Bimodal 1H Double Quantum Build-Up Curves by Fourier and Laplace-like Transforms on Aged Cross-Linked Natural Rubber
Abstract
:1. Introduction
2. Experimental
2.1. Samples
2.2. NMR Measurements
3. Proton DQ Build-Up Curves
4. The Multi-Spin van Vleck Moments Approximation
5. The Distributions of Residual Dipolar Coupling Constants by Fourier Transform
5.1. The Spin-½ Pair Approximation
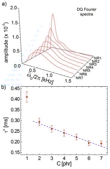
5.2. The DQ Fourier Spectra
5.3. The Distributions of End-to-End Distance and Residual Dipolar Coupling
5.4. The Characterization of DQ Fourier Spectra
5.5. The Effect of Cross-Link Density
6. The Distributions of Residual Dipolar Couplings by Laplace-like
6.1. The Laplace-like Analysis of Bimodal 1H DQ Build-Up Curves
6.2. Proton DQ Laplace-like Spectra of Aged Natural Rubber
6.3. Proton DQ Fourier and DQ Laplace-Like Spectra of Aged Natural Rubber
7. Comparison between Fourier and Laplace-like Methods
8. The ad Hoc Abragam-like Function for the Distribution of Residual Dipolar Coupling Constant Dres
9. Conclusions
Supplementary Materials
Author Contributions
Funding
Institutional Review Board Statement
Informed Consent Statement
Data Availability Statement
Acknowledgments
Conflicts of Interest
References
- Addad, J.P.C. NMR and fractal properties of polymeric liquids and gels. Prog. NMR Spectrosc. 1993, 25, 1–316. [Google Scholar] [CrossRef]
- Asano, A. NMR Relaxation Studies of Elastomers. Annu. Rep. NMR Spectrosc. 2015, 86, 1–72. [Google Scholar]
- Demco, D.E.; Hafner, S.; Spiess, H.W. Handbook of Spectroscopy of Rubbery Materials; Rapra Technology Ltd.: Shawbury, UK, 2002. [Google Scholar]
- Sattar, M.A.; Nair, A.S.; Xavier, P.J.; Patnaik, A. Natural rubber–SiO2 nanohybrids: Interface structures and dynamics. Soft Matter 2019, 15, 2826–2837. [Google Scholar] [CrossRef]
- Navon, G.; Shinar, H.; Eliav, U.; Seo, Y. Multiple quantum filters and order in tissues. NMR Biomed. 2001, 14, 112–132. [Google Scholar] [CrossRef] [Green Version]
- Collignon, J.; Sillescu, H.; Spiess, H.W. Pseudo-solid echoes of proton and deuteron NMR in polyethvlene melts. Colloid Polym. Sci. 1981, 259, 220–226. [Google Scholar] [CrossRef]
- Callaghan, P.T.; Samulski, E.T. Molecular Ordering and the Direct Measurement of Weak Proton−Proton Dipolar Interactions in a Rubber Network. Macromolecules 1997, 30, 113–122. [Google Scholar] [CrossRef]
- Kimmich, R. NMR: Tomography, Diffusometry, Relaxometry; Springer: Berlin/Heidelberg, Germany; New York, NY, USA, 1997; and references therein. [Google Scholar]
- Fechete, R.; Demco, D.E.; Blümich, B. Chain Orientation and Slow Dynamics in Elastomers by Mixed Magic-Hahn Echo Decays. J. Chem. Phys. 2003, 118, 2411–2421. [Google Scholar] [CrossRef]
- Demco, D.E.; Hafner, S.; Fülber, C.; Graf, R.; Spiess, H.W. Two-dimensional proton magnetization-exchange NMR spectroscopy in cross-linked elastomers. J. Chem. Phys. 1996, 105, 11285–11296. [Google Scholar] [CrossRef]
