Bio-Based Poly(lactic acid)/Poly(butylene sebacate) Blends with Improved Toughness
Abstract
:1. Introduction
2. Materials and Methods
2.1. Materials
2.2. Synthesis of PBSe
2.3. Preparation of PLA/PBSe Blends
2.4. Characterization Methods
2.4.1. Fourier-Transform Infrared Spectroscopy (FTIR) Analysis
2.4.2. Size Exclusion Chromatography (SEC-GPC)
2.4.3. Thermal Properties Analysis
2.4.4. Scanning Electron Microscopy (SEM)
2.4.5. Mechanical Property Analysis
2.4.6. Melt Rheology Evaluation of PLA/PBSe Blends
3. Results and Discussion
3.1. SEC-GPC Analysis
3.2. FTIR Analysis
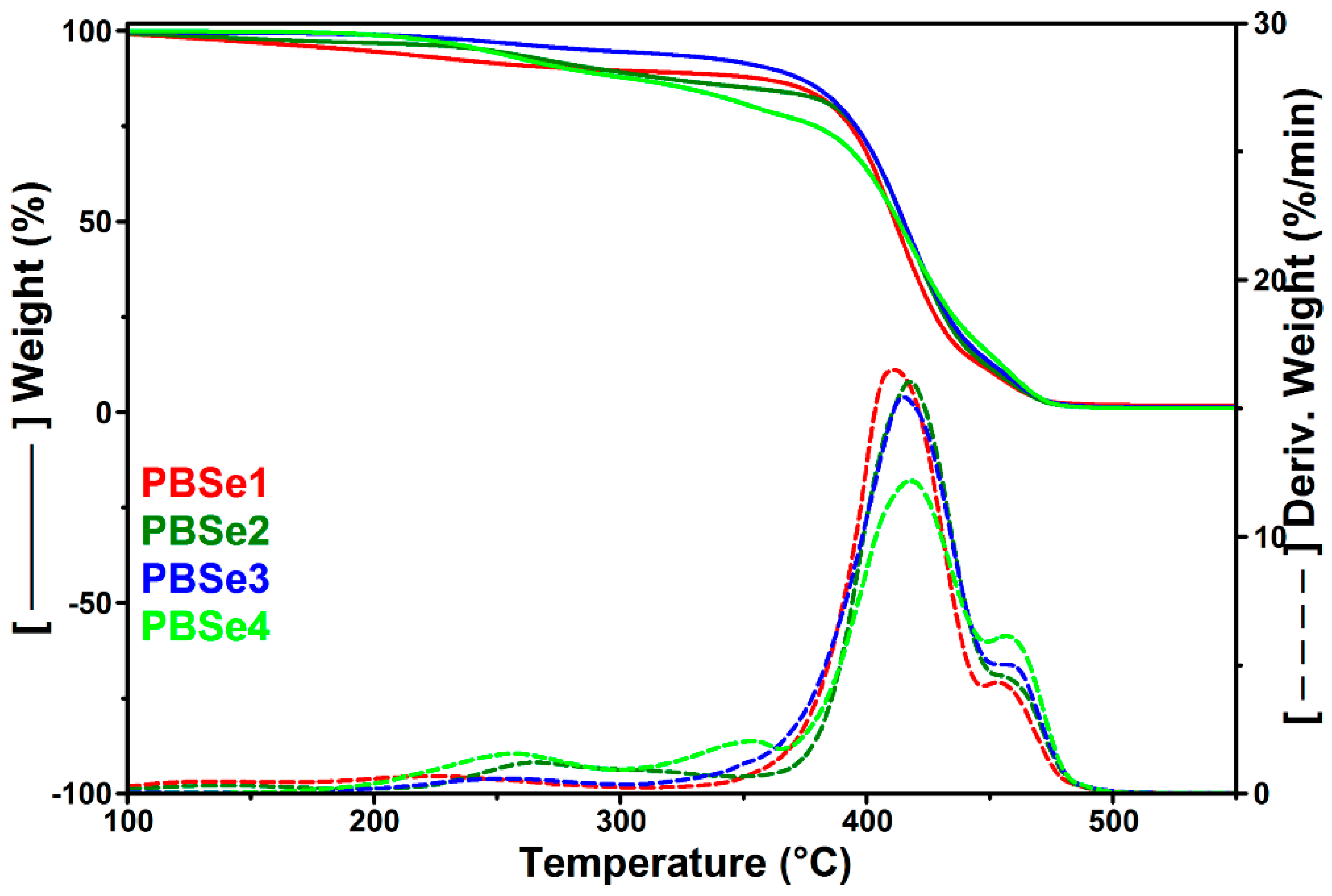
3.3. TGA Analysis of PBSe
3.4. TGA Analysis of PLA/PBSe Blends
3.5. Morphology of Fracture Surface of PLA/PBSe Blends
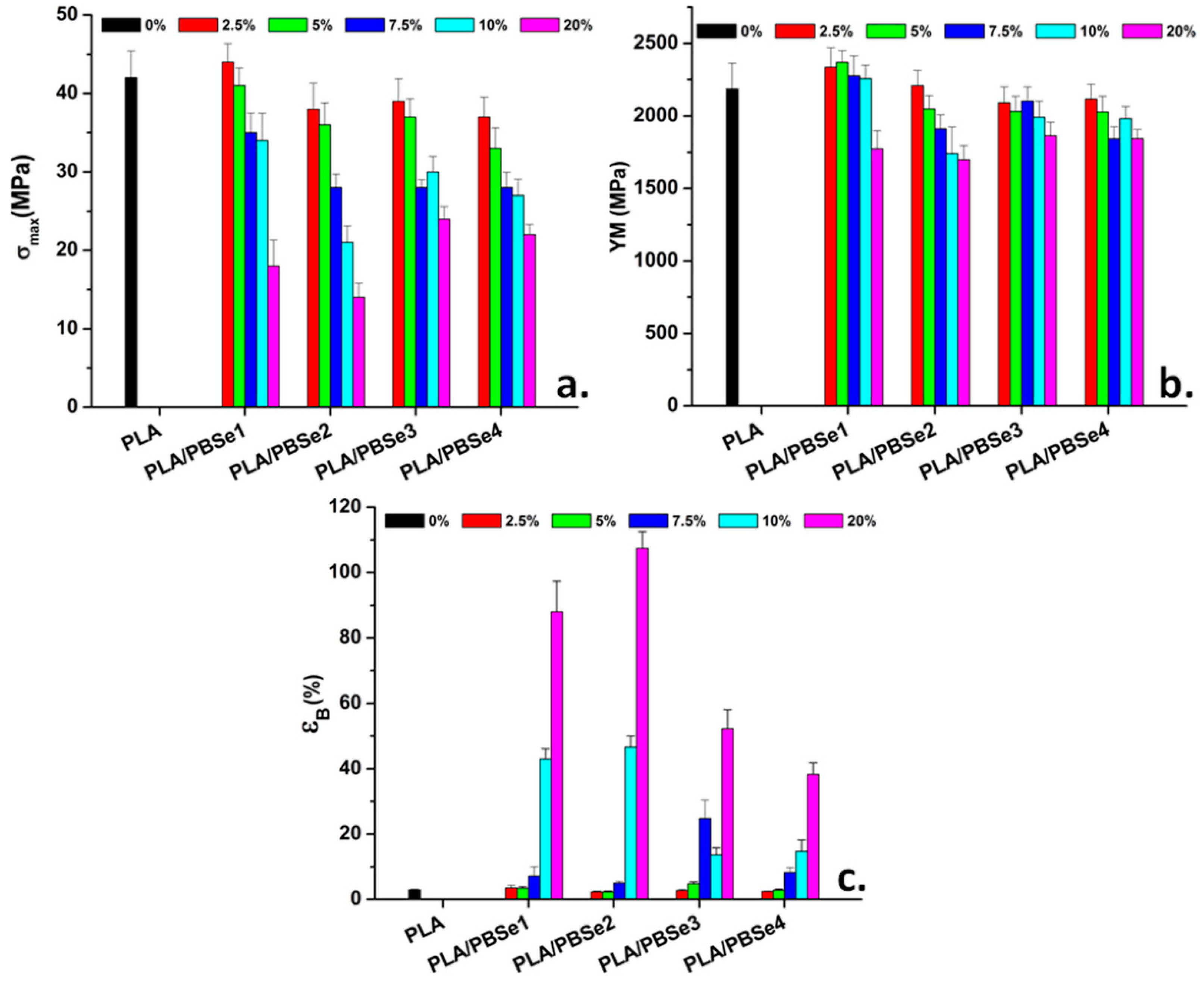
3.6. Mechanical Behavior of PLA/PBSe Blends
3.6.1. Dynamic Mechanical Properties
3.6.2. Tensile Properties
4. Conclusions
Supplementary Materials
Author Contributions
Funding
Institutional Review Board Statement
Informed Consent Statement
Data Availability Statement
Conflicts of Interest
References
- Naser, A.Z.; Deiab, I.; Darras, B.M. Poly(lactic acid) (PLA) and polyhydroxyalkanoates (PHAs), green alternatives to petroleum-based plastics: A review. RSC Adv. 2021, 11, 17151–17196. [Google Scholar] [CrossRef] [PubMed]
- Masutani, K.; Kimura, Y. PLA Synthesis. From the Monomer to the Polymer. In Poly(Lactic Acid) Science and Technology: Processing, Properties, Additives and Applications; RSC Publishing: Cambridge, UK, 2014; pp. 1–36. [Google Scholar]
- Shrivastava, A. Polymerization. In Introduction to Plastics Engineering; William Andrew Publishing: Norwich, NY, USA, 2018; pp. 17–49. [Google Scholar]
- Walton, M.J.; Lancaster, S.J.; Redshaw, C. Highly Selective and Immortal Magnesium Calixarene Complexes for the Ring-Opening Polymerization of rac-Lactide. ChemCatChem 2014, 6, 1892–1898. [Google Scholar] [CrossRef]
- Nwamba, M.C.; Sun, F.; Mukasekuru, M.; Song, G.; Harindintwali, J.D.; Boyi, S.A.; Sun, H. Trends and hassles in the microbial production of lactic acid from lignocellulosic biomass. Environ. Technol. Innov. 2021, 21, 101337. [Google Scholar] [CrossRef]
