Polysaccharides: The Sweet and Bitter Impacts on Cardiovascular Risk
Abstract
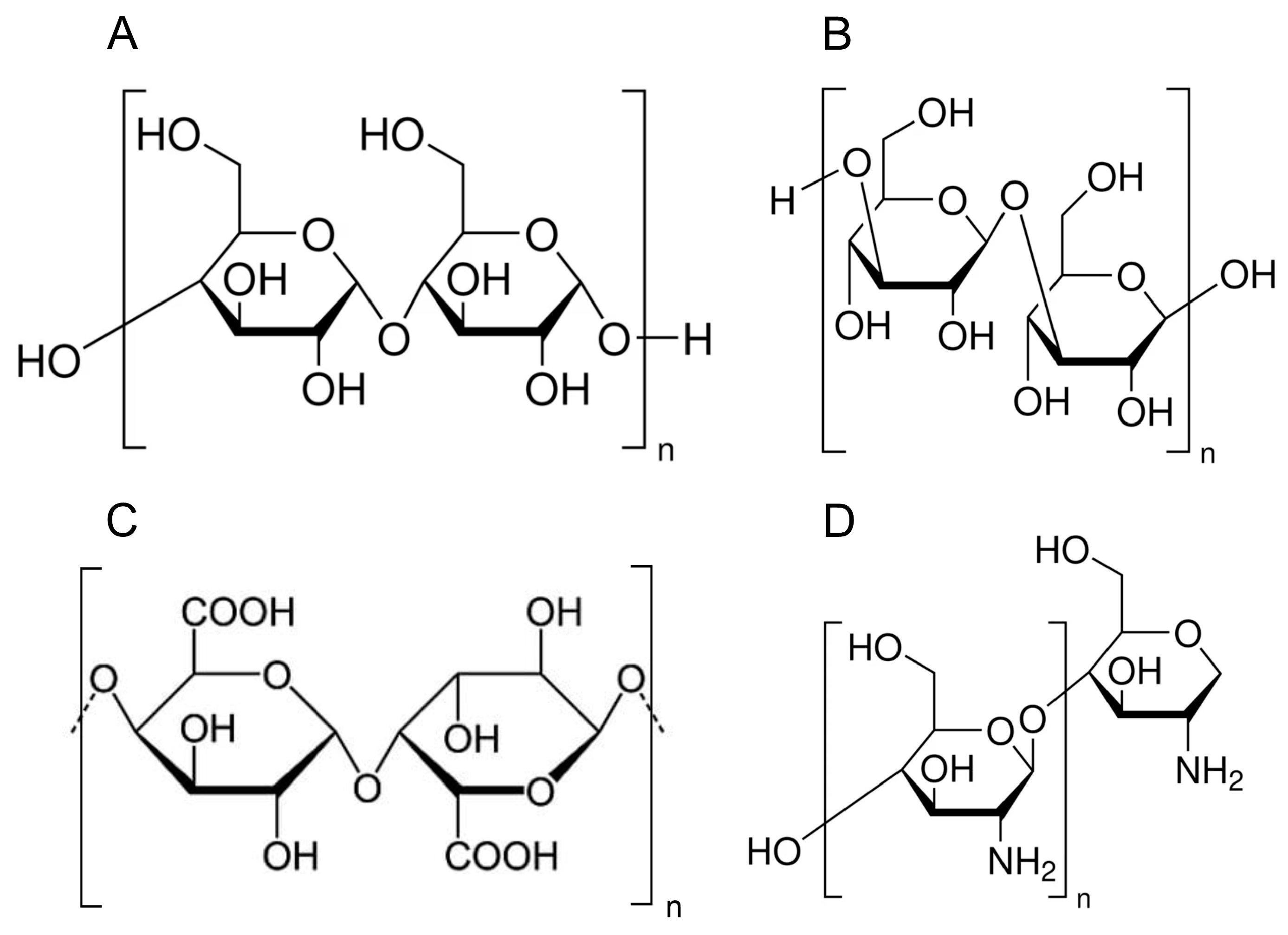
1. Introduction
2. Dyslipidemia
3. Hypertension
4. Obesity
5. Diabetes
6. Conclusions
Author Contributions
Funding
Data Availability Statement
Acknowledgments
Conflicts of Interest
References
- Visseren, F.L.J.; Mach, F.; Smulders, Y.M.; Carballo, D.; Koskinas, K.C.; Bäck, M.; Benetos, A.; Biffi, A.; Boavida, J.-M.; Capodanno, D.; et al. 2021 ESC Guidelines on Cardiovascular Disease Prevention in Clinical Practice. Eur. Heart J. 2021, 42, 3227–3337. [Google Scholar] [CrossRef] [PubMed]
- Pagidipati, N.J.; Gaziano, T.A. Estimating Deaths From Cardiovascular Disease: A Review of Global Methodologies of Mortality Measurement. Circulation 2013, 127, 749–756. [Google Scholar] [CrossRef] [PubMed]
- Popiolek-Kalisz, J.; Blaszczak, P.; Fornal, E. Dietary Isorhamnetin Intake Is Associated with Lower Blood Pressure in Coronary Artery Disease Patients. Nutrients 2022, 14, 4586. [Google Scholar] [CrossRef] [PubMed]
- Mach, F.; Baigent, C.; Catapano, A.L.; Koskinas, K.C.; Casula, M.; Badimon, L.; Chapman, M.J.; De Backer, G.G.; Delgado, V.; Ference, B.A.; et al. 2019 ESC/EAS Guidelines for the Management of Dyslipidaemias: Lipid Modification to Reduce Cardiovascular Risk. Eur. Heart J. 2020, 41, 111–188. [Google Scholar] [CrossRef]
- Trautwein, E.A.; McKay, S. The Role of Specific Components of a Plant-Based Diet in Management of Dyslipidemia and the Impact on Cardiovascular Risk. Nutrients 2020, 12, 2671. [Google Scholar] [CrossRef]
- Ma, J.; Karlsen, M.C.; Chung, M.; Jacques, P.F.; Saltzman, E.; Smith, C.E.; Fox, C.S.; McKeown, N.M. Potential Link between Excess Added Sugar Intake and Ectopic Fat: A Systematic Review of Randomized Controlled Trials. Nutr. Rev. 2016, 74, 18–32. [Google Scholar] [CrossRef] [PubMed]
- Li, S.; Liu, J.; Wang, Z.; Duan, F.; Jia, Z.; Chen, X.; Li, S. The Promising Role of Probiotics/Prebiotics/Synbiotics in Energy Metabolism Biomarkers in Patients with NAFLD: A Systematic Review and Meta-Analysis. Front. Public Health 2022, 10, 862266. [Google Scholar] [CrossRef] [PubMed]
- Froidurot, A.; Julliand, V. Cellulolytic Bacteria in the Large Intestine of Mammals. Gut Microbes 2022, 14, 2031694. [Google Scholar] [CrossRef]
- Llewellyn, S.R.; Britton, G.J.; Contijoch, E.J.; Vennaro, O.H.; Mortha, A.; Colombel, J.-F.; Grinspan, A.; Clemente, J.C.; Merad, M.; Faith, J.J. Interactions Between Diet and the Intestinal Microbiota Alter Intestinal Permeability and Colitis Severity in Mice. Gastroenterology 2018, 154, 1037–1046.e2. [Google Scholar] [CrossRef] [PubMed]
- Li, H.; Xia, Y.; Liu, H.-Y.; Guo, H.; He, X.-Q.; Liu, Y.; Wu, D.-T.; Mai, Y.-H.; Li, H.-B.; Zou, L.; et al. Nutritional Values, Beneficial Effects, and Food Applications of Broccoli (Brassica Oleracea Var. Italica Plenck). Trends Food Sci. Technol. 2022, 119, 288–308. [Google Scholar] [CrossRef]
- Güzel, M.; Akpınar, Ö. Preparation and Characterization of Bacterial Cellulose Produced from Fruit and Vegetable Peels by Komagataeibacter hansenii GA2016. Int. J. Biol. Macromol. 2020, 162, 1597–1604. [Google Scholar] [CrossRef]
