Determination of the Angle of Repose and Coefficient of Rolling Friction for Wood Pellets
Abstract
:1. Introduction
2. Materials and Methods
2.1. Properties of the Examined Material
2.2. Procedures for Determining the Pellets’ Angle of Repose
2.3. Simulations Using the Discrete Elements Technique
2.3.1. Contact Model
2.3.2. Parameters Used in the Simulations
3. Results
3.1. Experimental Results
3.2. Numerical Simulations
4. Discussion
5. Conclusions
- The procedure known as “piling” for the experimental measurement of the angle of repose needs to be adapted for use with granular materials to take into account the diameter of the funnel outlet, the material onto which the pellets fall and the height from which they drop.
- In the present work, a drop height of over 120 mm was required for the change in the resulting angle of repose to be insignificant. For smaller drop heights, the angle of repose increased, irrespective of all other conditions.
- The angle of repose formed for biomass pellets greatly depends on the surface roughness of the contact material on which stacking is carried out. Thus, the best way to avoid reproducibility problems when conducting simulations is to use a base of the same material that is being tested or used in real situations.
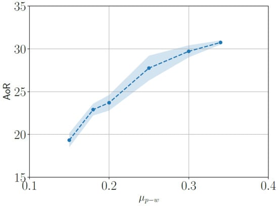
- For the present biomass pellets, an increase in the friction coefficients or the coefficient of rolling friction led to an increase in the angle of repose.
- In the numerical simulations, a coefficient of rolling friction of μroll = 0.02 was obtained—a tenth of the value for the coefficient of friction between the pellets. Although this value represents just 2% resistance to rolling, its influence on the angle of repose can be very significant.
- It is, therefore, vital that the coefficient of rolling friction of a material be known if models are intended to correctly predict the behavior of granular materials, the second most commonly used type of material, during their storage, transport and discharge.
Author Contributions
Funding
Acknowledgments
Conflicts of Interest
References
- Duran, J. Sands, Powders, and Grains: An Introduction to the Physics of Granular Materials; Springer Science & Business Media: New York, NY, USA, 2012. [Google Scholar]
- Nedderman, R. Statics and Kinematics of Granular Materials; Cambridge University Press: Cambridge, UK, 1992. [Google Scholar] [CrossRef]
- Pradhan, P.; Mahajani, S.M.; Arora, A. Production and utilization of fuel pellets from biomass: A review. Fuel Process. Technol. 2018, 181, 215–232. [Google Scholar] [CrossRef]
- European Commission. A Sustainable Bioeconomy for Europe: Strengthening the Connection between Economy, Society and the Environment. Updated Bioeconomy Strategy; Directorate-General for Research and Innovation: Luxembourg, 2018. [Google Scholar]
- Cheng, J. Biomass to Renewable Energy Processes; Taylor & Francis: Boca Raton, FL, USA, 2017. [Google Scholar]
- Muazu, R.I.; Stegemann, J.A. Effects of operating variables on durability of fuel briquettes from rice husks and corn cobs. Fuel Process. Technol. 2015, 133, 137–145. [Google Scholar] [CrossRef]
- Ilari, A.; Foppa-Pedretti, E.; De Francesco, C.; Duca, D. Pellet Production from Residual Biomass of Greenery Maintenance in a Small-ScaleCompany to Improve Sustainability. Resources 2021, 10, 122. [Google Scholar] [CrossRef]
- Bioenergy Europe. Statistical Report Pellets; Bioenergy Europe: Brussels, Belgium, 2020. [Google Scholar]
- Dyjakon, A.; Noszczyk, T. The Influence of Freezing Temperature Storage on the Mechanical Durability of Commercial Pellets from Biomass. Energies 2019, 12, 2627. [Google Scholar] [CrossRef] [Green Version]