- Sotta, P.; Fülber, C.; Demco, D.E.; Blümich, B.; Spiess, H.W. Effect of Residual Dipolar Interactions on the NMR Relaxation in Cross-Linked Elastomers. Macromolecules 1996, 29, 6222–6230. [Google Scholar] [CrossRef]
- Schneider, M.; Gasper, L.; Demco, D.E.; Blümich, B. Residual dipolar couplings by 1H dipolar-encoded longitudinal magnetization, double- and triple-quantum nuclear magnetic resonance in cross-linked elastomers. J. Chem. Phys. 1999, 111, 402–415. [Google Scholar] [CrossRef]
- Wang, M.; Bertmer, M.; Demco, D.E.; Blümich, B.; Litvinov, V.M.; Barthel, H. Indication of heterogeneity in chain-segment order of a PDMS layer grafted onto a silica surface by 1H multiple-quantum NMR. Macromolecules 2003, 36, 4411–4413. [Google Scholar] [CrossRef]
- Maxwell, R.S.; Balazs, B. Residual dipolar coupling for the assessment of cross link density changes in gamma irradiated silica PDMS composite materials. J. Chem. Phys. 2002, 116, 10492–10502. [Google Scholar] [CrossRef]
- Saalwächter, K.; Ziegler, P.; Spyckerelle, O.; Haidar, B.; Vidal, A.; Sommer, J.-U. 1H multiple-quantum nuclear magnetic resonance investigations of molecular order distributions in poly(dimethylsiloxane) networks: Evidence for a linear mixing law in bimodal systems. J. Chem. Phys. 2003, 119, 3468–3478. [Google Scholar] [CrossRef] [Green Version]
- Fechete, R.; Demco, D.E.; Blümich, B. Segmental Anisotropy in Strained Elastomers by 1H NMR of Multipolar Spin States. Macromolecules 2002, 35, 6083–6085. [Google Scholar] [CrossRef]
- Saalwächter, K. Proton multiple-quantum NMR for the study of chain dynamics and structural constraints in polymeric soft materials. Prog. Nucl. Magn. Reson. Spectrosc. 2007, 51, 1–35. [Google Scholar] [CrossRef]
- Wiesmath, A.; Filip, C.; Demco, D.E.; Blümich, B. NMR of multipolar spin states excitated in strongly inhomogeneous magnetic fields. J. Magn. Reson. 2002, 154, 60–72. [Google Scholar] [CrossRef]
- Wiesmath, A.; Filip, C.; Demco, D.E.; Blümich, B. Double-quantum-filtered NMR signals in inhomogeneous magnetic fields. J. Magn. Reson. 2001, 149, 258–263. [Google Scholar] [CrossRef]
- Demco, D.E.; Fechete, R.; Blümich, B. Residual van Vleck moments in elastomers by accordion magic sandwich. Chem. Phys. Lett. 2003, 375, 406–412. [Google Scholar] [CrossRef]
- Malveau, C.; Tekely, P.; Canet, D. Visualization of residual anisotropic interactions in crosslinked natural rubbers by dipolar local field measurements and 2H natural abundance NMR spectroscopy. Solid State Nucl. Magn. Reson. 1997, 7, 271–280. [Google Scholar] [CrossRef]
- Fritzhanns, T.; Demco, D.E.; Hafner, S.; Spiess, H.W. Multi-dimensional 1H NMR nuclear Overhauser spectroscopy under magic angle spinning: Theory and application to elastomers. Mol. Phys. 1999, 97, 931–943. [Google Scholar] [CrossRef]