- Saldívar, S.O.S.; Hernández, D.S. Dietary Fiber in Cereals, Legumes, Pseudocereals and Other Seeds. In Science and Technology of Fibers in Food Systems; Springer: Cham, Switzerland, 2020; pp. 87–122. [Google Scholar]
- Qiu, S.; Yadav, M.P.; Yin, L. Characterization and Functionalities Study of Hemicellulose and Cellulose Components Isolated from Sorghum Bran, Bagasse and Biomass. Food Chem. 2017, 230, 225–233. [Google Scholar] [CrossRef] [PubMed]
- Surampudi, P.; Enkhmaa, B.; Anuurad, E.; Berglund, L. Lipid Lowering with Soluble Dietary Fiber. Curr. Atheroscler. Rep. 2016, 18, 75. [Google Scholar] [CrossRef] [PubMed]
- Chen, C.; Zeng, Y.; Xu, J.; Zheng, H.; Liu, J.; Fan, R.; Zhu, W.; Yuan, L.; Qin, Y.; Chen, S.; et al. Therapeutic Effects of Soluble Dietary Fiber Consumption on Type 2 Diabetes Mellitus. Exp. Ther. Med. 2016, 12, 1232–1242. [Google Scholar] [CrossRef] [PubMed]
- Giuntini, E.B.; Sardá, F.A.H.; de Menezes, E.W. The Effects of Soluble Dietary Fibers on Glycemic Response: An Overview and Futures Perspectives. Foods 2022, 11, 3934. [Google Scholar] [CrossRef] [PubMed]
- Anderson, J.W.; Baird, P.; Davis Jr, R.H.; Ferreri, S.; Knudtson, M.; Koraym, A.; Waters, V.; Williams, C.L. Health Benefits of Dietary Fiber. Nutr. Rev. 2009, 67, 188–205. [Google Scholar] [CrossRef]
- Naude, C.E.; Brand, A.; Schoonees, A.; Nguyen, K.A.; Chaplin, M.; Volmink, J. Low-Carbohydrate versus Balanced-Carbohydrate Diets for Reducing Weight and Cardiovascular Risk. Cochrane Database Syst. Rev. 2022, CD013334. [Google Scholar] [CrossRef]
- Xie, C.; Lee, Z.J.; Ye, S.; Barrow, C.J.; Dunshea, F.R.; Suleria, H.A.R. A Review on Seaweeds and Seaweed-Derived Polysaccharides: Nutrition, Chemistry, Bioactivities, and Applications. Food Rev. Int. 2024, 40, 1312–1347. [Google Scholar] [CrossRef]
- Castro-Acosta, M.L.; Lenihan-Geels, G.N.; Corpe, C.P.; Hall, W.L. Berries and Anthocyanins: Promising Functional Food Ingredients with Postprandial Glycaemia-Lowering Effects. Proc. Nutr. Soc. 2016, 75, 342–355. [Google Scholar] [CrossRef] [PubMed]
- Reynolds, A.; Mann, J.; Cummings, J.; Winter, N.; Mete, E.; Morenga, L.T. Carbohydrate Quality and Human Health: A Series of Systematic Reviews and Meta-Analyses. The Lancet 2019, 393, 434–445. [Google Scholar] [CrossRef] [PubMed]
- Reynolds, A.N.; Akerman, A.P.; Mann, J. Dietary Fibre and Whole Grains in Diabetes Management: Systematic Review and Meta-Analyses. PLoS Med. 2020, 17, e1003053. [Google Scholar] [CrossRef] [PubMed]
- Brown, L.; Rosner, B.; Willett, W.W.; Sacks, F.M. Cholesterol-Lowering Effects of Dietary Fiber: A Meta-Analysis. Am. J. Clin. Nutr. 1999, 69, 30–42. [Google Scholar] [CrossRef] [PubMed]
- Yu, J.; Xia, J.; Yang, C.; Pan, D.; Xu, D.; Sun, G.; Xia, H. Effects of Oat Beta-Glucan Intake on Lipid Profiles in Hypercholesterolemic Adults: A Systematic Review and Meta-Analysis of Randomized Controlled Trials. Nutrients. 2022, 14, 2043. [Google Scholar] [CrossRef]
- Pagidipati, N.J.; Taub, P.R.; Ostfeld, R.J.; Kirkpatrick, C.F. Dietary Patterns to Promote Cardiometabolic Health. Nat. Rev. Cardiol. 2025, 22, 38–46. [Google Scholar] [CrossRef] [PubMed]