- Ståhl, M.; Granström, K.; Berghel, J.; Renström, R. Industrial processes for biomass drying and their effects on the quality properties of wood pellets. Biomass. Bioenergy 2004, 27, 621–628. [Google Scholar] [CrossRef]
- Deng, T.; Alzahrani, A.; Bradley, M. Influences of environmental humidity on physical properties and attrition of wood pellets. Fuel Process. Technol. 2019, 185, 126–138. [Google Scholar] [CrossRef]
- García, R.; Gil, M.V.; Rubiera, F.; Pevida, C. Pelletization of wood and alternative residual biomass blends for producing industrial quality pellets. Fuel 2019, 251, 739–753. [Google Scholar] [CrossRef]
- Oveisi, E.; Lau, A.; Sokhansanj, S.; Lim, C.J.; Bi, X.T.; Larsson, S.H.; Mein, S. Breakage behavior of wood pellets due to free fall. Powder Technol. 2013, 235, 493–499. [Google Scholar] [CrossRef]
- Aarseth, K.A. Attrition of feed pellets during pneumatic conveying: The influence of velocity and bend radius. Biosyst. Eng. 2004, 89, 197–213. [Google Scholar] [CrossRef]
- Frodeson, S.; Henriksson, G.; Berghel, J. Effects of moisture content during densification of biomass pellets, focusing on polysaccharide substances. Biomass Bioenergy 2019, 122, 322–330. [Google Scholar] [CrossRef]
- Graham, S.; Eastwick, C.; Snape, C.; Quick, W. Mechanical degradation of biomass wood pellets during long term stockpile storage. Fuel Process. Technol. 2017, 160, 143–151. [Google Scholar] [CrossRef]
- Pa, A.; Bi, X. Modeling of Off-Gas Emissions from Wood Pellets During Marine Transportation. Ann. Occup. Hyg. 2010, 54, 833–841. [Google Scholar] [CrossRef] [PubMed] [Green Version]
- Ramírez, A. The discrete element method in silo/bin research. Recent advances and future trends. Part. Sci. Technol. 2020, 38, 210–227. [Google Scholar] [CrossRef]
- Golshan, S.; Esgandari, B.; Zarghami, R.; Blais, B.; Saleh, K. Experimental and DEM studies of velocity profiles and residence time distribution of non-spherical particles in silos. Powder Technol. 2020, 373, 510–521. [Google Scholar] [CrossRef]
- Ayuga, F. Present and future of the numerical methods in buildings and infrastructures areas of biosystems engineering. J. Agric. Eng. 2015, 46, 1–12. [Google Scholar] [CrossRef] [Green Version]
- González-Montellano, C.; Gallego, E.; Ramírez-Gómez, Á.; Ayuga, F. Three dimensional discrete element models for simulating the filling and emptying of silos: Analysis of numerical results. Comput. Chem. Eng. 2012, 40, 22–32. [Google Scholar] [CrossRef]
- Cundal, P.; Strack, O. A discrete numerical model for granular assemblies. Geotechnique 1979, 29, 47–65. [Google Scholar] [CrossRef]
- Gella, D.; Maza, D.; Zuriguel, I. Granular internal dynamics in a silo discharged with a conveyor belt. J. Fluid Mech. 2021, 925, A24. [Google Scholar] [CrossRef]
- Gallego, E.; Fuentes, J.M.; Wiącek, J.; Villar, J.R.; Ayuga, F. DEM analysis of the flow and friction of spherical particles in steel silos with corrugated walls. Powder Technol. 2019, 355, 425–437. [Google Scholar] [CrossRef]
- Madrid, M.A.; Darias, J.R.; Pugnaloni, L.A. Forced flow of granular media: Breakdown of the Beverloo scaling. EPL Europhys. Lett. 2018, 123, 14004. [Google Scholar] [CrossRef]
- Madrid, M.A.; Pugnaloni, L.A. Velocity profiles in forced silo discharges. Granul. Matter 2019, 21, 76. [Google Scholar] [CrossRef]
- Chen, Z.; Wassgren, C.; Veikle, E.; Ambrose, K. Determination of material and interaction properties of maize and wheat kernels for DEM simulation. Biosyst. Eng. 2020, 195, 208–226. [Google Scholar] [CrossRef]
- González-Montellano, C.; Fuentes, J.M.; Ayuga-Téllez, E.; Ayuga, F. Determination of the mechanical properties of maize grains and olives required for use in DEM simulations. J. Food Eng. 2012, 111, 553–562. [Google Scholar] [CrossRef]
