Synthesis, Phase-Transition Behaviour, and Oil Adsorption Performance of Porous Poly(oligo(ethylene glycol) Alkyl Ether Acrylate) Gels
Abstract
1. Introduction
2. Methods
2.1. Materials
2.2. Preparation of Thermosensitive Porous Gels
2.3. Measurement of Swelling Rates and Equilibrium External Radius Ratios
2.4. Morphological Evaluation of PNIPA and POEGA Gels
2.5. Measurement of Oil Adsorption and Desorption Rates of the PTEGA Gel
3. Results and Discussion
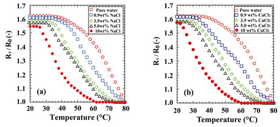
3.1. Synthesis and Transition Behaviour of Porous POEGA Gels
3.2. Adsorption of Oil from Oil–Water Emulsion Using PTEGA Gel
4. Conclusions
Supplementary Materials
Data Availability
Author Contributions
Funding
Acknowledgments
Conflicts of Interest
References
- Gil, E.S.; Hudson, S.M. Stimuli-responsive polymers and their bioconjugates. Prog. Polym. Sci. 2004, 29, 1173–1222. [Google Scholar] [CrossRef]
- Lutz, J.-F. Polymerization of oligo(ethylene glycol) (meth)acrylates: Toward new generations of smart biocompatible materials. J. Polym. Sci. A Polym. Chem. 2008, 46, 3459–3470. [Google Scholar] [CrossRef]
- Lutz, J.-F.; Akdemir, Ö.; Hoth, A. Point by Point Comparison of Two Thermosensitive Polymers Exhibiting a Similar LCST: Is the Age of Poly(NIPAM) Over? J. Am. Chem. Soc. 2006, 128, 13046–13047. [Google Scholar] [CrossRef] [PubMed]
- Vancoillie, G.; Frank, D.; Hoogenboom, R. Thermoresponsive poly(oligo ethylene glycol acrylates). Prog. Polym. Sci. 2014, 39, 1074–1095. [Google Scholar] [CrossRef]
- Badi, N. Non-linear PEG-based thermoresponsive polymer systems. Prog. Polym. Sci. 2017, 66, 54–79. [Google Scholar] [CrossRef]
- Boyer, C.; Whittaker, M.R.; Luzon, M.; Davis, T.P. Design and Synthesis of Dual Thermoresponsive and Antifouling Hybrid Polymer/Gold Nanoparticles. Macromolecules 2009, 42, 6917–6926. [Google Scholar] [CrossRef]
- Lutz, J.-F.; Hoth, A. Preparation of Ideal PEG Analogues with a Tunable Thermosensitivity by Controlled Radical Copolymerization of 2-(2-Methoxyethoxy)ethyl Methacrylate and Oligo(ethylene glycol) Methacrylate. Macromolecules 2006, 39, 893–896. [Google Scholar] [CrossRef]
- Nozary, S.; Modarress, H.; Eliassi, A. Cloud-point measurements for salt + poly(ethylene glycol) + water systems by viscometry and laser beam scattering methods. J. Appl. Polym. Sci. 2003, 89, 1983–1990. [Google Scholar] [CrossRef]
- Lutz, J.-F.; Hoth, A.; Schade, K. Design of Oligo(ethylene glycol)-Based Thermoresponsive Polymers: An Optimization Study. Des. Monomers Polym. 2009, 12, 343–353. [Google Scholar] [CrossRef]
- Magnusson, J.P.; Khan, A.; Pasparakis, G.; Saeed, A.O.; Wang, W.; Alexander, C. Ion-Sensitive “Isothermal” Responsive Polymers Prepared in Water. J. Am. Chem. Soc. 2008, 130, 10852–10853. [Google Scholar] [CrossRef]
- Iizawa, T.; Yamamoto, D.; Gotoh, T.; Sakohara, S. Synthesis of porous poly[oligo(ethylene glycol) methyl ether methacrylate] gels that exhibit thermosensitivity in highly concentrated aqueous NaCl solution. Polymer 2012, 53, 3417–3420. [Google Scholar] [CrossRef]
