Essential Design Strength and Unified Strength Condition of ETFE Membrane Material
Abstract
1. Introduction
- The material strength was commonly defined referring to the ultimate/peak loads of uniaxial specimens, which had the inherent uncertainty closely related to the initial defects of the material and the shape/size of the specimen [4]. Additionally, the ultimate strength was empirically reduced as the strength index of the material. Consequently, the same material could have different strength indexes in individual design codes and engineering handbooks [5]. The other most common way to define the strength of a material is to stipulate a specific strain value, for instance, the strength of stainless steel was defined by 0.2% of proof stress [6]. For the ETFE membrane material, its strength was defined by a specific strain, 5% of the specimen’s residual strain [7].
- For the material strength in the combined principal stresses (biaxial or triaxial specimens), there is no strength theory suitable for various materials with different failure forms, so that up to a hundred of strength theories have been proposed to deal with the material strength under complex stress states in the past research history of strength [7,8,9]. In other words, there is no general formula of strength to relate the material strength (uniaxial strength) with the combined principal stresses for various materials. The unified strength theory establishes a unified formula of strength, but it still includes two empirical parameters [10]. The cross biaxial strength of ETFE membrane material was simply estimated as about 45–60% of the uniaxial strength, and there was not a definite relation with the uniaxial strength [11].
2. Essential Strength and Formula of Strength
3. Technical Route and Methods Adopted in this Study
- Model the stress and strain data as generalized strain energy density (GSED) values using Equation (8) to express the state-of-stress of ETFE membrane specimenswhere and are the GSED and load values at the ith tested point and the jth loading step; and are the stress and strain at the ith tested point and the jth loading step.
- Take to characterize the state-of-stress of uniaxial specimen, called as the state-of-stress characteristic parameter. For a biaxial specimen, the sum of the GSED values along two directions is taken as the state-of-stress characteristic parameter. Then, plot the or curve to illustrate the state-of-stress evolution.
- Apply the cluster analysis (CA) criterion to detect the characteristic points in the state-of-stress evolution curve, the curve, or the curve [23]. The operative steps of the CA criterion is:Suppose that the possible characteristic point is τ and calculate the sum of the squares of deviations before and after τ:Calculate the sum of and :Find the optimal bisection point using the criterion:Point can then be inferred as the most possible characteristic point in the GSED sum-stress curve.
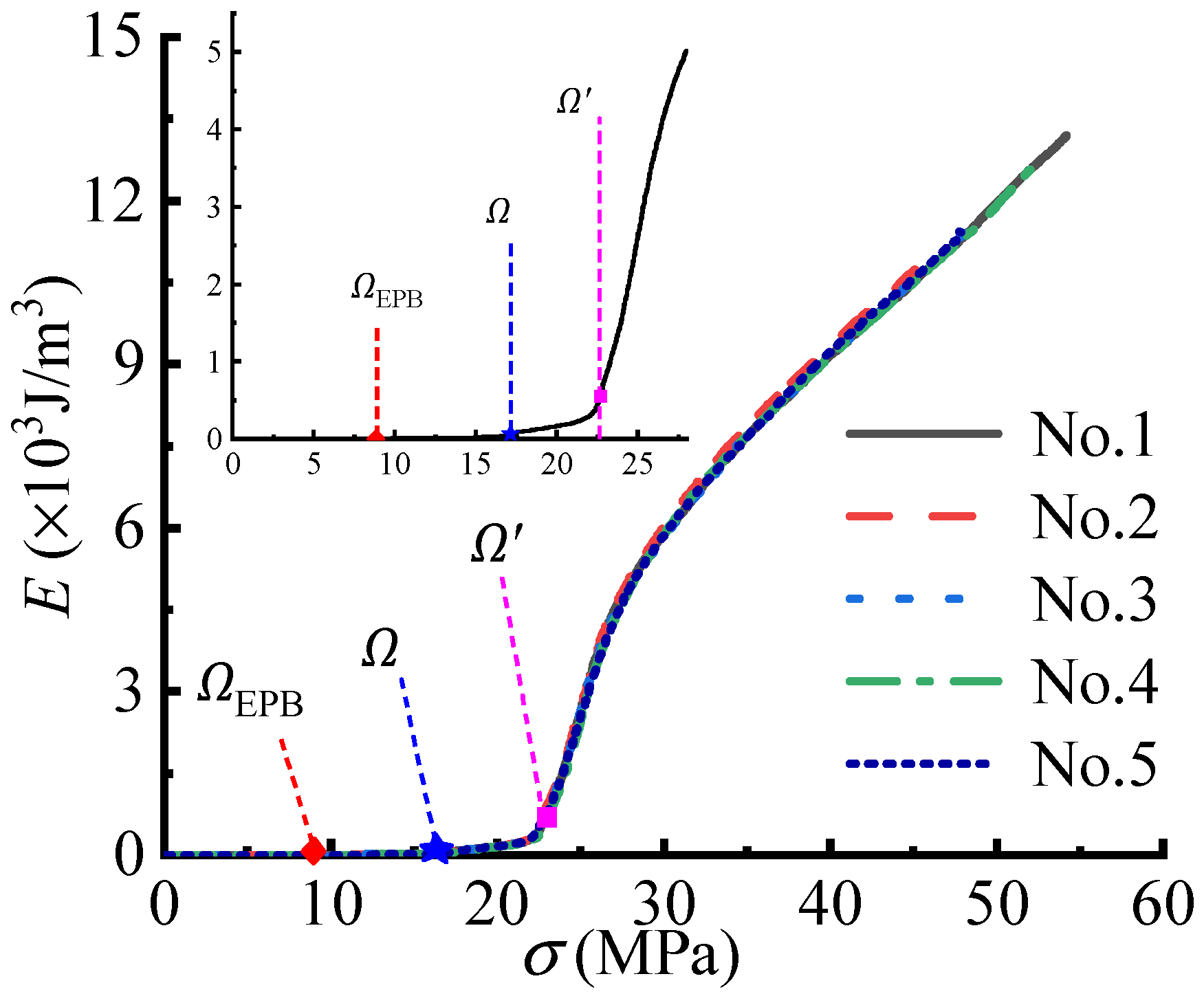
- Define the essential strength of ETFE membrane materials according to the state-of-stress characteristic point () of the uniaxial ETFE membrane specimen.
- Define the essential design strength of ETFE membrane materials according to the state-of-stress characteristic point () of the uniaxial ETFE membrane specimen.
