Polymer Binders: Characterization and Development toward Aqueous Electrode Fabrication for Sustainability
Abstract
1. Introduction: Binders and Electrodes for Energy Storage Systems
2. Binder Characteristics and Performance Evaluation
2.1. Chemical and Thermal Characterization for Stability
2.2. Analyzing Electrode Microstructure
2.3. Electrochemical Parameters and Characterization
2.3.1. Cyclic Voltammetry
2.3.2. Galvanostatic Techniques
3. Typical Binders for Electrodes
3.1. Conventional vs. Aqueous Binders
3.2. Current Aqueous Binders
3.3. Latest Advances in Aqueous Polymer Binders
4. Concluding Remarks
Author Contributions
Funding
Conflicts of Interest
References
- Chen, H.; Ling, M.; Hencz, L.; Ling, H.Y.; Li, G.; Lin, Z.; Liu, G.; Zhang, S. Exploring Chemical, Mechanical, and Electrical Functionalities of Binders for Advanced Energy-Storage Devices. Chem. Rev. 2018, 118, 8936–8982. [Google Scholar] [CrossRef]
- Liu, J.; Zhang, Q.; Sun, Y.-K. Recent Progress of Advanced Binders for Li-S Batteries. J. Power Source 2018, 396, 19–32. [Google Scholar] [CrossRef]
- Miranda, A.; Sarang, K.; Gendensuren, B.; Oh, E.S.; Lutkenhaus, J.; Lutkenhaus, J.; Verduzco, R.; Verduzco, R. Molecular Design Principles for Polymeric Binders in Silicon Anodes. Mol. Syst. Des. Eng. 2020, 5, 709–724. [Google Scholar] [CrossRef]
- Shi, Y.; Zhou, X.; Yu, G. Material and Structural Design of Novel Binder Systems for High-Energy, High-Power Lithium-Ion Batteries. Acc. Chem. Res. 2017, 50, 2642–2652. [Google Scholar] [CrossRef] [PubMed]
- Jeon, J.; Yoo, J.-K.; Yim, S.; Jeon, K.; Lee, G.H.; Yun, J.H.; Kim, D.K.; Jung, Y.S. Natural-Wood-Derived Lignosulfonate Ionomer as Multifunctional Binder for High-Performance Lithium–Sulfur Battery. ACS Sustain. Chem. Eng. 2019, 7, 17580–17586. [Google Scholar] [CrossRef]
- Hong, X.; Jin, J.; Wen, Z.; Zhang, S.; Wang, Q.; Shen, C.; Rui, K. On the Dispersion of Lithium-Sulfur Battery Cathode Materials Effected by Electrostatic and Stereo-Chemical Factors of Binders. J. Power Source 2016, 324, 455–461. [Google Scholar] [CrossRef]
- Hwa, Y.; Frischmann, P.D.; Helms, B.A.; Cairns, E.J. Aqueous-Processable Redox-Active Supramolecular Polymer Binders for Advanced Lithium/Sulfur Cells. Chem. Mater. 2018, 30, 685–691. [Google Scholar] [CrossRef]
- Loeffler, N.; Kopel, T.; Kim, G.-T.; Passerini, S. Polyurethane Binder for Aqueous Processing of Li-Ion Battery Electrodes. J. Electrochem. Soc. 2015, 162, A2692–A2698. [Google Scholar] [CrossRef]
- Zhang, G.; Qiu, B.; Xia, Y.; Wang, X.; Gu, Q.; Jiang, Y.; He, Z.; Liu, Z. Double-Helix-Superstructure Aqueous Binder to Boost Excellent Electrochemical Performance in Li-Rich Layered Oxide Cathode. J. Power Source 2019, 420, 29–37. [Google Scholar] [CrossRef]
- Hanke, A.; Eisenriegler, E.; Dietrich, S. Polymer Depletion Effects near Mesoscopic Particles. Phys. Rev. E 1999, 59, 6853–6878. [Google Scholar] [CrossRef]
- Qiu, D.; Guan, J.; Li, M.; Kang, C.; Wei, J.; Li, Y.; Xie, Z.; Wang, F.; Yang, R. Kinetics Enhanced Nitrogen-Doped Hierarchical Porous Hollow Carbon Spheres Boosting Advanced Potassium-Ion Hybrid Capacitors. Adv. Funct. Mater. 2019, 29, 1903496. [Google Scholar] [CrossRef]
- Kovalenko, I.; Zdyrko, B.; Magasinski, A.; Hertzberg, B.; Milicev, Z.; Burtovyy, R.; Luzinov, I.; Yushin, G. A Major Constituent of Brown Algae for Use in High-Capacity Li-Ion Batteries. Science 2011, 334, 75–79. [Google Scholar] [CrossRef] [PubMed]
- Jiao, X.; Yin, J.; Xu, X.; Wang, J.; Liu, Y.; Xiong, S.; Zhang, Q.; Song, J. Highly Energy-Dissipative, Fast Self-Healing Binder for Stable Si Anode in Lithium-Ion Batteries. Adv. Funct. Mater. 2020, 31, 2005699. [Google Scholar] [CrossRef]
