Wild Plants Used by Tibetans in Burang Town, Characterized by Alpine Desert Meadow, in Southwestern Tibet, China
Abstract
:1. Introduction
2. Materials and Methods
2.1. Study Sites
2.2. Ethnobotanical Field Study
2.3. Data Analysis
3. Results
3.1. Diversity of Wild Useful Plants and Their Habitats
3.2. Use Categories of Wild Useful Species
3.2.1. Wild Edible Plants
3.2.2. Wild Medicinal Plants
3.2.3. Wild Plants Used for Other Purposes
3.3. The Most Popularly Used Wild Plants
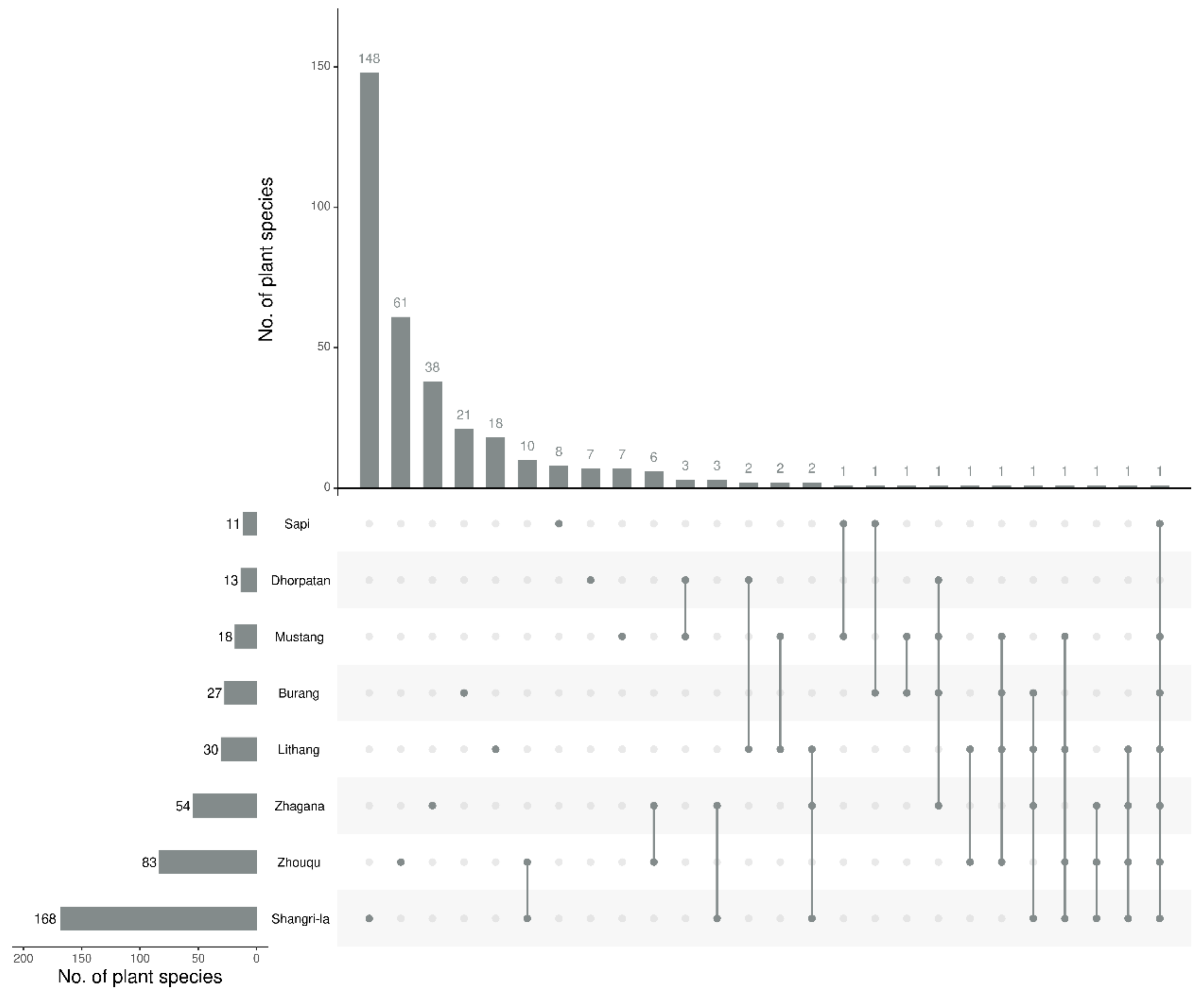
3.4. Comparison of Wild Edible Plants Used by Tibetans in Different Regions
4. Discussion
4.1. Important Wild Useful Plants
4.2. The Relationship between Subsistence Patterns and Plant Utilisation in Burang
4.3. Alpine Meadows and Agricultural Systems: An Important but Neglected Area of Plant Collection
5. Conclusions
Author Contributions
Funding
Institutional Review Board Statement
Informed Consent Statement
Data Availability Statement
Acknowledgments
Conflicts of Interest
References
- Ahmad, K.; Pieroni, A. Folk knowledge of wild food plants among the tribal communities of Thakht-e-Sulaiman Hills, North-West Pakistan. J. Ethnobiol. Ethnomed. 2016, 12, 17. [Google Scholar] [CrossRef] [Green Version]
- Boesi, A. Traditional knowledge of wild food plants in a few Tibetan communities. J. Ethnobiol. Ethnomed. 2014, 10, 75. [Google Scholar] [CrossRef] [PubMed] [Green Version]
- Rana, D.; Bhatt, A.; Lal, B. Ethnobotanical knowledge among the semi-pastoral Gujjar tribe in the high altitude (Adhwari’s) of Churah subdivision, district Chamba, Western Himalaya. J. Ethnobiol. Ethnomed. 2019, 15, 10. [Google Scholar] [CrossRef] [PubMed] [Green Version]
- Thorn, J.P.R.; Thornton, T.F.; Helfgott, A.; Willis, K.J. Indigenous uses of wild and tended plant biodiversity maintain ecosystem services in agricultural landscapes of the Terai Plains of Nepal. J. Ethnobiol. Ethnomed. 2020, 16, 33. [Google Scholar] [CrossRef]
- Kunwar, R.M.; Fadiman, M.; Cameron, M.; Bussmann, R.W.; Thapa-Magar, K.B.; Rimal, B.; Prabhat, S. Cross-cultural comparison of plant use knowledge in Baitadi and Darchula districts, Nepal Himalaya. J. Ethnobiol. Ethnomed. 2018, 14, 40. [Google Scholar] [CrossRef] [Green Version]
- Ojha, S.N.; Tiwari, D.; Anand, A.; Sundriyal, R.C. Ethnomedicinal knowledge of a marginal hill community of Central Himalaya: Diversity, usage pattern, and conservation concerns. J. Ethnobiol. Ethnomed. 2020, 16, 29. [Google Scholar] [CrossRef] [PubMed]
- Singh, A.; Nautiyal, M.C.; Kunwar, R.M.; Bussmann, R.W. Ethnomedicinal plants used by local inhabitants of Jakholi block, Rudraprayag district, western Himalaya, India. J. Ethnobiol. Ethnomed. 2017, 13, 49. [Google Scholar] [CrossRef] [PubMed] [Green Version]
- Wester, P.; Mishra, A.; Mukherji, A.; Shrestha, A.B. The Hindu Kush Himalaya Assessment: Mountains, Climate Change, Sustainability and People; Springer: Cham, Switzerland, 2019. [Google Scholar]
- Kang, Y.X.; Luczaj, L.; Kang, J.; Wang, F.; Hou, J.J.; Guo, Q.P. Wild food plants used by the Tibetans of Gongba Valley (Zhouqu county, Gansu, China). J. Ethnobiol. Ethnomed. 2014, 10, 20. [Google Scholar] [CrossRef] [PubMed] [Green Version]
- Abbas, Z.; Khan, S.M.; Abbasi, A.M.; Pieroni, A.; Ullah, Z.; Iqbal, M.; Ahmad, Z. Ethnobotany of the Balti community, Tormik valley, Karakorum range, Baltistan, Pakistan. J. Ethnobiol. Ethnomed. 2016, 12, 38. [Google Scholar] [CrossRef] [PubMed] [Green Version]
- Malaisse, F.; Lognay, G.; Haubruge, E.; Mathieu, F.; Marlier, M.; Malaisse, F. Ophioglossum polyphyllum A. Braun in Seub. (Ophioglossaceae, Pteridophyta), a rare potherb in south central Tibet (TARPRChina). Geo-Eco-Trop 2008, 32, 9–16. [Google Scholar]
- Abbas, Z.; Khan, S.M.; Alam, J.; Khan, S.W.; Abbasi, A.M. Medicinal plants used by inhabitants of the Shigar Valley, Baltistan region of Karakorum range-Pakistan. J. Ethnobiol. Ethnomed. 2017, 13, 53. [Google Scholar] [CrossRef] [PubMed]
