Cerium Salts: An Efficient Curing Catalyst for Benzoxazine Based Coatings
Abstract
1. Introduction
2. Materials and Methods
2.1. Materials
2.2. Preparation of 4EP-pPDA
2.3. Preparation of 4EP-pPDA/Cerium Salt Mixtures
2.4. Measurements and Characterization
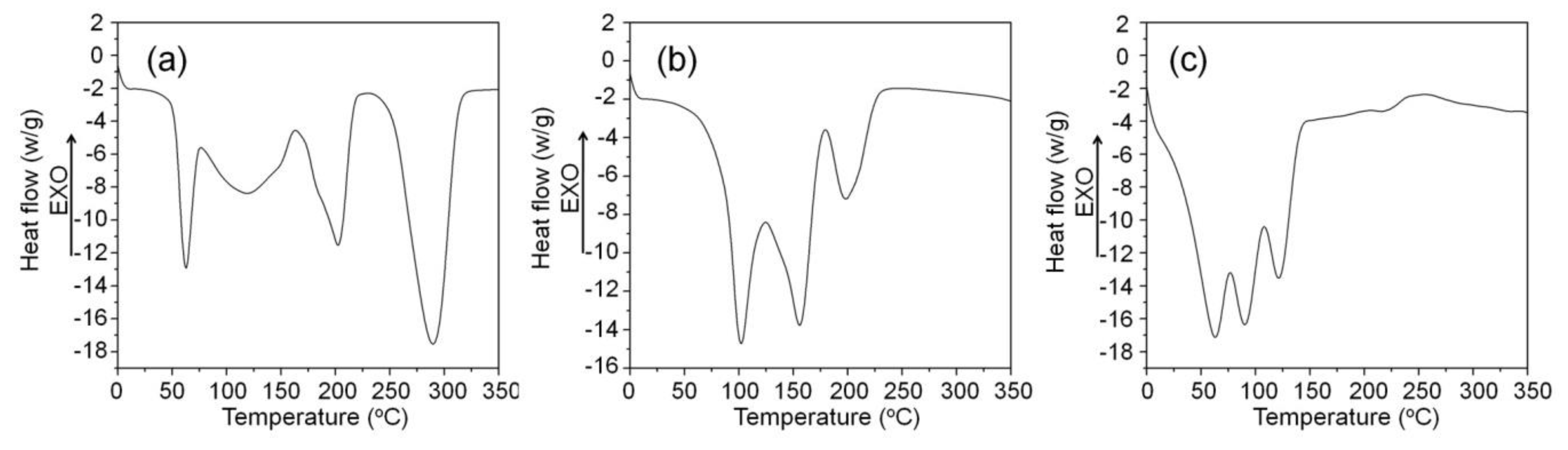
3. Results and Discussion
4. Conclusions
Author Contributions
Acknowledgments
Conflicts of Interest
References
- Ning, X.; Ishida, H. Phenolic materials via ring-opening polymerization: Synthesis and characterization of bisphenol-A based benzoxazines and their polymers. J. Polym. Sci. Part A: Polym. Chem. 1994, 32, 1121–1129. [Google Scholar] [CrossRef]
- Yagci, Y.; Kiskan, B.; Ghosh, N.N. Recent advancement on polybenzoxazine-A newly developed high performance thermoset. J. Polym. Sci. Part A: Polym. Chem. 2009, 47, 5565–5576. [Google Scholar] [CrossRef]
- Ishida, H. Overview and Historical Background of Polybenzoxazine Research. In Handbook of Benzoxazine Resins; Elsevier BV: Amsterdam, the Netherlands, 2011; pp. 3–81. [Google Scholar]
- Ishida, H. Process for Preparation of Benzoxazine Compounds in Solventless Systems. United State Patent 5543516, 6 August 1996. [Google Scholar]
- Ghosh, N.; Kiskan, B.; Yagci, Y. Polybenzoxazines—New high performance thermosetting resins: Synthesis and properties. Prog. Polym. Sci. 2007, 32, 1344–1391. [Google Scholar] [CrossRef]
- Ishida, H.; Liu, J.-P. Benzoxazine Chemistry in Solution and Melt. In Handbook of Benzoxazine Resins; Elsevier BV: Amsterdam, the Netherlands, 2011; Volume Ch. 2, pp. 85–102. [Google Scholar]
- Arslan, M.; Kiskan, B.; Yagci, Y. Recycling and Self-Healing of Polybenzoxazines with Dynamic Sulfide Linkages. Sci. Rep. 2017, 7, 5207. [Google Scholar] [CrossRef]
- Caldona, E.B.; De Leon, A.C.C.; Thomas, P.G.; Naylor, D.F.; Pajarito, B.B.; Advincula, R.C. Superhydrophobic Rubber-Modified Polybenzoxazine/SiO2 Nanocomposite Coating with Anticorrosion, Anti-Ice, and Superoleophilicity Properties. Ind. Eng. Chem. Res. 2017, 56, 1485–1497. [Google Scholar] [CrossRef]
- Kiskan, B.; Yagci, Y. Thermally curable benzoxazine monomer with a photodimerizable coumarin group. J. Polym. Sci. Part A: Polym. Chem. 2007, 45, 1670–1676. [Google Scholar] [CrossRef]
- Nair, C. Advances in addition-cure phenolic resins. Prog. Polym. Sci. 2004, 29, 401–498. [Google Scholar] [CrossRef]
- Takeichi, T.; Kawauchi, T.; Agag, T. High Performance Polybenzoxazines as a Novel Type of Phenolic Resin. Polym. J. 2008, 40, 1121–1131. [Google Scholar] [CrossRef]
- Dumas, L.; Bonnaud, L.; Olivier, M.; Poorteman, M.; Dubois, P. Facile preparation of a novel high performance benzoxazine–CNT based nano-hybrid network exhibiting outstanding thermo-mechanical properties. Chem. Commun. 2013, 49, 9543–9545. [Google Scholar] [CrossRef]
- Dumas, L.; Bonnaud, L.; Olivier, M.; Poorteman, M.; Dubois, P. Multiscale benzoxazine composites: The role of pristine CNTs as efficient reinforcing agents for high-performance applications. Compos. Part B Eng. 2017, 112, 57–65. [Google Scholar] [CrossRef]
