourtzinos, I. Sensory analysis, volatile profiles and antimicrobial properties of Origanum vulgare L. essential oils. Flavour Fragr. J. 2022, 37, 43–51. [Google Scholar] [CrossRef]
- Bešta-Gajević, R.; Karalija, E.; Jerković-Mujkić, A.; Karadža, D.; Smajlović-Skenderagić, L.; Dahija, S. Antimicrobial and antioxidant activity of the extracts from Origanum vulgare L. growing wild in Bosnia and Herzegovina. Genet. Appl. 2018, 2, 62–66. [Google Scholar] [CrossRef] [Green Version]
- Novak, J.; Lukas, B.; Franz, C. Temperature influences thymol and carvacrol differentially in Origanum spp.(Lamiaceae). J. Essent. Oil Res. 2010, 22, 412–415. [Google Scholar] [CrossRef]
- Sharafzadeh, S. Growth and secondary metabolites of basil, mint and thyme as affected by light. Int. J. Pharma Bio Sci. 2012, 3, 43–46. [Google Scholar]
- Kun, D.N.; Chappell, J.; Boudet, A.; Hahlbrock, K. Induction of phenylalanine ammonia-lyase and 4-coumarate:CoA ligase mRNAs in cultured plant cells by UV light or fungal elicitor. Proc. Natl. Acad. Sci. USA 1984, 81, 1102–1106. [Google Scholar] [CrossRef] [Green Version]



| 2017 | 2018 | |
|---|---|---|
| EC(dS/m) | 0.06 | 0.04 |
| pH | 7.83 | 7.71 |
| CaCO3 (%) | 6.70 | 5.90 |
| Organic Matter (%) | 0.79 | 1.08 |
| P2O5 (kg ha−1) | 0.54 | 0.77 |
| K2O (kg ha−1) | 23.41 | 24.5 |
| Fe (mg kg−1) | 2.57 | 2.84 |
| Zn (mg kg−1) | 0.55 | 0.32 |
| Mn (mg kg−1) | 17.81 | 20.00 |
| Cu (mg kg−1) | 0.95 | 0.82 |
| 2017 | ||||
|---|---|---|---|---|
| Fresh Herb Yield (kg ha−1) | Dry Herb Yield (kg ha−1) | Dry Leaf Yield (kg ha−1) | Essential Oil Content (%) | |
| HAD 1 | ** | ** | ** | ** |
| HT 2 | ** | ** | ** | ** |
| HADxHT | ** | ns 3 | ns | ** |
| 2018 | ||||
| HAD | ** | ** | ** | ** |
| HT | ** | ** | ** | ** |
| HADxHT | ** | * | ns | ns |
