Molecular-Level Insight of CP52/NBR Damping Composites through a Combination of Molecular Dynamics Simulation and Experimental Method
Abstract
:1. Introduction
2. Materials and Methods
2.1. Materials
2.2. Preparation of CP52/NBR Composites
2.3. Characterization
2.4. Model and Simulation Details
3. Results and Discussion
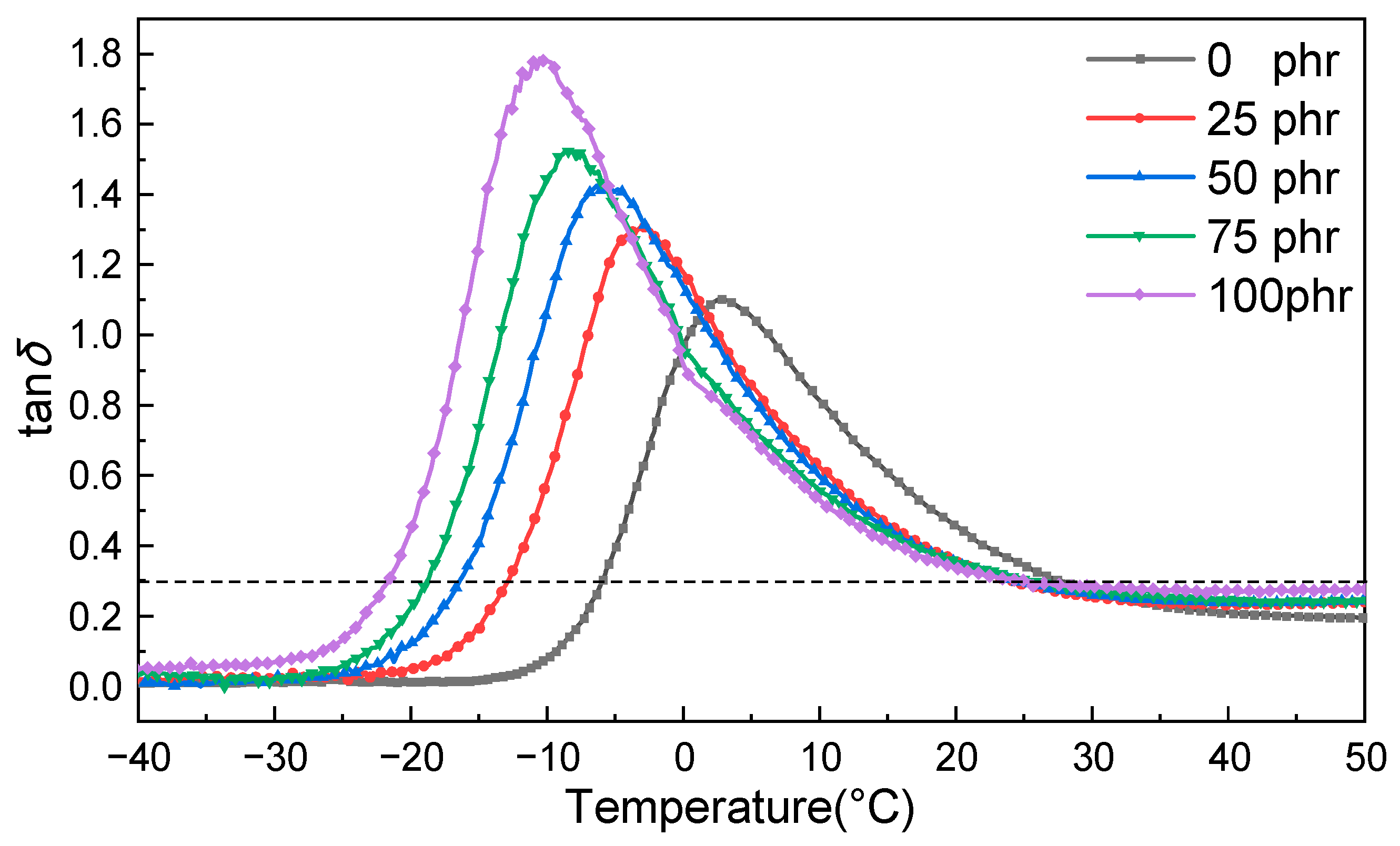
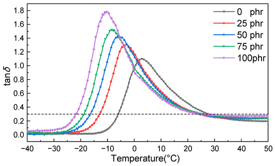
3.1. Effect of CP52 on the Damping Property of NBR
3.2. FTIR Analysis of CP52/NBR Material
3.3. Radial Distribution Function Analysis
3.4. Binding Energy Analysis
3.5. Fraction Free Volume and Cohesive Energy Density Analysis
4. Conclusions
- (1)
- With increased CP52 content, the damping properties of the CP52/NBR composites were greatly improved, and the characteristic absorption peaks of -CN and -Cl on the infrared spectrum were red-shifted, indicating that intermolecular force could be formed between CP52 and NBR.
