Use of Digestate as an Alternative to Mineral Fertilizer: Effects on Soil Mineral Nitrogen and Winter Wheat Nitrogen Accumulation in Clay Loam
Abstract
:1. Introduction
2. Materials and Methods
2.1. Experimental Site and Soil
2.2. Experimental Design and Details
- Control (N0).
- N120 mineral fertilizer–ammonium nitrate (AN120).
- N120 pig slurry (PS120).
- N120 liquid anaerobic digestate (LD120).
- N120 ammonium nitrate and N50 ammonium nitrate (AN120 + 50).
- N120 pig slurry and N50 ammonium nitrate (PS120 + 50).
- N120 liquid anaerobic digestate and N50 ammonium nitrate (LD120 + 50).
2.3. Composition of Organic Fertilizers
2.4. Soil and Plant Analyses
2.5. Meteorological Conditions
2.6. Statistical Analysis
3. Results
3.1. Soil Mineral Nitrogen Forms
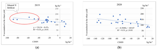
3.2. Nitrogen Uptake by Plants
4. Discussion
5. Conclusions
Author Contributions
Funding
Institutional Review Board Statement
Informed Consent Statement
Data Availability Statement
Acknowledgments
Conflicts of Interest
References
- GDP Share of Agriculture in the European Union. Available online: https://www.theglobaleconomy.com/rankings/share_of_agriculture/European-union/ (accessed on 31 January 2022).
- Lietuvos Socialinių Mokslų Centro Ekonomikos Ir Kaimo Vystymo Institutas. Available online: https://www.laei.lt/?mt=leidiniai&straipsnis=1817&metai=2020 (accessed on 1 September 2021).
- Ladha, J.K.; Tirol-Padre, A.; Reddy, C.K.; Cassman, K.G.; Verma, S.; Powlson, D.S.; Van Kessel, C.; De Richter, D.B.; Chakraborty, D.; Pathak, H. Global nitrogen budgets in cereals: A 50-year assessment for maize, rice, and wheat production systems. Sci. Rep. 2016, 6, 19355. [Google Scholar] [CrossRef] [PubMed] [Green Version]
- Godinot, O.; Carof, M.; Vertès, F.; Leterme, P. SyNE: An improved indicator to assess nitrogen efficiency of farming systems. Agric. Syst. 2014, 127, 41–52. [Google Scholar] [CrossRef] [Green Version]
- Lassaletta, L.; Billen, G.; Grizzetti, B.; Anglade, J.; Garnier, J. 50 year trends in nitrogen use efficiency of world cropping systems: The relationship between yield and nitrogen input to cropland. Environ. Res. Lett. 2014, 9, 105011. [Google Scholar] [CrossRef]
- Dobers, E.S. Anpassungsbedarf bei der Nährstoffversorgung. In Kühlen Kopf Bewahren—Anpassung der Landwirtschaft an den Klimawandel; KTBL Kuratorium für Technik u. Bauwesen i. d. Landwirtschaft e.V.: Darmstadt, Germany, 2019; pp. 75–89. [Google Scholar]
- Esaulko, A.N.; Pismennaya, E.V.; Azarova, M.Y. Effect of weather and climatic conditions on the yield of winter wheat cultivated using No-Till technology. IOP Conf. Ser. Earth Environ. Sci. 2021, 839, 022010. [Google Scholar] [CrossRef]
- Harkness, C.; Semenov, M.A.; Areal, F.; Senapati, N.; Trnka, M.; Balek, J.; Bishop, J. Adverse weather conditions for UK wheat production under climate change. Agric. For. Meteorol. 2020, 282–283, 107862. [Google Scholar] [CrossRef]
