Fabrication and Performance Enhancement of Wood Liquefaction-Based Carbon Fibers Modified with Alumina Nanoparticles
Abstract
1. Introduction
2. Materials and Methods
2.1. Materials
2.2. Preparation of WP
2.3. Preparation of Aluminum Oxide-Modified WPFs
2.4. Optimal Curing Conditions for the Preparation of WPFs
2.5. Preparation of WCFs
2.6. Characterization
3. Results and Discussion
3.1. Surface Morphology of WP
3.2. Chemical Structure of WP
3.3. Structure and Characterization of WPF and AL-WPF
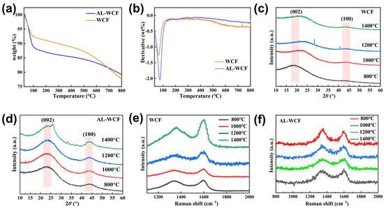
3.4. Structure and Characterization of Nano-Alumina-Modified WCFs
4. Conclusions
Author Contributions
Funding
Institutional Review Board Statement
Informed Consent Statement
Data Availability Statement
Conflicts of Interest
References
- Zhang, J.; Chevali, V.S.; Wang, H.; Wang, C.H. Current status of carbon fibre and carbon fibre composites recycling. Compos. Part B Eng. 2020, 193, 108053. [Google Scholar] [CrossRef]
- Ze, G.K.; Pramanik, A.; Basak, A.K.; Prakash, C.; Shankar, S.; Radhika, N. Challenges associated with drilling of carbon fibre reinforced polymer (CFRP) composites—A review. Compos. Part C Open Access 2023, 11, 100356. [Google Scholar] [CrossRef]
- Zhu, J.; Gao, Z.; Mao, Q.; Gao, Y.; Li, Y.; Zhang, X.; Gao, Q.; Jiang, M.; Lee, S.; van Duin, A.C.T. Advances in developing cost-effective carbon fibers by coupling multiscale modeling and experiments: A critical review. Prog. Mater. Sci. 2024, 146, 101329. [Google Scholar] [CrossRef]
- Wei, S.; Tan, Z.; Liu, Z.; Zuo, H.; Xia, Y.; Zhang, Y. Removal of methyl orange dye by high surface area biomass activated carbon prepared from bamboo fibers. Ind. Crops Prod. 2024, 218, 118991. [Google Scholar] [CrossRef]
- Xia, Y.; Zuo, H.; Lv, J.; Wei, S.; Yao, Y.; Liu, Z.; Lin, Q.; Yu, Y.; Yu, W.; Huang, Y. Preparation of multi-layered microcapsule-shaped activated biomass carbon with ultrahigh surface area from bamboo parenchyma cells for energy storage and cationic dyes removal. J. Clean. Prod. 2023, 396, 136517. [Google Scholar] [CrossRef]
- Pan, W.; Wang, Z.; Liu, W.; Lin, J. Centrifugally spun lignin fibers with high Cr(Ⅵ) adsorption capacity. Ind. Crops Prod. 2022, 189, 115833. [Google Scholar] [CrossRef]
- Krishnasamy, P.; Mylsamy, G.; Arulvel, S.; Rajamurugan, G.; Akepati, D.; Reddy, P.; Surya, A. Enhancement of electromagnetic interference shielding properties of hemp fiber sandwiched carbon fiber composites using electroless NiP coating. Mater. Lett. 2024, 369, 136761. [Google Scholar] [CrossRef]
- Chen, H.; Yang, J.; Shuai, Q.; Li, J.; Ouyang, Q.; Zhang, S. In-situ doping B4C nanoparticles in PAN precursors for preparing high modulus PAN-based carbon fibers with boron catalytic graphitization. Compos. Sci. Technol. 2020, 200, 108455. [Google Scholar] [CrossRef]
- Yang, T.; Dong, C.; Rong, Y.; Deng, Z.; Li, P.; Han, P.; Huang, Z. Oxidation behavior of carbon fibers in ceramizable phenolic resin matrix composites at elevated temperatures. Polymers 2022, 14, 2785. [Google Scholar] [CrossRef]
- Hu, Y.; Pang, S.; Yang, G.; Yao, X.; Li, C.; Jiang, J.; Li, Y. MXene modified carbon fiber composites with improved mechanical properties based on electrophoretic deposition. Mater. Res. Bull. 2022, 150, 111761. [Google Scholar] [CrossRef]
