Magnetic Silver Nanoparticles Stabilized by Superhydrophilic Polymer Brushes with Exceptional Kinetics and Catalysis
Abstract
1. Introduction
2. Experimental Section
2.1. Materials
2.2. Instruments
2.3. Synthesis of PAAgCHI Polymer Brushes and PAAgCHI/Fe3O4
2.4. Synthesis of PAAgCHI/Fe3O4/Ag (H, L) Catalysts
2.5. Catalytic Activity of PAAgCHI/Fe3O4/Ag (H, L) Catalysts
3. Results and Discussion
3.1. Characterization
3.2. Applications of Magnetic Nanocomposites in Heterogeneous Catalysis
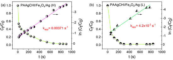
3.2.1. Catalytic Reduction of 4-Nitrophenol Using PAAgCHI/Fe3O4/Ag (H, L)
3.2.2. Catalytic Reduction of Methyl Orange Using PAAgCHI/Fe3O4/Ag (H, L)
4. Conclusions
Author Contributions
Funding
Institutional Review Board Statement
Data Availability Statement
Acknowledgments
Conflicts of Interest
References
- Ghasemi, N.; Yavari, A.; Bahadorikhalili, S.; Moazzam, A.; Hosseini, S.; Larijani, B.; Iraji, A.; Moradi, S.; Mahdavi, M. Copper Catalyst-Supported Modified Magnetic Chitosan for the Synthesis of Novel 2-Arylthio-2,3-dihydroquinazolin-4(1H)-one Derivatives via Chan–Lam Coupling. Inorganics 2022, 10, 231. [Google Scholar] [CrossRef]
- Oudghiri, K.; Bahsis, L.; Eddarir, S.; Anane, H.; Taourirte, M. In Situ Decorated Palladium Nanoparticles on Chitosan Beads as a Catalyst for Coupling Reactions. Coatings 2023, 13, 1367. [Google Scholar] [CrossRef]
- Rezgui, S.; Díez, M.A.; Lotfi, M.; Adhoum, N.; Pazos, M.; Ángeles, M.S. Magnetic TiO2/Fe3O4-Chitosan Beads: A Highly Efficient and Reusable Catalyst for Photo-Electro-Fenton Process. Catalysts 2022, 12, 1425. [Google Scholar] [CrossRef]
- Pal, A.; Das, D.; Sarkar, A.K.; Ghorai, S.; Das, R.; Pal, S. Synthesis of Glycogen and Poly (Acrylic Acid)-Based Graft Copolymers via ATRP and Its Application for Selective Removal of Pb2+ Ions from Aqueous Solution. Eur. Polym. J. 2015, 66, 33–46. [Google Scholar] [CrossRef]
- Hall-Edgefield, D.L.; Shi, T.; Nguyen, K.; Sidorenko, A. Hybrid Molecular Brushes with Chitosan Backbone: Facile Synthesis and Surface Grafting. ACS Appl. Mater. Interfaces 2014, 6, 22026–22033. [Google Scholar] [CrossRef]
- Dolatkhah, A.; Wilson, L.D. Magnetite/Polymer Brush Nanocomposites with Switchable Uptake Behavior Toward Methylene Blue. ACS Appl. Mater. Interfaces 2016, 8, 5595–5607. [Google Scholar] [CrossRef]
- Das, S.; Banik, M.; Chen, G.; Sinha, S.; Mukherjee, R. Polyelectrolyte Brushes: Theory, Modelling, Synthesis and Applications. Soft Matter. 2015, 11, 8550–8583. [Google Scholar] [CrossRef]
- Giussi, J.M.; Cortez, M.L.; Marmisollé, W.A.; Azzaroni, O. Practical Use of Polymer Brushes in Sustainable Energy Applications: Interfacial Nanoarchitectonics for High-Efficiency Devices. Chem. Soc. Rev. 2019, 48, 814–849. [Google Scholar] [CrossRef]