- Extract the combined principal stresses from the biaxial specimen, i.e., obtain the essential principal stresses at the state-of-stress characteristic point () in the or curve. Find the relationship between the essential strength and essential principal stresses based on the formula of strength given in Equation (5), i.e., derive the unified formula of strength for ETFE membrane materials.
- Establish the unified strength condition for ETFE membrane materials according to Steps 5 and 6 above.
4. Essential Strength and Essential Design Strength
5. Comparison of ETFE Material Strengths
- Referring to the existing design code [17], the partial coefficient of membrane material resistance () is 1.2 for a short-term load. Thus, the essential strength () is taken as the standard value of tensile strength (). The design value of tensile strength () for a short-term load can be expressed as Equation (14):
- The essential EPB strength () is directly used as the design value of tensile strength () for a long-term load, as expressed by Equation (15):
6. Unified Strength Condition of ETFE Membrane Material
6.1. Formula of Strength for ETFE Membrane Materiasl
6.2. Advanced Design of ETFE Membrane Structures
7. Conclusions
Author Contributions
Funding
Institutional Review Board Statement
Informed Consent Statement
Data Availability Statement
Conflicts of Interest
References
- LeCuyer, A. ETFE: Technology and Design; Walter de Gruyter: Berlin, Germany, 2008. [Google Scholar]
- Moritz, K.; Barthel, R. Bauen mit ETFE-Folien. In Transluzente Materialien; DETAIL: Munchen, Germany, 2012; pp. 70–78. [Google Scholar]
- Galliot, C.; Luchsinger, R.H. Uniaxial and biaxial mechanical properties of ETFE foils. Polym. Test. 2011, 30, 356–365. [Google Scholar] [CrossRef]
- Zhou, G.; Shi, J.; Yu, M.; Zhang, Y.; Li, X.; Zhao, Y. Strength without Size Effect and Formula of Strength for Concrete and Natural Marble. Materials 2019, 12, 2685. [Google Scholar] [CrossRef]
- Wu, M.; Shang, Y.; Li, Y. Biaxial Tensile Mechanical Properties of ETFE Foil. J. Build. Mater. 2014, 17, 623–626. [Google Scholar] [CrossRef]
- Matsuoka, S. Relationship between 0.2% proof stress and Vickers hardness of work-hardened low carbon austenitic stainless steel, 316SS. Nippon Kikai Gakkai Ronbunshu A Hen 2004, 70, 1535–1541. [Google Scholar] [CrossRef]
- Hu, J.; Chen, W.; Zhao, B.; Yang, D. Buildings with ETFE foils: A review on material properties, architectural performance and structural behavior. Constr. Build. Mater. 2017, 131, 411–422. [Google Scholar] [CrossRef]
- Zhang, Y.; Zhao, B.; Hu, J.; Mi, X.; Chen, W. Modal measurement and identification of hexagonal air cushions. Mech. Syst. Signal Process. 2022, 179, 109377. [Google Scholar] [CrossRef]
- Zhao, B.; Chen, W. Rate-dependent mechanical properties and elastic modulus of ETFE foils used in inflated forming of transparency air-inflated cushion membrane structures. Eng. Struct. 2021, 227, 111404. [Google Scholar] [CrossRef]
- Maohong, Y. Unified Strength Theory and Its Applications; Xi’an Jiaotong University Press: Xi’an, China, 2017. [Google Scholar]
- Wu, M.; Li, Y.; Shang, Y. Statistical characteristics of ethylene tetrafluoroethylene foil’s mechanical properties and its partial safety factors. J. Mater. Civ. Eng. 2016, 28, 04016004. [Google Scholar] [CrossRef]
- Unified Standard for the Design of Building Structures. GBJ 68-1985; China Architecture & Building Press: Beijing, China, 1985.