- Xiao, Y.; Xu, B.; Zhao, H.; Zhu, L.; Lei, J. Micro-injection molding of carbon-fiber-reinforced plastic (CFRP)/polymethyl methacrylate (PMMA) composite components. Polymers 2024, 16, 3338. [Google Scholar] [CrossRef]
- Yao, Z.; Xia, A.; Wang, D.; Wang, C. Low temperature multi-catalytic growth and growth mechanism of carbon nanotubes on carbon fiber surfaces. Nanotechnology 2023, 35, 015701. [Google Scholar] [CrossRef] [PubMed]
- Alma, M.H.; Salan, T.; Zhao, G. Effect of different acid catalysts on the properties of activated carbon fiber precursors obtained from phenolated wheat straw. J. Nat. Fibers 2019, 16, 781–794. [Google Scholar] [CrossRef]
- Ma, X.; Yuan, C.; Liu, X. Mechanical, microstructure and surface characterizations of carbon fibers prepared from cellulose after liquefying and curing. Materials 2013, 7, 75–84. [Google Scholar] [CrossRef] [PubMed]
- Feng, A.; Jia, Z.; Yu, Q.; Zhang, H.; Wu, G. Preparation and characterization of carbon nanotubes/carbon fiber/phenolic composites on mechanical and thermal conductivity properties. Nano 2018, 13, 1850037. [Google Scholar] [CrossRef]
- Zhang, L.; Zhang, Y.; Wang, L.; Yao, Y.; Wu, J.; Sun, Y.; Liu, J. Phenolic resin modified by boron-silicon with high char yield. Polym. Test. 2019, 73, 208–213. [Google Scholar] [CrossRef]
- Kai, Y.; Mingli, J.; Xiaomei, Z.; Wanshun, J.; Quan, D.; Ying, L.; Jian, C. Structure, stability, and properties of phenolic fibers modified by phenyl molybdate. Polymers 2021, 29, 574–582. [Google Scholar] [CrossRef]
- Xu, Y.; Guo, L.; Zhang, H.; Zhai, H.; Ren, H. Research status, industrial application demand and prospects of phenolic resin. RSC Adv. 2019, 9, 28924–28935. [Google Scholar] [CrossRef]
- Li, J.; Zhu, W.; Zhang, J.; Zhang, S.; Gao, Q.; Li, J.; Zhang, W. Curing properties of high-Ortho phenol-formaldehyde resins with co-catalysis. J. Appl. Polym. Sci. 2019, 136, 47229. [Google Scholar] [CrossRef]
- Zhang, Y.; Zhang, W.; Lu, W. Effect on tensile strength of wood-based carbon fiber impregnated by boron. Bioresource 2016, 11, 5075–5082. [Google Scholar] [CrossRef]
- Yun, Q.; Lu, J.; Lian, D.; Han, W.; Shen, G. Preparation and properties of nano-Al2O3 modified phenolic resin-based carbon fibers. Appl. Chem. 2018, 47, 2666–2669. [Google Scholar]
- Liu, Z.; Gan, L.; Lv, J.; Lan, H.; Zuo, H.; Chen, J. Enhancement of thermal conductivity and abrasion resistance of woody carbon fiber composites via boride catalysis. Int. J. Biol. Macromol. 2024, 273, 132921. [Google Scholar] [CrossRef]
- Ma, R.; Qin, X.; Liu, Z.; Fu, Y. Adsorption property, kinetic and equilibrium studies of activated carbon fiber prepared from liquefied wood by ZnCl₂ activation. Materials 2019, 12, 1377. [Google Scholar] [CrossRef] [PubMed]
- Jin, Z.; Zeng, Z.; Hu, S.; Tang, L.; Fu, Y.; Zhao, G. Synthesis of microporosity dominant wood-based activated carbon fiber for removal of copper ions. Polymers 2022, 14, 1088. [Google Scholar] [CrossRef] [PubMed]
- Wang, L.; Ma, X. Preparation of N, P self-doped activated carbon hollow fibers derived from liquefied wood. Wood Sci. Technol. 2021, 55, 83–93. [Google Scholar] [CrossRef]
- Mahato, K.K.; Dutta, K.; Ray, B.C. Assessment of mechanical, thermal and morphological behavior of nano-Al2O3 embedded glass fiber/epoxy composites at in-situ elevated temperatures. Compos. Part B Eng. 2019, 166, 688–700. [Google Scholar] [CrossRef]