- Parandhaman, T.; Pentela, N.; Ramalingam, B.; Samanta, D.; Das, S.K. Metal Nanoparticle Loaded Magnetic-Chitosan Microsphere: Water Dispersible and Easily Separable Hybrid Metal Nano-Biomaterial for Catalytic Applications. ACS Sustain. Chem. Eng. 2017, 5, 489–501. [Google Scholar] [CrossRef]
- Nie, G.; Li, G.; Wang, L.; Zhang, X. Nanocomposites of Polymer Brush and Inorganic Nanoparticles: Preparation, Characterization and Application. Polym. Chem. 2016, 7, 753–769. [Google Scholar] [CrossRef]
- Li, Y.; Zhu, L.; Wang, B.; Mao, Z.; Xu, H.; Zhong, Y.; Zhang, L.; Sui, X. Fabrication of Thermoresponsive Polymer-Functionalized Cellulose Sponges: Flexible Porous Materials for Stimuli-Responsive Catalytic Systems. ACS Appl. Mater. Interfaces 2018, 10, 27831–27839. [Google Scholar] [CrossRef]
- Dong, X.Y.; Gao, Z.W.; Yang, K.F.; Zhang, W.Q.; Xu, L.W. Nanosilver as a New Generation of Silver Catalysts in Organic Transformations for Efficient Synthesis of Fine Chemicals. Catal. Sci. Technol. 2015, 5, 2554–2574. [Google Scholar] [CrossRef]
- Liu, X.; Yang, Y.; Urban, M.W. Stimuli-Responsive Polymeric Nanoparticles. Macromol. Rapid Commun. 2017, 38, 1700030. [Google Scholar] [CrossRef]
- Zhang, Y.; Liu, P.; Li, B.G.; Wang, W.J. CO2-Triggered Recoverable Metal Catalyst Nanoreactors Using Unimolecular Core-Shell Star Copolymers as Carriers. ACS Appl. Nano Mater. 2018, 1, 1280–1290. [Google Scholar] [CrossRef]
- Dolatkhah, A.; Jani, P.; Wilson, L.D. Redox-Responsive Polymer Template as an Advanced Multifunctional Catalyst Support for Silver Nanoparticles. Langmuir 2018, 34, 10560–10568. [Google Scholar] [CrossRef]
- Shifrina, Z.B.; Matveeva, V.G.; Bronstein, L.M. Role of Polymer Structures in Catalysis by Transition Metal and Metal Oxide Nanoparticle Composites. Chem. Rev. 2020, 120, 1350–1396. [Google Scholar] [CrossRef]
- Gancheva, T.; Virgilio, N. Tailored Macroporous Hydrogels with Nanoparticles Display Enhanced and Tunable Catalytic Activity. ACS Appl. Mater. Interfaces 2018, 10, 21073–21078. [Google Scholar] [CrossRef]
- Chakraborty, S.; Kitchens, C.L. Modifying Ligand Chemistry to Enhance Reusability of PH-Responsive Colloidal Gold Nanoparticle Catalyst. J. Phys. Chem. C 2019, 123, 26450–26459. [Google Scholar] [CrossRef]
- Zhang, Q.; Yang, X.; Guan, J. Applications of Magnetic Nanomaterials in Heterogeneous Catalysis. ACS Appl. Nano Mater. 2019, 2, 4681–4697. [Google Scholar] [CrossRef]
- Gozdziewska, M.; Cichowicz, G.; Markowska, K.; Zawada, K.; Megiel, E. Nitroxide-Coated Silver Nanoparticles: Synthesis, Surface Physicochemistry and Antibacterial Activity. RSC Adv. 2015, 5, 58403–58415. [Google Scholar] [CrossRef]
- Oberdisse, J.; Hellweg, T. Recent Advances in Stimuli-Responsive Core-Shell Microgel Particles: Synthesis, Characterisation, and Applications. Colloid Polym. Sci. 2020, 298, 921–935. [Google Scholar] [CrossRef]