- Panaitescu, D.M.; Frone, A.N.; Chiulan, I.; Gabor, R.A.; Spataru, C.I.; Căşărică, A. Biocomposites from Polylactic Acid and Bacterial Cellulose Nanofibers Obtained by Mechanical Treatment. Bioresources 2017, 12, 662–672. [Google Scholar] [CrossRef]
- Nofar, M.; Sacligil, D.; Carreau, P.J.; Kamal, M.R.; Heuzey, M.-C. Poly (lactic acid) blends: Processing, properties and applications. Int. J. Biol. Macromol. 2018, 125, 307–360. [Google Scholar] [CrossRef] [PubMed]
- Brebu, M. Environmental Degradation of Plastic Composites with Natural Fillers—A Review. Polymers 2020, 12, 166. [Google Scholar] [CrossRef] [PubMed]
- Frone, A.N.; Batalu, D.; Chiulan, I.; Oprea, M.; Gabor, A.R.; Nicolae, C.-A.; Raditoiu, V.; Trusca, R.; Panaitescu, D.M. Morpho-Structural, Thermal and Mechanical Properties of PLA/PHB/Cellulose Biodegradable Nanocomposites Obtained by Compression Molding, Extrusion, and 3D Printing. Nanomaterials 2020, 10, 51. [Google Scholar] [CrossRef]
- Valvez, S.; Santos, P.; Parente, J.M.; Silva, M.P.; Reis, P.N.B. 3D printed continuous carbon fiber reinforced PLA composites: A short review. Procedia Struct. Integr. 2020, 25, 394–399. [Google Scholar] [CrossRef]
- Castro-Aguirre, E.; Iñiguez-Franco, F.; Samsudin, H.; Fang, X.; Auras, R. Poly(lactic acid)—Mass production, processing, industrial applications, and end of life. Adv. Drug Deliv. Rev. 2016, 107, 333–366. [Google Scholar] [CrossRef]
- Liu, S.; Qin, S.; He, M.; Zhou, D.; Qin, Q.; Wang, H. Current applications of poly(lactic acid) composites in tissue engineering and drug delivery. Compos. Part B Eng. 2020, 199, 108238. [Google Scholar] [CrossRef]
- Nedelcu, D.; Mazurchevici, S.-N.; Popa, R.-I.; Lohan, N.-M.; Maldonado-Cortés, D.; Carausu, C. Tribological and Dynamical Mechanical Behavior of Prototyped PLA-Based Polymers. Materials 2020, 13, 3615. [Google Scholar] [CrossRef]
- França, D.C.; Almeida, T.G.; Abels, G.; Canedo, E.L.; Carvalho, L.H.; Wellen, R.M.R.; Haag, K.; Koschek, K. Tailoring PBAT/PLA/Babassu films for suitability of agriculture mulch application. J. Nat. Fibers 2019, 16, 933–943. [Google Scholar] [CrossRef]