- Wensrich, C.M.; Katterfeld, A. Rolling friction as a technique for modelling particle shape in DEM. Powder Technol. 2012, 217, 409–417. [Google Scholar] [CrossRef]
- Agarwal, A.; Tripathi, A.; Tripathi, A.; Kumar, V.; Chakrabarty, A.; Nag, S. Rolling friction measurement of slightly non-spherical particles using direct experiments and image analysis. Granul. Matter 2021, 23, 60. [Google Scholar] [CrossRef]
- Combarros, M.; Feise, H.J.; Zetzener, H.; Kwade, A. Segregation of particulate solids: Experiments and DEM simulations. Particuology 2014, 12, 25–32. [Google Scholar] [CrossRef]
- Hlosta, J.; Jezerská, L.; Rozbroj, J.; Žurovec, D.; Necas, J.; Zegzulka, J. DEM Investigation of the Influence of Particulate Properties and Operating Conditions on the Mixing Process in Rotary Drums: Part 1—Determination of the DEM Parameters and Calibration Process. Processes 2020, 8, 222. [Google Scholar] [CrossRef] [Green Version]
- Al-Hashemi, H.M.B.; Al-Amoudi, O.S.B. A review on the angle of repose of granular materials. Powder Technol. 2018, 330, 397–417. [Google Scholar] [CrossRef]
- Wang, L.; Li, R.; Wu, B.; Wu, Z.; Ding, Z. Determination of the coefficient of rolling friction of an irregularly shaped maize particle group using physical experiment and simulations. Particuology 2018, 38, 185–195. [Google Scholar] [CrossRef]
- Klanfar, M.; Korman, T.; Domitrovic, D.; Herceg, V. Testing the novel method for angle of repose measurement based on area-weighted average slope of a triangular mesh. Powder Technol. 2021, 387, 396–405. [Google Scholar] [CrossRef]
- Li, P.; Ucgul, M.; Lee, S.H.; Saunders, C. A new approach for the automatic measurement of the angle of repose of granular materials with maximal least square using digital image processing. Comput. Electron. Agric. 2020, 172, 105536. [Google Scholar] [CrossRef]
- ASTM C1444-00; Standard Test Method for Measuring the Angle of Repose of Free-Flowing Mold Powders; American Society for Testing and Materials: West Conshohocken, PA, USA, 2005.
- ISO 4324; Surface Active Agents—Powders and Granules—Measurement of the Angle of Repose; International Standard Organization: Geneva, Switzerland, 1977.
- Gallego, E.; Fuentes, J.M.; Ruiz, Á.; Hernández-Rodrigo, G.; Aguado, P.; Ayuga, F. Determination of mechanical properties for wood pellets used in DEM simulations. Int. Agrophys. 2020, 34, 485–494. [Google Scholar] [CrossRef]
- EN ISO 17831-1:2015; Solid Biofuels—Determination of Mechanical Durability of Pellets and Briquettes—Part 1: Pellets; European Committee for Standardization: Brussels, Belgium, 2015.
- UNE 55547:1981; Agentes de Superficie. Polvos y Granulados. Medida del Ángulo del Talud de Vertido; Asociación Española de Normalización: Madrid, Spain, 1981.
- Tsuji, Y.; Tanaka, T.; Ishida, T. Lagrangian numerical simulation of plug flow of cohesion-less particles in a horizontal pipe. Powder Technol. 1992, 71, 239–250. [Google Scholar] [CrossRef]
- EDEM. Altair, User Guide; EDEM: Edinburgh, UK, 2021. [Google Scholar]
- Li, Y.; Xu, Y.; Thornton, C. A comparison of discrete element simulations and experiments for sandpiles composed of spherical particles. Powder Technol. 2005, 160, 219–228. [Google Scholar] [CrossRef]
- Favier, J.F.; Abbaspour-Fard, M.H.; Kremmer, M.; Raji, A. Shape representation of axi-symmetrical, non-spherical particles in discrete element simulation using multi-element model particles. Eng. Comput. 1999, 16, 467–480. [Google Scholar] [CrossRef]
- ISO 18847; Solid Biofuels—Determination of Particle Density of Pellets and Briquettes; International Standard Organization: Geneva, Switzerland, 2005.