- Tzounis, L.; Doña, M.; Lopez-Romero, J.M.; Fery, A.; Contreras-Caceres, R. Temperature-Controlled Catalysis by Core-Shell-Satellite AuAg@pNIPAM@Ag Hybrid Microgels: A Highly Efficient Catalytic Thermoresponsive Nanoreactor. ACS Appl. Mater. Interfaces 2019, 11, 29360–29372. [Google Scholar] [CrossRef] [PubMed]
- Bingwa, N.; Patala, R.; Noh, J.H.; Ndolomingo, M.J.; Tetyana, S.; Bewana, S.; Meijboom, R. Synergistic Effects of Gold-Palladium Nanoalloys and Reducible Supports on the Catalytic Reduction of 4-Nitrophenol. Langmuir 2017, 33, 7086–7095. [Google Scholar] [CrossRef] [PubMed]
- Yang, X.; Jiang, X.; Bashir, M.S.; Kong, X.Z. Preparation of Highly Uniform Polyurethane Microspheres by Precipitation Polymerization and Pd Immobilization on Their Surface and Their Catalytic Activity in 4-Nitrophenol Reduction and Dye Degradation. Ind. Eng. Chem. Res. 2020, 59, 2998–3007. [Google Scholar] [CrossRef]
- Kästner, C.; Thünemann, A.F. Catalytic Reduction of 4-Nitrophenol Using Silver Nanoparticles with Adjustable Activity. Langmuir 2016, 32, 7383–7391. [Google Scholar] [CrossRef]
- Ansar, S.M.; Fellows, B.; Mispireta, P.; Mefford, O.T.; Kitchens, C.L. PH Triggered Recovery and Reuse of Thiolated Poly(Acrylic Acid) Functionalized Gold Nanoparticles with Applications in Colloidal Catalysis. Langmuir 2017, 33, 7642–7648. [Google Scholar] [CrossRef] [PubMed]
- Gao, H. Development of Star Polymers as Unimolecular Containers for Nanomaterials. Macromol. Rapid Commun. 2012, 33, 722–734. [Google Scholar] [CrossRef]
- Yang, Y.; Zhu, W.; Shi, B.; Lü, C. Construction of a Thermo-Responsive Polymer Brush Decorated Fe3O4@catechol-Formaldehyde Resin Core-Shell Nanosphere Stabilized Carbon Dots/PdNP Nanohybrid and Its Application as an Efficient Catalyst. J. Mater. Chem. A 2020, 8, 4017–4029. [Google Scholar] [CrossRef]
- Krishnan, B.P.; Prieto-López, L.O.; Hoefgen, S.; Xue, L.; Wang, S.; Valiante, V.; Cui, J. Thermomagneto-Responsive Smart Biocatalysts for Malonyl-Coenzyme A Synthesis. ACS Appl. Mater. Interfaces 2020, 12, 20982–20990. [Google Scholar] [CrossRef]
- Yuan, H.; Liu, G. Ionic Effects on Synthetic Polymers: From Solutions to Brushes and Gels. Soft Matter. 2020, 16, 4087–4104. [Google Scholar] [CrossRef]
- Rončević, I.Š.; Krivić, D.; Buljac, M.; Vladislavić, N.; Buzuk, M. Polyelectrolytes Assembly: A Powerful Tool for Electrochemical Sensing Application. Sensors 2020, 20, 3211. [Google Scholar] [CrossRef] [PubMed]
- Lim, Y.H.; Tiemann, K.M.; Heo, G.S.; Wagers, P.O.; Rezenom, Y.H.; Zhang, S.; Zhang, F.; Youngs, W.J.; Hunstad, D.A.; Wooley, K.L. Preparation and in Vitro Antimicrobial Activity of Silver-Bearing Degradable Polymeric Nanoparticles of Polyphosphoester-Block-Poly(l-Lactide). ACS Nano 2015, 9, 1995–2008. [Google Scholar] [CrossRef] [PubMed]
