On Applicability of the Relaxation Spectrum of Fractional Maxwell Model to Description of Unimodal Relaxation Spectra of Polymers
Abstract
1. Introduction
2. Materials and Methods
2.1. Maxwell Model
2.2. Elementary Fractional Scott-Blair Model
2.3. Fractional Maxwell Model
2.4. Spectrum of Relaxation
3. Results and Discussion
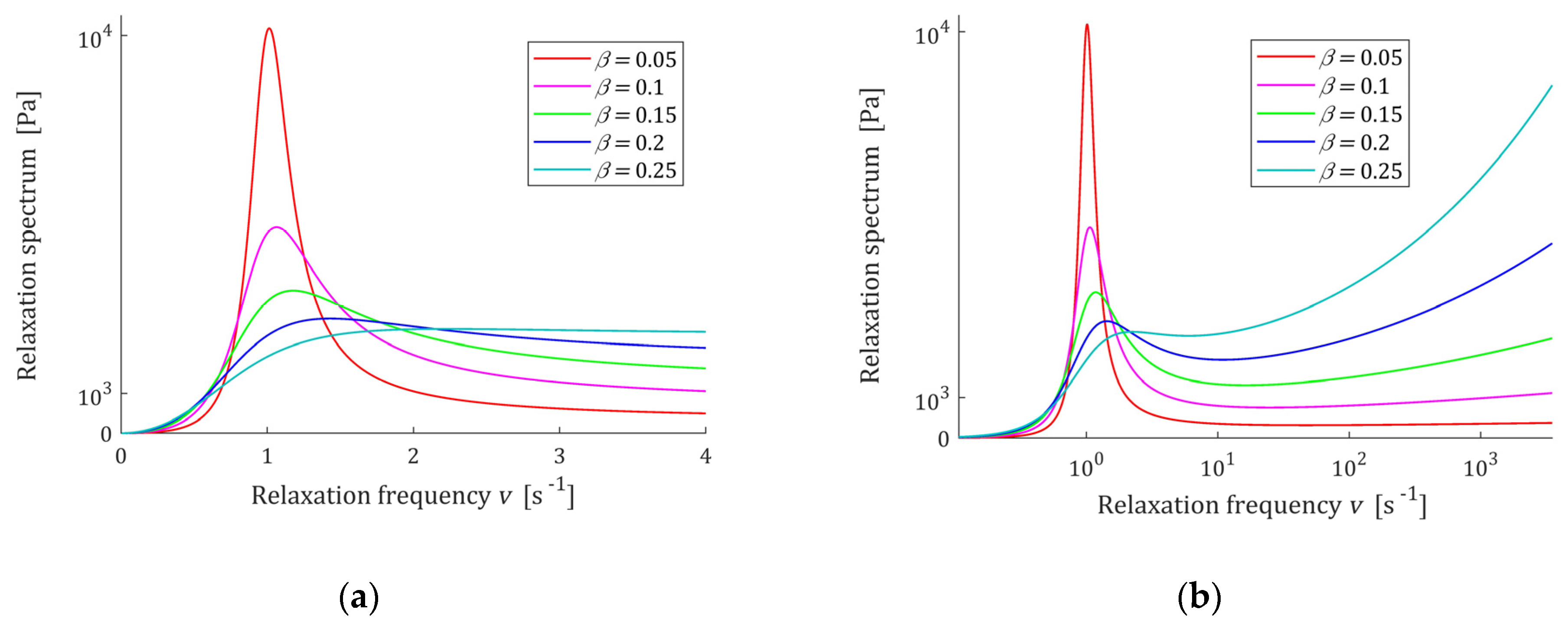
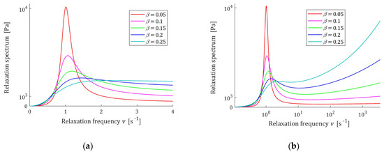
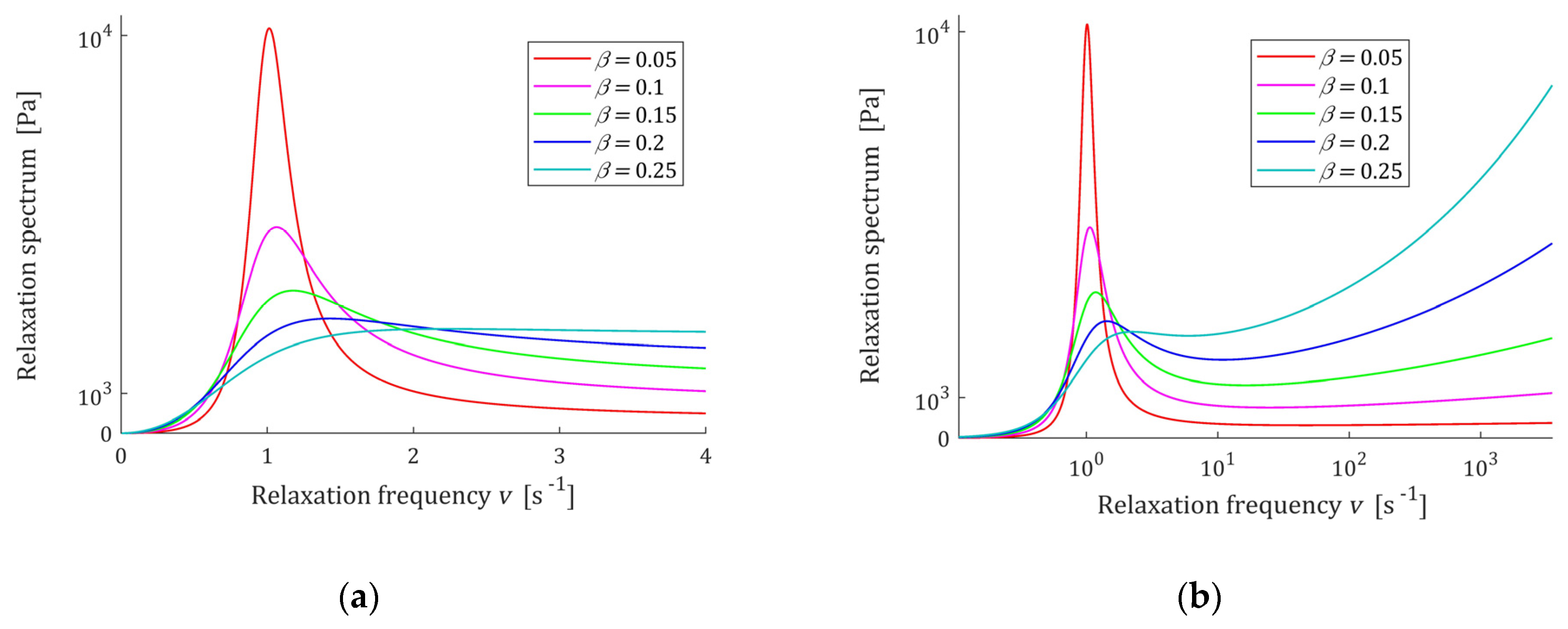
3.1. Relaxation Spectra of the Fractional Maxwell Model
3.2. Relaxation Spectra of Elementary Fractional Scott-Blair Model
3.3. Monotonicity of the Relaxation Spectra
3.4. Analysis of the Relaxation Spectra Monotonicity for
- Check if the inequality , or equivalent (28), holds. If yes, go to step 2. Otherwise, go to step 4.
- Check if the inequality (33), or equivalent (34), holds. If yes, go to step 3. Otherwise, go to step 4.
- Check if the inequalities and (29), or equivalent (31), hold. If yes, a local extrema of both spectra and exists. Otherwise, go to step 4.
- Spectrum is a monotonically increasing function for all , while spectrum is a monotonically decreasing function for all .
3.5. Extrema of the Relaxation Spectra for
- (i)
- The relaxation frequency spectrum (13) of the fractional Maxwell model (4) has the local maximumand the local minimum given bywhen the inequality holdsand equal toin the case opposite to inequality (37), wherewithand the angle defined bywhere the coefficients , , , and are defined by (21), (22), (24), and (25), respectively, . denotes signum function.