- Haberle, J.; Kusá, H.; Svoboda, P.; Klír, J. The changes of soil mineral nitrogen observed on farms between autumn and spring and modelled with a simple leaching equation. Soil Water Res. 2009, 4, 159–167. [Google Scholar] [CrossRef] [Green Version]
- Artyszak, A.; Gozdowski, D. Is It Possible to Maintain the Quantity and Quality of Winter Wheat Grain by Replacing Part of the Mineral Nitrogen Dose by Growth Activators and Plant Growth-Promoting Rhizobacteria (PGPR)? Sustainability 2021, 13, 5834. [Google Scholar] [CrossRef]
- Insam, H.; Gómez-Brandón, M.; Ascher, J. Manure-based biogas fermentation residues—Friend or foe of soil fertility? Soil Biol. Biochem. 2015, 84, 1–14. [Google Scholar] [CrossRef]
- Xu, W.; Zhu, Y.; Wang, X.; Ji, L.; Wang, H.; Yao, L.; Lin, C. The effect of biogas slurry application on biomass production and forage quality of lolium multiflorum. Sustainability 2021, 13, 3605. [Google Scholar] [CrossRef]
- Verdi, L.; Kuikman, P.J.; Orlandini, S.; Mancini, M.; Napoli, M.; Dalla Marta, A. Does the use of digestate to replace mineral fertilizers have less emissions of N2O and NH3? Agric. For. Meteorol. 2019, 269–270, 112–118. [Google Scholar] [CrossRef]
- Tabak, M.; Lepiarczyk, A.; Filipek-Mazur, B.; Lisowska, A. Efficiency of nitrogen fertilization of winter wheat depending on sulfur fertilization. Agronomy 2020, 10, 1304. [Google Scholar] [CrossRef]
- Klages, S.; Heidecke, C.; Osterburg, B. The Impact of Agricultural Production and Policy on Water Quality during the Dry Year 2018, a Case Study from Germany. Water 2020, 12, 1519. [Google Scholar] [CrossRef]
- Cavalli, D.; Cabassi, G.; Borrelli, L.; Fuccella, R.; Degano, L.; Bechini, L.; Marino, P. Nitrogen fertiliser value of digested dairy cow slurry, its liquid and solid fractions, and of dairy cow slurry. Ital. J. Agron. 2014, 9, 71–78. [Google Scholar] [CrossRef]
- Bhowmik, A.; Fortuna, A.M.; Cihacek, L.J.; Bary, A.I.; Cogger, C.G. Use of biological indicators of soil health to estimate reactive nitrogen dynamics in long-term organic vegetable and pasture systems. Soil Biol. Biochem. 2016, 103, 308–319. [Google Scholar] [CrossRef] [Green Version]
- Berthrong, S.T.; Buckley, D.H.; Drinkwater, L.E. Agricultural Management and Labile Carbon Additions Affect Soil Microbial Community Structure and Interact with Carbon and Nitrogen Cycling. Microb. Ecol. 2013, 66, 158–170. [Google Scholar] [CrossRef] [PubMed] [Green Version]
- Sáez-Plaza, P.; Navas, M.J.; Wybraniec, S.; Michałowski, T.; Asuero, A.G. An Overview of the Kjeldahl Method of Nitrogen Determination. Part II. Sample Preparation, Working Scale, Instrumental Finish, and Quality Control. Crit. Rev. Anal. Chem. 2013, 43, 224–272. [Google Scholar] [CrossRef]