- Renaud, A.; Poorteman, M.; Escobar, J.; Dumas, L.; Paint, Y.; Bonnaud, L.; Dubois, P.; Olivier, M. A new corrosion protection approach for aeronautical applications combining a phenol-paraphenylenediamine benzoxazine resin applied on sulfo-tartaric anodized aluminum. Prog. Org. Coat. 2017, 112, 278–287. [Google Scholar] [CrossRef]
- Poorteman, M.; Renaud, A.; Escobar, J.; Dumas, L.; Bonnaud, L.; Dubois, P.; Olivier, M.-G. Thermal curing of para -phenylenediamine benzoxazine for barrier coating applications on 1050 aluminum alloys. Prog. Org. Coat. 2016, 97, 99–109. [Google Scholar] [CrossRef]
- Renaud, A.; Paint, Y.; Lanzutti, A.; Bonnaud, L.; Fedrizzi, L.; Dubois, P.; Poorteman, M.; Olivier, M. Sealing porous anodic layers on AA2024-T3 with a low viscosity benzoxazine resin for corrosion protection in aeronautical applications. RSC Adv. 2019, 9, 16819–16830. [Google Scholar] [CrossRef]
- Liu, C.; Chen, Q.-Y. Catalytic Accelerated Polymerization of Benzoxazines and Their Mechanistic Considerations. In Advanced and Emerging Polybenzoxazine Science and Technology; Elsevier BV: Amsterdam, the Netherlands, 2017; Volume Ch. 2, pp. 9–21. [Google Scholar]
- Rishwana, S.S.; Pitchaimari, G.; Vijayakumar, C.T. Studies on structurally different diamines and bisphenol benzoxazines: synthesis and curing kinetics. High Perform. Poly. 2016, 28, 466–478. [Google Scholar] [CrossRef]
- Wang, X.; Chen, F.; Gu, Y. Influence of electronic effects from bridging groups on synthetic reaction and thermally activated polymerization of bisphenol-based benzoxazines. J. Polym. Sci. Part A: Poly. Chem. 2011, 49, 1443–1452. [Google Scholar] [CrossRef]
- Allen, D.J.; Ishida, H. Polymerization of linear aliphatic diamine-based benzoxazine resins under inert and oxidative environments. Polymer 2007, 48, 6763–6772. [Google Scholar] [CrossRef]
- Soto, M.; Hiller, M.; Oschkinat, H.; Koschek, K. Multifunctional benzoxazines feature low polymerization temperature and diverse polymer structures. Polymers 2016, 8, 278. [Google Scholar] [CrossRef]
- Sini, N.K.; Endo, T. Toward Elucidating the Role of Number of Oxazine Rings and Intermediates in the Benzoxazine Backbone on Their Thermal Characteristics. Macromolecules 2016, 49, 8466–8478. [Google Scholar] [CrossRef]
- Baquar, M.; Agag, T.; Huang, R.; Maia, J.; Qutubuddin, S.; Ishida, H. Mechanistic pathways for the polymerization of methylol-functional benzoxazine monomers. Macromolecules 2012, 45, 8119–8125. [Google Scholar] [CrossRef]
- Xu, H.; Zhang, W.; Lu, Z.; Zhang, G. Hybrid polybenzoxazine with tunable properties. RSC Adv. 2013, 3, 3677. [Google Scholar] [CrossRef]
- Yang., P.; Gu, Y. A novel benzimidazole moiety-containing benzoxazine: Synthesis, polymerization, and thermal properties. J. Polym. Sci. Part A: Poly. Chem. 2012, 50, 1261–1271. [Google Scholar] [CrossRef]
- Agag, T.; Arza, C.R.; Maurer, F.H.J.; Ishida, H. Primary Amine-Functional Benzoxazine Monomers and Their Use for Amide-Containing Monomeric Benzoxazines. Macromolecules 2010, 43, 2748–2758. [Google Scholar] [CrossRef]
- Baqar, M.; Agag, T.; Qutubuddin, S.; Ishida, H. Effect of Neighboring Groups on Enhancing Benzoxazine Autocatalytic Polymerization. In Handbook of Benzoxazine Resins; Elsevier BV: Amsterdam, the Netherlands, 2011; pp. 193–210. [Google Scholar]