- Yoshida, R.; Uchida, K.; Kaneko, Y.; Sakai, K.; Kikuchi, A.; Sakurai, Y.; Okano, T. Comb-type grafted hydrogels with rapid deswelling response to temperature changes. Nature 1995, 374, 240–242. [Google Scholar] [CrossRef]
- Kaneko, Y.; Sakai, K.; Kikuchi, A.; Yoshida, R.; Sakurai, Y.; Okano, T. Influence of Freely Mobile Grafted Chain Length on Dynamic Properties of Comb-Type Grafted Poly(N-isopropylacrylamide) Hydrogels. Macromolecules 1995, 28, 7717–7723. [Google Scholar] [CrossRef]
- Yoon, J.A.; Kowalewski, T.; Matyjaszewski, K. Comparison of Thermoresponsive Deswelling Kinetics of Poly(oligo(ethylene oxide) methacrylate)-Based Thermoresponsive Hydrogels Prepared by “Graft-from” ATRP. Macromolecules 2011, 44, 2261–2268. [Google Scholar] [CrossRef]
- Antonietti, M.; Caruso, R.A.; Göltner, C.G.; Weissenberger, M.C. Morphology Variation of Porous Polymer Gels by Polymerization in Lyotropic Surfactant Phases. Macromolecules 1999, 32, 1383–1389. [Google Scholar] [CrossRef]
- Serizawa, T.; Wakita, K.; Akashi, M. Rapid Deswelling of Porous Poly(N-isopropylacrylamide) Hydrogels Prepared by Incorporation of Silica Particles. Macromolecules 2002, 35, 10–12. [Google Scholar] [CrossRef]
- Kabra, B.G.; Gehrke, S.H. Synthesis of fast response, temperature-sensitive poly(N-isopropylacrylamide) gel. Polym. Commun. (Guildf.) 1991, 32, 322–323. [Google Scholar]
- Zhang, X.-Z.; Zhuo, R.-X. Dynamic Properties of Temperature-Sensitive Poly(N-isopropylacrylamide) Gel Cross-Linked through Siloxane Linkage. Langmuir 2001, 17, 12–16. [Google Scholar] [CrossRef]
- Gotoh, T.; Nakatani, Y.; Sakohara, S. Novel synthesis of thermosensitive porous hydrogels. J. Appl. Polym. Sci. 1998, 69, 895–906. [Google Scholar] [CrossRef]
- Iizawa, T.; Taketa, H.; Maruta, M.; Ishido, T.; Gotoh, T.; Sakohara, S. Synthesis of porous poly(N-isopropylacrylamide) gel beads by sedimentation polymerization and their morphology. J. Appl. Polym. Sci. 2007, 104, 842–850. [Google Scholar] [CrossRef]
- Kato, N.; Takahashi, F. Acceleration of Deswelling of Poly(N-isopropylacrylamide) Hydrogel by the Treatment of a Freeze-Dry and Hydration Process. BCSJ 1997, 70, 1289–1295. [Google Scholar] [CrossRef]
- Baker, M.V.; Brown, D.H.; Casadio, Y.S.; Chirila, T.V. The preparation of poly(2-hydroxyethyl methacrylate) and poly{(2-hydroxyethyl methacrylate)-co-[poly(ethylene glycol) methyl ether methacrylate]} by photoinitiated polymerisation-induced phase separation in water. Polymer 2009, 50, 5918–5927. [Google Scholar] [CrossRef]
- Gotoh, T.; Okamoto, H.; Sakohara, S. Dewatering of organic slurries using reinforced thermosensitive porous gels. Polym. Bull. 2007, 58, 213–223. [Google Scholar] [CrossRef]
- Gotoh, T.; Fukuda, S.; Sakohara, S. Control of Transition Temperature of Thermosensitive Porous Gel and Its Application for Dewatering Organic Slurry. Kobunnshi Ronbunshu 2008, 65, 739–744. [Google Scholar] [CrossRef]
- Gotoh, T.; Okamoto, H.; Sakohara, S. Dewatering of Organic Slurry Using Thermosensitive Porous Gel. J. Chem. Eng. Jpn. 2004, 37, 347–352. [Google Scholar] [CrossRef]