- Motsara, M.R.; Roy, R.N. Guide to Laboratory Establishment for Plant Nutrient Analysis; Food and Agriculture Organization of the United Nations: Rome, Italy, 2008; ISBN 9789251059814. [Google Scholar]
- Nikitin, B.A. A method for soil humus determination. Agric. Chem. 1999, 3, 156–158. [Google Scholar]
- Tarakanovas, P.; Raudonius, S. Agronominių Tyrimų Duomenų Statistinė Analizė Taikant Kompiuterines Programas ANOVA, STAT, SPLIT-PLOT from the Package SELEKCIJA and IRRISTAT; Lithuanian University of Agriculture: Akademija, Lithuania, 2003; p. 58. [Google Scholar]
- Barłóg, P.; Hlisnikovský, L.; Kunzová, E. Effect of Digestate on Soil Organic Carbon and Plant-Available Nutrient Content Compared to Cattle Slurry and Mineral Fertilization. Agronomy 2020, 10, 379. [Google Scholar] [CrossRef] [Green Version]
- Risberg, K.; Cederl, H.; Pell, M.; Arthurson, V.; Schnürer, A. Comparative characterization of digestate versus pig slurry and cow manure—Chemical composition and effects on soil microbial aktivity. Waste Manag. 2017, 61, 529–538. [Google Scholar] [CrossRef]
- Šimon, T.; Kunzová, E.; Friedlová, M. The effect of digestate, cattle slurry and mineral fertilization on the winter wheat yield and soil quality parameters. Plant, Soil Environ. 2015, 62, 522–527. [Google Scholar] [CrossRef] [Green Version]
- Brozyna, M.A.; Petersen, S.O.; Chirinda, N.; Olesen, J.E. Effects of grass-clover management and cover crops on nitrogen cycling and nitrous oxide emissions in a stockless organic crop rotation. Agric. Ecosyst. Environ. 2013, 181, 115–126. [Google Scholar] [CrossRef]
- Möller, K. Effects of anaerobic digestion on soil carbon and nitrogen turnover, N emissions, and soil biological activity. A review. Agron. Sustain. Dev. 2015, 35, 1021–1041. [Google Scholar] [CrossRef]
- Arlauskienė, A.; Gecaitė, V.; Toleikienė, M.; Šarūnaitė, L.; Kadžiulienė, Ž. Soil nitrate nitrogen content and grain yields of organically grown cereals as affected by a strip tillage and forage legume intercropping. Plants 2021, 10, 1453. [Google Scholar] [CrossRef] [PubMed]
- Holub, P.; Klem, K.; Tůma, I.; Vavříková, J.; Surá, K.; Veselá, B.; Urban, O.; Záhora, J. Application of organic carbon affects mineral nitrogen uptake by winter wheat and leaching in subsoil: Proximal sensing as a tool for agronomic practice. Sci. Total Environ. 2020, 717, 137058. [Google Scholar] [CrossRef]
- Watros, A.; Lipińska, H.; Lipiński, W.; Tkaczyk, P.; Krzyszczak, J.; Baranowski, P. Mineral nitrogen content in hydrographic areas of Poland depending on land use. Int. Agrophysics 2019, 33, 481–491. [Google Scholar] [CrossRef]
- Courty, P.E.; Smith, P.; Koegel, S.; Redecker, D.; Wipf, D. Inorganic Nitrogen Uptake and Transport in Beneficial Plant Root-Microbe Interactions. CRC. Crit. Rev. Plant Sci. 2015, 34, 4–16. [Google Scholar] [CrossRef]