- Mollaert, M.; Forster, B. European Design Guide for Tensile Surface Structures; TensiNet: Sant Cugat del Valles, Spain, 2004. [Google Scholar]
- Tensile Membrane Structure. ASCE/SEI 55-10; ASCE: Reston, VA, USA, 2010.
- Tensile Membrane Structures. ASCE/SEI 55-16; ASCE: Reston, VA, USA, 2017. [CrossRef]
- Kawabata, M. Structural Design of Membrane Structures Using ETFE Film. In Proceedings of the IASS Annual Symposium: IASS-APCS 2012, Seoul, Korea, 21–24 May 2012; pp. 1889–1897. [Google Scholar]
- Technical Specification for Membrane Structures. CECS 158-2015; China Planning Press: Beijing, China, 2015.
- Wu, M.; Liu, J.; Mu, T.; Zhang, Q. Uniaxial Tensile Properties of ETFE Foils. J. Build. Mater. 2008, 11, 241–247. [Google Scholar]
- Minte, J. Das mechanische Verhalten von Verbindungen Beschichteter Chemiefasergewebe; Technischen Hochschule Aachen: Aachen, Germany, 1981. [Google Scholar]
- Mises, R.v. Mechanik der festen Körper im plastisch-deformablen Zustand. Nachr. Von Der Ges. Der Wiss. Zu Göttingen Math. -Phys. Kl. 1913, 1913, 582–592. [Google Scholar]
- Yu, M.; He, L. A new model and theory on yield and failure of materials under the complex stress state. In Mechanical Behaviour of Materials VI; Elsevier: Amsterdam, The Netherlands, 1992; pp. 841–846. [Google Scholar]
- Zhou, G.; Shi, J.; Li, P.; Li, H. Characteristics of structural state of stress for steel frame in progressive collapse. J. Constr. Steel Res. 2019, 160, 444–456. [Google Scholar] [CrossRef]
- Zhang, M.; Zhang, P.; Shao, Y.; Liu, D.; Zhou, G. General working features of axially compressive members revealed by structural stressing state theory. Case Stud. Constr. Mater. 2022, 17, e01292. [Google Scholar] [CrossRef]
- Plastics—Determination of Tensile Properties—Part 3: Test Conditions for Films and Sheets (ISO 527-3:1995). CEN/TC 249; Standardization Institute ES-AENOR: Madrid, Spain, 1995.
- Technical Specification for Membrane Structure. CECS158:2004; China Planning Press: Beijing China, 2004.