- Ahmad, M.; Sultana, S.; Fazl-I-Hadi, S.; ben Hadda, T.; Rashid, S.; Zafar, M.; Khan, M.A.; Khan, M.P.Z.; Yaseen, G. An ethnobotanical study of medicinal plants in high mountainous region of Chail valley (District Swat- Pakistan). J. Ethnobiol. Ethnomed. 2014, 10, 36. [Google Scholar] [CrossRef] [Green Version]
- Bano, A.; Ahmad, M.; Ben Hadda, T.; Saboor, A.; Sultana, S.; Zafar, M.; Arshad, M.; Ashraf, M.A. Quantitative ethnomedicinal study of plants used in the skardu valley at high altitude of Karakoram-Himalayan range, Pakistan. J. Ethnobiol. Ethnomed. 2014, 10, 43. [Google Scholar] [CrossRef] [PubMed] [Green Version]
- Ijaz, F.; Iqbal, Z.; Rahman, I.U.; Alam, J.; Khan, S.M.; Shah, G.; Khan, K.; Afzal, A. Investigation of traditional medicinal floral knowledge of Sarban Hills, Abbottabad, KP, Pakistan. J. Ethnopharmacol. 2016, 179, 208–233. [Google Scholar] [CrossRef] [PubMed]
- Ding, X.Y.; Zhang, Y.; Wang, L.; Zhuang, H.F.; Chen, W.Y.; Wang, Y.H. Collection calendar: The diversity and local knowledge of wild edible plants used by Chenthang Sherpa people to treat seasonal food shortages in Tibet, China. J. Ethnobiol. Ethnomed. 2021, 17, 40. [Google Scholar] [CrossRef] [PubMed]
- Kumar, M.; Sheikh, M.A.; Bussmann, R.W. Ethnomedicinal and ecological status of plants in Garhwal Himalaya, India. J. Ethnobiol. Ethnomed. 2011, 7, 32. [Google Scholar] [CrossRef] [Green Version]
- Aryal, K.P.; Poudel, S.; Chaudhary, R.P.; Chettri, N.; Chaudhary, P.; Ning, W.; Kotru, R. Diversity and use of wild and non-cultivated edible plants in the Western Himalaya. J. Ethnobiol. Ethnomed. 2018, 14, 10. [Google Scholar] [CrossRef]
- Wu, Z.Y. Vegetations in China; Science Press: Beijing, China, 1980. [Google Scholar]
- Zhang, C.; Lu, Y.; Feng, Q.; Wang, X.; Lou, H.; Liu, J.; Ning, Z.; Yuan, K.; Wang, Y.; Zhou, Y.; et al. Differentiated demographic histories and local adaptations between Sherpas and Tibetans. Genome Biol. 2017, 18, 115. [Google Scholar] [CrossRef] [Green Version]
- Kang, J.; Kang, Y.; Ji, X.; Guo, Q.; Jacques, G.; Pietras, M.; Łuczaj, N.; Li, D.; Łuczaj, Ł. Wild food plants and fungi used in the mycophilous Tibetan community of Zhagana (Tewo County, Gansu, China). J. Ethnobiol. Ethnomed. 2016, 12, 21. [Google Scholar] [CrossRef] [Green Version]
- Ju, Y.; Zhuo, J.; Liu, B.; Long, C. Eating from the wild: Diversity of wild edible plants used by Tibetans in Shangri-la region, Yunnan, China. J. Ethnobiol. Ethnomed. 2013, 9, 28. [Google Scholar] [CrossRef] [Green Version]
- Liu, Y.; Dao, Z.; Yang, C.; Liu, Y.; Long, C. Medicinal plants used by Tibetans in Shangri-la, Yunnan, China. J. Ethnobiol. Ethnomed. 2009, 5, 15. [Google Scholar] [CrossRef] [PubMed] [Green Version]
- Malaisse, F.; Claus, W.; Drolkar, P.; Lopsang, R.; Wangdu, L.; Mathieu, F. Ü Ethnomycology and Ethnobotany (South Central Tibet). Diversity, with emphasis on two underrated targets: Plants used for dyeing and incense. Geo-Eco-Trop 2012, 36, 185–199. [Google Scholar]
- Turner, N.J.; Łuczaj, Ł.J.; Migliorini Pieroni, A.; Dreon, A.L.; Sacchetti, L.E.; Paoletti, M.G. Edible and tended wild plants, traditional ecological knowledge and agroecology. Crit. Rev. Plant Sci. 2011, 30, 198–225. [Google Scholar] [CrossRef]
- Wu, S.H.; Yan, J.Z.; Zhang, Y.L.; Peng, T.; Su, K.C. Exploring the evolution process and driving mechanism of traditional trade routes in Himalayan region. Acta Geogr. Sin. 2021, 76, 2157–2173. [Google Scholar] [CrossRef]
- Peng, C. County Annals of Burang; Bashu Publishing House of Sichuan Publishing Group: Chengdu, China, 2011. [Google Scholar]
- Duan, C.; Shi, P.L.; Zong, N.; Zhang, X.Z. Analysis of the Potential for Crop-Livestock Integration in Burang County. China J. Resour. Ecol. 2020, 11, 69–76. [Google Scholar] [CrossRef]
- Editoral Committee of Flora of China. Flora of China; Science Press: Beijing, China, 2013. [Google Scholar]
- Editoral Committee of Flora of Xizang. Flora of Xizang; Science Press: Beijing, China, 2013. [Google Scholar]
- The Plant List. Version 1.1. Available online: http://www.theplantlist.org/ (accessed on 1 October 2021).