- Iizawa, T.; Ninomiya, T.; Gotoh, T.; Sakohara, S. Synthesis of Porous Poly(N-isopropylacrylamide) Gel Beads by Sedimentation Polymerization. Polym. J. 2004, 36, 356–360. [Google Scholar] [CrossRef][Green Version]
- Zhao, J.; Wang, W.; Ye, C.; Li, Y.; You, J. Gravity-driven ultrafast separation of water-in-oil emulsion by hierarchically porous electrospun Poly(L-lactide) fabrics. J. Membr. Sci. 2018, 563, 762–767. [Google Scholar] [CrossRef]
- Liu, G.; Ye, Z.; Tong, K.; Zhang, Y. Biotreatment of heavy oil wastewater by combined upflow anaerobic sludge blanket and immobilized biological aerated filter in a pilot-scale test. Biochem. Eng. J. 2013, 72, 48–53. [Google Scholar] [CrossRef]
- Wen, F.; Lei, C.; Chen, J.; Huang, Y.; Wang, B. Hierarchical superhydrophobic surfaces for oil–water separation via a gradient of ammonia content controlling of dopamine oxidative self-polymerization. J. Appl. Polym. Sci. 2019, 136, 48044. [Google Scholar] [CrossRef]
- Schaum, J.; Cohen, M.; Perry, S.; Artz, R.; Draxler, R.; Frithsen, J.B.; Heist, D.; Lorber, M.; Phillips, L. Screening Level Assessment of Risks Due to Dioxin Emissions from Burning Oil from the BP Deepwater Horizon Gulf of Mexico Spill. Environ. Sci. Technol. 2010, 44, 9383–9389. [Google Scholar] [CrossRef]
- Painmanakul, P.; Sastaravet, P.; Lersjintanakarn, S.; Khaodhiar, S. Effect of bubble hydrodynamic and chemical dosage on treatment of oily wastewater by Induced Air Flotation (IAF) process. Chem. Eng. Res. Des. 2010, 88, 693–702. [Google Scholar] [CrossRef]
- Gupta, R.K.; Dunderdale, G.J.; England, M.W.; Hozumi, A. Oil/water separation techniques: A review of recent progresses and future directions. J. Mater. Chem. A 2017, 5, 16025–16058. [Google Scholar] [CrossRef]
- Black, R.; Sartaj, M.; Mohammadian, A.; Qiblawey, H.A.M. Biosorption of Pb and Cu using fixed and suspended bacteria. J. Environ. Chem. Eng. 2014, 2, 1663–1671. [Google Scholar] [CrossRef]
- Zsirai, T.; Qiblawey, H.; Buzatu, P.; Al-Marri, M.; Judd, S.J. Cleaning of ceramic membranes for produced water filtration. J. Pet. Sci. Eng. 2018, 166, 283–289. [Google Scholar] [CrossRef]
- Albatrni, H.; Qiblawey, H.; Almomani, F.; Adham, S.; Khraisheh, M. Polymeric adsorbents for oil removal from water. Chemosphere 2019, 233, 809–817. [Google Scholar] [CrossRef] [PubMed]
- Wang, L.; Pan, K.; Li, L.; Cao, B. Surface Hydrophilicity and Structure of Hydrophilic Modified PVDF Membrane by Nonsolvent Induced Phase Separation and Their Effect on Oil/Water Separation Performance. Ind. Eng. Chem. Res. 2014, 53, 6401–6408. [Google Scholar] [CrossRef]
- Ngang, H.P.; Ahmad, A.L.; Low, S.C.; Ooi, B.S. Adsorption-desorption study of oil emulsion towards thermo-responsive PVDF/SiO2-PNIPAM composite membrane. J. Environ. Chem. Eng. 2017, 5, 4471–4482. [Google Scholar] [CrossRef]
- Ali, I.; Gupta, V.K. Advances in water treatment by adsorption technology. Nat. Protoc. 2006, 1, 2661–2667. [Google Scholar] [CrossRef]