- Pinto, J.; Magrì, D.; Valentini, P.; Palazon, F.; Heredia-Guerrero, J.A.; Lauciello, S.; Barroso-Solares, S.; Ceseracciu, L.; Pompa, P.P.; Athanassiou, A.; et al. Antibacterial Melamine Foams Decorated with in Situ Synthesized Silver Nanoparticles. ACS Appl. Mater. Interfaces 2018, 10, 16095–16104. [Google Scholar] [CrossRef] [PubMed]
- Islam, M.S.; Akter, N.; Rahman, M.M.; Shi, C.; Islam, M.T.; Zeng, H.; Azam, M.S. Mussel-Inspired Immobilization of Silver Nanoparticles toward Antimicrobial Cellulose Paper. ACS Sustain. Chem. Eng. 2018, 6, 9178–9188. [Google Scholar] [CrossRef]
- Suresh, S.; Unni, G.E.; Satyanarayana, M.; Nair, A.S.; Pillai, V.P.M. Ag@Nb2O5 Plasmonic Blocking Layer for Higher Efficiency Dye-Sensitized Solar Cells. Dalt. Trans. 2018, 47, 4685–4700. [Google Scholar] [CrossRef] [PubMed]
- Wu, H.; Cai, H.; Qiao, J.; Qi, L. Reduction of 4-Nitrophenol Using Ficin Capped Gold Nanoclusters as Catalyst. Chem. Res. Chin. Univ. 2019, 35, 636–640. [Google Scholar] [CrossRef]
- Oh, S.; Lee, S.; Oh, M. Zeolitic Imidazolate Framework-Based Composite Incorporated with Well-Dispersed CoNi Nanoparticles for Efficient Catalytic Reduction Reaction. ACS Appl. Mater. Interfaces 2020, 12, 18625–18633. [Google Scholar] [CrossRef]
- AL-Kazragi, M.A.U.R.; AL-Heetimi, D.T.A.; Wilson, L.D. Adsorption of Methyl Orange on Low-Cost Adsorbent Natural Materials and Modified Natural Materials: A Review. Int. J. Phytoremediation 2024, 265, 639–668. [Google Scholar] [CrossRef]
- Steiger, B.G.K.; Wilson, L.D. Ternary Metal-Alginate-Chitosan Composites for Controlled Uptake of Methyl Orange. Surfaces 2022, 5, 429–444. [Google Scholar] [CrossRef]
- Fujii, Y.; Imagawa, K.; Omura, T.; Suzuki, T.; Minami, H. Preparation of Cellulose/Silver Composite Particles Having a Recyclable Catalytic Property. ACS Omega 2020, 5, 1919–1926. [Google Scholar] [CrossRef]
- Chi, Y.; Yuan, Q.; Li, Y.; Tu, J.; Zhao, L.; Li, N.; Li, X. Synthesis of Fe3O4@SiO2-Ag Magnetic Nanocomposite Based on Small-Sized and Highly Dispersed Silver Nanoparticles for Catalytic Reduction of 4-Nitrophenol. J. Colloid Interface Sci. 2012, 383, 96–102. [Google Scholar] [CrossRef] [PubMed]
- Wang, M.; Tian, D.; Tian, P.; Yuan, L. Synthesis of Micron-SiO2@nano-Ag Particles and Their Catalytic Performance in 4-Nitrophenol Reduction. Appl. Surf. Sci. 2013, 283, 389–395. [Google Scholar] [CrossRef]
- Liang, M.; Su, R.; Qi, W.; Yu, Y.; Wang, L.; He, Z. Synthesis of Well-Dispersed Ag Nanoparticles on Eggshell Membrane for Catalytic Reduction of 4-Nitrophenol. J. Mater. Sci. 2014, 49, 1639–1647. [Google Scholar] [CrossRef]
- Wu, X.Q.; Zhao, J.; Wu, Y.P.; Dong, W.W.; Li, D.S.; Li, J.R.; Zhang, Q. Ultrafine Pt Nanoparticles and Amorphous Nickel Supported on 3D Mesoporous Carbon Derived from Cu-Metal-Organic Framework for Efficient Methanol Oxidation and Nitrophenol Reduction. ACS Appl. Mater. Interfaces 2018, 10, 12740–12749. [Google Scholar] [CrossRef]