- (ii)
- The relaxation time spectrum (11) has the local maximumand the local minimum given bywhen the inequality (37) holds, while in the opposite case equal to
3.6. Analysis of the Relaxation Spectra Monotonicity for
- (i)
- The relaxation frequency spectrum (49) has the local maximumand the local minimum given by
- (ii)
- The relaxation time spectrum (47) has the local maximumand the local minimum given byIf is such that inequality (50) does not hold, then (47) and (49) are monotonically decreasing and increasing functions, respectively.
3.7. Extrema of the Relaxation Spectra for
3.8. Identification
3.9. Applicability of the FMM Spectra to Modelling Gaussian Spectra
3.9.1. Example 1
3.9.2. Example 2
3.10. Applicability of the FMM Spectra to Modelling BSW Spectra
4. Conclusions
- Necessary and sufficient conditions for the existence of the local extrema, minima, and maxima of the relaxation spectra are given by two algebraic inequalities.
- Only two fractional model parameters, the non-integer orders of the stress and strain derivatives, uniquely determine the existence of the spectrum extrema.
- The local minima and maxima of the relaxation spectra are described by direct analytical formulas.
- The local extrema depend on fractional model parameters and on the relaxation time of FMM.
- The spectrum values for the local extrema are affected by the elastic modulus of FMM, i.e., by all four model parameters.
Funding
Institutional Review Board Statement
Informed Consent Statement
Data Availability Statement
Conflicts of Interest
Appendix A
Appendix A.1. Derivation of Proposition 1
Appendix A.2. Derivation of Proposition 2
Appendix A.3. Proof of Property 1
Appendix A.4. Proof of Proposition 3
Appendix A.5. Introduction to the Necessary and Sufficient Extrema Conditions
Appendix A.6. Proof of Proposition 4
Appendix A.6.1. Case (a). The Determinant
Appendix A.6.2. Case (b). The Determinant
Appendix A.7. Derivation of Proposition 5
Appendix A.8. Proof of Proposition 7
References
- Gorenflo, R.; Kilbas, A.A.; Mainardi, F.; Rogosin, S.V. Mittag-Leffler Functions, Related Topics and Applications; Springer: Berlin/Heidelberg, Germany, 2014. [Google Scholar] [CrossRef]
- Schiessel, H.; Metzler, R.; Blumen, A.; Nonnejunacher, T.F. Generalized viscoelastic models: Their fractional equations with solutions. J. Phys. A Math. Gen. 1995, 28, 6567–6584. [Google Scholar] [CrossRef]
- Metzler, R.; Nonnenmacher, T.F. Fractional relaxation processes and fractional rheological models for the description of a class of viscoelastic materials. Int. J. Plast. 2003, 19, 941–959. [Google Scholar] [CrossRef]
- Mainardi, F. Fractional Calculus and Waves in Linear Viscoelasticity: An Introduction to Mathematical Models; Imperial College Press: London, UK, 2010. [Google Scholar]
- Mainardi, F.; Spada, G. Creep, Relaxation and Viscosity Properties for Basic Fractional Models in Rheology. Eur. Phys. J. Spec. Top. 2011, 193, 133–160. [Google Scholar] [CrossRef]
- Meng, R.; Yin, D.; Drapaca, C.S. A variable order fractional constitutive model of the viscoelastic behavior of polymers. Int. J. Non-Linear Mech. 2019, 113, 171–177. [Google Scholar] [CrossRef]