- Trotter, R.T.; Logan, M.H. Informant consensus: A new approach for identifying potentially effective medicinal plants. In Plants in Indigenous Medicine and Diet: Biobehavioral Approaches; Etkin, N.L., Ed.; Redgrave Bedford Hills: New York, NY, USA, 1986; pp. 91–112. [Google Scholar]
- Tardio, J.; Pardo-De-Santayana, M. Cultural importance indices: A comparative analysis based on the useful wild plants of southern Cantabria (northern Spain). Econ. Bot. 2008, 62, 24–39. [Google Scholar] [CrossRef]
- IUCN 2021. The IUCN Red List of Threatened Species. Version 2021-2. Available online: https://www.iucnredlist.org (accessed on 20 October 2021).
- Chen, W.-Y.; Yang, T.; Yang, J.; Qiu, Z.-C.; Ding, X.-Y.; Wang, Y.-H. Wild plants used by the Lhoba people in Douyu Village, characterized by high mountains and valleys, in southeastern Tibet, China. J. Ethnobiol. Ethnomed. 2021, 17, 46. [Google Scholar] [CrossRef]
- Cook, F. Economic Botany Data Collection Standards, Prepared for the International Working Group on Taxonomic Database for Plant Science (TDWG); Royal Botanic Gardens, Kew: London, UK, 1995. [Google Scholar]
- Tariq, A.; Mussarat, S.; Adnan, M.; Abd Allah, E.F.; Hashem, A.; Alqarawi, A.A.; Ullah, R. Ethnomedicinal evaluation of medicinal plants used against gastrointestinal complaints. BioMed Res. Int. 2015, 2015, 892947. [Google Scholar] [CrossRef] [Green Version]
- Yang, J.; Chen, W.Y.; Fu, Y.; Yang, T.; Luo, X.D.; Wang, Y.H. Medicinal and edible plants used by the Lhoba people in Medog County, Tibet, China. J. Ethnopharmacol. 2020, 249, 112430. [Google Scholar] [CrossRef]
- Li, S.; Zhang, Y.; Guo, Y.; Yang, L.; Wang, Y. Monpa, memory, and change: An ethnobotanical study of plant use in Mêdog County, South-east Tibet, China. J. Ethnobiol. Ethnomed. 2020, 16, 5. [Google Scholar] [CrossRef] [Green Version]
- Farooquee, N.A.; Saxena, K.G. Conservation and utilisation of medicinal plants in high hills of the central Himalayas. Environ. Conserv. 1996, 23, 75–80. [Google Scholar] [CrossRef]
- Aziz, M.A.; Khan, A.H.; Pieroni, A. Ethnoveterinary plants of Pakistan: A review. J. Ethnobiol. Ethnomed. 2020, 16, 25. [Google Scholar] [CrossRef] [PubMed]
- Saslis-Lagoudakis, C.H.; Hawkins, J.A.; Greenhill, S.J.; Pendry, C.A.; Watson, M.F.; Tuladhar-Douglas, W.; Baral, S.R.; Savolainen, V. The evolution of traditional knowledge: Environment shapes medicinal plant use in Nepal. Proc. Biol. Sci. 2014, 281, 20132768. [Google Scholar] [CrossRef] [PubMed] [Green Version]
- Bussmann, R.W.; Zambrana, N.Y.P.; Rahman, I.U.; Kikvidze, Z.; Sikharulidze, S.; Kikodze, D.; Tchelidze, D.; Khutsishvili, M.; Batsatsashvili, K. Unity in diversity-food plants and fungi of Sakartvelo (Republic of Georgia), Caucasus. J. Ethnobiol. Ethnomed. 2021, 17, 72. [Google Scholar] [CrossRef] [PubMed]
- Bhatia, H.; Sharma, Y.P.; Manhas, R.K.; Kumar, K. Traditionally used wild edible plants of district Udhampur, J&K, India. J. Ethnobiol. Ethnomed. 2018, 14, 73. [Google Scholar] [CrossRef] [PubMed]
- Wang, L.; Qiang, B.C.R. The Complete Works of Wall Charts of the Four Medical Canons; Tibet People’s Publishing House: Lhasa, China, 1986. [Google Scholar]
- Xiao, P.G.; He, L.Y.; Wang, L.W. Ethnopharmacologic study of Chinese rhubarb. J. Ethnopharmacol. 1984, 10, 275–293. [Google Scholar] [CrossRef]
- Uniyal, S.K.; Awasthi, A.; Rawat, G.S. Current status and distribution of commercially exploited medicinal and aromatic plants in upper Gori valley, Kumaon Himalaya, Uttaranchal. Curr. Sci. 2002, 82, 1246–1252. [Google Scholar] [CrossRef] [Green Version]
- Singh, P.; Negi, J.S.; Rawat, M.S.; Joshi, G. Determination of trace elements in Rheum moorcroftianum by AAS. Nat. Prod. Res. 2012, 26, 161–166. [Google Scholar] [CrossRef]
- Rana, M.S.; Samant, S.S. Threat categorisation and conservation prioritisation of floristic diversity in the Indian Himalayan region: A state of art approach from Manali Wildlife Sanctuary. J. Nat. Conserv. 2010, 18, 159–168. [Google Scholar] [CrossRef]