- China Aims to Go as Big in Bioplastics as It Did in Solar Panels. Available online: https://asia.nikkei.com/Spotlight/Environment/China-aims-to-go-as-big-in-bioplastics-as-it-did-in-solar-panels (accessed on 23 August 2022).
- Coiai, S.; Di Lorenzo, M.L.; Cinelli, P.; Righetti, M.C.; Passaglia, E. Binary Green Blends of Poly(lactic acid) with Poly(butylene adipate-co-butylene terephthalate) and Poly(butylene succinate-co-butylene adipate) and Their Nanocomposites. Polymers 2021, 13, 2489. [Google Scholar] [CrossRef] [PubMed]
- Si, W.-J.; Yang, L.; Weng, Y.-X.; Zhu, J.; Zeng, J.-B. Poly(lactic acid)/biobased polyurethane blends with balanced mechanical strength andtoughness. Polym.Test. 2018, 69, 9–15. [Google Scholar] [CrossRef]
- Yang, Y.; Zhang, L.; Xiong, Z.; Tang, Z.; Zhang, R.; Zhu, J. Research progress in the heat resistance, toughening and filling modification of PLA. Sci. China Chem. 2016, 59, 1355–1368. [Google Scholar] [CrossRef]
- Kim, K.; Lee, J.W.; Chang, T.; Kim, H.I. Characterization of Polylactides with Different Stereoregularity Using Electrospray Ionization Ion Mobility Mass Spectrometry. J. Am. Soc. Mass Spectrom. 2014, 25, 1771–1779. [Google Scholar] [CrossRef]
- Kang, H.; Li, Y.; Gong, M.; Guo, Y.; Guo, Z.; Fang, Q.; Li, X. An environmentally sustainable plasticizer toughened polylactide. RSC Adv. 2018, 8, 11643–11651. [Google Scholar] [CrossRef]
- Greco, A.; Maffezzoli, A. Cardanol derivatives as innovative bio-plasticizers for poly-(lactic acid). Polym. Degrad. Stab. 2016, 132, 213–219. [Google Scholar] [CrossRef]
- Mele, G.; Bloise, E.; Cosentino, F.; Lomonaco, D.; Avelino, F.; Marcianò, T.; Massaro, C.; Mazzetto, S.E.; Tammaro, L.; Scalone, A.G.; et al. Influence of Cardanol Oil on the Properties of Poly(lactic acid) Films Produced by Melt Extrusion. ACS Omega 2019, 4, 718–726. [Google Scholar] [CrossRef]
- Xuan, W.; Hakkarainen, M.; Odelius, K. Levulinic acid as a versatile building-block for plasticizer design. ACS Sustain. Chem. Eng. 2019, 7, 12552–12562. [Google Scholar] [CrossRef]
- Carbonell-Verdu, A.; Boronat, T.; Quiles-Carrillo, L.; Fenollar, O.; Dominici, F.; Torre, L. Valorization of Cotton Industry Byproducts in Green Composites with Polylactide. J. Polym. Environ. 2020, 28, 2039–2053. [Google Scholar] [CrossRef]