- Starks, C.M.; Halper, M. Phase-Transfer Catalysis: Fundamentals, Applications, and Industrial Perspectives; Springer Science & Business Media: Berlin/Heidelberg, Germany, 2012; ISBN 978-94-011-0687-0. [Google Scholar]
- Ahmad, A.L.; Sumathi, S.; Hameed, B.H. Coagulation of residue oil and suspended solid in palm oil mill effluent by chitosan, alum and PAC. Chem. Eng. J. 2006, 118, 99–105. [Google Scholar] [CrossRef]
- Chen, P.-C.; Xu, Z.-K. Mineral-Coated Polymer Membranes with Superhydrophilicity and Underwater Superoleophobicity for Effective Oil/Water Separation. Sci. Rep. 2013, 3. [Google Scholar] [CrossRef]
- Wen, Q.; Di, J.; Jiang, L.; Yu, J.; Xu, R. Zeolite-coated mesh film for efficient oil–water separation. Chem. Sci. 2013, 4, 591–595. [Google Scholar] [CrossRef]
- Safi, S.R.; Gotoh, T.; Iizawa, T.; Nakai, S. Development and regeneration of composite of cationic gel and iron hydroxide for adsorbing arsenic from ground water. Chemosphere 2019, 217, 808–815. [Google Scholar] [CrossRef] [PubMed]
- Safi, S.R.; Gotoh, T.; Iizawa, T.; Nakai, S. Removal of Arsenic Using a Cationic Polymer Gel Impregnated with Iron Hydroxide. J. Vis. Exp. 2019, e59728. [Google Scholar] [CrossRef] [PubMed]







| Gel | Monomer | R | n | Solvent | LCSTa (°C) 2 |
|---|---|---|---|---|---|
| PeDEGAb | eDEGA | C2H5 | 2 | water 3 30 wt % aqueous ethanol | ~14 (13) 4 |
| PDEGAc | DEGA | CH3 | 2 | water 3 15 wt % aqueous ethanol | ~52 (40) 4 |
| PTEGAd | TEGA | CH3 | 3 | water | ~80 (70) 4 |
| POEGAe480 | OEGA480 | CH3 | 8–9 | water 3 aqueous 5 wt % NaCl solution | >100 (92) 4 |
| Materials | Quantity | |
|---|---|---|
| Oil | n-tridecane | 1000 ppm |
| Surfactant | Tween 20 | 0, 100 ppm |
| Salt | NaCl | 0–25 wt % |
| Solvent | distilled water |
© 2020 by the authors. Licensee MDPI, Basel, Switzerland. This article is an open access article distributed under the terms and conditions of the Creative Commons Attribution (CC BY) license (http://creativecommons.org/licenses/by/4.0/).
Share and Cite
Safi, S.R.; Nakata, T.; Hara, S.; Gotoh, T.; Iizawa, T.; Nakai, S. Synthesis, Phase-Transition Behaviour, and Oil Adsorption Performance of Porous Poly(oligo(ethylene glycol) Alkyl Ether Acrylate) Gels. Polymers 2020, 12, 1405. https://doi.org/10.3390/polym12061405
Safi SR, Nakata T, Hara S, Gotoh T, Iizawa T, Nakai S. Synthesis, Phase-Transition Behaviour, and Oil Adsorption Performance of Porous Poly(oligo(ethylene glycol) Alkyl Ether Acrylate) Gels. Polymers. 2020; 12(6):1405. https://doi.org/10.3390/polym12061405
Chicago/Turabian StyleSafi, Syed Ragib, Taku Nakata, Shyotaro Hara, Takehiko Gotoh, Takashi Iizawa, and Satoshi Nakai. 2020. "Synthesis, Phase-Transition Behaviour, and Oil Adsorption Performance of Porous Poly(oligo(ethylene glycol) Alkyl Ether Acrylate) Gels" Polymers 12, no. 6: 1405. https://doi.org/10.3390/polym12061405
APA StyleSafi, S. R., Nakata, T., Hara, S., Gotoh, T., Iizawa, T., & Nakai, S. (2020). Synthesis, Phase-Transition Behaviour, and Oil Adsorption Performance of Porous Poly(oligo(ethylene glycol) Alkyl Ether Acrylate) Gels. Polymers, 12(6), 1405. https://doi.org/10.3390/polym12061405