- Graf, R.; Demco, D.E.; Hafner, S.; Spiess, H.W. Selective residual dipolar couplings in cross-linked elastomers by 1H double-quantum NMR spectroscopy. Solid State Nucl. Magn. Reson. 1998, 12, 139–152. [Google Scholar] [CrossRef]
- Bertmer, M.; Wang, M.; Demco, D.E.; Blümich, B. Segmental mobility in short-chain grafted-PDMS by homo- and heteronuclear residual dipolar couplings. Solid State Nucl. Magn. Reson. 2006, 30, 45–54. [Google Scholar] [CrossRef]
- Kitaura, T.; Kobayashi, M.; Tarachiwin, L.; Kum-ourm, H. Characterization of Natural Rubber End Groups Using High-Sensitivity NMR. Macromol. Chem. Phys. 2018, 219, 1700331. [Google Scholar] [CrossRef]
- Moldovan, D.; Fechete, R.; Demco, D.E.; Culea, E.; Blümich, B.; Herrmann, V.; Heinz, M. Heterogeneity of Nanofilled EPDM Elastomers Investigated by Inverse Laplace Transform 1H NMR Relaxometry and Rheometry. Macromol. Chem. Phys. 2010, 211, 1579–1594. [Google Scholar] [CrossRef]
- Moldovan, D.; Fechete, R.; Demco, D.E.; Culea, E.; Blümich, B.; Herrmann, V.; Heinz, M. The heterogeneity of segmental dynamics of filled EPDM by 1H transverse relaxation NMR. J. Magn. Reson. 2011, 208, 156–162. [Google Scholar] [CrossRef]
- Maxwell, R.S.; Chinn, S.C.; Solyom, D.; Cohenom, R. Radiation-Induced Cross-Linking in a Silica-Filled Silicone Elastomer As Investigated by Multiple Quantum 1H NMR. Macromolecules 2005, 38, 7026–7032. [Google Scholar] [CrossRef] [Green Version]
- Giuliani, J.R.; Gjersing, E.L.; Chinn, S.C.; Jones, T.V.; Wilson, T.S.; Alviso, C.T.; Herberg, J.L.; Pearson, M.A.; Maxwell, R.S. Thermal degradation in a trimodal poly(dimethylsiloxane) network studied by 1H multiple quantum NMR. J. Phys. Chem. B 2007, 111, 12977–12984. [Google Scholar] [CrossRef]
- Voda, M.A.; Demco, D.E.; Perlo, J.; Orza, R.A.; Blümich, B. Multispin moments edited by multiple-quantum NMR: Application to elastomers. J. Magn. Reson. 2005, 172, 98–109. [Google Scholar] [CrossRef]
- Venkataramanan, L.; Song, Y.Q.; Hurlimann, M.D. Solving Fredholm integrals of the first kind with tensor product structure in 2 and 2.5 dimensions. IEEE Trans. Sign. Proc. 2002, 50, 1017–1026. [Google Scholar] [CrossRef]
- Song, Y.Q.; Venkataramanan, L.; Hürlimann, M.D.; Flaum, M.; Frulla, P.; Straley, C. T1 − T2 correlation spectra obtained using a fast two-dimensional Laplace inversion. J. Magn. Reson. 2002, 154, 261–268. [Google Scholar] [CrossRef]
- Callaghan, P.T. Translational Dynamics & Magnetic Resonance; Oxford University Press: Oxford, UK, 2011. [Google Scholar]
- Nie, S.; Lacayo-Pineda, J.; Willenbacher, N.; Wilhelm, M. Aging of natural rubber studied via Fourier-transform rheology and double quantum NMR to correlate local chain dynamics with macroscopic mechanical response. Polymer 2019, 181, 121804. [Google Scholar] [CrossRef]