- Wang, Y.; Wei, G.; Zhang, W.; Jiang, X.; Zheng, P.; Shi, L.; Dong, A. Responsive Catalysis of Thermoresponsive Micelle-Supported Gold Nanoparticles. J. Mol. Catal. A Chem. 2007, 266, 233–238. [Google Scholar] [CrossRef]
- Kaloti, M.; Kumar, A. Sustainable Catalytic Activity of Ag-Coated Chitosan-Capped γ-Fe2O3 Superparamagnetic Binary Nanohybrids (Ag-γ-Fe2O3@CS) for the Reduction of Environmentally Hazardous Dyes—A Kinetic Study of the Operating Mechanism Analyzing Methyl Orange Reduction. ACS Omega 2018, 3, 1529–1545. [Google Scholar] [CrossRef]










| Material | Total Weight Loss (%) | Calculated Weight % of Silver |
|---|---|---|
| PAAgCHI/Fe3O4 | 9.73 | 0.0 |
| PAAgCHI/Fe3O4/Ag (L) | 8.93 | 0.8 |
| PAAgCHI/Fe3O4/Ag (H) | 8.31 | 1.4 |
| Sample | Catalytic Activity ka (min−1 g−1) | Reference |
|---|---|---|
| PAAgCHI/Fe3O4/Ag (H) | 96 | This work |
| PAAgCHI/Fe3O4/Ag (L) | 66 | This work |
| Fe3O4@SiO2-Ag | 0.46 | Chi et al. [41] |
| SiO2@AgNPs | 14.9 | Wang et al. [42] |
| Ag@egg shell membrane | 0.41 | Liang et al. [43] |
Disclaimer/Publisher’s Note: The statements, opinions and data contained in all publications are solely those of the individual author(s) and contributor(s) and not of MDPI and/or the editor(s). MDPI and/or the editor(s) disclaim responsibility for any injury to people or property resulting from any ideas, methods, instructions or products referred to in the content. |
© 2024 by the authors. Licensee MDPI, Basel, Switzerland. This article is an open access article distributed under the terms and conditions of the Creative Commons Attribution (CC BY) license (https://creativecommons.org/licenses/by/4.0/).
Share and Cite
Dolatkhah, A.; Dewani, C.; Kazem-Rostami, M.; Wilson, L.D. Magnetic Silver Nanoparticles Stabilized by Superhydrophilic Polymer Brushes with Exceptional Kinetics and Catalysis. Polymers 2024, 16, 2500. https://doi.org/10.3390/polym16172500
Dolatkhah A, Dewani C, Kazem-Rostami M, Wilson LD. Magnetic Silver Nanoparticles Stabilized by Superhydrophilic Polymer Brushes with Exceptional Kinetics and Catalysis. Polymers. 2024; 16(17):2500. https://doi.org/10.3390/polym16172500
Chicago/Turabian StyleDolatkhah, Asghar, Chandni Dewani, Masoud Kazem-Rostami, and Lee D. Wilson. 2024. "Magnetic Silver Nanoparticles Stabilized by Superhydrophilic Polymer Brushes with Exceptional Kinetics and Catalysis" Polymers 16, no. 17: 2500. https://doi.org/10.3390/polym16172500
APA StyleDolatkhah, A., Dewani, C., Kazem-Rostami, M., & Wilson, L. D. (2024). Magnetic Silver Nanoparticles Stabilized by Superhydrophilic Polymer Brushes with Exceptional Kinetics and Catalysis. Polymers, 16(17), 2500. https://doi.org/10.3390/polym16172500