- Akhtar, R.; Negi, J.S.; Naithani, R. Study on dyeing property of Rheum species: Indigenous methods used by Bhotia tribe of Central Himalayas. Colourage 2011, 58, 61–64. [Google Scholar]
- Liberale, L.; Montecucco, F.; Carbone, F. Pharmacological Properties of the Plant-derived natural products Cannabinoids and implications for cardiovascular health. Adv. Exp. Med. Biol. 2021, 1308, 249–255. [Google Scholar] [CrossRef] [PubMed]
- Zhu, G.L. Origin, differentiation, and geographic distribution of the Chenopodiaceae. Acta Phytotaxon Sin. 1996, 34, 486–504. [Google Scholar]
- Lans, C.; Turner, N. Organic parasite control for poultry and rabbits in British Columbia, Canada. J. Ethnobiol. Ethnomed. 2011, 7, 21. [Google Scholar] [CrossRef] [Green Version]
- Luczaj, L.; Szymanski, W.M. Wild vascular plants gathered for consumption in the Polish countryside: A review. J. Ethnobiol. Ethnomed. 2007, 3, 17. [Google Scholar] [CrossRef] [Green Version]
- Abbasi, A.M.; Khan, M.A.; Shah, M.H.; Shah, M.M.; Pervez, A.; Ahmad, M. Ethnobotanical appraisal and cultural values of medicinally important wild edible vegetables of Lesser Himalayas-Pakistan. J. Ethnobiol. Ethnomed. 2013, 9, 66. [Google Scholar] [CrossRef] [PubMed] [Green Version]
- Salick, J.; Biun, A.; Martin, G.; Beaman, A.R. Whence useful plants? A direct relationship between biodiversity and useful plants among the Dusun of Mt. Kinabalu. Biodivers. Conserv. 1999, 8, 797–818. [Google Scholar] [CrossRef]
- Weckerle, C.S.; Huber, F.K.; Yang, Y.P.; Sun, W.B. Plant knowledge of the Shuhi in the Hengduan Mountains, Southwest China. Econ. Bot. 2006, 60, 3–23. [Google Scholar] [CrossRef] [Green Version]
- Kunwar, R.M.; Bussmann, R.W. Ethnobotany in the Nepal Himalaya. J. Ethnobiol. Ethnomed. 2008, 4, 24. [Google Scholar] [CrossRef] [Green Version]
- Salick, J.; Fang, Z.; Byg, A. Eastern Himalayan alpine plant ecology, Tibetan ethnobotany, and climate change. Glob. Environ. Chang. 2009, 19, 147–155. [Google Scholar] [CrossRef]
- De Albuquerque, U.P. Re-examining hypotheses concerning the use and knowledge of medicinal plants: A study in the Caatinga vegetation of NE Brazil. J. Ethnobiol. Ethnomed. 2006, 2, 30. [Google Scholar] [CrossRef] [Green Version]
- Voeks, R.A. Disturbance pharmacopoeias: Medicine and myth from the humid tropics. Ann. Assoc. Am. Geogr. 2004, 94, 868–888. [Google Scholar]
- Estomba, D.; Ladio, A.; Lozada, M. Medicinal wild plant knowledge and gathering patterns in a Mapuche community from North-western Patagonia. J. Ethnopharmacol. 2006, 103, 109–119. [Google Scholar] [CrossRef] [PubMed]
- N’Woueni, D.K.; Gaoue, O.G. Species ethnobotanical values rather than regional species pool determine plant diversity in agroforestry systems. Sci. Rep. 2021, 11, 23972. [Google Scholar] [CrossRef]
- Huang, Z.H.; Wang, X.X.; Zhang, W. Human development assessment and evolution analysis on the Qinghai-Tibet Plateau. Sci. Geogr. Sin. 2021, 41, 1088–1095. [Google Scholar] [CrossRef]
- Yang, H.; Ranjitkar, S.; Deli, Z.; Zhong, M.; Goldberg, S.; Salim, A.; Wang, Z.; Jiang, Y.; Xu, J. Role of Traditional Ecological Knowledge and Seasonal Calendars in the Context of Climate Change: A Case Study from China. Sustainability 2019, 11, 3243. [Google Scholar] [CrossRef] [Green Version]








| Characteristics | Number | Number |
|---|---|---|
| Villages | Rengong Village | 21 |
| Duoyou Village | 22 | |
| Chide Village | 11 | |
| Xide Village | 28 | |
| Kejia Village | 17 | |
| Gender | Female | 40 |
| Male | 59 | |
| Age groups | 21–40 | 8 |
| 41–60 | 47 | |
| Above 60 | 45 | |
| Education level | Illiterate | 31 |
| Primary | 59 | |
| Secondary | 6 | |
| High school | 1 | |
| above | 2 |
| Family | Species | Venecular Name (Tibetan Script) | Local Use (Parts Used) | Collection Site | CI | Voucher Number |
|---|---|---|---|---|---|---|
| Amaranthaceae | Chenopodium album L. | niu (ནུའུ།) | Food: cooked vegetable (stems and leaves). Medicinal: consumed with yogurt to treat motion sickness or as restorative (stems and leaves). Fodder: yak feed (aerial parts). | cropland | 0.75 | EBT-PL-24 |