- Marx, N.; Federici, M.; Schütt, K.; Müller-Wieland, D.; Ajjan, R.A.; Antunes, M.J.; Christodorescu, R.M.; Crawford, C.; Di Angelantonio, E.; Eliasson, B.; et al. 2023 ESC Guidelines for the Management of Cardiovascular Disease in Patients with Diabetes: Developed by the Task Force on the Management of Cardiovascular Disease in Patients with Diabetes of the European Society of Cardiology (ESC). Eur. Heart J. 2023, 44, 4043–4140. [Google Scholar] [CrossRef] [PubMed]
- Liu, F.; Prabhakar, M.; Ju, J.; Long, H.; Zhou, H.-W. Effect of Inulin-Type Fructans on Blood Lipid Profile and Glucose Level: A Systematic Review and Meta-Analysis of Randomized Controlled Trials. Eur. J. Clin. Nutr. 2017, 71, 9–20. [Google Scholar] [CrossRef]
- Scientific Opinion on the Substantiation of Health Claims Related to Chitosan and Reduction in Body Weight (ID 679, 1499), Maintenance of Normal Blood LDL-Cholesterol Concentrations (ID 4663), Reduction of Intestinal Transit Time (ID 4664) and Reduction of Inflammation (ID 1985) Pursuant to Article 13(1) of Regulation (EC) No 1924/2006. Eur. Heart J. 2011, 9, 2214. [CrossRef]
- Soliman, G.A. Dietary Fiber, Atherosclerosis, and Cardiovascular Disease. Nutrients 2019, 11, 1155. [Google Scholar] [CrossRef] [PubMed]
- Li, A.; Gao, J.; Li, Y.; Qi, S.; Meng, T.; Yu, S.; Zhang, Y.; He, Q. Efficacy of Oats in Dyslipidemia: A Systematic Review and Meta-Analysis. Food Funct. 2024, 15, 3232–3245. [Google Scholar] [CrossRef]
- Ghavami, A.; Ziaei, R.; Talebi, S.; Barghchi, H.; Nattagh-Eshtivani, E.; Moradi, S.; Rahbarinejad, P.; Mohammadi, H.; Ghasemi-Tehrani, H.; Marx, W.; et al. Soluble Fiber Supplementation and Serum Lipid Profile: A Systematic Review and Dose-Response Meta-Analysis of Randomized Controlled Trials. Adv. Nutr. 2023, 14, 465–474. [Google Scholar] [CrossRef]
- Ho, H.V.T.; Sievenpiper, J.L.; Zurbau, A.; Blanco Mejia, S.; Jovanovski, E.; Au-Yeung, F.; Jenkins, A.L.; Vuksan, V. The Effect of Oat β -Glucan on LDL-Cholesterol, Non-HDL-Cholesterol and apoB for CVD Risk Reduction: A Systematic Review and Meta-Analysis of Randomised-Controlled Trials. Br. J. Nutr. 2016, 116, 1369–1382. [Google Scholar] [CrossRef]
- Zhu, X.; Sun, X.; Wang, M.; Zhang, C.; Cao, Y.; Mo, G.; Liang, J.; Zhu, S. Quantitative Assessment of the Effects of Beta-Glucan Consumption on Serum Lipid Profile and Glucose Level in Hypercholesterolemic Subjects. Nutr. Metab. Cardiovasc. Dis. 2015, 25, 714–723. [Google Scholar] [CrossRef]
- de Morais Junior, A.C.; Schincaglia, R.M.; Viana, R.B.; Armet, A.M.; Prado, C.M.; Walter, J.; Mota, J.F. The Separate Effects of Whole Oats and Isolated Beta-Glucan on Lipid Profile: A Systematic Review and Meta-Analysis of Randomized Controlled Trials. Clin. Nutr. ESPEN 2023, 53, 224–237. [Google Scholar] [CrossRef]
- Talati, R.; Baker, W.L.; Pabilonia, M.S.; White, C.M.; Coleman, C.I. The Effects of Barley-Derived Soluble Fiber on Serum Lipids. Ann. Fam. Med. 2009, 7, 157–163. [Google Scholar] [CrossRef]
- AbuMweis, S.S.; Jew, S.; Ames, N.P. β-Glucan from Barley and Its Lipid-Lowering Capacity: A Meta-Analysis of Randomized, Controlled Trials. Eur. J. Clin. Nutr. 2010, 64, 1472–1480. [Google Scholar] [CrossRef] [PubMed]
- Xu, D.; Liu, H.; Yang, C.; Xia, H.; Pan, D.; Yang, X.; Yang, L.; Wang, S.; Sun, G. Effects of Different Delivering Matrices of β-Glucan on Lipids in Mildly Hypercholesterolaemic Individuals: A Meta-Analysis of Randomised Controlled Trials. Br. J. Nutr. 2021, 125, 294–307. [Google Scholar] [CrossRef] [PubMed]