- Kim, J.-Y.; Wu, M. Uniaxial Tensile Test of ETFE Film. J. Korean Assoc. Spat. Struct. 2008, 8, 5–8. [Google Scholar]
- Li, Y.; Wu, M. Uniaxial creep property and viscoelastic–plastic modelling of ethylene tetrafluoroethylene (ETFE) foil. Mech. Time Depend. Mater. 2015, 19, 21–34. [Google Scholar] [CrossRef]
- Cui, J.; Wu, M.; Yang, L. Experimental Study on Biaxial Mechanical Properties of ETFE Film. J. Build. Mater. 2016, 19, 866–870. [Google Scholar] [CrossRef]









| Strain Rate | /Mpa | Average /MPa | Variance | ||||
|---|---|---|---|---|---|---|---|
| No.1 | No.2 | No.3 | No.4 | No.5 | |||
| 10%/min | 14.7 | 14.7 | 14.8 | 14.8 | 14.9 | 14.8 | 0.005 |
| 25%/min | 15.4 | 15.4 | 15.6 | 15.5 | 15.5 | 15.5 | 0.006 |
| 50%/min | 16.2 | 16.0 | 15.8 | 16.1 | 15.9 | 16.0 | 0.025 |
| 100%/min | 17.2 | 16.8 | 16.9 | 16.8 | 16.8 | 16.9 | 0.023 |
| 200%/min | 17.1 | 17.2 | 17.4 | 17.2 | 17.4 | 17.3 | 0.018 |
| 500%/min | 18.1 | 17.9 | 17.8 | 17.7 | 17.9 | 17.9 | 0.015 |
| Strain Rate | Variance | ||||||
|---|---|---|---|---|---|---|---|
| No.1 | No.2 | No.3 | No.4 | No.5 | |||
| 10%/min | 22.2 | 22.2 | 22.2 | 21.7 | 22.5 | 22.2 | 0.083 |
| 25%/min | 22.8 | 22.2 | 23.0 | 22.3 | 23.0 | 22.7 | 0.148 |
| 50%/min | 23.2 | 22.9 | 23.0 | 23.1 | 22.0 | 22.8 | 0.233 |
| 100%/min | 23.1 | 23.2 | 23.7 | 23.1 | 23.8 | 23.4 | 0.212 |
| 200%/min | 24.4 | 23.7 | 24.3 | 23.3 | 23.7 | 23.9 | 0.117 |
| 500%/min | 24.6 | 24.3 | 24.1 | 24.2 | 24.2 | 24.3 | 0.037 |
| Strain Rate | The Essential Design Strength/MPa | Variance | ||||||
|---|---|---|---|---|---|---|---|---|
| No.1 | No.2 | No.3 | No.4 | No.5 | ||||
| 10% | 8.1 | 6.8 | 6.8 | 6.7 | 8.6 | 7.40 | 0.6280 | 0.500 |
| 25% | 7.8 | 7.7 | 7.8 | 7.5 | 7.9 | 7.74 | 0.0184 | 0.499 |
| 50% | 8.9 | 8.0 | 6.8 | 7.2 | 8.4 | 7.86 | 0.5904 | 0.491 |
| 100% | 7.9 | 7.9 | 8.1 | 7.8 | 8.0 | 7.94 | 0.0104 | 0.470 |
| 200% | 9.5 | 9.3 | 8.6 | 9.1 | 8.4 | 8.98 | 0.1736 | 0.519 |
| 500% | 8.8 | 8.9 | 10.5 | 8.9 | 8.8 | 9.18 | 0.4376 | 0.513 |
| Strain Rate | The Essential Elastic Modulus/MPa | Average/MPa | Variance | ||||
|---|---|---|---|---|---|---|---|
| No.1 | No.2 | No.3 | No.4 | No.5 | |||
| 10% | 8.4 | 8.5 | 8.2 | 8.2 | 8.0 | 8.26 | 0.0304 |
| 25% | 8.0 | 7.8 | 8.0 | 7.9 | 8.0 | 7.94 | 0.0064 |
| 50% | 8.3 | 7.4 | 8.5 | 8.4 | 8.2 | 8.16 | 0.1544 |
| 100% | 8.1 | 8.0 | 8.1 | 8.1 | 8.1 | 8.08 | 0.0016 |
| 200% | 8.0 | 7.8 | 8.0 | 7.7 | 7.8 | 7.86 | 0.0144 |
| 500% | 7.5 | 7.5 | 7.3 | 7.5 | 7.4 | 7.44 | 0.0064 |
| Strain Rate | /MPa | Average /MPa | Variance | fea/MPa | |||||
|---|---|---|---|---|---|---|---|---|---|
| No.1 | No.2 | No.3 | No.4 | No.5 | fea-s | fea-l | |||
| 10% | 43.8 | 45.1 | 42.0 | 44.2 | 44.7 | 43.96 | 1.15 | 12.56 | 6.28 |
| 25% | 48.4 | 42.4 | 47.1 | 42.4 | 47.0 | 45.46 | 6.49 | 12.99 | 6.49 |
| 50% | 44.2 | 46.9 | 45.9 | 44.4 | 46.2 | 45.52 | 1.10 | 13.01 | 6.50 |
| 100% | 52.8 | 48.1 | 54.2 | 45.3 | 48.0 | 49.68 | 10.93 | 14.19 | 7.10 |
| 200% | 45.0 | 44.2 | 50.6 | 44.5 | 50.9 | 47.04 | 9.25 | 13.44 | 6.72 |