- Huang, C.; Huang, G.; Li, S.; Luo, M.; Liu, H.; Fu, X.; Qu, W.; Xie, Z.; Wu, J. Research on architecture and composition of natural network in natural rubber. Polymer 2018, 154, 90–100. [Google Scholar] [CrossRef]
- Munaro, A.P.; da Chunda, G.P.; Filgueiras, J.G.; Pinto, J.M.; Munaro, M.; de Azevedo, E.R.; Akcelrud, L.C. Ageing and structural changes in PDMS rubber investigated by time domain NMR. Polym. Degrad. Stabil. 2019, 166, 300–306. [Google Scholar] [CrossRef]
- Fechete, R.; Demco, D.E.; Blümich, B. Enhanced sensitivity to residual dipolar couplings by high-order multiple-quantum NMR. J. Magn. Reson. 2004, 169, 19–26. [Google Scholar] [CrossRef] [PubMed]
- Hailu, K.; Fechete, R.; Demco, D.E.; Blümich, B. Segmental Anisotropy Induced in Strained Elastomers Detected with a Portable NMR Scanner. Solid state Nucl. Magn. Reson. 2002, 22, 327–343. [Google Scholar] [CrossRef] [PubMed]
- Chelcea, R.I.; Culea, E.; Demco, D.E.; Fechete, R. Distributions of transverse relaxation times for soft-solids measured in strongly inhomogeneous magnetic fields. J. Magn. Reson. 2009, 196, 178–190. [Google Scholar] [CrossRef]
- Gjersing, E.; Chinn, S.; Giuliani, J.R.; Herberg, J.; Maxwell, R.S.; Eastwood, E.; Bowen, D.; Stephens, T. Investigation Of Network Heterogeneities In Endlinked, Nonstocihimmetric Reacted PDMS Networks By 1H Multiple Quantum NMR. Macromolecules 2007, 40, 4953–4962. [Google Scholar] [CrossRef]
- Naumova, A.; Tschierske, C.; Saalwächter, K. Orientation-dependent proton double-quantum NMR build-up function for soft materials with anisotropic mobility. Solid state Nucl. Magn. Reson. 2017, 82, 22–28. [Google Scholar] [CrossRef]
- Chassé, W.; Valentín, J.L.; Genesky, G.D.; Cohen, C.; Saalwächter, K. Precise dipolar coupling constant distribution analysis in proton multiple-quantum NMR of elastomers. J. Chem. Phys. 2011, 134, 044907. [Google Scholar] [CrossRef]
- Weese, J. A reliable and fast method for the solution of Fredhol integral equations of the first kind based on Tikhonov regularization. Comp. Phys. Commun. 1992, 69, 99. [Google Scholar] [CrossRef]
- Fechete, R.; Morar, I.A.; Moldovan, D.; Chelcea, R.I.; Crainic, R.; Nicoară, S.C. Fourier and Laplace-like low-field NMR spectroscopy: The perspectives of multivariate and artificial neural networks analyses. J. Magn. Reson. 2021, 324, 106915. [Google Scholar] [CrossRef] [PubMed]
- Howse, S.; Porter, C.; Mengistu, T.; Petrov, I.; Pazur, R.J. Experimental determination of the quantity and distribution of chemical crosslinks in unaged and aged natural rubber. II: A sulfur donor system. Rubber Chem. Technol. 2019, 92, 513–530. [Google Scholar] [CrossRef]




















| Sample | Sulfur Accelerator (phr) | Isolated-½ Spin (µs) | Isolated CH2 and CH3 (µs) | M2 [104 rad2 s−2] | M4 [1010 rad4 s−4] | [Hz] |
|---|---|---|---|---|---|---|
| NR1 | 1–1 | 340.9 | 411 | 2.78 | 1.51 | 116.9 |
| NR2 | 2–2 | 243.3 | 294 | 3.66 | 2.01 | 167.5 |