| HAD (lt ha−1) | Fresh Herb Yield (kg ha−1) | Dry Herb Yield (kg ha−1) | Dry Leaf Yield (kg ha−1) | Essential Oil Content (%) | ||||||||
|---|---|---|---|---|---|---|---|---|---|---|---|---|
| 2017 | ||||||||||||
| 1. H 1 | 2. H 2 | Mean | 1. H | 2. H | Mean | 1. H | 2. H | Mean | 1. H | 2. H | Mean | |
| HA 0 3 | 593.8 | 320.5 | 457.1b | 188.1 | 101.7 | 144.9b | 77.8 | 40.9 | 59.3b | 5.03 | 3.14 | 4.08b |
| HA 30 4 | 575.2 | 348.9 | 462.0b | 188.5 | 114.4 | 151.4b | 76.5 | 48.4 | 62.4b | 5.10 | 3.86 | 4.48a |
| HA 50 5 | 651.3 | 388.3 | 519.8a | 224.8 | 133.9 | 179.3a | 102.6 | 61.2 | 81.9a | 5.29 | 3.79 | 4.54a |
| Mean | 606.8 a | 352.6 b | 200.5a | 116.67b | 85.6a | 50.2 b | 5.14a | 3.60b | ||||
| 2018 | ||||||||||||
| HA 0 | 706.9 | 433.2 | 570.0c | 268.1 | 163.5 | 215.8b | 84.6 | 50.8 | 67.7b | 5.54 | 2.51 | 4.02b |
| HA 30 | 753.9 | 512.4 | 633.1b | 258.6 | 178.9 | 218.7b | 88.7 | 61.9 | 75.3b | 5.73 | 2.52 | 4.12b |
| HA 50 | 820.4 | 653.2 | 736.8a | 300.8 | 240.7 | 270.7a | 102.7 | 82.9 | 92.8a | 6.12 | 2.76 | 4.44a |
| Mean | 760.4a | 532.9b | 275.8a | 194.3b | 92.0a | 65.2b | 5.79a | 2.59b | ||||
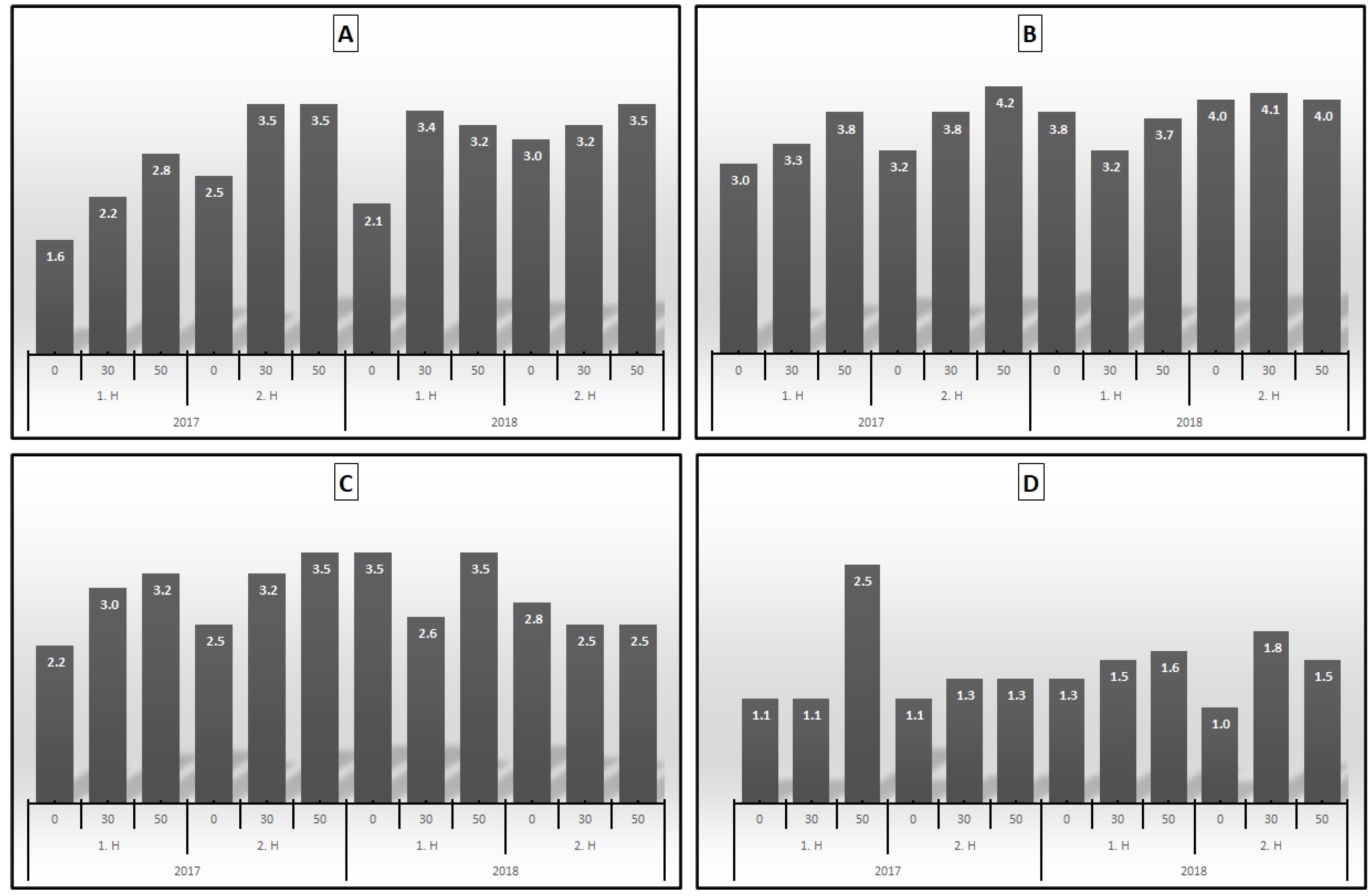
| Year | HT | HAD (L HA ha−1) | A | B | C | D |
|---|---|---|---|---|---|---|
| 2017 | 1. H | 0 | 1.6 | 3.0 | 2.2 | 1.1 |
| 30 | 2.2 | 3.3 | 3.0 | 1.1 | ||
| 50 | 2.8 | 3.8 | 3.2 | 2.5 | ||
| 2. H | 0 | 2.5 | 3.2 | 2.5 | 1.1 | |
| 30 | 3.5 | 3.8 | 3.2 | 1.3 | ||
| 50 | 3.5 | 4.2 | 3.5 | 1.3 | ||
| 2018 | 1. H | 0 | 2.1 | 3.8 | 3.5 | 1.3 |
| 30 | 3.4 | 3.2 | 2.6 | 1.5 | ||
| 50 | 3.2 | 3.7 | 3.5 | 1.6 | ||
| 2. H | 0 | 3.0 | 4.0 | 2.8 | 1.0 | |
| 30 | 3.2 | 4.1 | 2.5 | 1.8 | ||
| 50 | 3.5 | 4.0 | 2.5 | 1.5 |
| A | B | C | D | |
|---|---|---|---|---|
| Vancomycin | 4.2 | 3.8 | Not tested | Not tested |
| Levofloxacin | 3.4 | 3.8 | Not tested | Not tested |
| Cefepime | 3.2 | 3.6 | Not tested | Not tested |