- (2)
- The RDF simulation results and FTIR test results show that there are two kinds of hydrogen bonds in the CP52/NBR damping materials, Cl-CP-H····NC-NBR and CP-Cl····H-NBR-CN. The linear regression analysis and Ebinding results showed that hydrogen bonding was the main factor affecting the damping properties of the CP52/NBR materials.
- (3)
- The FFV and CED of the CP52/NBR system did not change significantly with increased CP52 content, and the changing trend was roughly the opposite. It is indicated that FFV is not the main factor affecting the damping performance and Tg of the CP52/NBR system. The effect of CP52 on the glass transition region is mainly attributed to its plasticity.
Author Contributions
Funding
Institutional Review Board Statement
Data Availability Statement
Conflicts of Interest
References
- Yuan, Y.; Ping, L.V.; Li, X.; Zhang, Z. Overview of Vibration and Noise Control Measures for Rail Transit. High Speed Railw. Technol. 2018, 9, 80–82. [Google Scholar]
- Senthilvel, K.; Kumar, A.A.J.; Seeman, M.; Kumar, I.A.; Prabu, B. Studies the effect of halloysite nanotubes on the mechanical and hot air ageing properties of nitrile-polyvinyl chloride rubber nano-composites. Mater. Today Proc. 2021, 43, 1730–1739. [Google Scholar] [CrossRef]
- NBR possesses excellent properties for applications in the oil and gas industry. Seal. Technol. 2013, 2013, 16. [CrossRef]
- Zhu, J.; Zhao, X.; Liu, L.; Song, M.; Wu, S. Quantitative relationships between intermolecular interaction and damping parameters of irganox-1035/NBR hybrids: A combination of experiments, molecular dynamics simulations, and linear regression analyses. J. Appl. Polym. 2018, 135, 46202. [Google Scholar] [CrossRef]
- Zhang, L.; Hou, Y.; Wang, W. Preparation and Properties of NBR Composite Damping Material for Naval Ships. Dev. Appl. Mater. 2017, 32, 16–21. [Google Scholar]
- Sprengel, J.; Wiedmaier-Czerny, N.; Vetter, W. Characterization of single chain length chlorinated paraffin mixtures with nuclear magnetic resonance spectroscopy (NMR). Chemosphere 2019, 228, 762–768. [Google Scholar] [CrossRef]
- Wang, Z.; Hu, X.; Wang, X.; Chen, C.; Xie, J. Synthesis of High Compatibility Modified Chlorinated Paraffin as Flame Retardant Plasticizer and Its Application in Polyvinyl Chloride. Gaofenzi Cailiao Kexue Yu Gongcheng/Polym. Mater. Sci. Eng. 2019, 35, 1–6. [Google Scholar] [CrossRef]
- Zhang, P.; Song, L.; Lu, H.; Wang, J.; Hu, Y. The influence of expanded graphite on thermal properties for paraffin/high density polyethylene/chlorinated paraffin/antimony trioxide as a flame retardant phase change material. Energy Convers. Manag. 2010, 51, 2733–2737. [Google Scholar] [CrossRef]
- Volotskoy, A.; Yurkin, Y.V.; Avdonin, V. Influence Study of Plasticizer Compatibility on Strength Properties of Ethylene-Vinyl Acetate. Mater. Sci. Forum 2018, 935, 79–83. [Google Scholar] [CrossRef]
- Wu, C.F.; Akiyam, S. Enhancement of damping performance of polymers by functional small molecules. Chin. J. Polym. Sci. 2002, 20, 119–127. [Google Scholar]
- Zhang, W.; Lou, W.; Liu, X.; Xu, D.; Zhang, J. The Effect of Accelerated Aging on the Properties of Nitrile Butadiene Rubber (NBR) O-Rings. J. Test. Evaluation 2019, 47, 1533–1550. [Google Scholar] [CrossRef]
- Dong, Y.; Wei, S.; Bingdang, W.U.; Zhang, S. Substituent Effects on the Photochemistry of Acetylacetone in Aqueous Solutions. 2019. Available online: https://acswebcontent.acs.org/prfar/2010/reports/P10899.html (accessed on 22 August 2022).