- Andreu, R.; Reina, J.A.; Ronda, J.C. Carboxylic acid-containing benzoxazines as efficient catalysts in the thermal polymerization of benzoxazines. J. Polym. Sci. Part A: Polym. Chem. 2008, 46, 6091–6101. [Google Scholar] [CrossRef]
- Kudoh, R.; Sudo, A.; Endo, T. A Highly Reactive Benzoxazine Monomer, 1-(2-Hydroxyethyl)-1,3-Benzoxazine: Activation of Benzoxazine by Neighboring Group Participation of Hydroxyl Group. Macromolecules 2010, 43, 1185–1187. [Google Scholar] [CrossRef]
- Zhang, K.; Ishida, H. Smart synthesis of high-performance thermosets based on ortho-amide–imide functional benzoxazines. Front. Mat. 2015, 2, 5. [Google Scholar] [CrossRef][Green Version]
- Zhang, K.; Froimowicz, P.; Han, L.; Ishida, H. Hydrogen-bonding characteristics and unique ring-opening polymerization behavior ofOrtho-methylol functional benzoxazine. J. Polym. Sci. Part A: Polym. Chem. 2016, 54, 3635–3642. [Google Scholar] [CrossRef]
- Sun, J.; Wei, W.; Xu, Y.; Qu, J.; Liu, X.; Endo, T. A curing system of benzoxazine with amine: reactivity, reaction mechanism and material properties. RSC Adv. 2015, 5, 19048–19057. [Google Scholar] [CrossRef]
- Zhang, L.; Mao, J.; Wang, S.; Yang, Y.; Chen, Y.; Lu, H. Meta-phenylenediamine formaldehyde oligomer: A new accelerator for benzoxazine resin. React. Funct. Polym. 2017, 121, 51–57. [Google Scholar] [CrossRef]
- Ran, Q.-C.; Zhang, D.-X.; Zhu, R.-Q.; Gu, Y. The structural transformation during polymerization of benzoxazine/FeCl3 and the effect on the thermal stability. Polymer 2012, 53, 4119–4127. [Google Scholar] [CrossRef]
- Kocaarslan, A.; Kiskan, B.; Yagci, Y. Ammonium salt catalyzed ring-opening polymerization of 1,3-benzoxazines. Polymer 2017, 122, 340–346. [Google Scholar] [CrossRef]
- Liu, C.; Shen, D.; Sebastián, R.M.; Marquet, J.; Schönfeld, R. Catalyst effects on the ring-opening polymerization of 1,3-benzoxazine and on the polymer structure. Polymer 2013, 54, 2873–2878. [Google Scholar] [CrossRef]
- Liu, C.; Shen, D.; Sebastián, R.M.; Marquet, J.; Schönfeld, R. Mechanistic Studies on Ring-Opening Polymerization of Benzoxazines: A Mechanistically Based Catalyst Design. Macromolecules 2011, 44, 4616–4622. [Google Scholar] [CrossRef]
- Akkus, B.; Kiskan, B.; Yagci, Y. Counterion Effect of Amine Salts on Ring-Opening Polymerization of 1,3-Benzoxazines. Macromol. Chem. Phys. 2018, 220. [Google Scholar] [CrossRef]
- Sudo, A.; Hirayama, S.; Endo, T. Highly efficient catalysts-acetylacetonato complexes of transition metals in the 4th period for ring-opening polymerization of 1,3-benzoxazine. J. Polym. Sci. Part A: Polym. Chem. 2010, 48, 479–484. [Google Scholar] [CrossRef]
- Sudo, A.; Mori, A.; Endo, T. Promoting effects of urethane derivatives of phenols on the ring-opening polymerization of 1,3-benzoxazines. J. Polym. Sci. Part A: Polym. Chem. 2011, 49, 2183–2190. [Google Scholar] [CrossRef]
- Zhang, D.; Yue, J.; Li, H.; Li, Y.; Zhao, C. Curing kinetics study of benzoxazine using diaryliodonium salts as thermal initiators. Thermochim. Acta 2016, 643, 13–22. [Google Scholar] [CrossRef]