- Faghih, H.; Behmanesh, J.; Rezaie, H.; Khalili, K. Climate and rainfed wheat yield. Theor. Appl. Climatol. 2021, 144, 13–24. [Google Scholar] [CrossRef]
- Dromantienė, R.; Pranckietienė, I.; Jodaugienė, D.; Paulauskienė, A. The influence of various forms of nitrogen fertilization and meteorological factors on nitrogen compounds in soil under laboratory conditions. Agronomy 2020, 10, 2011. [Google Scholar] [CrossRef]
- Smalstienė, V.; Pranckietienė, I.; Dromantienė, R.; Šidlauskas, G. Skirtingų azoto formų ir tręšimo laiko poveikis žieminiams kviečiams. Zemės Ūkio Mokslai 2017, 24, 81–90. [Google Scholar]
- Gericke, D.; Bornemann, L.; Kage, H.; Pacholski, A. Modelling ammonia losses after field application of biogas slurry in energy crop rotations. Water. Air. Soil Pollut. 2012, 223, 29–47. [Google Scholar] [CrossRef]
- Ni, P.; Lyu, T.; Sun, H.; Dong, R.; Wu, S. Liquid digestate recycled utilization in anaerobic digestion of pig manure: Effect on methane production, system stability and heavy metal mobilization. Energy 2017, 141, 1695–1704. [Google Scholar] [CrossRef] [Green Version]
- Kudeyarov, V.N. Nitrous Oxide Emission from Fertilized Soils: An Analytical Review. Eurasian Soil Sci. 2020, 53, 1396–1407. [Google Scholar] [CrossRef]
- Eickenscheidt, T.; Freibauer, A.; Heinichen, J.; Augustin, J.; Drösler, M. Short-term effects of biogas digestate and cattle slurry application on greenhouse gas emissions from high organic carbon grasslands. Biogeosciences Discuss. 2014, 11, 5765–5809. [Google Scholar] [CrossRef] [Green Version]
- Elste, B.; Tischer, S.; Christen, O. Einfluss von Biogasgärrückständen auf Abundanz und Biomasse von Lumbriciden. In Boden und Standortqualität-Bioindikation mit Regenwürmern; DBGPrints Repository: Osnabrück, Germany, 2010; Available online: https://eprints.dbges.de/id/eprint/491 (accessed on 1 September 2021).
- Makary, T.; Schulz, R.; Müller, T.; Pekrun, C. Simplified N fertilization strategies for winter wheat. Part 1: Plants: Compensation capacity of modern wheat varieties. Arch. Agron. Soil Sci. 2020, 66, 847–857. [Google Scholar] [CrossRef]
- Staugaitis, G.; Poškus, K.; Brazienė, Z.; Paltanavičius, V. Optimization of nitrogen fertilisation of winter wheat. Zemdirbyste 2021, 108, 203–208. [Google Scholar] [CrossRef]
- Neff, J.C.; Townsend, A.R.; Gleixner, G.; Lehman, S.J.; Turnbull, J.; Bowman, W.D. Variable effects of nitrogen additions on the stability and turnover of soil carbon. Nature 2002, 419, 915–917. [Google Scholar] [CrossRef]
- Potthoff, M.; Dyckmans, J.; Flessa, H.; Muhs, A.; Beese, F.; Joergensen, R.G. Dynamics of maize (Zea mays L.) leaf straw mineralization as affected by the presence of soil and the availability of nitrogen. Soil Biol. Biochem. 2005, 37, 1259–1266. [Google Scholar] [CrossRef]
