An Important Factor Affecting the UV Aging Resistance of PBO Fiber Foped with Nano-TiO2: The Number of Amorphous Regions
Abstract
:1. Introduction
2. Experimental Procedure
2.1. Preparation of Modified Nano-TiO2
2.2. Preparation of PBO Fibers
2.3. Characterizations and Measurements
3. Results and Discussion
3.1. Characterizations of Modified Nano-TiO2
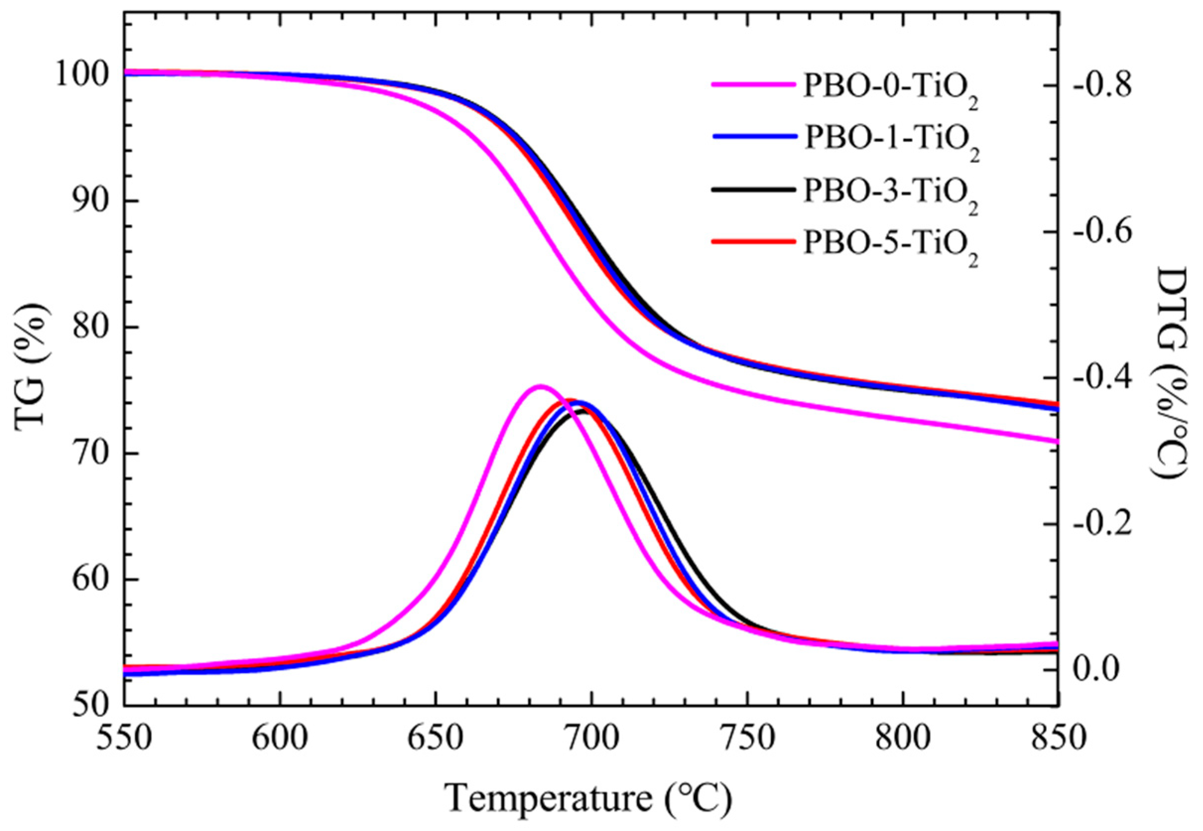
3.2. Effect of Modified Nano-TiO2 on UV Aging Resistance of PBO Fiber
4. Conclusions
Author Contributions
Funding
Conflicts of Interest
References
- Wolfe, J.F. Rigid-rod polymer synthesis: Development of mesophase polymerization in strong acid solutions. Mat. Rec. Symp. Proc. 1989, 134, 83–93. [Google Scholar] [CrossRef]
- Martin, D.C.; Thomas, E.L. Ultrastructure of poly (para-phenylene benzobisoxazole) fibers. Macromolecules 1991, 9, 2450–2460. [Google Scholar] [CrossRef]
- Zhu, X.L.; Zhong, W.H.; Jin, Z.M.; Zhang, P.; Guo, Z.R.; Gong, P.; Qu, Z.M. Effect of Heat-Treatment on the Properties of PBO Fibers. Mater. Sci. Forum. 2017, 898, 2107–2117. [Google Scholar] [CrossRef]
- Xu, X.H.; Liu, X.Y.; Zhuang, Q.X.; Han, Z.W. Rigid-rod polybenzoxazoles containing perylene bisimide: Synthesis, structures and photophysical properties. J. Appl. Polym. Sci. 2010, 1, 455–460. [Google Scholar] [CrossRef]
- Chae, H.G.; Kumar, S. Rigid-rod polymeric fibers. J. Appl. Polym. Sci. 2006, 1, 791–802. [Google Scholar] [CrossRef]
- Shultz, A.R.; Andrady, A.L. Protection of polymers from degradation by ultraviolet light: Compensation for increased UV light intensity by increased UV absorber concentration. J. Appl. Polym. Sci. 2010, 6, 2249–2252. [Google Scholar] [CrossRef]
- Lin, H.; Huang, Y.D.; Wang, F. Thermal stability of poly (p-phenylene benzobisoxazole) fibres. Iran. Polym. J. 2008, 11, 853–859. [Google Scholar]
- Zhang, T.; Jin, J.H.; Yang, S.L.; Li, G.A.; Jiang, J.M. UV accelerated aging and aging resistance of dihydroxy poly(p-phenylene benzobisoxazole) fibers. Polym. Advan. Technol. 2011, 5, 743–747. [Google Scholar] [CrossRef]
- Hu, X.D.; Jenkins, S.E.; Min, B.G.; Polk, M.B.; Kumar, S. Rigid-rod polymers: synthesis, processing, simulation, structure, and properties. Macromol. Mater. Eng. 2003, 11, 823–834. [Google Scholar] [CrossRef]
- So, Y.H. Photodegradation mechanism and stabilization of polyphenylene oxide and rigid-rod polymers. Polym. Int. 2006, 2, 127–138. [Google Scholar] [CrossRef]
- Song, B.; Meng, L.H.; Huang, Y.D. Enhanced UV Stability of PBO Fibers by Using Benzotriazole UV Absorber. Key Eng. Mater. 2012, 522, 931–934. [Google Scholar] [CrossRef]