- Chen, W.; Lei, T.; Qian, T.; Lv, W.; He, W.; Wu, C.; Liu, X.; Liu, J.; Chen, B.; Yan, C.; et al. A New Hydrophilic Binder Enabling Strongly Anchoring Polysulfides for High-Performance Sulfur Electrodes in Lithium-Sulfur Battery. Adv. Energy Mater. 2018, 8, 1702889. [Google Scholar] [CrossRef]
- Grissa, R.; Abramova, A.; Tambio, S.-J.; Lecuyer, M.; Deschamps, M.; Fernandez, V.; Greneche, J.-M.; Guyomard, D.; Lestriez, B.; Moreau, P. Thermomechanical Polymer Binder Reactivity with Positive Active Materials for Li Metal Polymer and Li-Ion Batteries: An XPS and XPS Imaging Study. ACS Appl. Mater. Interfaces 2019, 11, 18368–18376. [Google Scholar] [CrossRef]
- Ludwig, B.; Zheng, Z.; Shou, W.; Wang, Y.; Pan, H. Solvent-Free Manufacturing of Electrodes for Lithium-Ion Batteries. Sci. Rep. 2016, 6, 23150. [Google Scholar] [CrossRef]
- Qu, Z.; Zhu, M.; Tang, H.; Liu, L.; Li, Y.; Schmidt, O.G. Towards High-Performance Microscale Batteries: Configurations and Optimization of Electrode Materials by in-Situ Analytical Platforms. Energy Storage Mater. 2020, 29, 17–41. [Google Scholar] [CrossRef]
- Wang, J.; Ji, Y.; Appathurai, N.; Zhou, J.; Yang, Y. Nanoscale Chemical Imaging of the Additive Effects on the Interfaces of High-Voltage LiCoO2 Composite Electrodes. Chem. Commun. 2017, 53, 8581–8584. [Google Scholar] [CrossRef] [PubMed]
- Uceda, M.; Zhou, J.; Wang, J.; Gauvin, R.; Zaghib, K.; Demopoulos, G.P. Highly Conductive NMP-Free Carbon-Coated Nano-Lithium Titanate/Carbon Composite Electrodes via SBR-Assisted Electrophoretic Deposition. Electrochim. Acta 2019, 299, 107–115. [Google Scholar] [CrossRef]
- Dugas, R.; Forero-Saboya, J.D.; Ponrouch, A. Methods and Protocols for Reliable Electrochemical Testing in Post-Li Batteries (Na, K, Mg, and Ca). Chem. Mater. 2019, 31, 8613–8628. [Google Scholar] [CrossRef] [PubMed]
- Talaie, E.; Bonnick, P.; Sun, X.; Pang, Q.; Liang, X.; Nazar, L. Methods and Protocols for Electrochemical Energy Storage Materials Research. Chem. Mater. 2017, 90–105. [Google Scholar] [CrossRef]
- Raccichini, R.; Amores, M.; Hinds, G. Critical Review of the Use of Reference Electrodes in Li-Ion Batteries: A Diagnostic Perspective. Batteries 2019, 5, 12. [Google Scholar] [CrossRef]
- Solchenbach, S.; Pritzl, D.; Kong, E.J.Y.; Landesfeind, J.; Gasteiger, H.A. A Gold Micro-Reference Electrode for Impedance and Potential Measurements in Lithium Ion Batteries. J. Electrochem. Soc. 2016, 163, A2265. [Google Scholar] [CrossRef]
- Mao, C.; Ruther, R.E.; Li, J.; Du, Z.; Belharouak, I. Identifying the Limiting Electrode in Lithium Ion Batteries for Extreme Fast Charging. Electrochem. Commun. 2018, 97, 37–41. [Google Scholar] [CrossRef]
- Badot, J.-C.; Lestriez, B.; Dubrunfaut, O. Interest in Broadband Dielectric Spectroscopy to Study the Electronic Transport in Materials for Lithium Batteries. Mater. Sci. Eng. B 2016, 213, 190–198. [Google Scholar] [CrossRef]
- Seid, K.A.; Badot, J.-C.; Dubrunfaut, O.; Levasseur, S.; Guyomard, D.; Lestriez, B. Multiscale Electronic Transport Mechanism and True Conductivities in Amorphous Carbon–LiFePO4 Nanocomposites. J. Mater. Chem. 2012, 22, 2641–2649. [Google Scholar] [CrossRef]
- Bard, A.J.; Faulkner, L.R. Electrochemical Methods: Fundamentals and Applications; Wiley: Hoboken, NJ, USA, 2000; ISBN 978-0-471-04372-0. [Google Scholar]
- Gao, S.; Sun, F.; Brady, A.; Pan, Y.; Erwin, A.; Yang, D.; Tsukruk, V.; Stack, A.G.; Saito, T.; Yang, H.; et al. Ultra-Efficient Polymer Binder for Silicon Anode in High-Capacity Lithium-Ion Batteries. Nano Energy 2020, 73, 104804. [Google Scholar] [CrossRef]