- Shiru, G.; Hai, P.; Mengsen, Y.; Ziheng, S.; Dejun, L.; Jinyong, X.; Yiying, F. New perspective on the creep characteristic of fiber–dependent shape memory polymers: Variable–order fractional constitutive model. J. Mater. Res. Technol. 2023, 24, 5177–5185. [Google Scholar] [CrossRef]
- Liang, Z.; Li, J.; Zhang, X.; Kan, Q. A viscoelastic-viscoplastic constitutive model and its finite element implementation of amorphous polymers. Polym. Test. 2023, 117, 107831. [Google Scholar] [CrossRef]
- Xu, B.; Blok, R.; Teuffel, P. An investigation of the effect of relative humidity on viscoelastic properties of flax fiber reinforced polymer by fractional-order viscoelastic model. Compos. Commun. 2023, 37, 101406. [Google Scholar] [CrossRef]
- Lei, D.; Liang, Y.; Xiao, R. A fractional model with parallel fractional Maxwell elements for amorphous thermoplastics. Phys. A Stat. Mech. Its Appl. 2018, 490, 465–475. [Google Scholar] [CrossRef]
- Ferry, J.D. Viscoelastic Properties of Polymers, 3rd ed.; John Wiley & Sons: New York, NY, USA, 1980. [Google Scholar]
- Ishii, A. Spatial and temporal heterogeneity of Kohlrausch–Williams–Watts stress relaxations in metallic glasses. Comput. Mater. Sci. 2021, 198, 110673. [Google Scholar] [CrossRef]
- Lukichev, A. Physical meaning of the stretched exponential Kohlrausch function. Phys. Lett. A 2019, 383, 2983–2987. [Google Scholar] [CrossRef]
- Bonfanti, A.; Kaplan, J.L.; Charras, G.; Kabla, A. Fractional viscoelastic models for power-law materials. Soft Matter 2020, 16, 6002–6020. [Google Scholar] [CrossRef] [PubMed]
- Likhtman, A.E.; McLeish, T.C.B. Quantitative Theory for Linear Dynamics of Linear Entangled Polymers. Macromolecules 2002, 35, 6332–6343. [Google Scholar] [CrossRef]
- Kapnistos, M.; Lang, M.; Vlassopoulos, D.; Pyckhout-Hintzen, W.; Richter, D.; Cho, D.; Chang, T.; Rubinstein, M. Unexpected power-law stress relaxation of entangled ring polymers. Nat. Mater 2008, 7, 997–1002. [Google Scholar] [CrossRef] [PubMed]
- Saphiannikova, M.; Toshchevikov, V.; Gazuz, I.; Petry, F.; Westermann, S.; Heinrich, G. Multiscale Approach to Dynamic-Mechanical Analysis of Unfilled Rubbers. Macromolecules 2014, 47, 4813–4823. [Google Scholar] [CrossRef]
- Stankiewicz, A. Fractional Maxwell model of viscoelastic biological materials. BIO Web Conf. 2018, 10, 02032. [Google Scholar] [CrossRef]
- Anderssen, R.S.; Davies, A.R.; de Hoog, F.R.; Loy, R.J. Derivative based algorithms for continuous relaxation spectrum recovery. J. Non-Newton. Fluid Mech. 2015, 222, 132–140. [Google Scholar] [CrossRef]
- Dealy, J.M.; Read, D.J.; Larson, R.G. Structure and Rheology of Molten Polymers, 2nd ed.; Carl Hanser Verlag GmbH & Co. KG: Munich, Germany, 2018; pp. 105–145. [Google Scholar] [CrossRef]
- Malkin, A.Y. The use of a continuous relaxation spectrum for describing the viscoelastic properties of polymers. Polym. Sci. Ser. A 2006, 48, 39–45. [Google Scholar] [CrossRef]
- Chang, F.-L.; Hu, B.; Huang, W.-T.; Chen, L.; Yin, X.-C.; Cao, X.-W.; He, G.-J. Improvement of rheology and mechanical properties of PLA/PBS blends by in-situ UV-induced reactive extrusion. Polymer 2022, 259, 125336. [Google Scholar] [CrossRef]