| NR3 | 3–3 | 216.5 | 261 | 4.00 | 2.14 | 207.3 |
| NR4 | 4–4 | 201.0 | 242 | 3.88 | 1.99 | 290.3 |
| NR5 | 5–5 | 185.0 | 223 | 3.08 | 1.32 | 488.4 |
| NR6 | 6–6 | 162.3 | 183 | 3.80 | 1.79 | 450.4 |
| NR7 | 7–7 | 151.8 | 196 | 3.73 | 1.71 | 464.1 |
| Sample | Gauss 1 | Gauss 2 | Gauss 3 | Gauss 4 | ||||
|---|---|---|---|---|---|---|---|---|
| M2 102 [rad2 s−2] | M4 105 [rad4 s−4] | M2 102 [rad2 s−2] | M4 106 [rad4 s−4] | M2 103 [rad2 s−2] | M4 108 [rad4 s−4] | M2 103 [rad2 s−2] | M4 109 [rad4 s−4] | |
| NR1 | 1.24 | 4.88 | 6.65 | 7.71 | 4.32 | 3.42 | 6.61 | 2.25 |
| NR2 | 1.41 | 9.10 | 6.83 | 11.50 | 5.20 | 4.41 | 8.55 | 2.74 |
| NR3 | 1.36 | 11.00 | 6.25 | 12.80 | 5.95 | 5.20 | 10.3 | 3.46 |
| NR4 | 1.78 | 20.9 | 9.28 | 28.60 | 5.57 | 5.04 | 11.10 | 3.60 |
| NR5 | 0.71 | 6.37 | 4.69 | 11.40 | 7.50 | 7.61 | 13.20 | 4.68 |
| NR6 | 1.85 | 26.5 | 8.75 | 33.30 | 6.27 | 6.82 | 15.50 | 6.33 |
| NR7 | 2.15 | 38.7 | 15.10 | 75.5 | 6.82 | 8.36 | 15.50 | 6.71 |
| Sample | Gauss 1 | Gauss 2 | Gauss 3 | Gauss 4 | ||||
|---|---|---|---|---|---|---|---|---|
[Hz] | [Hz] | [Hz] | [Hz] | [Hz] | [Hz] | [Hz] | [Hz] | |
| NR1 | 92.3 | 67.1 | 168.7 | 113.1 | 401.3 | 301.0 | 866.9 | 615.8 |
| NR2 | 124.6 | 84.2 | 215.4 | 134.1 | 435.2 | 307.4 | 849.1 | 597.7 |
| NR3 | 144.6 | 94.1 | 245.2 | 147.1 | 464.1 | 309.5 | 880.4 | 609.4 |
| NR4 | 171.9 | 112.9 | 300.1 | 180.3 | 508.9 | 310.2 | 905.5 | 594.7 |
| NR5 | 153.8 | 98.9 | 268.3 | 159.8 | 512.9 | 332.1 | 936.1 | 612.9 |
| NR6 | 195.4 | 124.2 | 341.2 | 199.7 | 573.6 | 338.3 | 1025.2 | 665.2 |
| NR7 | 218.8 | 138.8 | 390.8 | 229.1 | 626.7 | 357.5 | 1081.5 | 683.1 |
Publisher’s Note: MDPI stays neutral with regard to jurisdictional claims in published maps and institutional affiliations. |
© 2021 by the authors. Licensee MDPI, Basel, Switzerland. This article is an open access article distributed under the terms and conditions of the Creative Commons Attribution (CC BY) license (https://creativecommons.org/licenses/by/4.0/).
Share and Cite
Moldovan, D.; Fechete, R. Bimodal 1H Double Quantum Build-Up Curves by Fourier and Laplace-like Transforms on Aged Cross-Linked Natural Rubber. Polymers 2021, 13, 3523. https://doi.org/10.3390/polym13203523
Moldovan D, Fechete R. Bimodal 1H Double Quantum Build-Up Curves by Fourier and Laplace-like Transforms on Aged Cross-Linked Natural Rubber. Polymers. 2021; 13(20):3523. https://doi.org/10.3390/polym13203523
Chicago/Turabian StyleMoldovan, Dumitrița, and Radu Fechete. 2021. "Bimodal 1H Double Quantum Build-Up Curves by Fourier and Laplace-like Transforms on Aged Cross-Linked Natural Rubber" Polymers 13, no. 20: 3523. https://doi.org/10.3390/polym13203523
APA StyleMoldovan, D., & Fechete, R. (2021). Bimodal 1H Double Quantum Build-Up Curves by Fourier and Laplace-like Transforms on Aged Cross-Linked Natural Rubber. Polymers, 13(20), 3523. https://doi.org/10.3390/polym13203523