- Jeong, Y.K.; Choi, J.W. Mussel-Inspired Self-Healing Metallopolymers for Silicon Nanoparticle Anodes. ACS Nano 2019, 13, 8364–8373. [Google Scholar] [CrossRef] [PubMed]
- Liu, G.; Xun, S.; Vukmirovic, N.; Song, X.; Olalde-Velasco, P.; Zheng, H.; Battaglia, V.S.; Wang, L.; Yang, W. Polymers with Tailored Electronic Structure for High Capacity Lithium Battery Electrodes. Adv. Mater. 2011, 23, 4679–4683. [Google Scholar] [CrossRef] [PubMed]
- Wu, C.-Y.; Duh, J.-G. Ionic Network for Aqueous-Polymer Binders to Enhance the Electrochemical Performance of Li-Ion Batteries. Electrochim. Acta 2019, 294, 22–27. [Google Scholar] [CrossRef]
- Ling, M.; Liu, M.; Zheng, T.; Zhang, T.; Liu, G. Investigating the Doping Mechanism of Pyrene Based Methacrylate Functional Conductive Binder in Silicon Anodes for Lithium-Ion Batteries. J. Electrochem. Soc. 2017, 164, A545. [Google Scholar] [CrossRef]
- Ling, M.; Qiu, J.; Li, S.; Yan, C.; Kiefel, M.J.; Liu, G.; Zhang, S. Multifunctional SA-PProDOT Binder for Lithium Ion Batteries. Nano Lett. 2015, 15, 4440–4447. [Google Scholar] [CrossRef]
- Das, P.R.; Komsiyska, L.; Osters, O.; Wittstock, G. Electrochemical Stability of PEDOT:PSS As Cathodic Binder for Li-Ion Batteries. ECS Trans. 2015, 68, 45. [Google Scholar] [CrossRef]
- Zeng, W.; Wang, L.; Peng, X.; Liu, T.; Jiang, Y.; Qin, F.; Hu, L.; Chu, P.K.; Huo, K.; Zhou, Y. Enhanced Ion Conductivity in Conducting Polymer Binder for High-Performance Silicon Anodes in Advanced Lithium-Ion Batteries. Adv. Energy Mater. 2018, 8, 1702314. [Google Scholar] [CrossRef]
- Wang, R.; Feng, L.; Yang, W.; Zhang, Y.; Zhang, Y.; Bai, W.; Liu, B.; Zhang, W.; Chuan, Y.; Zheng, Z.; et al. Effect of Different Binders on the Electrochemical Performance of Metal Oxide Anode for Lithium-Ion Batteries. Nanoscale Res. Lett. 2017, 12. [Google Scholar] [CrossRef] [PubMed]
- Ellis, C.L.C.; Smith, E.; Javaid, H.; Berns, G.; Venkataraman, D. Chapter 6: Ion Migration in Hybrid Perovskites: Evolving Understanding of a Dynamic Phenomenon. In Perovskite Photovoltaics: Basic to Advanced Concepts and Implementation; Thomas, S., Thankappan, A., Eds.; Academic Press: Cambridge, MA, USA, 2018; pp. 163–196. ISBN 978-0-12-812915-9. [Google Scholar]
- Nam, J.; Kim, E.; Rajeev, K.K.; Kim, Y.; Kim, T.-H. A Conductive Self Healing Polymeric Binder Using Hydrogen Bonding for Si Anodes in Lithium Ion Batteries. Sci. Rep. 2020, 10, 14966. [Google Scholar] [CrossRef]
- Nara, H.; Mukoyama, D.; Shimizu, R.; Momma, T.; Osaka, T. Systematic Analysis of Interfacial Resistance between the Cathode Layer and the Current Collector in Lithium-Ion Batteries by Electrochemical Impedance Spectroscopy. J. Power Source 2019, 409, 139–147. [Google Scholar] [CrossRef]
- Wu, Z.-Y.; Deng, L.; Li, J.-T.; Huang, Q.-S.; Lu, Y.-Q.; Liu, J.; Zhang, T.; Huang, L.; Sun, S.-G. Multiple Hydrogel Alginate Binders for Si Anodes of Lithium-Ion Battery. Electrochim. Acta 2017, 245, 371–378. [Google Scholar] [CrossRef]
- Hu, S.; Wang, L.; Huang, T.; Yu, A. A Conductive Self-Healing Hydrogel Binder for High-Performance Silicon Anodes in Lithium-Ion Batteries. J. Power Source 2020, 449, 227472. [Google Scholar] [CrossRef]
- Sandu, G.; Ernould, B.; Rolland, J.; Cheminet, N.; Brassinne, J.; Das, P.R.; Filinchuk, Y.; Cheng, L.; Komsiyska, L.; Dubois, P.; et al. Mechanochemical Synthesis of PEDOT:PSS Hydrogels for Aqueous Formulation of Li-Ion Battery Electrodes. ACS Appl. Mater. Interfaces 2017, 9, 34865–34874. [Google Scholar] [CrossRef]