- Ankiewicz, S.; Orbey, N.; Watanabe, H.; Lentzakis, H.; Dealy, J. On the use of continuous relaxation spectra to characterize model polymers. J. Rheol. 2016, 60, 1115–1120. [Google Scholar] [CrossRef]
- Pogreb, R.; Loew, R.; Bormashenko, E.; Whyman, G.; Multanen, V.; Shulzinger, E.; Abramovich, A.; Rozban, A.; Shulzinger, A.; Zussman, E.; et al. Relaxation spectra of polymers and phenomena of electrical and hydrophobic recovery: Interplay between bulk and surface properties of polymers. J. Polym. Sci. Part B Polym. Phys. 2017, 55, 198–205. [Google Scholar] [CrossRef]
- Mainardi, F. Why the Mittag-Leffler Function Can Be Considered the Queen Function of the Fractional Calculus? Entropy 2020, 22, 1359. [Google Scholar] [CrossRef]
- Baumgaertel, M.; Schausberger, A.; Winter, H.H. The relaxation of polymers with linear flexible chains of uniform length. Rheol. Acta 1990, 29, 400–408. [Google Scholar] [CrossRef]
- Baumgaertel, M.; Winter, H.H. Interrelation between continuous and discrete relaxation time spectra. J. Non-Newton. Fluid Mech. 1992, 44, 15–36. [Google Scholar] [CrossRef]
- Cho, K.S. Power series approximations of dynamic moduli and relaxation spectrum. J. Rheol. 2013, 57, 679–697. [Google Scholar] [CrossRef]
- Lee, S.H.; Bae, J.-E.; Cho, K.S. Determination of continuous relaxation spectrum based on the Fuoss-Kirkwood relation and logarithmic orthogonal power-series approximation. Korea-Aust. Rheol. J. 2017, 29, 115–127. [Google Scholar] [CrossRef]
- Choi, J.; Cho, K.S.; Kwon, M.K. Self-Similarity and Power-Law Spectra of Polymer Melts and Solutions. Polymers 2022, 14, 3924. [Google Scholar] [CrossRef] [PubMed]
- Unidad, H.J.; Goad, M.A.; Bras, A.R.; Zamponi, M.; Faust, R.; Allgaier, J.; Pyckhout-Hintzen, W.; Wischnewski, A.; Richter, D.; Fetters, L.J. Consequences of Increasing Packing Length on the Dynamics of Polymer Melts. Macromolecules 2015, 48, 6638–6645. [Google Scholar] [CrossRef]
- Muzeau, E.; Perez, J.; Johari, G.P. Mechanical spectrometry of the beta-relaxation in poly(methyl methacrylate). Macromolecules 1991, 24, 4713–4723. [Google Scholar] [CrossRef]
- Kwakye-Nimo, S.; Inn, Y.; Yu, Y.; Wood-Adams, P.M. Linear viscoelastic behavior of bimodal polyethylene. Rheol. Acta 2022, 61, 373–386. [Google Scholar] [CrossRef]
- Carrillo-Navas, H.; Hernández-Jaimes, C.; Utrilla-Coello, R.G.; Meraz, M.; Vernon-Carter, E.J.; Alvarez-Ramirez, J. Viscoelastic relaxation spectra of some native starch gels. Food Hydrocoll. 2014, 37, 25–33. [Google Scholar] [CrossRef]
- Pérez-Calixto, D.; Amat-Shapiro, S.; Zamarrón-Hernández, D.; Vázquez-Victorio, G.; Puech, P.-H.; Hautefeuille, M. Determination by Relaxation Tests of the Mechanical Properties of Soft Polyacrylamide Gels Made for Mechanobiology Studies. Polymers 2021, 13, 629. [Google Scholar] [CrossRef]
- Cirillo, G.; Spizzirri, U.G.; Iemma, F. Functional Polymers in Food Science: From Technology to Biology, Volume 1: Food Packaging; Wiley: Hoboken, NJ, USA, 2015; Available online: https://onlinelibrary.wiley.com/doi/book/10.1002/9781119108580 (accessed on 1 July 2023).
- Malkin, A.I.A.; Malkin, A.Y.; Isayev, A.I. Rheology: Concepts, Methods and Applications; ChemTec: Deerfield Beach, FL, USA, 2006; Available online: https://books.google.pl/books?id=8rGafjhgz-UC (accessed on 1 July 2023).