- Park, M.; Choi, I.; Lee, S.; Hong, S.; Kim, A.; Shin, J.; Kang, H.-C.; Kim, Y.-W. Renewable Malic Acid-based Plasticizers for Both PVC and PLA Polymers. J. Ind. Eng. Chem. 2020, 88, 148–158. [Google Scholar] [CrossRef]
- Zych, A.; Perotto, G.; Trojanowska, D.; Tedeschi, G.; Bertolacci, L.; Francini, N.; Athanassiou, A. Super Tough Polylactic Acid Plasticized with Epoxidized Soybean Oil Methyl Ester for Flexible Food Packaging. ACS Appl. Polym. Mater. 2021, 3, 5087–5095. [Google Scholar] [CrossRef]
- Volpe, V.; De Filitto, M.; Klofacova, V.; De Santis, F.; Pantani, R. Effect of mold opening on the properties of PLA samples obtained by foam injection molding. Polym. Eng. Sci. 2017, 58, 475–484. [Google Scholar] [CrossRef]
- García-Campo, M.J.; Boronat, T.; Quiles-Carrillo, L.; Balart, R.; Montanes, N. Manufacturing and Characterization of Toughened Poly(lacticacid) (PLA) Formulations by Ternary Blends with Biopolyesters. Polymers 2018, 10, 3. [Google Scholar] [CrossRef]
- Puthumana, M.; Krishnan, P.S.G.; Nayak, S.K. Chemical modifications of PLA through copolymerization. Int. J. Polym. Anal. Charact. 2020, 25, 634–648. [Google Scholar] [CrossRef]
- Siehr, A.; Flory, C.; Callaway, T.; Schumacher, R.J.; Siegel, R.A.; Shen, W. Implantable and Degradable Thermoplastic Elastomer. ACS Biomater. Sci. Eng. 2021, 7, 5598–5610. [Google Scholar] [CrossRef]
- Dånmark, S.; Finne-Wistrand, A.; Schander, K.; Hakkarainen, M.; Arvidson, K.; Mustafa, K.; Albertsson, A.-C. In vitro and in vivo degradation profile of aliphatic polyesters subjected to electron be amsterilization. Acta Biomater. 2011, 7, 2035–2046. [Google Scholar] [CrossRef]
- Plichta, A.; Florjańczyk, Z.; Kundys, A.; Frydrych, A.; Dębowski, M.; Langwald, N. On the copolymerization of monomers from renewable resources: L-lactide and ethylene carbonate in the presence of metal alkoxides. Pure Appl. Chem. 2014, 86, 733–745. [Google Scholar] [CrossRef]
- Zhang, M.; Chang, Z.; Wang, X.; Li, Q. Synthesis of Poly(l-lactide-co-ε-caprolactone) Copolymer: Structure, Toughness, and Elasticity. Polymers 2021, 13, 1270. [Google Scholar] [CrossRef]