- Morasch, R.; Landesfeind, J.; Suthar, B.; Gasteiger, H.A. Detection of Binder Gradients Using Impedance Spectroscopy and Their Influence on the Tortuosity of Li-Ion Battery Graphite Electrodes. J. Electrochem. Soc. 2018, 165, A3459. [Google Scholar] [CrossRef]
- Zhu, J.; Dewi Darma, M.S.; Knapp, M.; Sørensen, D.R.; Heere, M.; Fang, Q.; Wang, X.; Dai, H.; Mereacre, L.; Senyshyn, A.; et al. Investigation of Lithium-Ion Battery Degradation Mechanisms by Combining Differential Voltage Analysis and Alternating Current Impedance. J. Power Source 2020, 448, 227575. [Google Scholar] [CrossRef]
- Yi, H.; Lan, T.; Yang, Y.; Lei, Z.; Zeng, H.; Tang, T.; Wang, C.; Deng, Y. Aqueous-Processable Polymer Binder with Strong Mechanical and Polysulfide-Trapping Properties for High Performance of Lithium–Sulfur Batteries. J. Mater. Chem. A 2018, 6, 18660–18668. [Google Scholar] [CrossRef]
- Gao, Y.; Qiu, X.; Wang, X.; Gu, A.; Zhang, L.; Chen, X.; Li, J.; Yu, Z. Chitosan-g-Poly(Acrylic Acid) Copolymer and Its Sodium Salt as Stabilized Aqueous Binders for Silicon Anodes in Lithium-Ion Batteries. ACS Sustain. Chem. Eng. 2019, 7, 16274–16283. [Google Scholar] [CrossRef]
- Isozumi, H.; Horiba, T.; Kubota, K.; Hida, K.; Matsuyama, T.; Yasuno, S.; Komaba, S. Application of Modified Styrene-Butadiene-Rubber-Based Latex Binder to High-Voltage Operating LiCoO2 Composite Electrodes for Lithium-Ion Batteries. J. Power Source 2020, 468, 228332. [Google Scholar] [CrossRef]
- Rohan, R.; Kuo, T.-C.; Chiou, C.-Y.; Chang, Y.-L.; Li, C.-C.; Lee, J.-T. Low-Cost and Sustainable Corn Starch as a High-Performance Aqueous Binder in Silicon Anodes via in Situ Cross-Linking. J. Power Source 2018, 396, 459–466. [Google Scholar] [CrossRef]
- Li, Z.; Zhang, Y.; Liu, T.; Gao, X.; Li, S.; Ling, M.; Liang, C.; Zheng, J.; Lin, Z. Silicon Anode with High Initial Coulombic Efficiency by Modulated Trifunctional Binder for High-Areal-Capacity Lithium-Ion Batteries. Adv. Energy Mater. 2020, 10, 1903110. [Google Scholar] [CrossRef]
- Rahman, M.M.; Alam, M.M.; Asiri, A.M. Carbon Black Co-Adsorbed ZnO Nanocomposites for Selective Benzaldehyde Sensor Development by Electrochemical Approach for Environmental Safety. J. Ind. Eng. Chem. 2018, 65, 300–308. [Google Scholar] [CrossRef]
- Maazi, S.; Navarchian, A.H.; Khosravi, M.; Chen, P. Effect of Poly (Vinylidene Fluoride)/Poly (Vinyl Acetate) Blend Composition as Cathode Binder on Electrochemical Performances of Aqueous Li-Ion Battery. Solid State Ion. 2018, 320, 84–91. [Google Scholar] [CrossRef]
- Hapuarachchi, S.N.S.; Wasalathilake, K.C.; Nerkar, J.Y.; Jaatinen, E.; O’Mullane, A.P.; Yan, C. Mechanically Robust Tapioca Starch Composite Binder with Improved Ionic Conductivity for Sustainable Lithium-Ion Batteries. ACS Sustain. Chem. Eng. 2020, 8, 9857–9865. [Google Scholar] [CrossRef]
- Zheng, M.; Cai, X.; Tan, Y.; Wang, W.; Wang, D.; Fei, H.; Saha, P.; Wang, G. A High-Resilience and Conductive Composite Binder for Lithium-Sulfur Batteries. Chem. Eng. J. 2020, 389, 124404. [Google Scholar] [CrossRef]
- Parikh, P.; Sina, M.; Banerjee, A.; Wang, X.; D’Souza, M.S.; Doux, J.-M.; Wu, E.A.; Trieu, O.Y.; Gong, Y.; Zhou, Q.; et al. Role of Polyacrylic Acid (PAA) Binder on the Solid Electrolyte Interphase in Silicon Anodes. Chem. Mater. 2019, 31, 2535–2544. [Google Scholar] [CrossRef]
- Zhou, G.; Liu, K.; Fan, Y.; Yuan, M.; Liu, B.; Liu, W.; Shi, F.; Liu, Y.; Chen, W.; Lopez, J.; et al. An Aqueous Inorganic Polymer Binder for High Performance Lithium–Sulfur Batteries with Flame-Retardant Properties. ACS Cent. Sci. 2018, 4, 260–267. [Google Scholar] [CrossRef] [PubMed]
- Lee, S.; Gendensuren, B.; Kim, B.; Jeon, S.; Cho, Y.-H.; Kim, T.; Oh, E.-S. Effect of Emulsified Polymer Binders on the Performance of Activated Carbon Electrochemical Double-Layer Capacitors. Korean J. Chem. Eng. 2019, 36, 1940–1947. [Google Scholar] [CrossRef]