- Zhang, C.H.; Huang, Y.D.; Yuan, W.J.; Zhang, J.N. UV aging resistance properties of PBO fiber coated with nano-ZnO hybrid sizing. J. Appl. Polym. Sci. 2011, 4, 2468–2476. [Google Scholar] [CrossRef]
- Jin, J.; Yang, S. Effects of light stabilizer on the ultraviolet stability of poly--phenylenebenzobisoxazole (PBO) fibers. Iran. Polym. J. 2012, 10, 739–745. [Google Scholar] [CrossRef]
- Sabzi, M.; Mirabedini, S.M.; Zohuriaan-Mehr, J.; Atai, M. Surface modification of TiO2 nano-particles with silane coupling agent and investigation of its effect on the properties of polyurethane composite coating. Prog. Org. Coat. 2009, 2, 222–228. [Google Scholar] [CrossRef]
- And, T.A.; Madras, G. Photocatalytic Degradation of Rhodamine Dyes with Nano-TiO2. Ind. Eng. Chem. Res. 2007, 1, 1–7. [Google Scholar] [CrossRef]
- Montazer, M.; Pakdel, E. Reducing Photoyellowing of Wool Using Nano TiO2. Photochem. Photobiol. 2010, 2, 255–260. [Google Scholar] [CrossRef]
- Wang, R.M.; Wang, B.Y.; He, Y.F.; Lv, W.H.; Wang, J.F. Preparation of composited Nano-TiO2 and its application on antimicrobial and self-cleaning coatings. Polym. Advan. Technol. 2010, 5, 331–336. [Google Scholar] [CrossRef]
- Qian, D.; Dickey, E.C.; Andrews, R.; Rantell, T. Load transfer and deformation mechanisms in carbon nanotube-polystyrene composites. Appl. Phys. Lett. 2000, 20, 2868–2870. [Google Scholar] [CrossRef]
- Liu, X.Y.; Vu, W.D.; Xu, P. Improving the photo-stability of high performance aramid fibers by sol-gel treatment. Fiber. Polym. 2008, 4, 455–460. [Google Scholar] [CrossRef]
- Xu, L.X.; Yang, M.J. In situ compatibilization between polystyrene-grafted nano-sized TiO2 and polypropylene with Friedel-Crafts catalyst. J. Appl. Polym. Sci. 2009, 5, 2755–2763. [Google Scholar] [CrossRef]
- Zhou, C.J.; Qiu, X.Y.; Zhuang, Q.X.; Han, Z.W.; Wu, Q.L. In situ polymerization and photophysical properties of poly (p-phenylene benzobisoxazole)/multiwalled carbon nanotubes composites. J. Appl. Polym. Sci. 2012, 6, 4740–4746. [Google Scholar] [CrossRef]
- Wu, D.C.; Shen, L.; Low, J.E.; Wong, S.Y.; Li, X.; Tjiu, W.C.; Liu, Y. Multi-walled carbon nanotube/polyimide composite film fabricated through electrophoretic deposition. Polymer 2010, 10, 2155–2160. [Google Scholar] [CrossRef]
- Xia, B.; Li, W.; Zhang, B.; Xie, Y. Low temperature vapor-phase preparation of TiO2 nanopowders. J. Mater. Sci. 1999, 14, 3505–3511. [Google Scholar] [CrossRef]