- Silva, L.d.A.; Verneque, B.J.F.; Mota, A.P.L.; Duarte, C.K. Chia Seed (Salvia hispanica L.) Consumption and Lipid Profile: A Systematic Review and Meta-Analysis. Food Funct. 2021, 12, 8835–8849. [Google Scholar] [CrossRef] [PubMed]
- Jovanovski, E.; Yashpal, S.; Komishon, A.; Zurbau, A.; Blanco Mejia, S.; Ho, H.V.T.; Li, D.; Sievenpiper, J.; Duvnjak, L.; Vuksan, V. Effect of Psyllium (Plantago ovata) Fiber on LDL Cholesterol and Alternative Lipid Targets, Non-HDL Cholesterol and Apolipoprotein B: A Systematic Review and Meta-Analysis of Randomized Controlled Trials. Am. J. Clin. Nutr. 2018, 108, 922–932. [Google Scholar] [CrossRef] [PubMed]
- Brum, J.; Ramsey, D.; McRorie, J.; Bauer, B.; Kopecky, S.L. Meta-Analysis of Usefulness of Psyllium Fiber as Adjuvant Antilipid Therapy to Enhance Cholesterol Lowering Efficacy of Statins. Am. J. Cardiol. 2018, 122, 1169–1174. [Google Scholar] [CrossRef]
- Wei, Z.; Wang, H.; Chen, X.; Wang, B.; Rong, Z.; Wang, B.; Su, B.; Chen, H. Time- and Dose-Dependent Effect of Psyllium on Serum Lipids in Mild-to-Moderate Hypercholesterolemia: A Meta-Analysis of Controlled Clinical Trials. Eur. J. Clin. Nutr. 2009, 63, 821–827. [Google Scholar] [CrossRef] [PubMed]
- Anderson, J.W.; Allgood, L.D.; Lawrence, A.; Altringer, L.A.; Jerdack, G.R.; Hengehold, D.A.; Morel, J.G. Cholesterol-Lowering Effects of Psyllium Intake Adjunctive to Diet Therapy in Men and Women with Hypercholesterolemia: Meta-Analysis of 8 Controlled Trials. Am. J. Clin. Nutr. 2000, 71, 472–479. [Google Scholar] [CrossRef]
- Olson, B.H.; Anderson, S.M.; Becker, M.P.; Anderson, J.W.; Hunninghake, D.B.; Jenkins, D.J.A.; LaRosa, J.C.; Rippe, J.M.; Roberts, D.C.K.; Stoy, D.B.; et al. Psyllium-Enriched Cereals Lower Blood Total Cholesterol and LDL Cholesterol, but Not HDL Cholesterol, in Hypercholesterolemic Adults: Results of a Meta-Analysis. J. Nutr. 1997, 127, 1973–1980. [Google Scholar] [CrossRef] [PubMed]
- Bazzano, L.A.; Thompson, A.M.; Tees, M.T.; Nguyen, C.H.; Winham, D.M. Non-Soy Legume Consumption Lowers Cholesterol Levels: A Meta-Analysis of Randomized Controlled Trials. Nutr. Metab. Cardiovasc. Dis. 2011, 21, 94–103. [Google Scholar] [CrossRef] [PubMed]
- Shin, D.; Shim, S.R.; Wu, Y.; Hong, G.; Jeon, H.; Kim, C.-G.; Lee, K.J. How Do Brown Seaweeds Work on Biomarkers of Dyslipidemia? A Systematic Review with Meta-Analysis and Meta-Regression. Mar. Drugs 2023, 21, 220. [Google Scholar] [CrossRef]
- Malhotra, A.; Shafiq, N.; Arora, A.; Singh, M.; Kumar, R.; Malhotra, S. Dietary Interventions (Plant Sterols, Stanols, Omega-3 Fatty Acids, Soy Protein and Dietary Fibers) for Familial Hypercholesterolaemia. Cochrane Database Syst. Rev. 2014, 2014, CD001918. [Google Scholar] [CrossRef]
- Huang, H.; Zou, Y.; Chi, H.; Liao, D. Lipid-Modifying Effects of Chitosan Supplementation in Humans: A Pooled Analysis with Trial Sequential Analysis. Mol. Nutr. Food Res. 2018, 62, 1700842. [Google Scholar] [CrossRef]
- Ghavami, A.; Banpouri, S.; Ziaei, R.; Talebi, S.; Vajdi, M.; Nattagh-Eshtivani, E.; Barghchi, H.; Mohammadi, H.; Askari, G. Effect of Soluble Fiber on Blood Pressure in Adults: A Systematic Review and Dose–Response Meta-Analysis of Randomized Controlled Trials. Nutr. J. 2023, 22, 51. [Google Scholar] [CrossRef]