- Scalia, A.; Zaccagnini, P.; Armandi, M.; Latini, G.; Versaci, D.; Lanzio, V.; Varzi, A.; Passerini, S.; Lamberti, A. Tragacanth Gum as Green Binder for Sustainable Water-processable Electrochemical Capacitor. ChemSusChem 2020, 14, 356–362. [Google Scholar] [CrossRef]
- Cadiou, F.; Etiemble, A.; Douillard, T.; Willot, F.; Valentin, O.; Badot, J.-C.; Lestriez, B.; Maire, E. Numerical Prediction of Multiscale Electronic Conductivity of Lithium-Ion Battery Positive Electrodes. J. Electrochem. Soc. 2019, 166, A1692–A1703. [Google Scholar] [CrossRef]
- Ling, H.Y.; Wang, C.; Su, Z.; Chen, S.; Chen, H.; Qian, S.; Li, D.; Yan, C.; Kiefel, M.; Lai, C.; et al. Amylopectin from Glutinous Rice as a Sustainable Binder for High-Performance Silicon Anodes. Energy Environ. Mater. 2020, 1–6. [Google Scholar] [CrossRef]
- Drofenik, J.; Gaberscek, M.; Dominko, R.; Poulsen, F.W.; Mogensen, M.; Pejovnik, S.; Jamnik, J. Cellulose as a Binding Material in Graphitic Anodes for Li Ion Batteries: A Performance and Degradation Study. Electrochim. Acta 2003, 48, 883–889. [Google Scholar] [CrossRef]
- Buqa, H.; Holzapfel, M.; Krumeich, F.; Veit, C.; Novák, P. Study of Styrene Butadiene Rubber and Sodium Methyl Cellulose as Binder for Negative Electrodes in Lithium-Ion Batteries. J. Power Source 2006, 161, 617–622. [Google Scholar] [CrossRef]
- Magasinski, A.; Zdyrko, B.; Kovalenko, I.; Hertzberg, B.; Burtovyy, R.; Huebner, C.F.; Fuller, T.F.; Luzinov, I.; Yushin, G. Toward Efficient Binders for Li-Ion Battery Si-Based Anodes: Polyacrylic Acid. ACS Appl. Mater. Interfaces 2010, 2, 3004–3010. [Google Scholar] [CrossRef]
- Wu, M.; Xiao, X.; Vukmirovic, N.; Xun, S.; Das, P.K.; Song, X.; Olalde-Velasco, P.; Wang, D.; Weber, A.Z.; Wang, L.-W.; et al. Toward an Ideal Polymer Binder Design for High-Capacity Battery Anodes. J. Am. Chem. Soc. 2013, 135, 12048–12056. [Google Scholar] [CrossRef]
- Grillet, A.M.; Humplik, T.; Stirrup, E.K.; Roberts, S.A.; Barringer, D.A.; Snyder, C.M.; Janvrin, M.R.; Apblett, C.A. Conductivity Degradation of Polyvinylidene Fluoride Composite Binder during Cycling: Measurements and Simulations for Lithium-Ion Batteries. J. Electrochem. Soc. 2016, 163, A1859–A1871. [Google Scholar] [CrossRef]
- Bresser, D.; Buchholz, D.; Moretti, A.; Varzi, A.; Passerini, S. Alternative Binders for Sustainable Electrochemical Energy Storage—the Transition to Aqueous Electrode Processing and Bio-Derived Polymers. Energy Environ. Sci. 2018, 11, 3096–3127. [Google Scholar] [CrossRef]
- Jeschull, F.; Lacey, M.J.; Brandell, D. Functional Binders as Graphite Exfoliation Suppressants in Aggressive Electrolytes for Lithium-Ion Batteries. Electrochim. Acta 2015, 175, 141–150. [Google Scholar] [CrossRef]
- Salini, P.S.; Gopinadh, S.V.; Kalpakasseri, A.; John, B.; Thelakkattu Devassy, M. Toward Greener and Sustainable Li-Ion Cells: An Overview of Aqueous-Based Binder Systems. ACS Sustain. Chem. Eng. 2020, 8, 4003–4025. [Google Scholar] [CrossRef]
- Zhu, X.; Zhang, F.; Zhang, L.; Zhang, L.; Song, Y.; Jiang, T.; Sayed, S.; Lu, C.; Wang, X.; Sun, J.; et al. A Highly Stretchable Cross-Linked Polyacrylamide Hydrogel as an Effective Binder for Silicon and Sulfur Electrodes toward Durable Lithium-Ion Storage. Adv. Funct. Mater. 2018, 28, 1705015. [Google Scholar] [CrossRef]
- Ling, L.; Bai, Y.; Wang, Z.; Ni, Q.; Chen, G.; Zhou, Z.; Wu, C. Remarkable Effect of Sodium Alginate Aqueous Binder on Anatase TiO2 as High-Performance Anode in Sodium Ion Batteries. ACS Appl. Mater. Interfaces 2018, 10, 5560–5568. [Google Scholar] [CrossRef] [PubMed]