- ASAE S368.4; Compression Test of Food Materials of Convex Shape; American Society of Agricultural and Biological Engineers (ASABE): St. Joseph, MO, USA, 2006.
- Hlosta, J.; Žurovec, D.; Rozbroj, J.; Ramírez-Gómez, A.; Nečas, J.; Zegzulka, J. Experimental determination of particle-particle restitution coefficient via double pendulum method. Chem. Eng. Res. Des. 2018, 135, 222–233. [Google Scholar] [CrossRef]
- Zhou, L.; Yu, J.; Liang, L.; Wang, Y.; Yu, Y.; Yan, D.; Sun, K.; Liang, P. DEM Parameter Calibration of Maize Seeds and the Effect of Rolling Friction. Processes 2021, 9, 914. [Google Scholar] [CrossRef]
- Fu, J.; Chen, C.; Ferellec, J.; Yang, J. Effect of Particle Shape on Repose Angle Based on Hopper Flow Test and Discrete Element Method. Adv. Civ. Eng. 2020, 8811603. [Google Scholar] [CrossRef]
- Li, C.; Honeyands, T.; O’Dea, D.; Moreno-Atanasio, R. The angle of repose and size segregation of iron ore granules: DEM analysis and experimental investigation. Powder Technol. 2017, 320, 257–272. [Google Scholar] [CrossRef]
- Zhou, Y.C.; Xu, B.H.; Yu, A.B.; Zulli, P. Numerical investigation of the angle of repose of monosized spheres. Phys. Rev. E 2001, 64, 021301. [Google Scholar] [CrossRef] [Green Version]









| Variable | Mean (Range) |
|---|---|
| Length (mm) | 17.70 (8.33–27.98) |
| Diameter (mm) | 6.08 (5.96–6.21) |
| Volume (mm3) | 513.89 (244.24–799.05) |
| Moisture content (%) | 2.5 (2–3) |
| Calorific power (kcal/kg) | 4803 (4570–5029) |
| Apparent density without compaction (kg/l) | 0.660 (0.628–0.688) |
| Apparent density under compaction (kg/l) Durability Index (%) | 0.706 (0.674–0.732) 99.79 (99.72–99.82) |
| Variable | Mean | Standard Deviation |
|---|---|---|
| Particle density (kg·m−3) | 1227 | 18.02 |
| Elastic modulus (MPa) | 73.33 | 25.43 |
| Particle-particle coefficient of restitution | 0.62 | 0.058 |
| Particle-wall coefficient of restitution | 0.5 | 0.063 |
| Particle-particle coefficient of friction | 0.49 | 0.07 |
| Particle-wall coefficient of friction | 0.2 | 0.05 |
Publisher’s Note: MDPI stays neutral with regard to jurisdictional claims in published maps and institutional affiliations. |
© 2022 by the authors. Licensee MDPI, Basel, Switzerland. This article is an open access article distributed under the terms and conditions of the Creative Commons Attribution (CC BY) license (https://creativecommons.org/licenses/by/4.0/).
Share and Cite
Madrid, M.A.; Fuentes, J.M.; Ayuga, F.; Gallego, E. Determination of the Angle of Repose and Coefficient of Rolling Friction for Wood Pellets. Agronomy 2022, 12, 424. https://doi.org/10.3390/agronomy12020424
Madrid MA, Fuentes JM, Ayuga F, Gallego E. Determination of the Angle of Repose and Coefficient of Rolling Friction for Wood Pellets. Agronomy. 2022; 12(2):424. https://doi.org/10.3390/agronomy12020424
Chicago/Turabian StyleMadrid, Marcos A., José M. Fuentes, Francisco Ayuga, and Eutiquio Gallego. 2022. "Determination of the Angle of Repose and Coefficient of Rolling Friction for Wood Pellets" Agronomy 12, no. 2: 424. https://doi.org/10.3390/agronomy12020424
APA StyleMadrid, M. A., Fuentes, J. M., Ayuga, F., & Gallego, E. (2022). Determination of the Angle of Repose and Coefficient of Rolling Friction for Wood Pellets. Agronomy, 12(2), 424. https://doi.org/10.3390/agronomy12020424