- Sonmez, M.; Ficai, D.; Ardelean, I.L.; Trusca, R.; Alexandrescu, L.; Constantinescu, D.; Ghizdavet, Z.; Oprea, O.; Ficai, A.; Andronescu, E. Flax fibres fabric surface decoration with nanoparticles—A promising tool for developing hybrid reinforcing agent of thermoplastic polymers. Fibers Polym. 2019, 20, 2407–2415. [Google Scholar] [CrossRef]
- Simunin, M.M.; Voronin, A.S.; Fadeev, Y.V.; Dobrosmyslov, S.S.; Kuular, A.A.; Shalygina, T.A.; Shabanova, K.A.; Chirkov, D.Y.; Voronina, S.Y.; Khartov, S.V. Influence of the addition of alumina nanofibers on the strength of epoxy resins. Materials 2023, 16, 1343. [Google Scholar] [CrossRef] [PubMed]
- Qu, W.; Xue, Y.; Gao, Y.; Rover, M.; Bai, X. Repolymerization of pyrolytic lignin for producing carbon fiber with improved properties. Biomass Bioenergy 2016, 95, 19–26. [Google Scholar] [CrossRef]
- Klapiszewski, Ł.; Jamrozik, A.; Strzemiecka, B.; Koltsov, I.; Borek, B.; Matykiewicz, D.; Voelkel, A.; Jesionowski, T. Characteristics of multifunctional, eco-friendly lignin-Al2O3 hybrid fillers and their influence on the properties of composites for abrasive tools. Molecules 2017, 22, 1920. [Google Scholar] [CrossRef]
- Mohanty, A.; Srivastava, V.K. Effect of alumina nanoparticles on the enhancement of impact and flexural properties of the short glass/carbon fiber reinforced epoxy based composites. Fibers Polym. 2015, 16, 188–195. [Google Scholar] [CrossRef]
- Jakab, E.; Faix, O.; Till, F. Thermal decomposition of milled wood lignins studied by thermogravimetry/mass spectrometry. J. Anal. Appl. Pyrolysis 1997, 40, 171–186. [Google Scholar] [CrossRef]
- Liu, Z.; Xu, K.; Lv, J.; Zhou, X.; Yang, H.; Wu, X.; Wei, K. Preparation and characterization of boron modified precursors prepared from liquefied wood. For. Fire 2022, 40, 111–116. [Google Scholar] [CrossRef]
- Fallahi, M.; Moini Jazani, O.; Molla-Abbasi, P. Design and characterization of high-performance epoxy adhesive with block copolymer and alumina nanoparticles in aluminum-aluminum bonded joints: Mechanical properties, lap shear strength, and thermal stability. Polym. Compos. 2022, 43, 1637–1655. [Google Scholar] [CrossRef]
- Wang, C.Y.; Li, M.W.; Wu, Y.L.; Guo, C.T. Preparation and microstructure of hollow mesophase pitch-based carbon fibers. Carbon 1998, 36, 1749–1754. [Google Scholar] [CrossRef]
- Yin, J.P.; Zhao, G.J. Effect of curing treatment on the microstructure and thermal stability of wood liquefied phenolic resin-based carbon fiber precursors. J. Compos. Mater. 2013, 30, 50–55. [Google Scholar]
- Werner, J.; Aneziris, C.G. The influence of pyrolysis temperature on Young’s modulus of carbon-bonded alumina at temperatures up to 1450 °C. Ceram. Int. 2016, 42, 3460–3464. [Google Scholar] [CrossRef]
- Lee, S.; Cho, S.Y.; Chung, Y.S.; Choi, Y.C.; Lee, S. High electrical and thermal conductivities of a PAN-based carbon fiber via boron-assisted catalytic graphitization. Carbon 2022, 199, 70–79. [Google Scholar] [CrossRef]
- Lewandowska, A.E.; Soutis, C.; Savage, L.; Eichhorn, S.J. Carbon fibres with ordered graphitic-like aggregate structures from a regenerated cellulose fibre precursor. Compos. Sci. Technol. 2015, 116, 50–57. [Google Scholar] [CrossRef]






| ANOVA | |||||
|---|---|---|---|---|---|