| Amaranthaceae | Salsola tragus L. | ye si (ཡད་སི།) | Food: cooked vegetable (tender stems and leaves). Fodder: yak feed (aerial parts). | cropland | 0.12 | EBT-PL-2 |
| Amaranthaceae | Krascheninnikovia ceratoides (L.) Gueldenst. | jia bu xin (ཅ་པུའུ་ཞིན།) | Fodder: yak feed (aerial parts). Fuel: used to strike a fire (aerial parts). | cropland | 0.07 | EBT-PL-34 |
| Amaryllidaceae | Allium przewalskianum Regel | zen bu (བཟིན་པུའུ།) | Food: seasoning, cooked vegetable (whole plants). | alpine pasture | 0.74 | EBT-PL-50 |
| Amaryllidaceae | Allium carolinianum DC. | ri guo (རི་གོད།), guo-ba-ri-guo (གོད་པ་རི་གོད།) | Food: seasoning, cooked vegetable (whole plants). | cropland | 0.39 | EBT-PL-3 |
| Apiaceae | Carum carvi L. | kuo nie (ཁུའུ་ནེ།), kuo-li-ma (ཁུའུ་ལི་མ།) | Food: cooked vegetable (tender aerial parts); seasoning (seeds). Medicinal: used to treat headache, toothache, hypertension, mountain sickness (seeds); cooked and mixed with tsampa to treat arthritis (tender aerial parts). | cropland | 1.88 | EBT-PL-37 |
| Apiaceae | Vicatia thibetica H. Boissieu | pang bu (ཕང་པུའུ།) | Fodder: yak feed (aerial parts). | cropland | 0.05 | EBT-PL-11 |
| Boraginaceae | Arnebia euchroma (Royle) Johnst. | mu zi (མུའུ་བཟི།) | Medicinal: liniment, used to treat nappy rash, baldness, acne (roots). Dye plant (roots). Ritual plant (roots). Incense plant (roots). | cropland | 0.29 | EBT-PL-52 |
| Brassicaceae | Christolea crassifolia Cambess. | tu zi ra (ཐུའུ་བཟི་ར།) | Fodder: yak feed (aerial parts). Fuel: used to strike a fire (aerial parts). | cropland | 0.03 | EBT-PL-64 |
| Caprifoliaceae | Lonicera spinosa (Decne.) Jacq. ex Walp. | zhai (ཀྲད།), jie gong zhong (ཅད་ཀོན་བྲོན།) | Food: fruit (fruits). Fuel: fuelwood (whole plants). | alpine pasture and cropland | 0.41 | EBT-PL-42 |
| Caprifoliaceae | Nardostachys jatamansi (D. Don) DC. | bang bu (པང་པུའུ།) | Incense plant (rhizomes). | alpine pasture | 0.38 | EBT-PL-100 |
| Caprifoliaceae | Lonicera rupicola Hook. f. & Thomson | zhai (ཀྲད།) | Food: fruit (fruits). Fuel: fuelwood (whole plants). | alpine pasture and cropland | 0.23 | EBT-PL-41 |
| Caryophyllaceae | Lepyrodiclis holosteoides (C.A. Mey.) Fenzl ex Fisch. & C.A. Mey. | men duo guo ra (མིན་ཏུའོ་གོ་ར།) | Food: cooked vegetable (tender aerial parts). Medicinal: liniment, emollient (leaves). Fodder: yak feed (whole plants). | cropland | 0.42 | EBT-PL-53 |
| Caryophyllaceae | Silene moorcroftiana Wall. ex Benth. | che ru (ཁྲུ་རུའུ།) | Fuel: kindling (whole plants). | alpine pasture | 0.04 | EBT-PL-32 |
| Compositae | Waldheimia glabra (Decne.) Regel | kang ba (ཁང་པ།) | Medicinal: liniment, the flowers are boiled in water or the leaves are crushed and applied on the face to treat infestations and poisonings due to: bites and stings (leaves and flowers). Incense plant (whole plants). Fuel: kindling (whole plants). | cropland | 0.69 | EBT-PL-62 |
| Compositae | Artemisia roxburghiana Bess. | bu r kan ba (པུའུ་ར་ཁན་པ།) | Medicinal: smoke therapy to treat lnfections (aerial parts). Incense plant (aerial parts). Ritual plant: funeral ceremony (aerial parts). Fuel plant (aerial parts). Fodder (tender aerial parts). | cropland | 0.42 | EBT-PL-60 |
| Compositae | Artemisia desertorum Spreng. | pu lu mo (ཕུའུ་ལུའུ་མོ།), chuo bu (ཁྲུའོ་པུའུ།) | Medicinal: smoke therapy to treat lnfections (aerial parts). Incense plant (aerial parts). | cropland | 0.36 | EBT-PL-99 |
| Compositae | Saussurea tridactyla Sch.Bip. ex Hook.f. | gang la mei duo (གངས་ལ་མེ་ཏོག) | Medicinal: medical liquors, liniment, used to treat arthritis (aerial parts). Economic plant (aerial parts). | cropland | 0.31 | EBT-PL-21 |
| Compositae | Aster acer Roehl. | kang ga bu (ཁང་ག་པུའུ།) | Medicinal: smoke therapy to treat lnfections (aerial parts). Incense plant (aerial parts). | alpine pasture | 0.28 | EBT-PL-18 |
| Compositae | Artemisia sp. | kan ba la bu (ཁན་པ་ལ་པུའུ།) | Incense plant (aerial parts). | cropland | 0.12 | EBT-PL-27 |
| Compositae | Artemisia demissa Krasch. | kan ba sei bu (ཁན་པ་སུས་པུའུ།) | Incense plant (aerial parts). | cropland | 0.12 | EBT-PL-7 |