- Kim, N.-I.; Lee, C.-B.; Seo, J.-M.; Lee, W.-J.; Roh, Y.-B. Correlation between Positive-Electrode Morphology and Sulfur Utilization in Lithium–Sulfur Battery. J. Power Source 2004, 132, 209–212. [Google Scholar] [CrossRef]
- Chen, Z.; Li, Z.; Ma, X.; Wang, Y.; Zhou, Q.; Zhang, S. A New DMF-Derived Ionic Liquid with Ultra-High Conductivity for High-Capacitance Electrolyte in Electric Double-Layer Capacitor. Electrochim. Acta 2019, 319, 843–848. [Google Scholar] [CrossRef]
- Huang, M.; Tang, A.; Wang, Z.; Shi, J.; Jiang, X.; Wan, C.; Ju, X. Preparation of Safe Water–Lipid Mixed Electrolytes for Application in Ion Capacitor. Chin. Chem. Lett. 2020, 104743. [Google Scholar] [CrossRef]
- Mazouzi, D.; Karkar, Z.; Reale Hernandez, C.; Jimenez Manero, P.; Guyomard, D.; Roué, L.; Lestriez, B. Critical Roles of Binders and Formulation at Multiscales of Silicon-Based Composite Electrodes. J. Power Source 2015, 280, 533–549. [Google Scholar] [CrossRef]
- Hochgatterer, N.S.; Schweiger, M.R.; Koller, S.; Raimann, P.R.; Wöhrle, T.; Wurm, C.; Winter, M. Silicon/Graphite Composite Electrodes for High-Capacity Anodes: Influence of Binder Chemistry on Cycling Stability. Electrochem. Solid State Lett. 2008, 11, A76. [Google Scholar] [CrossRef]
- Lee, J.-H.; Lee, S.; Paik, U.; Choi, Y.-M. Aqueous Processing of Natural Graphite Particulates for Lithium-Ion Battery Anodes and Their Electrochemical Performance. J. Power Source 2005, 147, 249–255. [Google Scholar] [CrossRef]
- Jeschull, F.; Brandell, D.; Wohlfahrt-Mehrens, M.; Memm, M. Water-Soluble Binders for Lithium-Ion Battery Graphite Electrodes: Slurry Rheology, Coating Adhesion, and Electrochemical Performance. Energy Technol. 2017, 5, 2108–2118. [Google Scholar] [CrossRef]
- Rao, M.; Song, X.; Liao, H.; Cairns, E.J. Carbon Nanofiber–Sulfur Composite Cathode Materials with Different Binders for Secondary Li/S Cells. Electrochimica Acta 2012, 65, 228–233. [Google Scholar] [CrossRef]
- Li, C.-C.; Lee, J.-T.; Peng, X.-W. Improvements of Dispersion Homogeneity and Cell Performance of Aqueous-Processed LiCoO [Sub 2] Cathodes by Using Dispersant of PAA–NH [Sub 4]. J. Electrochem. Soc. 2006, 153, A809. [Google Scholar] [CrossRef]
- Ui, K.; Kikuchi, S.; Mikami, F.; Kadoma, Y.; Kumagai, N. Improvement of Electrochemical Characteristics of Natural Graphite Negative Electrode Coated with Polyacrylic Acid in Pure Propylene Carbonate Electrolyte. J. Power Source 2007, 173, 518–521. [Google Scholar] [CrossRef][Green Version]
- Browning, K.L.; Sacci, R.L.; Doucet, M.; Browning, J.F.; Kim, J.R.; Veith, G.M. The Study of the Binder Poly (Acrylic Acid) and Its Role in Concomitant Solid–Electrolyte Interphase Formation on Si Anodes. ACS Appl. Mater. Interfaces 2020, 12, 10018–10030. [Google Scholar] [CrossRef]
- Brownlee, I.A.; Seal, C.J.; Wilcox, M.; Dettmar, P.W.; Pearson, J.P. Alginates: Biology and Applications; Rehm, B.H.A., Ed.; Microbiology Monographs; Springer: Berlin/Heidelberg, Germany, 2009; Volume 13, ISBN 978-3-540-92678-8. [Google Scholar]
- Lee, K.Y.; Mooney, D.J. Alginate: Properties and Biomedical Applications. Prog. Polym. Sci. 2012, 37, 106–126. [Google Scholar] [CrossRef]
- Augst, A.D.; Kong, H.J.; Mooney, D.J. Alginate Hydrogels as Biomaterials. Macromol. Biosci. 2006, 6, 623–633. [Google Scholar] [CrossRef]
- Liu, J.; Zhang, Q.; Wu, Z.-Y.; Wu, J.-H.; Li, J.-T.; Huang, L.; Sun, S.-G. A High-Performance Alginate Hydrogel Binder for the Si/C Anode of a Li-Ion Battery. Chem. Commun. 2014, 50, 6386. [Google Scholar] [CrossRef]