- Reynolds, A.N.; Akerman, A.; Kumar, S.; Diep Pham, H.T.; Coffey, S.; Mann, J. Dietary Fibre in Hypertension and Cardiovascular Disease Management: Systematic Review and Meta-Analyses. BMC Med. 2022, 20, 139. [Google Scholar] [CrossRef]
- Clark, C.C.T.; Salek, M.; Aghabagheri, E.; Jafarnejad, S. The Effect of Psyllium Supplementation on Blood Pressure: A Systematic Review and Meta-Analysis of Randomized Controlled Trials. Korean J. Intern. Med. 2020, 35, 1385–1399. [Google Scholar] [CrossRef]
- Khan, K.; Jovanovski, E.; Ho, H.V.T.; Marques, A.C.R.; Zurbau, A.; Mejia, S.B.; Sievenpiper, J.L.; Vuksan, V. The Effect of Viscous Soluble Fiber on Blood Pressure: A Systematic Review and Meta-Analysis of Randomized Controlled Trials. Nutr. Metab. Cardiovasc. Dis. 2018, 28, 3–13. [Google Scholar] [CrossRef]
- Khalesi, S.; Irwin, C.; Schubert, M. Flaxseed Consumption May Reduce Blood Pressure: A Systematic Review and Meta-Analysis of Controlled Trials. J. Nutr. 2015, 145, 758–765. [Google Scholar] [CrossRef] [PubMed]
- Xi, H.; Zhou, W.; Niu, Y.; Zhu, R.; Wang, S.; Guo, Y.; Liu, W.; Xiong, X.; Guo, L. Effect of Oat Consumption on Blood Pressure: A Systematic Review and Meta-Analysis of Randomized Controlled Trials. J. Acad. Nutr. Diet. 2023, 123, 809–823. [Google Scholar] [CrossRef]
- Huang, H.; Zou, Y.; Chi, H. Quantitative Assessment of the Effects of Chitosan Intervention on Blood Pressure Control. Drug Des. Dev. Ther. 2018, 12, 67–75. [Google Scholar] [CrossRef]
- Man, A.W.C.; Li, H.; Xia, N. Impact of Lifestyles (Diet and Exercise) on Vascular Health: Oxidative Stress and Endothelial Function. Oxidative Med. Cell. Longev. 2020, 2020, 1496462. [Google Scholar] [CrossRef]
- Virani, S.S.; Newby, L.K.; Arnold, S.V.; Bittner, V.; Brewer, L.C.; Demeter, S.H.; Dixon, D.L.; Fearon, W.F.; Hess, B.; Johnson, H.M.; et al. 2023 AHA/ACC/ACCP/ASPC/NLA/PCNA Guideline for the Management of Patients with Chronic Coronary Disease: A Report of the American Heart Association/American College of Cardiology Joint Committee on Clinical Practice Guidelines. Circulation 2023, 148, e9–e119. [Google Scholar] [CrossRef] [PubMed]
- Griel, A.E.; Ruder, E.H.; Kris-Etherton, P.M. The Changing Roles of Dietary Carbohydrates: From Simple to Complex. Arterioscler. Thromb. Vasc. Biol. 2006, 26, 1958–1965. [Google Scholar] [CrossRef] [PubMed]
- Dreher, M. Fiber and Hypertension. In Dietary Fiber in Health and Disease; Springer: Cham, Switzerland, 2018; pp. 291–303. [Google Scholar]
- Khalid, W.; Arshad, M.S.; Jabeen, A.; Muhammad Anjum, F.; Qaisrani, T.B.; Suleria, H.A.R. Fiber-Enriched Botanicals: A Therapeutic Tool against Certain Metabolic Ailments. Food Sci. Nutr. 2022, 10, 3203–3218. [Google Scholar] [CrossRef]
- Hu, T.; Wu, Q.; Yao, Q.; Jiang, K.; Yu, J.; Tang, Q. Short-Chain Fatty Acid Metabolism and Multiple Effects on Cardiovascular Diseases. Ageing Res. Rev. 2022, 81, 101706. [Google Scholar] [CrossRef] [PubMed]
- Havlik, J.; Marinello, V.; Gardyne, A.; Hou, M.; Mullen, W.; Morrison, D.J.; Preston, T.; Combet, E.; Edwards, C.A. Dietary Fibres Differentially Impact on the Production of Phenolic Acids from Rutin in an In Vitro Fermentation Model of the Human Gut Microbiota. Nutrients 2020, 12, 1577. [Google Scholar] [CrossRef] [PubMed]