| Compositae | Artemisia annua L. | kan ba la ge lang (ཁན་པ་ལ་གི་ལང་།) | Incense plant (aerial parts). Fodder (tender aerial parts). | cropland | 0.11 | EBT-PL-8 |
| Compositae | Saussurea medusa Maxim. | gang la mei duo (གངས་ལ་མེ་ཏོག) | Medicinal: medical liquors, liniment, used to treat arthritis (aerial parts). Economic plant (aerial parts). | alpine pasture | 0.09 | EBT-PL-12 |
| Compositae | Cirsium arvense (L.) Scop. | da zi la (ཏ་ཟི་ལ།), ci ma (ཚི་མ།) | Fodder: yak feed (aerial parts). | cropland | 0.05 | EBT-PL-9 |
| Compositae | Hypochaeris ciliata (Thunb.) Makino | mo nu (མོ་ནུའུ།) | Incense plant (aerial parts). | cropland | 0.04 | EBT-PL-6 |
| Compositae | Carlina biebersteinii Bernh. ex Hornem. | jiang zi (ཅང་ཟི།) | Fodder: yak feed (aerial parts). | cropland | 0.04 | EBT-PL-25 |
| Compositae | Leontopodium leontopodioides (Willd.) Beauv. | zha (བཀྲ།) | Fuel: kindling (whole plants). | alpine pasture | 0.04 | EBT-PL-23 |
| Compositae | Taraxacum eriopodum (D.Don) DC. | dia dong (ད་དུང་།) | Medicinal: potions, used to treat gastritis (whole plants). | cropland | 0.04 | EBT-PL-83 |
| Compositae | Artemisia stracheyi Hook. f. et Thoms. | kan jiong ga bu (མཁན་པ་ག་པོ།) | Incense plant (aerial parts). | cropland | 0.02 | EBT-PL-5 |
| Compositae | Artemisia gmelinii Web. ex Stechm. | kan ba sei bo (མཁན་པ་སའེ་པོ།) | Incense plant (aerial parts). | cropland | 0.02 | EBT-PL-102 |
| Compositae | Melanoseris macrorhiza (Royle) N. Kilian | wang za (བང་བཟའ།) | Fodder: yak feed (aerial parts). | cropland | 0.02 | EBT-PL-63 |
| Convolvulaceae | Convolvulus arvensis L. | ga la you wa (ག་ལ་ཡོའུ་བ།) | Food: cooked vegetable (tender stems and leaves). Fodder: yak feed (aerial parts). | cropland | 0.33 | EBT-PL-57 |
| Cupressaceae | Juniperus indica Bertoloni | xiu bai (ཞུའུ་པའེ།) | Medicinal: smoke therapy to treat lnfections (aerial parts). Incense plant (aerial parts). Fuel: firewood (whole plants). | cropland | 0.47 | EBT-PL-15 |
| Cupressaceae | Juniperus tibetica Kom. | che xiu (ཁྲི་ཞུའུ།) | Incense plant (aerial parts). | cropland | 0.03 | EBT-PL-16 |
| Elaeagnaceae | Hippophae tibetana Schltdl. | da ge jia ma (ཏ་གི་ཅ་མ།), dai ru wa (ཏའེ་རུའུ་བ།) | Food: fruit (fruits); alternatives to Vinegar (fruits). Medicinal: liniment, the fruit is boiled and smeared to treat gastritis and mountain sickness (fruits). Fuel: firewood (stems). Fodder: yak feed (leaves). | cropland | 1.45 | EBT-PL-51 |
| Ephedraceae | Ephedra gerardiana Wall. ex Stapf | ci (ཚི།) | Food: fruit (fruits). Medicinal: pulverised/powdered, calcinated, allergic rhinitis. | alpine pasture | 0.07 | EBT-PL-45 |
| Ephedraceae | Ephedra saxatilis Royle ex Florin | ci (ཚི།) | Food: fruit (fruits). Medicinal: pulverised/powdered, calcinated, allergic rhinitis. Fuel: firewood and kindling (aerial parts) | cropland | 0.07 | EBT-PL-17 |
| Equisetaceae | Equisetum arvense L. | di ge zu ba (དུས་གི་ཙུའུ་པ།), ke ma (ཁུ་མ།) | Fodder: yak feed (aerial parts). | cropland | 0.12 | EBT-PL-19 |
| Ericaceae | Rhododendron anthopogon D. Don | po lu (ཕོ་ལུའུ།) | Medicinal: smoke therapy to treat lnfections (aerial parts). Incense plant (aerial parts). Fuel: firewood (whole plants). | alpine pasture | 0.56 | EBT-PL-91 |
| Ericaceae | Rhododendron lepidotum Wall. ex G. Don | se lu (སི་ལུའུ།) | Incense plant (aerial parts). | alpine pasture | 0.2 | EBT-PL-92 |
| Gentianaceae | Swertia ciliata (D. Don ex G. Don) B.L. Burtt | di g da (ཏིས་གི་ཏ), gei di (གེ་ཏི།) | Medicinal: potions, used to treat headache and biliiousness (whole plants). Fodder: yak feed (whole plants). | cropland | 0.25 | EBT-PL-104 |
| Gentianaceae | Gentiana veitchiorum Hemsl. | bang jian mei duo (པང་ཅན་མེ་ཏོག) | Medicinal: potions, used to treat lnfections (whole plants). | alpine pasture | 0.01 | EBT-PL-20 |
| Juncaceae | Juncus thomsonii Buchenau | bo ru (པའོ་རུའུ།) | Food: fruit (rhizomes). | cropland | 0.04 | EBT-PL-103 |