- Gorenflo, R.; Mainardi, F. Fractional Calculus: Integral and Differential Equations of Fractional Order. In Fractals and Fractional Calculus in Continuum Mechanics; Carpinteri, A., Mainardi, F., Eds.; Springer: Wien, Austria; New York, NY, USA, 1997; pp. 223–276. [Google Scholar]
- Scott Blair, G.W.; Veinoglou, B.C. A Study of the Firmness of Soft Materials Based on Nutting’s Equation. J. Sci. Instrum. 1944, 21, 149–153. [Google Scholar] [CrossRef]
- Winter, H.H.; Chambon, F. Analysis of Linear Viscoelasticity of a Crosslinking Polymer at the Gel Point. J. Rheol. 1986, 30, 367–382. [Google Scholar] [CrossRef]
- Stankiewicz, A. On the monotonicity of the relaxation spectrum of fractional Maxwell model of viscoelastic materials. Econtechmod. Int. Q. J. Econ. Technol. Model. Process. 2018, 7, 117–125. [Google Scholar]
- Yamamoto, R. Stress relaxation property of the cell wall and auxin-induced cell elongation. J. Plant Res. Res. 1996, 109, 75–84. [Google Scholar] [CrossRef]
- Goangseup, Z.; Bažant, Z.P. Continuous Relaxation Spectrum for Concrete Creep and its Incorporation into Microplane Model M4. J. Eng. Mech. 2002, 128, 1331–1336. [Google Scholar] [CrossRef]
- Stankiewicz, A. Two-Level Scheme for Identification of the Relaxation Time Spectrum Using Stress Relaxation Test Data with the Optimal Choice of the Time-ScaleFactor. Materials 2023, 16, 3565. [Google Scholar] [CrossRef] [PubMed]
- Baumgaertel, M.; Winter, H.H. Determination of discrete relaxation and retardation time spectra from dynamic mechanical data. Rheol. Acta 1989, 28, 511–519. [Google Scholar] [CrossRef]
- Luo, L.; Xi, R.; Ma, Q.; Tu, C.; Ibrahim Shah, Y. An improved method to establish continuous relaxation spectrum of asphalt materials. Constr. Build. Mater. 2022, 354, 129182. [Google Scholar] [CrossRef]
- Stankiewicz, A. A Class of Algorithms for Recovery of Continuous Relaxation Spectrum from Stress Relaxation Test Data Using Orthonormal Functions. Polymers 2023, 15, 958. [Google Scholar] [CrossRef] [PubMed]
- Podlubny, I. Fitting Data Using the Mittag-Leffler Function. MATLAB Central File Exchange. Available online: https://www.mathworks.com/matlabcentral/fileexchange/32170-fitting-data-using-the-mittag-leffler-function (accessed on 23 July 2023).
- Sierociuk, D.; Podlubny, I.; Petras, I. Experimental evidence of variable-order behavior of ladders and nested ladders. IEEE Trans. Control. Syst. Technol. 2013, 21, 459–466. [Google Scholar] [CrossRef]
- Diogo, A.C.; Vlachopoulos, J.; Covas, J.A.; Agassant, J.F.; Walters, K. Rheological Fundamentals of Polymer Processing; Springer: Dordrecht, The Netherlands, 2013. [Google Scholar]
- Podlubny, I. Mittag-Leffler Function with Two Parameters. MATLAB Central File Exchange. Available online: https://www.mathworks.com/matlabcentral/fileexchange/8738-mittag-leffler-function (accessed on 23 July 2023).
- Fulchiron, R.; Michel, A.; Verney, V.; Roustant, J.C. Correlations between relaxation time spectrum and melt spinning behavior of polypropylene. 1: Calculation of the relaxation spectrum as a log-normal distribution and influence of the molecular parameters. Polym. Eng. Sci. 1995, 35, 513–517. [Google Scholar] [CrossRef]
- Wang, J.; Wang, X.; Ruan, H. On the mechanical β relaxation in glass and its relation to the double-peak phenomenon in impulse excited vibration at high temperatures. J. Non-Cryst. Solids 2020, 533, 119939. [Google Scholar] [CrossRef]
- Bardet, S.; Gril, J. Modelling the transverse viscoelasticity of green wood using a combination of two parabolic elements. C. R. Mécanique 2002, 330, 549–556. [Google Scholar] [CrossRef]