| 500% | 49.2 | 46.7 | 44.3 | 45.5 | 45.6 | 46.26 | 2.74 | 13.22 | 6.61 |
| Strain Rate | The 1st and 2nd Yield Stresses | Average /MPa | Variance | fex/MPa | ||||||
|---|---|---|---|---|---|---|---|---|---|---|
| No.1 | No.2 | No.3 | No.4 | No.5 | fex-s | fex-l | ||||
| 10% | 13.6 | 13.7 | 13.5 | 13.6 | 13.5 | 13.58 | 0.0056 | 7.54 | 11.32 | |
| 21.2 | 21.5 | 21.3 | 21 | 21.1 | 21.22 | 0.0296 | 15.16 | 17.68 | ||
| 20% | 14.4 | 14.5 | 14.6 | 14.4 | 14.3 | 14.44 | 0.0104 | 8.02 | 12.03 | |
| 21.6 | 21.5 | 21.8 | 21.6 | 21.6 | 21.62 | 0.0096 | 15.44 | 18.02 | ||
| 50% | 15.2 | 15.2 | 14.9 | 14.9 | 14.7 | 14.98 | 0.0376 | 8.32 | 12.48 | |
| 21.9 | 21.8 | 21.6 | 21.7 | 21.4 | 21.68 | 0.0296 | 15.46 | 18.07 | ||
| 100% | 16.0 | 15.7 | 15.7 | 15.9 | 15.8 | 15.82 | 0.0136 | 8.79 | 13.18 | |
| 22.5 | 22.1 | 22.2 | 22.3 | 22.2 | 22.26 | 0.0184 | 15.90 | 18.55 | ||
| 200% | 16.1 | 16.3 | 16.2 | 16.3 | 16.2 | 16.22 | 0.0056 | 9.01 | 13.52 | |
| 22.0 | 22.3 | 22.1 | 22.3 | 22.1 | 22.16 | 0.0144 | 15.83 | 18.47 | ||
| 500% | 17.0 | 16.8 | 16.7 | 16.9 | 16.8 | 16.84 | 0.0104 | 9.36 | 14.03 | |
| 22.7 | 22.4 | 22.5 | 22.5 | 22.5 | 22.52 | 0.0096 | 16.09 | 18.77 | ||
| Biaxial Test | No. of Specimen | |||||
|---|---|---|---|---|---|---|
| Air bubbling models | B1 | 23.5 | 23.5 | 17.6 | 1.7 | |
| B2 | 24.0 | 24.0 | 18.0 | 0.6 | ||
| B3 | 24.7 | 24.7 | 18.5 | 3.3 | ||
| Cruciform specimens | 1:1 | 20.5 | 19.4 | 15.6 | 0.65 | |
| 1:2 | 1 | 17.9 | 8.5 | 15.8 | 1.94 | |
| 2 | 17.7 | 8.6 | 15.6 | 0.65 | ||
| Biaxial Test | No. of Specimen | |||||
|---|---|---|---|---|---|---|
| Air bubbling models | B1 | 34.3 | 34.3 | 25.7 | 5.8 | |
| B2 | 34.1 | 34.1 | 25.6 | 5.3 | ||
| B3 | 35.4 | 35.4 | 26.6 | 9.5 | ||
| Cruciform specimens | 1:1 | 27.1 | 26.5 | 20.5 | 9.7 | |
| 1:2 | 1 | 27.5 | 13.9 | 24.0 | 5.7 | |
| 2 | 27.8 | 14.4 | 24.2 | 6.6 | ||
Publisher’s Note: MDPI stays neutral with regard to jurisdictional claims in published maps and institutional affiliations. |
© 2022 by the authors. Licensee MDPI, Basel, Switzerland. This article is an open access article distributed under the terms and conditions of the Creative Commons Attribution (CC BY) license (https://creativecommons.org/licenses/by/4.0/).
Share and Cite
Zhang, M.; Zhang, Y.; Zhou, G.; Li, H. Essential Design Strength and Unified Strength Condition of ETFE Membrane Material. Polymers 2022, 14, 5166. https://doi.org/10.3390/polym14235166
Zhang M, Zhang Y, Zhou G, Li H. Essential Design Strength and Unified Strength Condition of ETFE Membrane Material. Polymers. 2022; 14(23):5166. https://doi.org/10.3390/polym14235166
Chicago/Turabian StyleZhang, Mingyue, Yingying Zhang, Guangchun Zhou, and Hanyin Li. 2022. "Essential Design Strength and Unified Strength Condition of ETFE Membrane Material" Polymers 14, no. 23: 5166. https://doi.org/10.3390/polym14235166
APA StyleZhang, M., Zhang, Y., Zhou, G., & Li, H. (2022). Essential Design Strength and Unified Strength Condition of ETFE Membrane Material. Polymers, 14(23), 5166. https://doi.org/10.3390/polym14235166