- Xi, L.; Wang, Y.; Su, F.; Zhu, Q.; Li, S. Biocompatibility and degradation studies of poly(L-lactide-co-trimethylene carbonate) copolymers as cardiac occluders. Materialia 2019, 7, 100414. [Google Scholar] [CrossRef]
- Mahmud, M.S.; Buys, Y.F.; Anuar, H.; Sopyan, I. Miscibility, Morphology and Mechanical Properties of Compatibilized Polylactic Acid/Thermoplastic Polyurethane Blends. Mater. Today 2019, 17, 778–786. [Google Scholar] [CrossRef]
- Zhao, X.; Hu, H.; Wang, X.; Yu, X.; Zhou, W.; Peng, S. Super tough poly(lactic acid) blends: A comprehensive review. RSC Adv. 2020, 10, 13316–13368. [Google Scholar] [CrossRef] [PubMed]
- Saini, P.; Arora, M.; Kumar, M.N.V.R. Poly(lactic acid) blends in biomedical applications. Adv. Drug Deliv. Rev. 2016, 107, 47–59. [Google Scholar] [CrossRef] [PubMed]
- Wang, X.; Peng, S.; Chen, H.; Yu, X.; Zhao, X. Mechanical properties, rheological behaviors, and phase morphologies of high-toughness PLA/PBAT blends by in-situ reactive compatibilization. Compos. Part B Eng. 2019, 173, 107028. [Google Scholar] [CrossRef]
- Aliotta, L.; Vannozzi, A.; Canesi, I.; Cinelli, P.; Coltelli, M.-B.; Lazzeri, A. Poly(lactic acid) (PLA)/Poly(butylene succinate-co-adipate) (PBSA) Compatibilized Binary Biobased Blends: Melt Fluidity, Morphological, Thermo-Mechanical and Micromechanical Analysis. Polymers 2021, 13, 218. [Google Scholar] [CrossRef]
- Salehiyan, R.; Ray, S.S. Influence of Nanoclay Localization on Structure-Property Relationships of Polylactide-Based Biodegradable Blend Nanocomposites. Macromol. Mater. Eng. 2018, 30, 1800134. [Google Scholar] [CrossRef]
- Hu, X.; Li, Y.; Li, M.; Kang, H.; Zhang, L. Renewable and Supertoughened Polylactide-Based Composites: Morphology, Interfacial Compatibilization, and Toughening. Mechanism. Ind. Eng. Chem. Res. 2016, 55, 9195–9204. [Google Scholar] [CrossRef]
- Kang, H.; Qiao, B.; Wang, R.; Wang, Z.; Zhang, L.; Ma, J.; Coates, P. Employing a novel bioelastomer to tough enpolylactide. Polymer 2013, 54, 2450–2458. [Google Scholar] [CrossRef]
- Kim, S.J.; Kwak, H.W.; Kwon, S.; Jang, H.; Park, S.-I. Synthesis, Characterization and Properties of Biodegradable Poly(ButyleneSebacate-Co-terephthalate). Polymers 2020, 12, 2389. [Google Scholar] [CrossRef]