| Fluconazole | Not tested | Not tested | 1.8 | 1.2 |
| HAD (L HA ha−1) | 0 | 30 | 50 | |||||
|---|---|---|---|---|---|---|---|---|
| HT | 1. H | 2. H | 1. H | 2. H | 1. H | 2. H | ||
| RRI | Compounds | Yield % | IM | |||||
| 1032 | α-Pinene | 0.6 | 0.7 | 0.6 | 0.6 | 0.5 | 0.7 | tR, MS |
| 1035 | α-Thujene | 0.7 | 1.2 | 0.7 | 1.4 | 0.7 | 1.1 | MS |
| 1076 | Camphene | 0.2 | 0.2 | 0.1 | 0.2 | 0.2 | 0.2 | tR, MS |
| 1118 | β-Pinene | 0.1 | 0.2 | 0.1 | 0.2 | 0.1 | 0.1 | tR, MS |
| 1132 | Sabinene | 0.1 | 0.4 | tr | 0.1 | tr | - | tR, MS |
| 1174 | Myrcene | 1.7 | 1.6 | 1.6 | 1.8 | 1.5 | 1.7 | tR, MS |
| 1188 | α-Terpinene | 1.2 | 2.2 | 1.2 | 1.9 | 1.4 | 1.4 | tR, MS |
| 1203 | Limonene | 0.2 | 0.5 | 0.2 | 0.4 | 0.2 | 0.3 | tR, MS |
| 1213 | β-Phellandrene | 0.2 | 0.5 | 0.2 | 0.4 | 0.2 | 0.2 | tR, MS |
| 1246 | (Z)-β-Ocimene | - | 0.4 | 0.1 | - | - | - | tR, MS |
| 1255 | γ-Terpinene | 7.7 | 7.8 | 7.4 | 9.8 | 8.2 | 8.2 | tR, MS |
| 1280 | p-Cymene | 5.6 | 10.7 | 6.3 | 9.1 | 5.7 | 8.3 | tR, MS |
| 1290 | Terpinolene | 0.1 | 0.5 | 0.2 | 0.3 | 0.2 | 0.2 | tR, MS |
| 1452 | 1-Octen-3-ol | 0.1 | 0.2 | 0.2 | 0.2 | 0.1 | 0.4 | tR, MS |
| 1474 | trans-Sabinene hydrate | 0.6 | 1.4 | 0.6 | 1.3 | 0.8 | 0.9 | tR, MS |
| 1553 | Linalool | 0.1 | 0.3 | 0.1 | 0.2 | 0.2 | 0.1 | tR, MS |
| 1556 | cis-Sabinene hydrate | 1.7 | 7.8 | 2. | 5.6 | 2.9 | 2.9 | tR, MS |
| 1571 | trans-p-Menth-2-en-1-ol | - | 0.2 | - | - | - | - | MS |
| 1611 | Terpinen-4-ol | 0.8 | 2.5 | 0.8 | 2.2 | 1.0 | 1.1 | tR, MS |
| 1612 | β-Caryophyllene | 0.9 | 1.4 | 0.9 | 1.0 | 0.8 | 1.1 | tR, MS |
| 1614 | Carvacrol methyl ether | 0.2 | 0.2 | 0.1 | - | 0.2 | 0.1 | tR, MS |
| 1687 | α-Humulene | 0.1 | 0.1 | 0.1 | 0.4 | 0.1 | - | tR, MS |
| 1706 | α-Terpineol | 0.5 | 1.1 | 0.5 | 0.9 | 0.5 | 0.6 | tR, MS |