- Mühlbachová, G.; Růžek, P.; Kusá, H.; Vavera, R.; Káš, M. Winter wheat straw decomposition under different nitrogen fertilizers. Agric. 2021, 11, 83. [Google Scholar] [CrossRef]
- Yergeau, É.; Quiza, L.; Tremblay, J. Microbial indicators are better predictors of wheat yield and quality than N fertilization. FEMS Microbiol. Ecol. 2020, 96, fiz205. [Google Scholar] [CrossRef]
- Pan, W.L.; Kidwell, K.K.; McCracken, V.A.; Bolton, R.P.; Allen, M. Economically Optimal Wheat Yield, Protein and Nitrogen Use Component Responses to Varying N Supply and Genotype. Front. Plant Sci. 2020, 10, 1790. [Google Scholar] [CrossRef]
- Hrivna, L.; Kotková, B.; Burešová, I. Effect of sulphur fertilization on yield and quality of wheat grain. Cereal Res. Commun. 2015, 43, 344–352. [Google Scholar] [CrossRef] [Green Version]
- Linina, A.; Ruza, A. The influence of cultivar, weather conditions and nitrogen fertilizer on winter wheat grain yield. Agron. Res. 2018, 16, 147–156. [Google Scholar] [CrossRef]
- Huang, S.; He, P.; Jia, L.; Ding, W.; Ullah, S.; Zhao, R.; Zhang, J.; Xu, X.; Liu, M.; Zhou, W. Improving nitrogen use efficiency and reducing environmental cost with long-term nutrient expert management in a summer maize-winter wheat rotation system. Soil Tillage Res. 2021, 213, 105117. [Google Scholar] [CrossRef]
- Mariem, S.B.; González-Torralba, J.; Collar, C.; Aranjuelo, I.; Morales, F. Durum wheat grain yield and quality under low and high nitrogen conditions: Insights into natural variation in low-and high-yielding genotypes. Plants 2020, 9, 1636. [Google Scholar] [CrossRef] [PubMed]
- Yan, S.; Wu, Y.; Fan, J.; Zhang, F.; Zheng, J.; Qiang, S.; Guo, J.; Xiang, Y.; Zou, H.; Wu, L. Dynamic change and accumulation of grain macronutrient (N, P and K) concentrations in winter wheat under different drip fertigation regimes. F. Crop. Res. 2020, 250, 107767. [Google Scholar] [CrossRef]
- Omara, P.; Aula, L.; Oyebiyi, F.B.; Eickhof, E.M.; Carpenter, J.; Raun, W.R. Biochar application in combination with inorganic nitrogen improves maize grain yield, nitrogen uptake, and use efficiency in Temperate Soils. Agronomy 2020, 10, 1241. [Google Scholar] [CrossRef]
- Heil, K.; Lehner, A.; Schmidhalter, U. Influence of climate conditions on the temporal development of wheat yields in a long-term experiment in an area with pleistocene loess. Climate 2020, 8, 100. [Google Scholar] [CrossRef]
- Jamieson, P.D.; Porter, J.R.; Goudriaan, J.; Ritchie, J.T.; Van Keulen, H.; Stol, W. A comparison of the models AFRCWHEAT2, CERES-Wheat, Sirius, SUCROS2 and SWHEAT with measurements from wheat grown under drought. F. Crop. Res. 1998, 55, 23–44. [Google Scholar] [CrossRef]
- Möller, K.; Müller, T. Effects of anaerobic digestion on digestate nutrient availability and crop growth: A review. Eng. Life Sci. 2012, 12, 242–257. [Google Scholar] [CrossRef]