| Lamiaceae | Thymus linearis Benth. | guo ma ra za (གོ་མ་ར་ཙ), gang ma ra (གང་མ་ར།) | Food: seasoning (whole plants). Medicinal: potions, used to treat headache and biliiousness (whole plants). Fodder: yak feed (leaves). Economic plant (whole plants). | alpine pasture | 0.67 | EBT-PL-48 |
| Lamiaceae | Dracocephalum heterophyllum Benth. | jiang gu gu ru (ཅང་གུའུ་གུའུ་རུའུ།) | Food: fruit (flowers). Fodder: yak feed (aerial parts). | cropland | 0.13 | EBT-PL-4 |
| Leguminosae | Cicer microphyllum Benth. | cei jiu wa (སུས་ཅུའུ་བ།) | Food: fruit (fruits); cooked vegetable (fruits). Fodder: yak feed (leaves). | cropland | 0.6 | EBT-PL-88 |
| Leguminosae | Caragana versicolor Benth. | chang (ཁྲང་།) | Fodder: yak feed (leaves). Fuel: firewood (whole plants). | alpine pasture | 0.54 | EBT-PL-93 |
| Leguminosae | Oxytropis tragacanthoides DC. | na da la (ན་ཏ་ལ།) | Food: fruit (fruits); cooked vegetable (fruits). Incense plant (aerial parts). Fuel: kindling (aerial parts). | alpine pasture | 0.48 | EBT-PL-13 |
| Leguminosae | Astragalus polycladus Bureau & Franch. | da ge xia (ཏ་གི་ཞ།) | Medicinal: liniment (whole plants). | cropland | 0.02 | EBT-PL-70 |
| Leguminosae | Melilotus officinalis (L.) Pall. | niu ga liu ba (ནུའུ་ག་ལུའུ་པ།) | Fodder: yak feed (leaves). | cropland | 0.01 | EBT-PL-71 |
| Malvaceae | Malva verticillata L. | chi ma han di (ཁྲུ་མ་ཧན་ཏི།) | Fodder: yak feed (leaves). | cropland | 0.01 | EBT-PL-78 |
| Orchidaceae | Gymnadenia conopsea (L.) R.Br. | sei xia (སེ་ཞ།), ang bu la ba (འང་པུའུ་ལ་པ།) | Medicinal: potions, restorative (roots). | alpine pasture | 0.15 | EBT-PL-105 |
| Plantaginaceae | Plantago depressa Willd. | ta rang (ཐ་རང་།), ga la (ག་ལ།) | Medicinal: potions, infections and haemorrhages of pregnancy (whole plants). Fodder: yak feed (whole plants) | cropland | 0.04 | EBT-PL-106 |
| Plantaginaceae | Neopicrorhiza scrophulariiflora (Pennell) D.Y.Hong | hong lei (ཧོན་ལའེ།) | Medicinal: potions, infections (roots). | alpine pasture | 0.03 | EBT-PL-54 |
| Poaceae | Polypogon fugax Nees ex Steud. | rang ba (རོང་པ།) | Fodder: yak feed (leaves). | cropland | 0.37 | EBT-PL-31 |
| Poaceae | Pennisetum flaccidum Griseb. | ruan ba (རན་པ།) | Fodder: yak feed (leaves). | cropland | 0.36 | EBT-PL-67 |
| Polygonaceae | Rheum moorcroftianum Royle | de jiu wa (ཏི་ཅུའུ་བ།) | Food: fruit, to be eaten directly afterpeeling (stems). Medicinal: liniment, arthritis (roots). | alpine pasture | 0.87 | EBT-PL-35 |
| Polygonaceae | Polygonum affine D. Don | meng zhu wa (མིན་ཀྲུའུ་བ།) | Food: staple food, seed powder used to make tsampa (seeds). Fodder: yak feed (whole plants). | alpine pasture | 0.31 | EBT-PL-33 |
| Polygonaceae | Rumex nepalensis Spreng. | ma ra ma (མ་ར་མ།) | Food: cooked vegetable (leaves). Medicinal: liniment, demulcent (roots). Fodder: yak feed (whole plants). | cropland | 0.27 | EBT-PL-36 |
| Polygonaceae | Polygonum tortuosum D. Don | nia luo (ན་ལའོ།) | Dye plant (aerial parts). Other: tobacco substitute (leaves). | alpine pasture | 0.23 | EBT-PL-86 |
| Ranunculaceae | Clematis tangutica (Maxim.) Korsh. | bian ma (པན་མ།) | Fodder: yak feed (whole plants). | cropland | 0.28 | EBT-PL-56 |
| Ranunculaceae | Delphinium kamaonense Huth | peng ma (ཕིན་མ།) | Meddicinal: liniment, rashes/heat rash, intoxication (tubers). Fodder: yak feed (whole plants). | alpine pasture and cropland | 0.1 | EBT-PL-40 |
| Ranunculaceae | Aconitum pendulum N.Busch | peng ma (ཕིན་མ།) | Fodder: yak feed (whole plants). | cropland | 0.07 | EBT-PL-30 |
| Ranunculaceae | Delphinium nordhagenii Wendelbo | bo za (པོ་བཟའ།) | Fodder: yak feed (whole plants). | alpine pasture | 0.05 | EBT-PL-49 |
| Rosaceae | Potentilla anserina L. | chu wa (ཁྲུའུ་བ།) | Food: staple food, a substitute for tsampa (tubers). | cropland | 0.48 | EBT-PL-44 |
| Rosaceae | Potentilla parvifolia Fisch. ex Lehm. | bian ma (པེན་མ།) | Fuel: firewood (whole plants). Others: used to make agricultural tools (branches). | alpine pasture | 0.41 | EBT-PL-43 |
| Rosaceae | Rosa sericea Wall. ex Lindl. | sei you la (སུས་ཡུའུ་ལ།) | Food: fruit (fruits). Fuel: firewood (whole plants). | cropland | 0.23 | EBT-PL-97 |