| 1719 | Borneol | - | - | - | - | - | - | tR, MS |
| 1741 | β-Bisabolene | 0.5 | 0.4 | 0.4 | - | 0.3 | 0.4 | tR, MS |
| 2198 | Thymol | 0.3 | 0.2 | 0.2 | 0.2 | 0.2 | 0.1 | tR, MS |
| 2239 | Carvacrol | 75.4 | 56.4 | 74.4 | 61.4 | 73.5 | 69.2 | tR, MS |
| HAD (L HA ha−1) | 0 | 30 | 50 | |||||
|---|---|---|---|---|---|---|---|---|
| HT | 1. H | 2. H | 1. H | 2. H | 1. H | 2. H | ||
| RRI | Compounds | Yield % | IM | |||||
| 1032 | α-Pinene | 0.7 | 0.4 | 0.6 | 0.5 | 0.6 | 0.5 | tR, MS |
| 1035 | α-Thujene | 0.3 | 0.9 | 1.1 | 1.0 | 1.2 | 1.1 | MS |
| 1076 | Camphene | - | 0.1 | - | 0.1 | 0.1 | 0.1 | tR, MS |
| 1118 | β-Pinene | - | 0.1 | - | 0.1 | 0.1 | 0.2 | tR, MS |
| 1132 | Sabinene | - | 0.4 | - | tr | - | 2.0 | tR, MS |
| 1174 | Myrcene | 1.4 | 1.2 | 1.6 | 1.2 | 1.7 | 1.4 | tR, MS |
| 1188 | α-Terpinene | 1.1 | 1.2 | 1.0 | 0.8 | 1.1 | 1.8 | tR, MS |
| 1203 | Limonene | - | 0.3 | - | 0.2 | 0.2 | 0.5 | tR, MS |
| 1213 | β-Phellandrene | - | 0.3 | - | 0.2 | 0.2 | 0.5 | tR, MS |
| 1246 | (Z)-β-Ocimene | - | 0.4 | - | - | - | - | tR, MS |
| 1255 | γ-Terpinene | 3.3 | 4.6 | 6.5 | 5.4 | 7.5 | 4.6 | tR, MS |
| 1280 | p-Cymene | 7.8 | 4.5 | 6.7 | 9.8 | 6.6 | 3.0 | tR, MS |
| 1290 | Terpinolene | - | 0.3 | - | 0.1 | 0.1 | 0.6 | tR, MS |
| 1452 | 1-Octen-3-ol | - | 0.4 | - | 0.9 | 0.1 | 0.2 | tR, MS |
| 1474 | trans-Sabinene hydrate | 0.2 | 1.6 | 0.8 | 0.8 | 0.8 | 2.4 | tR, MS |
| 1553 | Linalool | - | 0.9 | - | 0.2 | 0.1 | 0.7 | tR, MS |
| 1556 | cis-Sabinene hydrate | 0.2 | 7.9 | 1.1 | 1.1 | 1.0 | 1.8 | tR, MS |
| 1571 | trans-p-Menth-2-en-1-ol | - | 0.4 | - | - | - | 0.5 | MS |
| 1611 | Terpinen-4-ol | 0.5 | 4.6 | 0.7 | 0.8 | 0.4 | 7.2 | tR, MS |
| 1612 | β-Caryophyllene | 0.8 | 1.0 | 1.0 | 0.8 | 0.8 | 1.2 | tR, MS |
| 1614 | Carvacrol methyl ether | 0.8 | - | - | 0.1 | 0.2 | - | tR, MS |
| 1687 | α-Humulene | - | 0.1 | - | 0.1 | 0.1 | 0.1 | tR, MS |