- Shahinfar, H.; Jayedi, A.; Torabynasab, K.; Payandeh, N.; Martami, F.; Moosavi, H.; Bazshahi, E.; Shab-Bidar, S. Comparative Effects of Nutraceuticals on Body Weight in Adults with Overweight or Obesity: A Systematic Review and Network Meta-Analysis of 111 Randomized Clinical Trials. Pharmacol. Res. 2023, 196, 106944. [Google Scholar] [CrossRef]
- Rajestary, R.; Landi, L.; Romanazzi, G. Chitosan and Postharvest Decay of Fresh Fruit: Meta-Analysis of Disease Control and Antimicrobial and Eliciting Activities. Compr. Rev. Food Sci. Food Saf. 2021, 20, 563–582. [Google Scholar] [CrossRef]
- Zhang, P.; Jia, J.; Jiang, P.; Zheng, W.; Li, X.; Song, S.; Ai, C. Polysaccharides from Edible Brown Seaweed Undaria Pinnatifida Are Effective against High-Fat Diet-Induced Obesity in Mice through the Modulation of Intestinal Microecology. Food Funct. 2022, 13, 2581–2593. [Google Scholar] [CrossRef]
- Murakami, S.; Hirazawa, C.; Ohya, T.; Yoshikawa, R.; Mizutani, T.; Ma, N.; Moriyama, M.; Ito, T.; Matsuzaki, C. The Edible Brown Seaweed Sargassum horneri (Turner) C. Agardh Ameliorates High-Fat Diet-Induced Obesity, Diabetes, and Hepatic Steatosis in Mice. Nutrients 2021, 13, 551. [Google Scholar] [CrossRef] [PubMed]
- Wang, J.; Zhang, Z.; Dai, T.; Zhang, Z.; Zhang, Q.; Yao, J.; Wang, L.; He, N.; Li, S. The Therapeutic Effect and Possible Mechanisms of Alginate Oligosaccharide on Metabolic Syndrome by Regulating Gut Microbiota. Food Funct. 2024, 15, 9632–9661. [Google Scholar] [CrossRef]
- Patil, N.P.; Le, V.; Sligar, A.D.; Mei, L.; Chavarria, D.; Yang, E.Y.; Baker, A.B. Algal Polysaccharides as Therapeutic Agents for Atherosclerosis. Front. Cardiovasc. Med. 2018, 5, 153. [Google Scholar] [CrossRef] [PubMed]
- Li, J.; Chen, R.; Chen, Y.; Zhu, D.; Wu, Z.; Chen, F.; Huang, X.; Ali Khan, B.; Al Hennawi, H.E.; Albazee, E.; et al. The Effect of Guar Gum Consumption on the Lipid Profile in Type 2 Diabetes Mellitus: A Systematic Review and Meta-Analysis of Randomized Controlled Trials. Crit. Rev. Food Sci. Nutr. 2023, 63, 2886–2895. [Google Scholar] [CrossRef]
- Zou, Y.; Liao, D.; Huang, H.; Li, T.; Chi, H. A Systematic Review and Meta-Analysis of Beta-Glucan Consumption on Glycemic Control in Hypercholesterolemic Individuals. Int. J. Food Sci. Nutr. 2015, 66, 355–362. [Google Scholar] [CrossRef] [PubMed]
- Chambers, E.S.; Byrne, C.S.; Morrison, D.J.; Murphy, K.G.; Preston, T.; Tedford, C.; Garcia-Perez, I.; Fountana, S.; Serrano-Contreras, J.I.; Holmes, E.; et al. Dietary Supplementation with Inulin-Propionate Ester or Inulin Improves Insulin Sensitivity in Adults with Overweight and Obesity with Distinct Effects on the Gut Microbiota, Plasma Metabolome and Systemic Inflammatory Responses: A Randomised Cross-over Trial. Gut 2019, 68, 1430–1438. [Google Scholar] [CrossRef] [PubMed]
- American Diabetes Association Professional Practice Committee 2. Diagnosis and Classification of Diabetes: Standards of Care in Diabetes-2024. Diabetes Care 2024, 47, S20–S42. [Google Scholar] [CrossRef]
- World Health Organization. Guideline: Sugars Intake for Adults and Children; WHO Guidelines Approved by the Guidelines Review Committee; World Health Organization: Geneva, Switzerland, 2015; ISBN 978-92-4-154902-8. [Google Scholar]