- Sun, Q.F.; Lu, Y.; Zhang, H.M.; Zhao, H.J.; Yu, H.P.; Xu, J.S.; Fu, Y.C.; Yang, D.J.; Liu, Y.X. Hydrothermal fabrication of rutile TiO2 submicrospheres on wood surface: An efficient method to prepare UV-protective wood. Mater. Chem. Phys. 2012, 1, 253–258. [Google Scholar] [CrossRef]
- Hu, Z.; Huang, Y.D.; Wang, F.; Yao, Y.H.; Sun, S.F.; Li, Y.W.; Jiang, Z.X.; Xu, H.F.; Tang, P.Y. Synthesis of novel single-walled carbon nanotubes/poly (p-phenylene benzobisoxazole) nanocomposite. Polym. Bull. 2011, 9, 1731–1739. [Google Scholar] [CrossRef]
- Imai, Y.; Itoya, K.; Kakimoto, M. Synthesis of aromatic polybenzoxazoles by silylation method and their thermal and mechanical properties. Macromol. Chem. Phys. 2000, 17, 2251–2256. [Google Scholar] [CrossRef]
- Özaytekin, I.; Karatas, I. Synthesis and properties of poly (benzoxazole)s prepared from aromatic dihydroxamoyl chlorides. High. Perform. Polym. 2008, 6, 615–626. [Google Scholar] [CrossRef]
- Kim, Y.J.; Einsla, B.R.; Tchatchoua, C.N.; McGrath, J.E. Synthesis of high molecular weight polybenzoxazoles in polyphosphoric acid and investigation of their hydrolytic stability under acidic conditions. High. Perform. Polym. 2005, 3, 377–401. [Google Scholar] [CrossRef]
- Hsu, S.L.C.; Chang, K.C. Synthesis and properties of polybenzoxazole-clay nanocomposites. Polymer 2002, 15, 4097–4101. [Google Scholar] [CrossRef]










© 2019 by the authors. Licensee MDPI, Basel, Switzerland. This article is an open access article distributed under the terms and conditions of the Creative Commons Attribution (CC BY) license (http://creativecommons.org/licenses/by/4.0/).
Share and Cite
Liu, J.; Liu, X.; Wang, D.; Wang, H. An Important Factor Affecting the UV Aging Resistance of PBO Fiber Foped with Nano-TiO2: The Number of Amorphous Regions. Polymers 2019, 11, 869. https://doi.org/10.3390/polym11050869
Liu J, Liu X, Wang D, Wang H. An Important Factor Affecting the UV Aging Resistance of PBO Fiber Foped with Nano-TiO2: The Number of Amorphous Regions. Polymers. 2019; 11(5):869. https://doi.org/10.3390/polym11050869
Chicago/Turabian StyleLiu, Jiping, Xiaobo Liu, Dong Wang, and Hu Wang. 2019. "An Important Factor Affecting the UV Aging Resistance of PBO Fiber Foped with Nano-TiO2: The Number of Amorphous Regions" Polymers 11, no. 5: 869. https://doi.org/10.3390/polym11050869
APA StyleLiu, J., Liu, X., Wang, D., & Wang, H. (2019). An Important Factor Affecting the UV Aging Resistance of PBO Fiber Foped with Nano-TiO2: The Number of Amorphous Regions. Polymers, 11(5), 869. https://doi.org/10.3390/polym11050869