| Year, Fertilizer | pH | DM g kg−1 | Corg g kg−1 | Ntot | N-NH4 g L−1 | N-NO3 g L−1 | P g kg−1 | K g kg−1 | |
|---|---|---|---|---|---|---|---|---|---|
| g kg−1 | g L−1 | ||||||||
| 2019 | |||||||||
| PS | 7.5 | 14.3 | 4.53 | 2.32 | 2.37 | 1.90 | 0.01 | 0.23 | 1.44 |
| LD | 8.2 | 8.0 | 1.82 | 1.81 | 2.13 | 1.58 | 0.01 | 0.07 | 1.14 |
| 2020 | |||||||||
| PS | 7.6 | 31.6 | 10.4 | 2.36 | 2.39 | 1.67 | 0.02 | 0.25 | 1.66 |
| LD | 7.7 | 27.5 | 7.4 | 2.76 | 2.80 | 1.69 | 0.02 | 0.04 | 1.69 |
| Years | Experi-ment | Assessment I before Winter Wheat Growth Resumed | Basic Fertilization (120 kg N ha−1) | Assessment II—During Vegetation | Additional Fertilization (+50 kg N ha−1) | Assessment III—After Harvest |
|---|---|---|---|---|---|---|
| 2019 | I | 25 March 2019 | 03 April 2019 | 13 May 2019 | 21 May 2019 | 29 July 2019 |
| 2020 | II | 24 March 2020 | 09 April 2020 | 14 May 2020 | 15 May 2020 | 12 August 2020 |
| Treatments | N-NO3 | N-NH4 | ||
|---|---|---|---|---|
| 0–30 | 30–60 | 0–30 | 30–60 | |
| kg ha−1 of Soil | ||||
| 2019 (I experiment) | ||||
| Mean | 17.5 ± 0.91 | 31.5 ± 3.07 | 3.5 ± 0.18 | 3.3 ± 0.44 |
| 2020 (II experiment) | ||||
| N0 | 15.1 ± 0.37 a | 2.9 ± 0.46 a | 6.6 ± 0.12 a | 4.2 ± 0.14 a |
| AN120 | 19.5 ±0.70 b | 10.3 ± 1.70 cde | 6.7 ± 0.05 a | 4.7 ± 0.14 a |
| PS120 | 16.6 ± 0.31 ab | 8.9 ± 1.08 bcde | 7.4 ± 0.04 ab | 4.9 ± 0.02 ab |
| LD120 | 24.8 ± 0.45 c | 5.5 ± 0.31 ab | 7.2 ± 0.27 ab | 5.7 ± 0.21 ab |
| AN120 + 50 | 15.6 ± 0.42 a | 6.3 ± 0.54 b | 7.8 ± 0.27 ab | 7.8 ± 0.67 bcd |
| PS120 + 50 | 14.5 ±0.20 a | 7.5 ± 0.67 bc | 8.2 ± 0.23 bc | 6.7 ± 0.32 abcd |
| LD120 + 50 | 15.2 ±0.46 a | 9.9 ±2.88 cde | 9.3 ± 0.59 c | 9.4 ± 1.46 d |
| Treatment | 2019 (I Experiment) | 2020 (II Experiment) | ||||||
|---|---|---|---|---|---|---|---|---|
| N-NO3 | N-NH4 | N-NO3 | N-NH4 | |||||
| 0–30 | 30–60 | 0–30 | 30–60 | 0–30 | 30–60 | 0–30 | 30–60 | |
| kg ha−1 of soil | ||||||||
| N0 | 14.2 a | 18.3 a | 6.9 a | 6.9 a | 12.6 a | 12.9 a | 7.4 a | 14.0 ab |
| AN120 | 43.9 d | 73.8 c | 9.4 abc | 33.9 bc | 19.6 ab | 35.6 ab | 11.1 abc | 15.0 ab |
| PS120 | 22.2 b | 33.1 b | 6.8 a | 21.0 abc | 31.3 abc | 89.9 c | 13.6 abc | 14.8 ab |
| LD120 | 29.9 c | 22.5 ab | 11.3 bc | 31.7 bc | 27.2 abc | 46.0 bc | 10.2 abc | 13.9 ab |
| AN120 + 50 | 43.9 d | 73.8 c | 9.4 abc | 33.9 c | 17.3 ab | 101.4 cd | 7.4 a | 16.1 b |
| PS120 + 50 | 22.2 b | 33.1 b | 6.8 a | 21.0 abc | 41.4 c | 159.1 e | 15.6 c | 14.3 ab |
| LD120 + 50 | 29.8 c | 22.5 ab | 11.3 bc | 31.7 bc | 37.7 bc | 145.6 de | 14.6 abc | 14.1 ab |
| Treatment | 2019 (I Experiment) | 2020 (II Experiment) | ||||||
|---|---|---|---|---|---|---|---|---|
| N-NO3 | N-NH4 | N-NO3 | N-NH4 | |||||
| 0–30 | 30–60 | 0–30 | 30–60 | 0–30 | 30–60 | 0–30 | 30–60 | |