- Jeon, W.-Y.; Jang, M.-J.; Park, G.-Y.; Lee, H.-J.; Seo, S.-H.; Lee, H.-S.; Han, C.; Kwon, H.; Lee, H.-C.; Lee, J.-H.; et al. Microbial production of sebacic acid from a renewable source: Production, purification, and polymerization. Green Chem. 2019, 21, 6491–6501. [Google Scholar] [CrossRef]
- De Bari, I.; Giuliano, A.; Petrone, M.T.; Stoppiello, G.; Fatta, V.; Giardi, C.; Razza, F.; Novelli, A. From Cardoon Lignocellulosic Biomass to Bio-1,4 Butanediol: An Integrated Biorefinery Model. Processes 2020, 8, 1585. [Google Scholar] [CrossRef]
- Siotto, M.; Zoia, L.; Tosin, M.; Degli Innocenti, F.; Orlandi, M.; Mezzanotte, V. Monitoring biodegradation of poly(butylene sebacate) by Gel Permeation Chromatography, 1H-NMR and 31P-NMR techniques. J. Environ. Manag. 2013, 116, 27–35. [Google Scholar] [CrossRef] [PubMed]
- Raghunanan, L.; Narine, S.S. Influence of Structure on Chemical and Thermal Stability of Aliphatic Diesters. J. Phys. Chem. B 2013, 117, 14754–14762. [Google Scholar] [CrossRef] [PubMed]
- Wu, Y.; Xie, Q.; Gao, C.; Wang, T.; Wang, C. Synthesis and characterization of a novel aliphatic polyester based on itaconic acid. Polym. Eng. Sci. 2013, 54, 2515–2521. [Google Scholar] [CrossRef]
- Sokolsky-Papkov, M.; Langer, R.; Domb, A.J. Synthesis of aliphatic polyesters by polycondensation using inorganic acid as catalyst. Polym. Adv. Technol. 2011, 22, 502–511. [Google Scholar] [CrossRef]
- Inácio, E.M.; Lima, M.C.P.; Souza, D.H.S.; Sirelli, L.; Dias, M.L. Crystallization, thermal and mechanical behavior of oligosebacate plasticized poly(lactic acid) films. Polímeros 2018, 28, 381–388. [Google Scholar] [CrossRef]
- Hu, X.; Kang, H.; Li, Y.; Li, M.; Wang, R.; Xu, R.; Qiao, H.; Zhang, L. Direct Copolycondensation of Biobased Elastomers Based on Lactic Acid with Tunable and Versatile Properties. Polym. Chem. 2015, 6, 8112–8123. [Google Scholar] [CrossRef]
- Hu, X.; Li, Y.; Gao, Y.; Wang, R.; Wang, Z.; Kang, H.; Zhang, L. Renewable and super-toughened poly (butylene succinate) with bio-based elastomers: Preparation, compatibility and performances. Eur. Polym. J. 2019, 116, 438–444. [Google Scholar] [CrossRef]