| 1706 | α-Terpineol | - | 1.1 | - | 0.2 | - | 1.5 | tR, MS |
| 1719 | Borneol | - | - | - | 0.3 | - | - | tR, MS |
| 1741 | β-Bisabolene | - | 0.5 | - | 0.6 | - | 0.3 | tR, MS |
| 2198 | Thymol | 0.6 | 0.3 | 0.4 | 0.3 | 0.3 | 0.2 | tR, MS |
| 2239 | Carvacrol | 72.7 | 63.9 | 77.4 | 72.6 | 75.3 | 50.5 | tR, MS |
Publisher’s Note: MDPI stays neutral with regard to jurisdictional claims in published maps and institutional affiliations. |
© 2022 by the authors. Licensee MDPI, Basel, Switzerland. This article is an open access article distributed under the terms and conditions of the Creative Commons Attribution (CC BY) license (https://creativecommons.org/licenses/by/4.0/).
Share and Cite
Aytaç, Z.; Gülbandılar, A.; Kürkçüoğlu, M. Humic Acid Improves Plant Yield, Antimicrobial Activity and Essential Oil Composition of Oregano (Origanum vulgare L. subsp. hirtum (Link.) Ietswaart). Agronomy 2022, 12, 2086. https://doi.org/10.3390/agronomy12092086
Aytaç Z, Gülbandılar A, Kürkçüoğlu M. Humic Acid Improves Plant Yield, Antimicrobial Activity and Essential Oil Composition of Oregano (Origanum vulgare L. subsp. hirtum (Link.) Ietswaart). Agronomy. 2022; 12(9):2086. https://doi.org/10.3390/agronomy12092086
Chicago/Turabian StyleAytaç, Zehra, Aysel Gülbandılar, and Mine Kürkçüoğlu. 2022. "Humic Acid Improves Plant Yield, Antimicrobial Activity and Essential Oil Composition of Oregano (Origanum vulgare L. subsp. hirtum (Link.) Ietswaart)" Agronomy 12, no. 9: 2086. https://doi.org/10.3390/agronomy12092086
APA StyleAytaç, Z., Gülbandılar, A., & Kürkçüoğlu, M. (2022). Humic Acid Improves Plant Yield, Antimicrobial Activity and Essential Oil Composition of Oregano (Origanum vulgare L. subsp. hirtum (Link.) Ietswaart). Agronomy, 12(9), 2086. https://doi.org/10.3390/agronomy12092086