- Vaz, E.C.; Porfírio, G.J.M.; Nunes, H.R.D.C.; Nunes-Nogueira, V.D.S. Effectiveness and Safety of Carbohydrate Counting in the Management of Adult Patients with Type 1 Diabetes Mellitus: A Systematic Review and Meta-Analysis. Arch. Endocrinol. Metab. 2018, 62, 337–345. [Google Scholar] [CrossRef] [PubMed]
- Diabetes and Nutrition Study Group (DNSG) of the European Association for the Study of Diabetes (EASD) Evidence-Based European Recommendations for the Dietary Management of Diabetes. Diabetologia 2023, 66, 965–985. [CrossRef] [PubMed]
- Tavares, J.O.; Cotas, J.; Valado, A.; Pereira, L. Algae Food Products as a Healthcare Solution. Mar. Drugs 2023, 21, 578. [Google Scholar] [CrossRef] [PubMed]
- Fizpatrick, F.W.; DiCarlo, F.J. Zymosan. Ann. N. Y. Acad. Sci. 1964, 118, 235–261. [Google Scholar] [CrossRef]
- Nakashima, A.; Yamada, K.; Iwata, O.; Sugimoto, R.; Atsuji, K.; Ogawa, T.; Ishibashi-Ohgo, N.; Suzuki, K. β-Glucan in Foods and Its Physiological Functions. J. Nutr. Sci. Vitaminol. 2018, 64, 8–17. [Google Scholar] [CrossRef] [PubMed]
- Zurbau, A.; Noronha, J.C.; Khan, T.A.; Sievenpiper, J.L.; Wolever, T.M.S. The Effect of Oat β-Glucan on Postprandial Blood Glucose and Insulin Responses: A Systematic Review and Meta-Analysis. Eur. J. Clin. Nutr. 2021, 75, 1540–1554. [Google Scholar] [CrossRef] [PubMed]
- He, L.; Zhao, J.; Huang, Y.; Li, Y. The Difference between Oats and Beta-Glucan Extract Intake in the Management of HbA1c, Fasting Glucose and Insulin Sensitivity: A Meta-Analysis of Randomized Controlled Trials. Food Funct. 2016, 7, 1413–1428. [Google Scholar] [CrossRef]
- Francelino Andrade, E.; Vieira Lobato, R.; Vasques Araújo, T.; Gilberto Zangerônimo, M.; Vicente Sousa, R.; José Pereira, L. Effect of Beta-Glucans in the Control of Blood Glucose Levels of Diabetic Patients: A Systematic Review. Nutr. Hosp. 2014, 31, 170–177. [Google Scholar] [CrossRef]
- Mozaffarian, D. Dietary and Policy Priorities for Cardiovascular Disease, Diabetes, and Obesity: A Comprehensive Review. Circulation 2016, 133, 187–225. [Google Scholar] [CrossRef]
- Guo, W.; Yi, L.; Zhou, B.; Li, M. Chitosan Modifies Glycemic Levels in People with Metabolic Syndrome and Related Disorders: Meta-Analysis with Trial Sequential Analysis. Nutr. J. 2020, 19, 130. [Google Scholar] [CrossRef]


| Polysaccharides | Sources | Recommendation | Result |
|---|---|---|---|
| Soluble Fiber | Oats, barley, beans, lentils, peas, apples, citrus fruits, carrots, psyllium husk | intake of 4–10 g/day [21,22,23] | protective in cardiometabolic complications decrease of mortality lowering glucose lowering TC, LDL, TG |
| Insoluble fiber | Whole grains (wheat bran, brown rice), nuts, seeds, vegetables (cauliflower, green beans, potatoes) | 70–75% of total fiber [21,22,23] | |
| Beta-glucans | Oats, barley, mushrooms (e.g., shiitake, maitake), yeast | 3–6 g/day [24] | lowers LDL and non-HDL |
| Refined starches | White bread, white rice, pastries, many processed foods, crackers, cakes, and some breakfast cereals | should be minimized 1–2 servings/day [25] | worsening of cardiometabolic health and an increased risk of CVD events |
| Starch | Potatoes, corn, peas, pasta, bread, and other grains | No recommendation | high glycemic index, glycemia spikes |