- Bikiaris, R.D.; Ainali, N.M.; Christodoulou, E.; Nikolaidis, N.; Lambropoulou, D.A.; Papageorgiou, G.Z. Thermal Stability and Decomposition Mechanism of Poly(alkylene succinate)s. Macromol 2022, 2, 58–77. [Google Scholar] [CrossRef]
- Athanasoulia, I.G.; Tarantili, P.A. Preparation and characterization of polyethylene glycol/poly(L-lactic acid) blends. Pure Appl. Chem. 2017, 89, 141–152. [Google Scholar] [CrossRef]
- Kervran, M.; Vagner, C.; Cochez, M.; Ponçot, M.; Saeb, M.R.; Vahabi, H. Thermal degradation of polylactic acid (PLA)/polyhydroxybutyrate (PHB) blends: A systematic review. Polym. Degrad. Stab. 2022, 201, 10999. [Google Scholar] [CrossRef]
- Panaitescu, D.M.; Nicolae, C.A.; Frone, A.N.; Chiulan, I.; Stanescu, P.O.; Draghici, C.; Iorga, M.; Mihailescu, M. Plasticized poly(3-hydroxybutyrate) with improved melt processing and balanced properties. J. Appl. Polym. Sci. 2017, 134, 44810. [Google Scholar] [CrossRef]









| Sample Code | Se: BDO Molar Ratio | Mn (g/mol) | PDI | Rt (min) |
|---|---|---|---|---|
| PBSe1 | 1:1.1 | 10,779± 490 | 1.28 | 1.8 |
| PBSe2 | 1:1.5 | 7620 ± 22 | 1.15 | 1.4 |
| PBSe3 | 1.1:1 | 7812 ± 37 | 1.18 | 1.6 |
| PBSe4 | 1.5:1 | 6116 ± 47 | 1.13 | 1.2 |
| Sample | PLA (wt%) | PBSey (wt%) |
|---|---|---|
| PLA | 100 | 0 |
| PLA/2.5PBSey | 97.5 | 2.5 |
| PLA/5PBSey | 95 | 5 |
| PLA/7.5PBSey | 92.5 | 7.5 |
| PLA/10PBSey | 90 | 10 |
| PLA/20PBSey | 80 | 20 |
| Sample | Td,10%, °C | Td,max1, °C | Td,max2, °C | WL165°C % | R700°, % | Tg *, °C | Tm **, °C | Tc ***, °C |
|---|---|---|---|---|---|---|---|---|
| PBSe1 | 284. | 411 | 459 | 3. 65 | 1.70 | −27 | 52 | 38 |
| PBSe2 | 291 | 418 | 464 | 2.46 | 1.05 | −23 | 51 | 37 |
| PBSe3 | 362 | 415 | 463 | 0.61 | 1.22 | −16 | 49 | 38 |
| PBSe4 | 279 | 418 | 463 | 0.31 | 1.02 | −14 | 47 | 40 |
| Sample | E′40, MPa | E′80, MPa | Tg, °C | tan δ (Tg) |
|---|---|---|---|---|
| PLA | 5001 | 13.89 | 78.16 | 1.824 |
| PLA/2.5PBSe1 | 4917 | 9.76 | 76.78 | 1.856 |
| PLA/5PBSe1 | 4056 | 8.62 | 75.83 | 1.968 |
| PLA/7.5PBSe1 | 3490 | 8.21 | 76.26 | 1.910 |
| PLA/10PBSe1 | 3514 | 8.08 | 75.99 | 1.997 |
| PLA/20PBSe1 | 2208 | 5.82 | 75.80 | 2.111 |
| PLA/2.5PBSe2 | 3065 | 4.76 | 70.65 | 2.128 |
| PLA/5PBSe2 | 3891 | 5.65 | 72.74 | 1.954 |