- Kurenuma, Y.; Nakano, T. Analysis of stress relaxation on the basis of isolated relaxation spectrum for wet wood. J. Mater. Sci. 2012, 47, 4673–4679. [Google Scholar] [CrossRef][Green Version]
- Stadler, F.J.; Bailly, C. A new method for the calculation of continuous relaxation spectra from dynamic-mechanical data. Rheol. Acta 2009, 48, 33–49. [Google Scholar] [CrossRef]
- Davies, A.R.; Goulding, N.J. Wavelet regularization and the continuous relaxation spectrum. J. Non-Newton. Fluid Mech. 2012, 189–190, 19–30. [Google Scholar] [CrossRef]
- Davies, A.R.; Anderssen, R.S.; de Hoog, F.R.; Goulding, N.J. Derivative spectroscopy and the continuous relaxation spectrum. J. Non-Newton. Fluid Mech. 2016, 233, 107–118. [Google Scholar] [CrossRef]
- Press, W.H.; Teukolsky, S.A.; Vetterling, W.T.; Flannery, B.P. Numerical Recipes: The Art of Scientific Computing; Section 5.6 Quadratic and Cubic Equations in Numerical Recipes; Cambridge University Press: New York, NY, USA, 2007. [Google Scholar] [CrossRef]

















| 1 | 1000 | 500 | 1.5247 × 10−3 | 5.9182 × 10−6 | 0.802746 | 0.078769 | 12.89118 | 5.0226 × 103 |
| 2 | 2000 | 500 | 2.4712 × 10−3 | 7.8212 × 10−6 | 0.853718 | 0.08208 | 12.67277 | 4.8057 × 103 |
| 3 | 2000 | 1000 | 1.3271 × 10−3 | 6.8742 × 10−6 | 0.716114 | 0.07468 | 13.16061 | 5.7473 × 103 |
| 4 | 3000 | 1000 | 1.6420 × 10−3 | 7.6078 × 10−6 | 0.731290 | 0.07648 | 13.00037 | 5.8162 × 103 |
| 5 | 4000 | 1000 | 1.9309 × 10−3 | 8.1768 × 10−6 | 0.74252 | 0.07774 | 12.89206 | 5.8528 × 103 |
| 6 | 5000 | 1000 | 2.2048 × 10−3 | 8.72088 × 10−6 | 0.751992 | 0.07872 | 12.80960 | 5.8698 × 103 |
| 7 | 6000 | 1000 | 2.4493 × 10−3 | 9.08398 × 10−6 | 0.760015 | 0.07951 | 12.74484 | 5.8762 × 103 |
| 8 | 7000 | 1000 | 2.7029 × 10−3 | 9.56398 × 10−6 | 0.765044 | 0.08008 | 12.69891 | 5.8907 × 103 |
| 9 | 7000 | 1500 | 1.7812 × 10−3 | 8.9981 × 10−6 | 0.717188 | 0.07632 | 13.01787 | 5.9833 × 103 |
| 10 | 7000 | 2000 | 1.3794 × 10−3 | 9.2961 × 10−6 | 0.700429 | 0.074402 | 13.19768 | 5.9004 × 103 |
Disclaimer/Publisher’s Note: The statements, opinions and data contained in all publications are solely those of the individual author(s) and contributor(s) and not of MDPI and/or the editor(s). MDPI and/or the editor(s) disclaim responsibility for any injury to people or property resulting from any ideas, methods, instructions or products referred to in the content. |
© 2023 by the author. Licensee MDPI, Basel, Switzerland. This article is an open access article distributed under the terms and conditions of the Creative Commons Attribution (CC BY) license (https://creativecommons.org/licenses/by/4.0/).
Share and Cite
Stankiewicz, A. On Applicability of the Relaxation Spectrum of Fractional Maxwell Model to Description of Unimodal Relaxation Spectra of Polymers. Polymers 2023, 15, 3552. https://doi.org/10.3390/polym15173552
Stankiewicz A. On Applicability of the Relaxation Spectrum of Fractional Maxwell Model to Description of Unimodal Relaxation Spectra of Polymers. Polymers. 2023; 15(17):3552. https://doi.org/10.3390/polym15173552
Chicago/Turabian StyleStankiewicz, Anna. 2023. "On Applicability of the Relaxation Spectrum of Fractional Maxwell Model to Description of Unimodal Relaxation Spectra of Polymers" Polymers 15, no. 17: 3552. https://doi.org/10.3390/polym15173552
APA StyleStankiewicz, A. (2023). On Applicability of the Relaxation Spectrum of Fractional Maxwell Model to Description of Unimodal Relaxation Spectra of Polymers. Polymers, 15(17), 3552. https://doi.org/10.3390/polym15173552