- Nyquist, R.A. Infrared Studies of Ketones: Parameters Affecting the Induced Carbonyl Stretching Vibration by Solute/Solvent Interaction. Appl. Spectrosc. 1990, 44, 433–438. [Google Scholar] [CrossRef]
- Zhao, X.; Zhang, G.; Lu, F.; Zhang, L.; Wu, S. Molecular-level insight of hindered phenol AO-70/nitrile-butadiene rubber damping composites through a combination of a molecular dynamics simulation and experimental method. RSC Adv. 2016, 6, 85994–86005. [Google Scholar] [CrossRef]
- Hamad, E.Z.; Mansoori, G.A. Radial distribution function. Part. Morphol. 2014. [Google Scholar] [CrossRef]
- Fernandes, P.A.; Cordeiro, M.N.D.S.; Gomes, J.A.M.F. Molecular Dynamics Simulation of the Water/2-Heptanone Liquid-Liquid Interface. J. Phys. Chem. B 1999, 103, 6290–6299. [Google Scholar] [CrossRef]
- Qiao, B.; Zhao, X.; Yue, D.; Zhang, L.; Wu, S. A combined experiment and molecular dynamics simulation study of hydrogen bonds and free volume in nitrile-butadiene rubber/hindered phenol damping mixtures. J. Mater. Chem. 2012, 22, 12339–12348. [Google Scholar] [CrossRef]
- Hedenqvist, M.; Gedde, U. Diffusivity of n-hexane in poly(ethylene-stat-octene)s assessed by molecular dynamics simulation. Polymer 2007, 48, 5174–5180. [Google Scholar] [CrossRef]
- Wang, X.; Chen, D.; Zhong, W.; Zhang, L.; Fan, X.; Cai, Z.; Zhu, M. Experimental and theoretical evaluations of the interfacial interaction between carbon nanotubes and carboxylated butadiene nitrile rubber: Mechanical and damping properties. Mater. Des. 2020, 186, 108318. [Google Scholar] [CrossRef]
- Song, M.; Yue, X.; Wang, X.; Cao, F.; Li, Y.; Su, C.; Qin, Q. Effect of Hindered Phenol AO-80 on the Damping Properties for Nitrile-Butadiene Rubber/Phenolic Resin: Molecular Simulation and Experimental Study. Macromol. Mater. Eng. 2020, 305, 2000222. [Google Scholar] [CrossRef]
- Song, M.; Zhao, X.; Qiao, B.; Zou, H.; Wu, S. Study on the Dynamic Properties of Nitrile-Butadiene Rubber/Hindered Phenol Mixtures by Molecular Dynamics Simulation. Asian J. Chem. 2013, 25, 5200–5202. [Google Scholar] [CrossRef]
- Su, J.; Du, B.; Li, J.; Li, Z. Electrical tree degradation in high-voltage cable insulation: Progress and challenges. High Volt. 2020, 5, 353–364. [Google Scholar] [CrossRef]
- Song, M.; Zhao, X.; Li, Y.; Hu, S.; Zhang, L.; Wu, S. Molecular dynamics simulations and microscopic analysis of the damping performance of hindered phenol AO-60/nitrile-butadiene rubber composites. RSC Adv. 2014, 4, 6719–6729. [Google Scholar] [CrossRef]
- Song, M.; Zhao, X.; Li, Y.; Chan, T.W.; Zhang, L.; Wu, S. Effect of acrylonitrile content on compatibility and damping properties of hindered phenol AO-60/nitrile-butadiene rubber composites: Molecular dynamics simulation. RSC Adv. 2014, 4, 48472–48479. [Google Scholar] [CrossRef]