- Gendensuren, B.; Oh, E.-S. Dual-Crosslinked Network Binder of Alginate with Polyacrylamide for Silicon/Graphite Anodes of Lithium Ion Battery. J. Power Source 2018, 384, 379–386. [Google Scholar] [CrossRef]
- Sun, J.-Y.; Zhao, X.; Illeperuma, W.R.K.; Chaudhuri, O.; Oh, K.H.; Mooney, D.J.; Vlassak, J.J.; Suo, Z. Highly Stretchable and Tough Hydrogels. Nature 2012, 489, 133–136. [Google Scholar] [CrossRef]
- Gendensuren, B.; He, C.; Oh, E.-S. Sulfonation of Alginate Grafted with Polyacrylamide as a Potential Binder for High-Capacity Si/C Anodes. RSC Adv. 2020, 10, 37898–37904. [Google Scholar] [CrossRef]
- Lee, Y.-H.; Kim, J.-S.; Noh, J.; Lee, I.; Kim, H.J.; Choi, S.; Seo, J.; Jeon, S.; Kim, T.-S.; Lee, J.-Y.; et al. Wearable Textile Battery Rechargeable by Solar Energy. Nano Lett. 2013, 13, 5753–5761. [Google Scholar] [CrossRef] [PubMed]
- Mo, F.; Chen, Z.; Liang, G.; Wang, D.; Zhao, Y.; Li, H.; Dong, B.; Zhi, C. Zwitterionic Sulfobetaine Hydrogel Electrolyte Building Separated Positive/Negative Ion Migration Channels for Aqueous Zn-MnO2 Batteries with Superior Rate Capabilities. Adv. Energy Mater. 2020, 10, 2000035. [Google Scholar] [CrossRef]
- Gao, Z.; Kong, L.; Jin, R.; Liu, X.; Hu, W.; Gao, G. Mechanical, Adhesive and Self-Healing Ionic Liquid Hydrogels for Electrolytes and Flexible Strain Sensors. J. Mater. Chem. C 2020, 8, 11119–11127. [Google Scholar] [CrossRef]
- Huang, J.; Wang, Z.; Hou, M.; Dong, X.; Liu, Y.; Wang, Y.; Xia, Y. Polyaniline-Intercalated Manganese Dioxide Nanolayers as a High-Performance Cathode Material for an Aqueous Zinc-Ion Battery. Nat. Commun. 2018, 9, 2906. [Google Scholar] [CrossRef] [PubMed]
- Zhang, Z.; Bao, W.; Lu, H.; Jia, M.; Xie, K.; Lai, Y.; Li, J. Water-Soluble Polyacrylic Acid as a Binder for Sulfur Cathode in Lithium-Sulfur Battery. ECS Electrochem. Lett. 2012, 1, A34–A37. [Google Scholar] [CrossRef]
- Wang, S.; Duan, Q.; Lei, J.; Yu, D.Y.W. Slime-Inspired Polyacrylic Acid-Borax Crosslinked Binder for High-Capacity Bulk Silicon Anodes in Lithium-Ion Batteries. J. Power Source 2020, 468, 228365. [Google Scholar] [CrossRef]
- Yi, H.; Lan, T.; Yang, Y.; Zeng, H.; Zhang, T.; Tang, T.; Wang, C.; Deng, Y. A Robust Aqueous-Processable Polymer Binder for Long-Life, High-Performance Lithium Sulfur Battery. Energy Storage Mater. 2019, 21, 61–68. [Google Scholar] [CrossRef]
- Dong, T.; Zhang, H.; Ma, Y.; Zhang, J.; Du, X.; Lu, C.; Shangguan, X.; Li, J.; Zhang, M.; Yang, J.; et al. A Well-Designed Water-Soluble Binder Enlightening the 5 V-Class LiNi 0.5 Mn 1.5 O 4 Cathodes. J. Mater. Chem. A 2019, 7, 24594–24601. [Google Scholar] [CrossRef]
- Ryou, M.-H.; Kim, J.; Lee, I.; Kim, S.; Jeong, Y.K.; Hong, S.; Ryu, J.H.; Kim, T.-S.; Park, J.-K.; Lee, H.; et al. Mussel-Inspired Adhesive Binders for High-Performance Silicon Nanoparticle Anodes in Lithium-Ion Batteries. Adv. Mater. 2013, 25, 1571–1576. [Google Scholar] [CrossRef] [PubMed]
- Zhao, H.; Wei, Y.; Wang, C.; Qiao, R.; Yang, W.; Messersmith, P.B.; Liu, G. Mussel-Inspired Conductive Polymer Binder for Si-Alloy Anode in Lithium-Ion Batteries. ACS Appl. Mater. Interfaces 2018, 10, 5440–5446. [Google Scholar] [CrossRef] [PubMed]
- Wang, H.; Yang, Y.; Guo, L. Nature-Inspired Electrochemical Energy-Storage Materials and Devices. Adv. Energy Mater. 2017, 7, 1601709. [Google Scholar] [CrossRef]
- Mai, W.; Yu, Q.; Han, C.; Kang, F.; Li, B. Self-Healing Materials for Energy-Storage Devices. Adv. Funct. Mater. 2020, 30, 1909912. [Google Scholar] [CrossRef]
- Wang, H.; Wang, Y.; Zheng, P.; Yang, Y.; Chen, Y.; Cao, Y.; Deng, Y.; Wang, C. Self-Healing Double-Cross-Linked Supramolecular Binders of a Polyacrylamide-Grafted Soy Protein Isolate for Li–S Batteries. ACS Sustain. Chem. Eng. 2020, 8, 12799–12808. [Google Scholar] [CrossRef]