| Resistant starch | Green bananas, legumes, cooked and cooled potatoes, rice, pasta, high-amylose cornstarch | 15–60 g/day [26] | decrease of available energy lower blood glucose increase of TG |
| Inulin | Chicory root, onions, garlic, leeks, asparagus, artichokes, bananas | 5–10 g/day [27] | lowering TC and LDL Modulation of inflammation enhance the growth of beneficial gut bacteria |
| Chitosan | Exoskeleton of crustaceans (crab, shrimp, lobster) | no recommendation, considered 1–6 g/day [28] | Decreasing body weight Has prebiotic and antimicrobial properties |
| Dietary Component | Key Effect in Dyslipidemia |
|---|---|
| Soluble fibers | ↓TC, ↓LDL |
| Beta-glucans | ↓LDL, ↓non-HDL, ↓apoB |
| Guar gum | ↓TC, ↓LDL (with therapy of familial hypercholesterolemia) |
| Inulin-type fructans | ↓LDL |
| Chitosan | ↓TC, ↓LDL |
| Psyllium | ↓LDL, ↓non-HDL, ↓apoB |
| Dietary Component | Key Effect in Hypertension |
|---|---|
| Soluble fibers | ↓SBP, ↓DBP, improves endothelial function, ↓Inflammation |
| Beta-glucans | ↓SBP |
| Chitosan | ↓DBP (in high doses) |
| Psyllium | ↓SBP |
| Dietary Component | Key Effects in Obesity |
|---|---|
| Dietary fiber | ↑satiety, ↓gastric emptying, ↓caloric intake, ↑body weight loss, ↓CV risk, ↓LDL-C, ↓inflammation |
| Inulin | ↓LDL-C, improves lipid profile |
| Pectins | improve endothelial function, ↓inflammation, ↓CV risk |
| Chitosan | ↓body weight in overweight patients, can disrupt gut microbiota balance in prolonged use |
| Psyllium and Glucomannan | ↓body weight |
| Alginates | ↓cholesterol and glucose absorption |
| Dietary Component | Key Effects in Diabetes |
|---|---|
| Low carbohydrate diets (High fiber) | ↓CVD risk, ↓hypertension, ↓insulin resistance |
| Beta-glucans | ↓postprandial glycemic spikes, ↓fasting glucose, ↓insulin, ↓HbA1c |
| Chitosan | ↓fasting glucose, ↓HbA1c |
| Resistant starches | ↑insulin sensitivity, ↓caloric intake, ↓CVD risk |
| Guar gum | ↓TC, ↓LDL-C, ↓TG |
Disclaimer/Publisher’s Note: The statements, opinions and data contained in all publications are solely those of the individual author(s) and contributor(s) and not of MDPI and/or the editor(s). MDPI and/or the editor(s) disclaim responsibility for any injury to people or property resulting from any ideas, methods, instructions or products referred to in the content. |
© 2025 by the authors. Licensee MDPI, Basel, Switzerland. This article is an open access article distributed under the terms and conditions of the Creative Commons Attribution (CC BY) license (https://creativecommons.org/licenses/by/4.0/).
Share and Cite
Kalisz, G.; Popiolek-Kalisz, J. Polysaccharides: The Sweet and Bitter Impacts on Cardiovascular Risk. Polymers 2025, 17, 405. https://doi.org/10.3390/polym17030405
Kalisz G, Popiolek-Kalisz J. Polysaccharides: The Sweet and Bitter Impacts on Cardiovascular Risk. Polymers. 2025; 17(3):405. https://doi.org/10.3390/polym17030405
Chicago/Turabian StyleKalisz, Grzegorz, and Joanna Popiolek-Kalisz. 2025. "Polysaccharides: The Sweet and Bitter Impacts on Cardiovascular Risk" Polymers 17, no. 3: 405. https://doi.org/10.3390/polym17030405
APA StyleKalisz, G., & Popiolek-Kalisz, J. (2025). Polysaccharides: The Sweet and Bitter Impacts on Cardiovascular Risk. Polymers, 17(3), 405. https://doi.org/10.3390/polym17030405