| PLA/7.5PBSe2 | 3219 | 4.67 | 70.76 | 2.048 |
| PLA/10PBSe2 | 2765 | 4.24 | 69.38 | 1.988 |
| PLA/20PBSe2 | 1545 | 2.48 | 67.32 | 1.967 |
| PLA/2.5PBSe3 | 5128 | 9.08 | 75.71 | 1.829 |
| PLA/5PBSe3 | 3881 | 5.72 | 72.97 | 1.998 |
| PLA/7.5PBSe3 | 4135 | 6.29 | 73.84 | 1.987 |
| PLA/10PBSe3 | 3369 | 5.07 | 73.05 | 2.043 |
| PLA/20PBSe3 | 2175 | 4.36 | 72.18 | 2.125 |
| PLA/2.5PBSe4 | 4617 | 7.40 | 74.91 | 1.864 |
| PLA/5PBSe4 | 3955 | 4.73 | 73.18 | 1.935 |
| PLA/7.5PBSe4 | 3460 | 5.44 | 73.39 | 1.946 |
| PLA/10PBSe4 | 3320 | 3.46 | 70.78 | 2.100 |
| PLA/20PBSe4 | 2368 | 3.57 | 70.88 | 2.300 |
Publisher’s Note: MDPI stays neutral with regard to jurisdictional claims in published maps and institutional affiliations. |
© 2022 by the authors. Licensee MDPI, Basel, Switzerland. This article is an open access article distributed under the terms and conditions of the Creative Commons Attribution (CC BY) license (https://creativecommons.org/licenses/by/4.0/).
Share and Cite
Frone, A.N.; Popa, M.S.; Uşurelu, C.D.; Panaitescu, D.M.; Gabor, A.R.; Nicolae, C.A.; Raduly, M.F.; Zaharia, A.; Alexandrescu, E. Bio-Based Poly(lactic acid)/Poly(butylene sebacate) Blends with Improved Toughness. Polymers 2022, 14, 3998. https://doi.org/10.3390/polym14193998
Frone AN, Popa MS, Uşurelu CD, Panaitescu DM, Gabor AR, Nicolae CA, Raduly MF, Zaharia A, Alexandrescu E. Bio-Based Poly(lactic acid)/Poly(butylene sebacate) Blends with Improved Toughness. Polymers. 2022; 14(19):3998. https://doi.org/10.3390/polym14193998
Chicago/Turabian StyleFrone, Adriana Nicoleta, Marius Stelian Popa, Cătălina Diana Uşurelu, Denis Mihaela Panaitescu, Augusta Raluca Gabor, Cristian Andi Nicolae, Monica Florentina Raduly, Anamaria Zaharia, and Elvira Alexandrescu. 2022. "Bio-Based Poly(lactic acid)/Poly(butylene sebacate) Blends with Improved Toughness" Polymers 14, no. 19: 3998. https://doi.org/10.3390/polym14193998
APA StyleFrone, A. N., Popa, M. S., Uşurelu, C. D., Panaitescu, D. M., Gabor, A. R., Nicolae, C. A., Raduly, M. F., Zaharia, A., & Alexandrescu, E. (2022). Bio-Based Poly(lactic acid)/Poly(butylene sebacate) Blends with Improved Toughness. Polymers, 14(19), 3998. https://doi.org/10.3390/polym14193998