| kg ha−1 of Soil | ||||||||
| N0 | 42.8 a | 23.8 ab | 6.4 a | 9.3 b | 46.0 ab | 24.5 abc | 14.2 b | 9.7 a |
| AN120 | 76.3 b | 39.4 bc | 6.8 a | 9.1 ab | 44.8 ab | 22.8 abc | 12.2 ab | 9.8 a |
| PS120 | 38.1 a | 18.0 a | 8.4 abc | 9.1 ab | 55.6 ab | 15.2 a | 13.0 ab | 9.4 a |
| LD120 | 52.2 a | 20.6 a | 10.0 abc | 9.2 ab | 62.5 b | 17.7 ab | 11.3 ab | 11.7 bc |
| AN120 + 50 | 100.8 c | 44.8 c | 8.1 a | 9.1 ab | 62.0 ab | 29.4 abc | 11.1 ab | 13.1 c |
| PS120 + 50 | 54.3 a | 25.5 ab | 13.4 c | 8.9 ab | 61.2 ab | 49.9 bc | 12.5 ab | 12.9 bc |
| LD120 + 50 | 56.4 ab | 31.8 abc | 9.5 abc | 8.7 ab | 49.7 ab | 55.1 c | 11.9 ab | 13.0 bc |
| Treatments | 2019 (I Experiment) | 2020 (II Experiment) | ||||
|---|---|---|---|---|---|---|
| N Concentration g kg−1 DM | N Accumulated in Yield kg ha−1 | N Concentration g kg−1 DM | N Accumulated in Yield kg ha−1 | |||
| Grain | Straw | Grain | Straw | |||
| N0 | 20.7a | 3.1a | 109.4a | 15.3a | 3.3ab | 83.0a |
| AN120 | 24.2de | 4.3e | 153.3cd | 16.6ab | 3.3ab | 118.0abc |
| PS120 | 22.4b | 3.2ab | 122.6ab | 17.7ab | 3.2a | 124.7bc |
| LD120 | 23.2bcd | 3.5bc | 130.7abc | 16.7ab | 3.0a | 117.0ab |
| AN120 + 50 | 25.1e | 4.4e | 163.9d | 18.8bc | 3.3ab | 132.7bcd |
| PS120 + 50 | 23.9cde | 3.8c | 140.6bcd | 21.5c | 5.1b | 171.1d |
| LD120 + 50 | 24.0de | 3.9c | 138.4bcd | 20.8c | 4.0ab | 158.1cd |
Publisher’s Note: MDPI stays neutral with regard to jurisdictional claims in published maps and institutional affiliations. |
© 2022 by the authors. Licensee MDPI, Basel, Switzerland. This article is an open access article distributed under the terms and conditions of the Creative Commons Attribution (CC BY) license (https://creativecommons.org/licenses/by/4.0/).
Share and Cite
Petraityte, D.; Arlauskiene, A.; Ceseviciene, J. Use of Digestate as an Alternative to Mineral Fertilizer: Effects on Soil Mineral Nitrogen and Winter Wheat Nitrogen Accumulation in Clay Loam. Agronomy 2022, 12, 402. https://doi.org/10.3390/agronomy12020402
Petraityte D, Arlauskiene A, Ceseviciene J. Use of Digestate as an Alternative to Mineral Fertilizer: Effects on Soil Mineral Nitrogen and Winter Wheat Nitrogen Accumulation in Clay Loam. Agronomy. 2022; 12(2):402. https://doi.org/10.3390/agronomy12020402
Chicago/Turabian StylePetraityte, Danute, Ausra Arlauskiene, and Jurgita Ceseviciene. 2022. "Use of Digestate as an Alternative to Mineral Fertilizer: Effects on Soil Mineral Nitrogen and Winter Wheat Nitrogen Accumulation in Clay Loam" Agronomy 12, no. 2: 402. https://doi.org/10.3390/agronomy12020402
APA StylePetraityte, D., Arlauskiene, A., & Ceseviciene, J. (2022). Use of Digestate as an Alternative to Mineral Fertilizer: Effects on Soil Mineral Nitrogen and Winter Wheat Nitrogen Accumulation in Clay Loam. Agronomy, 12(2), 402. https://doi.org/10.3390/agronomy12020402