| Tensile Strength Values of AL-WCF | |||||
| Sum of Square | Degree of Freedom | Mean Square | F | Significance | |
| Inter-group | 1690.605 | 3 | 563.535 | 21.369 | 0.000 |
| Intra-group | 210.971 | 8 | 26.371 | ||
| total | 1901.576 | 11 | |||
| Temp (°C) | 2θ002 (°) | 2θ100 (°) | d002 (nm) | Lc (nm) | Lc/d002 |
|---|---|---|---|---|---|
| 800 | 19.251 | 42.533 | 0.461 | 0.691 | 1.49 |
| 1000 | 20.851 | 42.873 | 0.426 | 0.946 | 2.22 |
| 1200 | 21.518 | 43.125 | 0.412 | 0.706 | 1.71 |
| 1400 | 21.770 | 44.311 | 0.408 | 0.666 | 1.63 |
| Temp (°C) | 2θ002 (°) | 2θ100 (°) | d002 (nm) | Lc (nm) | Lc/d002 |
|---|---|---|---|---|---|
| 800 | 23.044 | 43.629 | 0.385 | 0.660 | 1.71 |
| 1000 | 23.207 | 43.540 | 0.383 | 0.652 | 1.70 |
| 1200 | 23.800 | 43.377 | 0.373 | 0.642 | 1.72 |
| 1400 | 25.816 | 43.718 | 0.345 | 0.677 | 1.96 |
| Temp (°C) | WD (cm−1) | WG (cm−1) | FWHM (D) (cm−1) | FWHM (G) (cm−1) | ID | IG | R (ID/IG) |
|---|---|---|---|---|---|---|---|
| 800 | 1348.30 | 1589.73 | 256.33 | 100.12 | 27,390.51 | 10,854.74 | 2.52 |
| 1000 | 1347.39 | 1592.29 | 267.23 | 92.12 | 18,801.96 | 7285.58 | 2.58 |
| 1200 | 1359.26 | 1594.12 | 292.81 | 92.86 | 28,183.44 | 11,197.3 | 2.52 |
| 1400 | 1363.49 | 1594.91 | 260.06 | 81.49 | 52,288.59 | 23,809.34 | 2.20 |
| Temp (°C) | WD (cm−1) | WG (cm−1) | FWHM (D) (cm−1) | FWHM (G) (cm−1) | ID | IG | R (ID/IG) |
|---|---|---|---|---|---|---|---|
| 800 | 1355.49 | 1588.58 | 212.39 | 105.72 | 2798.78 | 1404.97 | 1.99 |
| 1000 | 1357.39 | 1589.82 | 241.60 | 118.26 | 2604.26 | 1266.92 | 2.06 |
| 1200 | 1352.37 | 1588.25 | 203.29 | 108.46 | 2436.60 | 1319.67 | 1.85 |
| 1400 | 1351.25 | 1591.81 | 155.93 | 98.62 | 2296.69 | 1334.78 | 1.72 |
Disclaimer/Publisher’s Note: The statements, opinions and data contained in all publications are solely those of the individual author(s) and contributor(s) and not of MDPI and/or the editor(s). MDPI and/or the editor(s) disclaim responsibility for any injury to people or property resulting from any ideas, methods, instructions or products referred to in the content. |
© 2025 by the authors. Licensee MDPI, Basel, Switzerland. This article is an open access article distributed under the terms and conditions of the Creative Commons Attribution (CC BY) license (https://creativecommons.org/licenses/by/4.0/).
Share and Cite
Gan, L.; Liu, Y.; Yimin, Z.; Wu, J.; Lv, J.; Liu, Z. Fabrication and Performance Enhancement of Wood Liquefaction-Based Carbon Fibers Modified with Alumina Nanoparticles. Polymers 2025, 17, 155. https://doi.org/10.3390/polym17020155
Gan L, Liu Y, Yimin Z, Wu J, Lv J, Liu Z. Fabrication and Performance Enhancement of Wood Liquefaction-Based Carbon Fibers Modified with Alumina Nanoparticles. Polymers. 2025; 17(2):155. https://doi.org/10.3390/polym17020155
Chicago/Turabian StyleGan, Linshuang, Yijing Liu, Zaibirinisa Yimin, Jianglong Wu, Jialin Lv, and Zhigao Liu. 2025. "Fabrication and Performance Enhancement of Wood Liquefaction-Based Carbon Fibers Modified with Alumina Nanoparticles" Polymers 17, no. 2: 155. https://doi.org/10.3390/polym17020155
APA StyleGan, L., Liu, Y., Yimin, Z., Wu, J., Lv, J., & Liu, Z. (2025). Fabrication and Performance Enhancement of Wood Liquefaction-Based Carbon Fibers Modified with Alumina Nanoparticles. Polymers, 17(2), 155. https://doi.org/10.3390/polym17020155