| Technique | Purpose | References |
|---|---|---|
| Fourier Transform Infrared (FTIR) Spectroscopy |
| [13,50,51,52] |
| Raman Spectroscopy |
| [14,29,53] |
| X-ray Photoelectron Spectroscopy (XPS) |
| [15,50,54,55] |
| Thermogravimetric analysis (TGA) |
| [8,53,56,57] |
| Scanning electron microscopy (SEM) and energy-dispersive X-ray spectroscopy (EDS) |
| [16,17] |
| Photo electron emission spectroscopy (PEEM) and X-ray absorption spectroscopy (XAS) |
| [18,19] |
| Broadband dielectric spectroscopy (BDS) |
| [5,25,26,58] |
| Cyclic voltammetry (CV) |
| [28,29,30,31,34,36] |
| Electrochemical impedance spectroscopy (EIS) |
| [29,33,36,38,43] |
| Galvanostatic charging and discharging |
| [40,45,51,54,55,56,57,58] |
| Binder | Molecular Structure | Advantages | References |
|---|---|---|---|
| Poly(tetrafluoroethylene) | ![]() | -High chemical and mechanical stability | [56,70,71,72,89,90,91] |
| Carboxymethylcellulose | ![]() | -Inexpensive -Good adhesion -High Young’s modulus | [60,61,73,74,75,76] |
| Styrene butadiene rubber | ![]() | -Good flexibility -High thermal stability | [61,75,76,77] |
| Poly(acrylic acid) | ![]() | -Controlled structure -Good adhesion | [68,80,92,93] |
| Sodium alginate | ![]() | -High adhesion -Good mechanical properties with crosslinking -Properties vary by source | [40,84] |
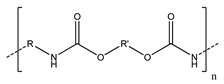
| Polyurethanes | ![]() | -Can vary functionality -High elasticity and tensile strength -Inhibit shuttle effect and protection from corrosion | [8,53] |
| Chitosan sulfate ethylamide glycinamide | ![]() | -Protect Li-S batteries from shuttle effect -Good adhesion -Reformable cohesion | [94] |
| Tragacanth gum (key components shown in structure) | ![]() | -Fully sustainable source -Good thermal stability | [57] |
| Tapioca Starch | ![]() | -Inexpensive -Green sourcing -Good flexibility | [52] |
| Poly(methyl vinyl ether-alt-lithium maleic acid | ![]() | -Prevent transition metal cation dissolution -Good interactions for cohesion and adhesion | [95] |
| Supramolecular lithiated perylene bisimide | ![]() | -Can withstand large volume changes -Well-distributed network -Trap lithium sulfides | [7] |
Publisher’s Note: MDPI stays neutral with regard to jurisdictional claims in published maps and institutional affiliations. |
© 2021 by the authors. Licensee MDPI, Basel, Switzerland. This article is an open access article distributed under the terms and conditions of the Creative Commons Attribution (CC BY) license (http://creativecommons.org/licenses/by/4.0/).
Share and Cite
Cholewinski, A.; Si, P.; Uceda, M.; Pope, M.; Zhao, B. Polymer Binders: Characterization and Development toward Aqueous Electrode Fabrication for Sustainability. Polymers 2021, 13, 631. https://doi.org/10.3390/polym13040631
Cholewinski A, Si P, Uceda M, Pope M, Zhao B. Polymer Binders: Characterization and Development toward Aqueous Electrode Fabrication for Sustainability. Polymers. 2021; 13(4):631. https://doi.org/10.3390/polym13040631
Chicago/Turabian StyleCholewinski, Aleksander, Pengxiang Si, Marianna Uceda, Michael Pope, and Boxin Zhao. 2021. "Polymer Binders: Characterization and Development toward Aqueous Electrode Fabrication for Sustainability" Polymers 13, no. 4: 631. https://doi.org/10.3390/polym13040631
APA StyleCholewinski, A., Si, P., Uceda, M., Pope, M., & Zhao, B. (2021). Polymer Binders: Characterization and Development toward Aqueous Electrode Fabrication for Sustainability. Polymers, 13(4), 631. https://doi.org/10.3390/polym13040631