| Rosaceae | Potentilla fruticosa var. pumila Hook.f. | bian ma (པེན་མ།) | Food: beverage, tea substitute, and leaves soaked in water (leaves). Others: used to make agricultural tools (branches). Fuel: firewood (whole plants). | alpine pasture | 0.18 | EBT-PL-22 |
| Rosaceae | Potentilla bifurca L. | qia chuo luo (ཆ་ཁྲའོ་ལུའོ།) | Food: cooked vegetable (leaves). Fodder: yak feed (whole plants). | cropland | 0.08 | EBT-PL-14 |
| Rosaceae | Potentilla saundersiana Royle | qiu gu mei duo (ཆུའུ་གུའུ་མེ་ཏོག) | Food: beverage, tea substitute, and leaves soaked in water (leaves and flowers). Fodder: yak feed (whole plants). | alpine pasture | 0.05 | EBT-PL-65 |
| Salicaceae | Salix matsudana Koidz. | jiang ma (ཅང་མ།) | Food: cooked vegetable (tender shoot). Fuel: firewood (whole plants). | cropland | 0.32 | EBT-PL-38 |
| Salicaceae | Salix sclerophylla Andersson | lang ma (ལིང་མ།) | Fuel: firewood (whole plants). | cropland | 0.16 | EBT-PL-26 |
| Salicaceae | Salix sericocarpa Andersson | lang ma (ལིང་མ།) | Fuel: firewood (whole plants). | cropland | 0.14 | EBT-PL-107 |
| Solanaceae | Hyoscyamus niger L. | lang dang (ལང་ཏིང་།) | Medicinal: smoke therapy, burned, toothache (seeds). Fodder: yak feed (whole plants). | cropland | 0.18 | EBT-PL-75 |
| Tamaricaceae | Myricaria prostrata Hook. f. & Thomson | ong bu (འོན་པུའུ།) | Medicinal: veterinary, enemas, pneumonia, intoxication ((aerial parts). Fuel: firewood (whole plants). | cropland | 0.27 | EBT-PL-72 |
| Urticaceae | Urtica dioica L. | sa (ས།), sa bu (ས་པུའུ།) | Food: cooked vegetable, stuffing for buns (tender leaves). Medicinal: medicinal foods, restorative, used to treat diarrhoea (tender leaves). Fodder: yak feed (whole plants). | cropland | 0.78 | EBT-PL-100 |
| Illness Category | Terms | Number of Taxa (Nt) | Number of Use Reports (Nur) | Informant Consensus Factor (ICF) |
|---|---|---|---|---|
| Pregnancy/Birth/Puerperium Disorders | Haemorrhages of pregnancy | 1 | 2 | - |
| Circulatory System Disorders | Hypertension | 1 | 18 | - |
| Pain | Toothache, Headache, Backache | 4 | 61 | 0.95 |
| Muscular-Skeletal System Disorders | Arthritis | 4 | 53 | 0.94 |
| Digestive System Disorders | Gastritis, Mountain sickness, Motion sickness, Diarrhoea, Biliousness | 8 | 87 | 0.92 |
| Nutritional Disorders | Restorative | 3 | 23 | 0.91 |
| Poisonings | Intoxication, Poisonings due to: bites and stings | 4 | 21 | 0.85 |
| lnfections/infestations | Colds | 9 | 50 | 0.84 |
| Skin/Subcutaneous Cellular Tissue Disorders | Nappy rash, Baldness, Acne, Heat rash, Demulcent, Emollient | 4 | 16 | 0.8 |
| Respiratory System Disorders | Pneumonia, Allergic rhinitis | 3 | 9 | 0.75 |
Publisher’s Note: MDPI stays neutral with regard to jurisdictional claims in published maps and institutional affiliations. |
© 2022 by the authors. Licensee MDPI, Basel, Switzerland. This article is an open access article distributed under the terms and conditions of the Creative Commons Attribution (CC BY) license (https://creativecommons.org/licenses/by/4.0/).
Share and Cite
Ding, X.; Guo, C.; Zhang, X.; Li, J.; Jiao, Y.; Feng, H.; Wang, Y. Wild Plants Used by Tibetans in Burang Town, Characterized by Alpine Desert Meadow, in Southwestern Tibet, China. Agronomy 2022, 12, 704. https://doi.org/10.3390/agronomy12030704
Ding X, Guo C, Zhang X, Li J, Jiao Y, Feng H, Wang Y. Wild Plants Used by Tibetans in Burang Town, Characterized by Alpine Desert Meadow, in Southwestern Tibet, China. Agronomy. 2022; 12(3):704. https://doi.org/10.3390/agronomy12030704
Chicago/Turabian StyleDing, Xiaoyong, Changan Guo, Xiong Zhang, Jing Li, Yixue Jiao, Haowen Feng, and Yuhua Wang. 2022. "Wild Plants Used by Tibetans in Burang Town, Characterized by Alpine Desert Meadow, in Southwestern Tibet, China" Agronomy 12, no. 3: 704. https://doi.org/10.3390/agronomy12030704
APA StyleDing, X., Guo, C., Zhang, X., Li, J., Jiao, Y., Feng, H., & Wang, Y. (2022). Wild Plants Used by Tibetans in Burang Town, Characterized by Alpine Desert Meadow, in Southwestern Tibet, China. Agronomy, 12(3), 704. https://doi.org/10.3390/agronomy12030704