- Chatonnet, P.; Dubourdie, D.; Boidron, J.-N.; Pons, M. The origin of ethylphenols in wines. J. Sci. Food Agric. 1992, 60, 165–178. [Google Scholar] [CrossRef]
- Gao, S.; Feng, S.; Lu, Z.; Liu, Y. Synthesis of borosiloxane/polybenzoxazine hybrids as highly efficient and environmentally friendly flame retardant materials. J. Polym. Sci. Part A: Polym. Chem. 2017, 55, 2390–2396. [Google Scholar] [CrossRef]
- Bonnaud, L.; Chollet, B.; Dumas, L.; Peru, A.A.M.; Flourat, A.L.; Allais, F.; Dubois, P. High-Performance Bio-Based Benzoxazines from Enzymatic Synthesis of Diphenols. Macromol. Chem. Phys. 2018, 220, 1800312. [Google Scholar] [CrossRef]
- Dumas, L.; Bonnaud, L.; Olivier, M.; Poorteman, M.; Dubois, P. Chavicol benzoxazine: Ultrahigh Tg biobased thermoset with tunable extended network. Eur. Polym. J. 2016, 81, 337–346. [Google Scholar] [CrossRef]
- Froimowicz, P.; Zhang, K.; Ishida, H. Intramolecular Hydrogen Bonding in Benzoxazines: When Structural Design Becomes Functional. Chem. A Eur. J. 2016, 22, 2691–2707. [Google Scholar] [CrossRef]
- Dumas, L.; Bonnaud, L.; Olivier, M.; Poorteman, M.; Dubois, P. High performance benzoxazine/CNT nanohybrid network – An easy and scalable way to combine attractive properties. Eur. Polym. J. 2014, 58, 218–225. [Google Scholar] [CrossRef]
- Wattanathana, W.; Veranitisagul, C.; Koonsaeng, N.; Laobuthee, A. 3, 4-Dihydro-1, 3-2H-Benzoxazines: Uses Other Than Making Polybenzoxazines. In Advanced and Emerging Polybenzoxazine Science and Technology; Elsevier: Amsterdam, the Netherlands, 2017; pp. 75–88. [Google Scholar]
- Veranitisagul, C.; Kaewvilai, A.; Sangngern, S.; Wattanathana, W.; Suramitr, S.; Koonsaeng, N.; Laobuthee, A. Novel Recovery of Nano-Structured Ceria (CeO2) from Ce(III)-Benzoxazine Dimer Complexes via Thermal Decomposition. Int. J. Mol. Sci. 2011, 12, 4365–4377. [Google Scholar] [CrossRef]











© 2020 by the authors. Licensee MDPI, Basel, Switzerland. This article is an open access article distributed under the terms and conditions of the Creative Commons Attribution (CC BY) license (http://creativecommons.org/licenses/by/4.0/).
Share and Cite
Zhang, T.; Bonnaud, L.; Raquez, J.-M.; Poorteman, M.; Olivier, M.; Dubois, P. Cerium Salts: An Efficient Curing Catalyst for Benzoxazine Based Coatings. Polymers 2020, 12, 415. https://doi.org/10.3390/polym12020415
Zhang T, Bonnaud L, Raquez J-M, Poorteman M, Olivier M, Dubois P. Cerium Salts: An Efficient Curing Catalyst for Benzoxazine Based Coatings. Polymers. 2020; 12(2):415. https://doi.org/10.3390/polym12020415
Chicago/Turabian StyleZhang, Tao, Leïla Bonnaud, Jean-Marie Raquez, Marc Poorteman, Marjorie Olivier, and Philippe Dubois. 2020. "Cerium Salts: An Efficient Curing Catalyst for Benzoxazine Based Coatings" Polymers 12, no. 2: 415. https://doi.org/10.3390/polym12020415
APA StyleZhang, T., Bonnaud, L., Raquez, J.-M., Poorteman, M., Olivier, M., & Dubois, P. (2020). Cerium Salts: An Efficient Curing Catalyst for Benzoxazine Based Coatings. Polymers, 12(2), 415. https://doi.org/10.3390/polym12020415