| CP52/NBR | Mass Ratios of CP52 | No. of NBR Molecules | No. of CP52 Molecules |
|---|---|---|---|
| 0/100 | 0 | 4 | 0 |
| 25/100 | 20% | 4 | 5 |
| 50/100 | 33.3% | 4 | 11 |
| 75/100 | 42.8% | 4 | 17 |
| 100/100 | 50.0% | 4 | 23 |
| CP52/NBR | ρMD/g·cm−3 | ρExp/g·cm−3 | Relative Error |
|---|---|---|---|
| 0/100 | 0.965 | 0.95 | 1.51% |
| 25/100 | 1.018 | 1.02 | −0.16% |
| 50/100 | 1.042 | 1.03 | 1.19% |
| 75/100 | 1.058 | 1.08 | −2.07% |
| 100/100 | 1.109 | 1.14 | −2.73% |
| CP52 Content/phr | |||||
|---|---|---|---|---|---|
| 0 | 25 | 50 | 75 | 100 | |
| Tg/°C | 1.81 | −3.10 | −6.40 | −8.13 | −10.50 |
| tanδmax | 1.10 | 1.31 | 1.42 | 1.53 | 1.78 |
| ΔT/°C | 33.7 | 37.0 | 40.6 | 44.3 | 46.8 |
| TA | 12.68 | 15.87 | 19.29 | 21.21 | 25.49 |
| CP52/NBR | Etotal kcal/mol | ECP52 kcal/mol | ENBR kcal/mol | Ebinding kcal/mol |
|---|---|---|---|---|
| 0/100 | 277.24 | 0.00 | 277.24 | 0.00 |
| 25/100 | 24.722 | −82.28 | 433.76 | 326.76 |
| 50/100 | −205.59 | −228.75 | 629.25 | 606.10 |
| 75/100 | −515.21 | −396.39 | 643.27 | 762.09 |
| 100/100 | −858.61 | −615.66 | 762.34 | 1005.29 |
Disclaimer/Publisher’s Note: The statements, opinions and data contained in all publications are solely those of the individual author(s) and contributor(s) and not of MDPI and/or the editor(s). MDPI and/or the editor(s) disclaim responsibility for any injury to people or property resulting from any ideas, methods, instructions or products referred to in the content. |
© 2023 by the authors. Licensee MDPI, Basel, Switzerland. This article is an open access article distributed under the terms and conditions of the Creative Commons Attribution (CC BY) license (https://creativecommons.org/licenses/by/4.0/).
Share and Cite
Wang, Q.; Li, Y.; Li, S.; Sun, Z.; Wang, G. Molecular-Level Insight of CP52/NBR Damping Composites through a Combination of Molecular Dynamics Simulation and Experimental Method. Polymers 2023, 15, 604. https://doi.org/10.3390/polym15030604
Wang Q, Li Y, Li S, Sun Z, Wang G. Molecular-Level Insight of CP52/NBR Damping Composites through a Combination of Molecular Dynamics Simulation and Experimental Method. Polymers. 2023; 15(3):604. https://doi.org/10.3390/polym15030604
Chicago/Turabian StyleWang, Qingxin, Yu Li, Shuaijie Li, Zhaoyi Sun, and Guorong Wang. 2023. "Molecular-Level Insight of CP52/NBR Damping Composites through a Combination of Molecular Dynamics Simulation and Experimental Method" Polymers 15, no. 3: 604. https://doi.org/10.3390/polym15030604
APA StyleWang, Q., Li, Y., Li, S., Sun, Z., & Wang, G. (2023). Molecular-Level Insight of CP52/NBR Damping Composites through a Combination of Molecular Dynamics Simulation and Experimental Method. Polymers, 15(3), 604. https://doi.org/10.3390/polym15030604
